Magnetic Studies of Iron-Doped Probable Weyl Semimetal WTe2
Abstract
1. Introduction
2. Sample and Experiment
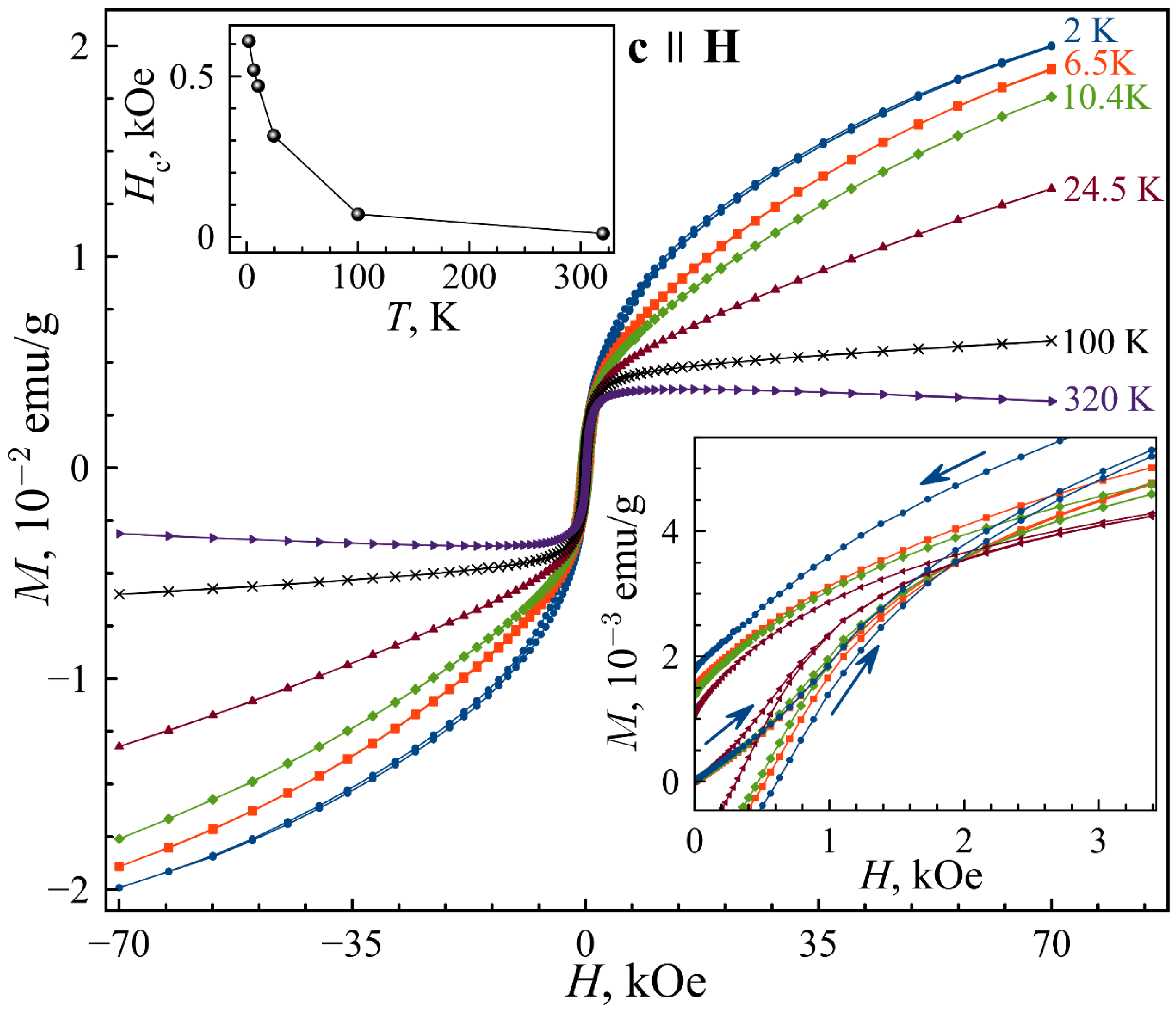
3. Results and Discussion
4. Conclusions
Supplementary Materials
Author Contributions
Funding
Data Availability Statement
Acknowledgments
Conflicts of Interest
References
- Armitage, N.P.; Mele, E.J.; Vishwanath, A. Weyl and Dirac Semimetals in Three-Dimensional Solids. Rev. Mod. Phys. 2018, 90, 015001. [Google Scholar] [CrossRef]
- Lv, B.Q.; Qian, T.; Ding, H. Experimental Perspective on Three-Dimensional Topological Semimetals. Rev. Mod. Phys. 2021, 93, 025002. [Google Scholar] [CrossRef]
- Zhao, W.; Wang, X. Berry phase in quantum oscillations of topological materials. Adv. Phys. X 2022, 7, 2064230. [Google Scholar] [CrossRef]
- Wan, X.; Turner, A.M.; Vishwanath, A.; Savrasov, S.Y. Topological Semimetal and Fermi-Arc Surface States in the Electronic Structure of Pyrochlore Iridates. Phys. Rev. B 2011, 83, 205101. [Google Scholar] [CrossRef]
- Xu, G.; Weng, H.; Wang, Z.; Dai, X.; Fang, Z. Chern Semimetal and the Quantized Anomalous Hall Effect in HgCr2Se4. Phys. Rev. Lett. 2011, 107, 186806. [Google Scholar] [CrossRef]
- Wang, Z.; Vergniory, M.G.; Kushwaha, S.; Hirschberger, M.; Chulkov, E.V.; Ernst, A.; Ong, N.P.; Cava, R.J.; Bernevig, B.A. Time-Reversal-Breaking Weyl Fermions in Magnetic Heusler Alloys. Phys. Rev. Lett. 2016, 117, 236401. [Google Scholar] [CrossRef]
- Xu, S.-Y.; Belopolski, I.; Alidoust, N.; Neupane, M.; Bian, G.; Zhang, C.; Sankar, R.; Chang, G.; Yuan, Z.; Lee, C.-C.; et al. Discovery of a Weyl Fermion Semimetal and Topological Fermi Arcs. Science 2015, 349, 613–617. [Google Scholar] [CrossRef]
- Lv, B.Q.; Weng, H.M.; Fu, B.B.; Wang, X.P.; Miao, H.; Ma, J.; Richard, P.; Huang, X.C.; Zhao, L.X.; Chen, G.F.; et al. Experimental Discovery of Weyl Semimetal TaAs. Phys. Rev. X 2015, 5, 031013. [Google Scholar] [CrossRef]
- Weng, H.; Fang, C.; Fang, Z.; Bernevig, B.A.; Dai, X. Weyl Semimetal Phase in Noncentrosymmetric Transition-Metal Monophosphides. Phys. Rev. X 2015, 5, 011029. [Google Scholar] [CrossRef]
- Huang, S.-M.; Xu, S.-Y.; Belopolski, I.; Lee, C.-C.; Chang, G.; Wang, B.; Alidoust, N.; Bian, G.; Neupane, M.; Zhang, C.; et al. A Weyl Fermion Semimetal with Surface Fermi Arcs in the Transition Metal Monopnictide TaAs Class. Nat. Commun. 2015, 6, 7373. [Google Scholar] [CrossRef]
- Deng, K.; Wan, G.; Deng, P.; Zhang, K.; Ding, S.; Wang, E.; Yan, M.; Huang, H.; Zhang, H.; Xu, Z.; et al. Experimental Observation of Topological Fermi Arcs in Type-II Weyl Semimetal MoTe2. Nature Phys. 2016, 12, 1105–1110. [Google Scholar] [CrossRef]
- Huang, L.; McCormick, T.M.; Ochi, M.; Zhao, Z.; Suzuki, M.-T.; Arita, R.; Wu, Y.; Mou, D.; Cao, H.; Yan, J.; et al. Spectroscopic Evidence for a Type II Weyl Semimetallic State in MoTe2. Nature Mater. 2016, 15, 1155–1160. [Google Scholar] [CrossRef] [PubMed]
- Liang, A.; Huang, J.; Nie, S.; Ding, Y.; Gao, Q.; Hu, C.; He, S.; Zhang, Y.; Wang, C.; Shen, B.; et al. Electronic Evidence for Type II Weyl Semimetal State in MoTe2. arXiv 2016, arXiv:1604.01706. [Google Scholar] [CrossRef]
- Tamai, A.; Wu, Q.S.; Cucchi, I.; Bruno, F.Y.; Riccò, S.; Kim, T.K.; Hoesch, M.; Barreteau, C.; Giannini, E.; Besnard, C.; et al. Fermi Arcs and Their Topological Character in the Candidate Type-II Weyl Semimetal MoTe2. Phys. Rev. X 2016, 6, 031021. [Google Scholar] [CrossRef]
- Jiang, J.; Liu, Z.K.; Sun, Y.; Yang, H.F.; Rajamathi, C.R.; Qi, Y.P.; Yang, L.X.; Chen, C.; Peng, H.; Hwang, C.-C.; et al. Signature of Type-II Weyl Semimetal Phase in MoTe2. Nat. Commun. 2017, 8, 13973. [Google Scholar] [CrossRef]
- Wang, C.; Zhang, Y.; Huang, J.; Nie, S.; Liu, G.; Liang, A.; Zhang, Y.; Shen, B.; Liu, J.; Hu, C.; et al. Observation of Fermi Arc and Its Connection with Bulk States in the Candidate Type-II Weyl Semimetal WTe2. Phys. Rev. B 2016, 94, 241119. [Google Scholar] [CrossRef]
- Lin, C.-L.; Kawakami, N.; Arafune, R.; Minamitani, E.; Takagi, N. Scanning Tunneling Spectroscopy Studies of Topological Materials. J. Phys. Condens. Matter 2020, 32, 243001. [Google Scholar] [CrossRef]
- Belopolski, I.; Sanchez, D.S.; Ishida, Y.; Pan, X.; Yu, P.; Xu, S.-Y.; Chang, G.; Chang, T.-R.; Zheng, H.; Alidoust, N.; et al. Discovery of a New Type of Topological Weyl Fermion Semimetal State in MoxW1−xTe2. Nat. Commun. 2016, 7, 13643. [Google Scholar] [CrossRef]
- Belopolski, I.; Xu, S.-Y.; Ishida, Y.; Pan, X.; Yu, P.; Sanchez, D.S.; Zheng, H.; Neupane, M.; Alidoust, N.; Chang, G.; et al. Fermi Arc Electronic Structure and Chern Numbers in the Type-II Weyl Semimetal Candidate MoxW1−xTe2. Phys. Rev. B 2016, 94, 085127. [Google Scholar] [CrossRef]
- Xu, S.-Y.; Alidoust, N.; Chang, G.; Lu, H.; Singh, B.; Belopolski, I.; Sanchez, D.S.; Zhang, X.; Bian, G.; Zheng, H.; et al. Discovery of Lorentz-Violating Type II Weyl Fermions in LaAlGe. Sci. Adv. 2017, 3, e1603266. [Google Scholar] [CrossRef]
- Bruno, F.Y.; Tamai, A.; Wu, Q.S.; Cucchi, I.; Barreteau, C.; de la Torre, A.; McKeown Walker, S.; Riccò, S.; Wang, Z.; Kim, T.K.; et al. Observation of Large Topologically Trivial Fermi Arcs in the Candidate Type-II Weyl Semimetal WTe2. Phys. Rev. B 2016, 94, 121112. [Google Scholar] [CrossRef]
- Li, P.; Wen, Y.; He, X.; Zhang, Q.; Xia, C.; Yu, Z.-M.; Yang, S.A.; Zhu, Z.; Alshareef, H.N.; Zhang, X.-X. Evidence for Topological Type-II Weyl Semimetal WTe2. Nat. Commun. 2017, 8, 2150. [Google Scholar] [CrossRef] [PubMed]
- Wang, Y.J.; Gong, J.X.; Liang, D.D.; Ge, M.; Wang, J.R.; Zhu, W.K. Planar Hall Effect in Type-II Weyl Semimetal WTe2. arXiv 2018, arXiv:1801.05929. [Google Scholar] [CrossRef]
- Antonenko, A.O.; Charnaya, E.V.; Pirozerskii, A.L.; Nefedov, D.Y.; Lee, M.K.; Chang, L.J.; Haase, J.; Naumov, S.V.; Domozhirova, A.N.; Marchenkov, V.V. 125Te Spin-Lattice Relaxation in a Candidate to Weyl Semimetals WTe2. Results Phys. 2021, 21, 103793. [Google Scholar] [CrossRef]
- Soluyanov, A.A.; Gresch, D.; Wang, Z.; Wu, Q.; Troyer, M.; Dai, X.; Bernevig, B.A. Type-II Weyl Semimetals. Nature 2015, 527, 495–498. [Google Scholar] [CrossRef] [PubMed]
- Kabashima, S. Electrical Properties of Tungsten-Ditelluride WTe2. J. Phys. Soc. Jpn. 1966, 21, 945–948. [Google Scholar] [CrossRef]
- Wu, Y.; Jo, N.H.; Ochi, M.; Huang, L.; Mou, D.; Bud’ko, S.L.; Canfield, P.C.; Trivedi, N.; Arita, R.; Kaminski, A. Temperature-Induced Lifshitz Transition in WTe2. Phys. Rev. Lett. 2015, 115, 166602. [Google Scholar] [CrossRef] [PubMed]
- Ali, M.N.; Xiong, J.; Flynn, S.; Tao, J.; Gibson, Q.D.; Schoop, L.M.; Liang, T.; Haldolaarachchige, N.; Hirschberger, M.; Ong, N.P.; et al. Large, Non-Saturating Magnetoresistance in WTe2. Nature 2014, 514, 205–208. [Google Scholar] [CrossRef]
- Pirozerskii, A.L.; Charnaya, E.V.; Lee, M.K.; Chang, L.-J.; Naumov, S.V.; Domozhirova, A.N.; Marchenkov, V.V. Magnetoresistance and Quantum Oscillations in WTe2 Semimetal. Phys. Solid State 2022, 64, 80–84. [Google Scholar] [CrossRef]
- He, P.; Hsu, C.-H.; Shi, S.; Cai, K.; Wang, J.; Wang, Q.; Eda, G.; Lin, H.; Pereira, V.M.; Yang, H. Nonlinear magnetotransport shaped by Fermi surface topology and convexity. Nat. Commun. 2019, 10, 1290. [Google Scholar] [CrossRef]
- Fei, Z.; Zhao, W.; Palomaki, T.A.; Sun, B.; Miller, M.K.; Zhao, Z.; Yan, J.; Xu, X.; Cobden, D.H. Ferroelectric Switching of a Two-Dimensional Metal. Nature 2018, 560, 336–339. [Google Scholar] [CrossRef] [PubMed]
- Ji, S.; Grånäs, O.; Weissenriede, J. Manipulation of Stacking Order in Td-WTe2 by Ultrafast Optical Excitation. ACS Nano 2021, 15, 8826–8835. [Google Scholar] [CrossRef] [PubMed]
- Zhao, C.; Hu, M.; Qin, J.; Xia, B.; Liu, C.; Wang, S.; Guan, D.; Li, Y.; Zheng, H.; Liu, J.; et al. Strain Tunable Semimetal–Topological-Insulator Transition in Monolayer 1T′−WTe2. Phys. Rev. Lett. 2020, 125, 046801. [Google Scholar] [CrossRef] [PubMed]
- Jia, Y.; Wang, P.; Chiu, C.L.; Song, Z.; Yu, G.; Jäck, B.; Lei, S.; Klemenz, S.; Cevallos, F.A.; Onyszczak, M.; et al. Evidence for a monolayer excitonic insulator. Nat. Phys. 2022, 18, 87–93. [Google Scholar] [CrossRef]
- Li, J.; Rashetnia, M.; Lohmann, M.; Koo, J.; Xu, Y.; Zhang, X.; Watanabe, K.; Taniguchi, T.; Jia, S.; Chen, X.; et al. Proximity-magnetized quantum spin Hall insulator: Monolayer 1 T’ WTe2/Cr2Ge2Te6. Nat. Commun. 2022, 13, 5134. [Google Scholar] [CrossRef]
- Chang, C.-Z.; Zhang, J.; Feng, X.; Shen, J.; Zhang, Z.; Guo, M.; Li, K.; Ou, Y.; Wei, P.; Wang, L.-L.; et al. Experimental Observation of the Quantum Anomalous Hall Effect in a Magnetic Topological Insulator. Science 2013, 340, 167–170. [Google Scholar] [CrossRef]
- Khachatryan, A.S.; Charnaya, E.V.; Shevchenko, E.V.; Likholetova, M.V.; Lee, M.K.; Chang, L.J.; Naumov, S.V.; Domozhirova, A.N.; Marchenkov, V.V. Coexistence of Magnetic States and Metamagnetism in the Bi2-xCrxSe3 Topological Insulators. EPL 2021, 134, 47002. [Google Scholar] [CrossRef]
- Maurya, V.K.; Patidar, M.M.; Dhaka, A.; Rawat, R.; Ganesan, V.; Dhaka, R.S. Magnetotransport and Berry phase in magnetically doped Bi0.97−xSb0.03 single crystals. Phys. Rev. B 2020, 102, 144412. [Google Scholar] [CrossRef]
- Tan, A.; Labracherie, V.; Kunchur, N.; Wolter, A.U.B.; Cornejo, J.; Dufouleur, J.; Büchner, B.; Isaeva, A.; Giraud, R. Metamagnetism of Weakly Coupled Antiferromagnetic Topological Insulators. Phys. Rev. Lett. 2020, 124, 197201. [Google Scholar] [CrossRef]
- Lei, C.; Heinonen, O.; MacDonald, A.H.; McQueeney, R.J. Metamagnetism of Few-Layer Topological Antiferromagnets. Phys. Rev. Mater. 2021, 5, 064201. [Google Scholar] [CrossRef]
- Chen, F.C.; Luo, X.; Xiao, R.C.; Lu, W.J.; Zhang, B.H.; Yang, H.X.; Li, J.Q.; Pei, Q.L.; Shao, D.F.; Zhang, R.R.; et al. Superconductivity enhancement in the S-doped Weyl semimetal candidate MoTe2. Appl. Phys. Lett. 2016, 108, 162601. [Google Scholar] [CrossRef]
- Mandal1, M.; Patra, C.; Kataria, A.; Suvodeep, P.; Saha, S.; Singh, R.P. Superconductivity in doped Weyl semimetal Mo0.9Ir0.1Te2 with broken inversion symmetry. Supercond. Sci. Technol. 2022, 35, 025011. [Google Scholar] [CrossRef]
- Deng, M.-X.; Luo, W.; Wang, R.-Q.; Sheng, L.; Xing, D.Y. Weyl semimetal induced from a Dirac semimetal by magnetic doping. Phys. Rev. B 2017, 96, 155141. [Google Scholar] [CrossRef]
- Lee, K.-Y.; Yun, J.-H.; Kim, J.H.; Salawu, Y.A.; Kim, H.-J.; Lee, J.J.; Lee, H.; Rhyee, J.-S. Coexistence of Kondo Effect and Weyl Semimetallic States in Mn-Doped MnxVAl3 Compounds. Mater. Today Phys. 2022, 26, 100732. [Google Scholar] [CrossRef]
- Singh, A.; Sasmal, S.; Iyer, K.K.; Thamizhavel, A.; Maiti, K. Evolution of Extremely Large Magnetoresistance in a Weyl Semimetal, WTe2 with Ni-Doping. Phys. Rev. Mater. 2022, 6, 124202. [Google Scholar] [CrossRef]
- Kumar, N.; Guin, S.N.; Manna, K.; Shekhar, C.; Felser, C. Topological Quantum Materials from the Viewpoint of Chemistry. Chem. Rev. 2021, 121, 2780–2815. [Google Scholar] [CrossRef]
- Lin, E.-C.; Lin, Y.-T.; Chou, C.-T.; Chen, C.-A.; Wu, Y.-J.; Chen, P.-H.; Lee, S.-F.; Chang, C.-S.; Chen, Y.-F.; Lee, Y.-H. Enhanced Magnetoresistance of Doped WTe2 Single Crystals. ACS Appl. Electron. Mater. 2022, 4, 4540–4546. [Google Scholar] [CrossRef]
- Zhu, L.; Li, Q.-Y.; Lv, Y.; Li, S.; Zhu, X.-Y.; Jia, Z.-Y.; Chen, Y.B.; Wen, J.; Li, S.-C. Superconductivity in Potassium-intercalated Td-WTe2. Nano Lett. 2018, 18, 6585–6590. [Google Scholar] [CrossRef] [PubMed]
- Basnet, R.; Pandey, K.; Acharya, G.; Nabi, M.R.U.; Wegner, A.; Hu, J. Transport Properties of Fe-doped type-II Weyl semimetal WTe2. Bull. Am. Phys. Soc. 2021, 66, 1. Available online: https://meetings.aps.org/Meeting/MAR21/Session/E51.6 (accessed on 16 March 2021).
- Basnet, R.; Pandey, K.; Acharya, G.; Nabi, M.R.U.; Wegner, A.; Stephenson, C.B.; Bishop, S.; Hu, J. Metal-insulator transition in Fe-doped type-II Weyl semimetal WTe2. Bull. Am. Phys. Soc. 2022, 67, 3. Available online: https://meetings.aps.org/Meeting/MAR22/Session/Q70.11 (accessed on 16 March 2022).
- Yang, L.; Wu, H.; Zhang, L.; Zhang, W.; Li, L.; Kawakami, T.; Sugawara, K.; Sato, T.; Zhang, G.; Gao, P.; et al. Highly Tunable Near-Room Temperature Ferromagnetism in Cr-Doped Layered Td-WTe2. Adv. Funct. Mater. 2021, 31, 2008116. [Google Scholar] [CrossRef]
- Kohno, H. Spintronics with Weyl Semimetal. JPSJ News Comments 2021, 18, 13. [Google Scholar] [CrossRef]
- Yang, S.A. Dirac and Weyl Materials: Fundamental Aspects and Some Spintronics Applications. SPIN 2016, 06, 1640003. [Google Scholar] [CrossRef]
- Rubel, M.H.K.; Hossain, M.K. Crystal Structures and Properties of Nanomagnetic Materials. In Fundamentals of Low Dimensional Magnets, 1st ed.; CRC Press, Taylor & Francis Group: Boca Raton, FL, USA, 2022; Chapter 10. [Google Scholar] [CrossRef]
- Anik, M.I.; Hossain, M.K.; Hossain, I.; Mahfuz, A.M.U.B.; Rahman, M.T.; Ahmed, I. Recent progress of magnetic nanoparticles in biomedical applications: A review. Nano Select 2021, 2, 1146–1186. [Google Scholar] [CrossRef]
- Perevalova, A.N.; Naumov, S.V.; Podgornykh, S.M.; Chistyakov, V.V.; Marchenkova, E.B.; Fominykh, B.M.; Marchenkov, V.V. Kinetic Properties of a Topological Semimetal WTe2 Single Crystal. Phys. Met. Metallogr. 2022, 123, 1061–1067. [Google Scholar] [CrossRef]
- Brown, B.E. The Crystal Structures of WTe2 and High-Temperature MoTe2. Acta Cryst. 1966, 20, 268–274. [Google Scholar] [CrossRef]
- Kang, D.; Zhou, Y.; Yi, W.; Yang, C.; Guo, J.; Shi, Y.; Zhang, S.; Wang, Z.; Zhang, C.; Jiang, S.; et al. Superconductivity Emerging from a Suppressed Large Magnetoresistant State in Tungsten Ditelluride. Nat. Commun. 2015, 6, 7804. [Google Scholar] [CrossRef]
- Pan, X.-C.; Chen, X.; Liu, H.; Feng, Y.; Wei, Z.; Zhou, Y.; Chi, Z.; Pi, L.; Yen, F.; Song, F.; et al. Pressure-Driven Dome-Shaped Superconductivity and Electronic Structural Evolution in Tungsten Ditelluride. Nat. Commun. 2015, 6, 7805. [Google Scholar] [CrossRef]
- Mar, A.; Jobic, S.; Ibers, J.A. Metal-Metal vs. Tellurium-Tellurium Bonding in WTe2 and Its Ternary Variants TaIrTe4 and NbIrTe4. J. Am. Chem. Soc. 1992, 114, 8963–8971. [Google Scholar] [CrossRef]
- Stryjewski, E.; Giordano, N. Metamagnetism. Adv. Phys. 1977, 26, 487–650. [Google Scholar] [CrossRef]
- Quinn, J.J.; Yi, K.-S. Solid State Physics: Principles and Modern Applications; Springer: Berlin/Heidelberg, Germany, 2009; ISBN 978-3-540-92230-8. [Google Scholar]
- Callanan, J.E.; Hope, G.A.; Weir, R.D.; Westrum, E.F. Thermodynamic Properties of Tungsten Ditelluride (WTe2) I. The Preparation and Low temperature Heat Capacity at Temperatures from 6 K to 326 K. J. Chem. Thermodyn. 1992, 24, 627–638. [Google Scholar] [CrossRef]
- Liu, Y.; Li, Z.; Guo, L.; Chen, X.; Yuan, Y.; Liu, F.; Prucnal, S.; Helm, M.; Zhou, S. Intrinsic Diamagnetism in the Weyl Semimetal TaAs. J. Magn. Magn. Mater. 2016, 408, 73–76. [Google Scholar] [CrossRef]
- Leahy, I.A.; Lin, Y.-P.; Siegfried, P.E.; Treglia, A.C.; Song, J.C.W.; Nandkishore, R.M.; Lee, M. Nonsaturating Large Magnetoresistance in Semimetals. Proc. Natl. Acad. Sci. USA 2018, 115, 10570–10575. [Google Scholar] [CrossRef] [PubMed]
- Li, Z.; Chen, L.; Meng, S.; Guo, L.; Huang, J.; Liu, Y.; Wang, W.; Chen, X. Field and Temperature Dependence of Intrinsic Diamagnetism in Graphene: Theory and Experiment. Phys. Rev. B 2015, 91, 094429. [Google Scholar] [CrossRef]
- Lei, S.; Lin, J.; Jia, Y.; Gray, M.; Topp, A.; Farahi, G.; Klemenz, S.; Gao, T.; Rodolakis, F.; McChesney, J.L.; et al. High Mobility in a van Der Waals Layered Antiferromagnetic Metal. Sci. Adv. 2020, 6, eaay6407. [Google Scholar] [CrossRef]
- Guo, Q.; Bao, D.; Zhao, L.J.; Ebisu, S. Novel Magnetic Behavior of Antiferromagnetic GdTe3 Induced by Magnetic Field. Phys. B Condens. 2021, 617, 413153. [Google Scholar] [CrossRef]
- Pakhira, S.; Mazumdar, C.; Ranganathan, R.; Giri, S.; Avdeev, M. Large Magnetic Cooling Power Involving Frustrated Antiferromagnetic Spin-Glass State in R2NiSi3 (R = Gd, Er). Phys. Rev. B 2016, 94, 104414. [Google Scholar] [CrossRef]
- Pal, S.; Kumar, K.; Banerjee, A. Memorylike Response of the Magnetic Glass. Phys. Rev. B 2021, 103, 144434. [Google Scholar] [CrossRef]
- Wang, S.-X.; Chang, H.-R.; Zhou, J. RKKY Interaction in Three-Dimensional Electron Gases with Linear Spin-Orbit Coupling. Phys. Rev. B 2017, 96, 115204. [Google Scholar] [CrossRef]
- Araki, Y.; Nomura, K. Spin Textures and Spin-Wave Excitations in Doped Dirac-Weyl Semimetals. Phys. Rev. B 2016, 93, 094438. [Google Scholar] [CrossRef]
- Hosseini, M.V.; Askari, M. Ruderman-Kittel-Kasuya-Yosida Interaction in Weyl Semimetals. Phys. Rev. B 2015, 92, 224435. [Google Scholar] [CrossRef]
- Levitin, R.Z.; Markosyan, A.S. Itinerant Metamagnetism. Sov. Phys. Usp. 1988, 21, 730. [Google Scholar] [CrossRef]
- Leithe-Jasper, A.; Schnelle, W.; Rosner, H.; Baenitz, M.; Rabis, A.; Gippius, A.A.; Morozova, E.N.; Borrmann, H.; Burkhardt, U.; Ramlau, R.; et al. Weak Itinerant Ferromagnetism and Electronic and Crystal Structures of Alkali-Metal Iron Antimonides: NaFe4Sb12 and KFe4Sb12. Phys. Rev. B 2004, 70, 214418. [Google Scholar] [CrossRef]
- Yamaji, Y.; Misawa, T.; Imada, M. Quantum Metamagnetic Transitions Induced by Changes in Fermi-Surface Topology: Applications to a Weak Itinerant-Electron Ferromagnet ZrZn2. J. Phys. Soc. Jpn. 2007, 76, 063702. [Google Scholar] [CrossRef][Green Version]
- Chen, W.; James, A.D.N.; Dugdale, S.B. Local Electron Correlation Effects on the Fermiology of the Weak Itinerant Ferromagnet ZrZn2. Electron. Struct. 2022, 4, 045002. [Google Scholar] [CrossRef]







Disclaimer/Publisher’s Note: The statements, opinions and data contained in all publications are solely those of the individual author(s) and contributor(s) and not of MDPI and/or the editor(s). MDPI and/or the editor(s) disclaim responsibility for any injury to people or property resulting from any ideas, methods, instructions or products referred to in the content. |
© 2023 by the authors. Licensee MDPI, Basel, Switzerland. This article is an open access article distributed under the terms and conditions of the Creative Commons Attribution (CC BY) license (https://creativecommons.org/licenses/by/4.0/).
Share and Cite
Khachatryan, A.S.; Charnaya, E.V.; Likholetova, M.V.; Shevchenko, E.V.; Lee, M.K.; Chang, L.-J.; Naumov, S.V.; Perevalova, A.N.; Marchenkova, E.B.; Marchenkov, V.V. Magnetic Studies of Iron-Doped Probable Weyl Semimetal WTe2. Condens. Matter 2023, 8, 6. https://doi.org/10.3390/condmat8010006
Khachatryan AS, Charnaya EV, Likholetova MV, Shevchenko EV, Lee MK, Chang L-J, Naumov SV, Perevalova AN, Marchenkova EB, Marchenkov VV. Magnetic Studies of Iron-Doped Probable Weyl Semimetal WTe2. Condensed Matter. 2023; 8(1):6. https://doi.org/10.3390/condmat8010006
Chicago/Turabian StyleKhachatryan, Andranik S., Elena V. Charnaya, Marina V. Likholetova, Evgeniy V. Shevchenko, Min Kai Lee, Lieh-Jeng Chang, Sergey V. Naumov, Alexandra N. Perevalova, Elena B. Marchenkova, and Vyacheslav V. Marchenkov. 2023. "Magnetic Studies of Iron-Doped Probable Weyl Semimetal WTe2" Condensed Matter 8, no. 1: 6. https://doi.org/10.3390/condmat8010006
APA StyleKhachatryan, A. S., Charnaya, E. V., Likholetova, M. V., Shevchenko, E. V., Lee, M. K., Chang, L.-J., Naumov, S. V., Perevalova, A. N., Marchenkova, E. B., & Marchenkov, V. V. (2023). Magnetic Studies of Iron-Doped Probable Weyl Semimetal WTe2. Condensed Matter, 8(1), 6. https://doi.org/10.3390/condmat8010006

