Hidden Pseudogap and Excitation Spectra in a Strongly Coupled Two-Band Superfluid/Superconductor
Abstract
1. Introduction
2. Formalism
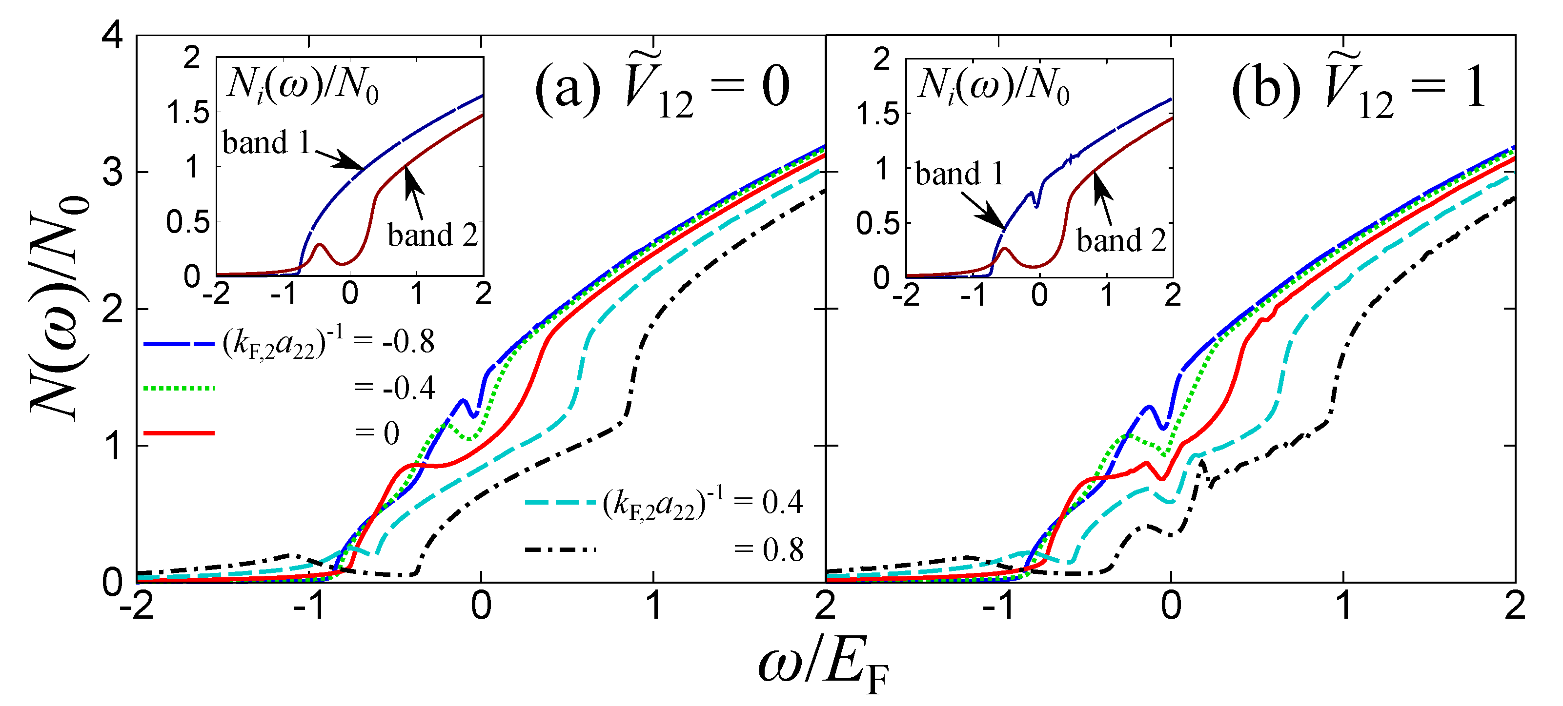
3. Results
4. Conclusions
Author Contributions
Funding
Institutional Review Board Statement
Informed Consent Statement
Data Availability Statement
Acknowledgments
Conflicts of Interest
References
- Eagles, D.M. Possible pairing without superconductivity at low carrier concentrations in bulk and thin-film superconducting semiconductor. Phys. Rev. 1969, 186, 456. [Google Scholar] [CrossRef]
- Leggett, A.J. Diatomic molecules and Cooper pairs. In Modern Trends in the Theory of Condensed Matter; Peralski, A., Przystawa, Eds.; Springer: Berlin, Germany, 1980. [Google Scholar]
- Nozières, P.; Schmitt-Rink, S. Bose condensation in an attractive fermion gas: From weak to strong coupling superconductivity. J. Low Temp. Phys. 1985, 59, 195–211. [Google Scholar] [CrossRef]
- Sá de Melo, C.A.R.; Randeria, M.; Engelbrecht, J.R. Crossover from BCS to Bose Superconductivity: Transition Temperature and Time-Dependent Ginzburg-Landau Theory. Phys. Rev. Lett. 1993, 71, 3202. [Google Scholar] [CrossRef]
- Regal, C.A.; Greiner, M.; Jin, D.S. Observation of Resonance Condensation of Fermionic Atom Pairs. Phys. Rev. Lett. 2004, 92, 040403. [Google Scholar] [CrossRef]
- Zwierlein, M.W.; Stan, C.A.; Schunck, C.H.; Raupach, S.M.F.; Kerman, A.J.; Ketterle, W. Condensation of Pairs of Fermionic Atoms near a Feshbach Resonance. Phys. Rev. Lett. 2004, 92, 120403. [Google Scholar] [CrossRef]
- Lubashevsky, Y.; Lahoud, E.; Chashka, K.; Podolsky, D.; Kanigel, A. Shallow pockets and very strong coupling superconductivity in FeSexTe1−x. Nat. Phys. 2012, 8, 309–312. [Google Scholar] [CrossRef]
- Kasahara, S.; Watashige, T.; Hanaguri, T.; Kohsaka, Y.; Yamashita, T.; Shimoyama, Y.; Mizukami, Y.; Endo, R.; Ikeda, H.; Aoyama, K.; et al. Field-induced superconducting phase of FeSe in the BCS-BEC cross-over. Proc. Natl. Acad. Sci. USA 2014, 111, 16309. [Google Scholar] [CrossRef]
- Kasahara, S.; Yamashita, T.; Shi, A.; Kobayashi, R.; Shimoyama, Y.; Watashige, T.; Ishida, K.; Terashima, T.; Wolf, T.; Hardy, F.; et al. Giant superconducting fluctuations in the compensated semimetal FeSe at the BCS-BEC crossover. Nat. Commun. 2016, 7, 12843. [Google Scholar] [CrossRef]
- Rinott, S.; Chashka, K.B.; Ribak, A.; Rienks Emile, D.L.; Taleb-Ibrahimi, A.; Le Fevre, P.; Bertran, F.; Randeria, M.; Kanigel, A. Tuning across the BCS-BEC crossover in the multiband superconductor Fe1+ySexTe1−x: An angle-resolved photoemission study. Sci. Adv. 2017, 3, e1602372. [Google Scholar] [CrossRef]
- Hashimoto, T.; Ota, Y.; Tsuzuki, A.; Nagashima, T.; Fukushima, A.; Kasahara, S.; Matsuda, Y.; Matsuura, K.; Mizukami, Y.; Shibauchi, T.; et al. Bose-Einstein condensation superconductivity induced by disappearance of the nematic state. Sci. Adv. 2020, 6, eabb9052. [Google Scholar] [CrossRef]
- Valletta, A.; Bianconi, A.; Perali, A.; Saini, N.L. Electronic and superconducting properties of a superlattice of quantum stripes at the atomic limit. Z. Phys. B Condens. Matter 1997, 104, 707–713. [Google Scholar] [CrossRef]
- Iskin, M.; Sá de Melo, C.A.R. Two-band superfluidity from the BCS to the BEC limit. Phys. Rev. B 2006, 74, 144517. [Google Scholar] [CrossRef]
- Innocenti, D.; Poccia, N.; Ricci, A.; Valletta, A.; Caprara, S.; Perali, A.; Bianconi, A. Resonant and crossover phenomena in a multiband superconductor: Tuning the chemical potential near a band edge. Phys. Rev. B 2010, 82, 184528. [Google Scholar] [CrossRef]
- Guidini, A.; Perali, A. Band-edge BCS-BEC crossover in a two-band superconductor: Physical properties and detection parameters. Supercond. Sci. Technol. 2014, 27, 124002. [Google Scholar] [CrossRef]
- He, L.; Hu, H.; Liu, X.-J. Two-band description of resonant supefluidity in atomic Fermi gases. Phys. Rev. A 2015, 91, 023622. [Google Scholar] [CrossRef]
- He, L.; Wang, J.; Peng, S.-G.; Liu, X.-J.; Hu, H. Strongly correlated Fermi superfluid near an orbital Feshbach resonance: Stability, equation of state, and Leggett mode. Phys. Rev. A 2016, 94, 043624. [Google Scholar] [CrossRef]
- Chubukov, A.V.; Eremin, I.; Efremov, D.V. Superconductivity versus bound-state formation in a two-band superconductor with small Fermi energy: Applications to Fe pnictides/chalcogenides and doped SrTiO3. Phys. Rev. B 2016, 93, 174516. [Google Scholar] [CrossRef]
- Wolf, S.; Vagov, A.; Shanenko, A.A.; Axt, V.M.; Perali, A.; Albino Aguiar, J. BCS-BEC crossover induced by a shallow band: Pushing standard superconductivity types apart. Phys. Rev. B 2017, 95, 094521. [Google Scholar] [CrossRef]
- Mondal, S.; Inotani, D.; Ohashi, Y. Single-particle Excitations and Strong-Coupling Effects in the BCS-BEC Crossover Regime of a Rare-Earth Fermi Gas with an Orbital Feshbach Resonance. J. Phys. Soc. Jpn. 2018, 87, 084302. [Google Scholar] [CrossRef]
- Yerin, Y.; Tajima, H.; Pieri, P.; Perali, A. Coexistence of giant Cooper pairs with a bosonic condensate and anomalous behavior of energy gaps in the BCS-BEC crossover of a two band superfluid Fermi gas. Phys. Rev. B 2019, 100, 104528. [Google Scholar] [CrossRef]
- Aoki, H. Theoretical Possibilities for Flat Band Superconductivity. J. Supercond. Nov. Magn. 2020, 33, 2341–2346. [Google Scholar] [CrossRef]
- Suhl, H.; Matthias, B.T.; Walker, L.R. Bardeen–Cooper–Schrieffer Theory of Superconductivity in the Case of Overlapping Bands. Phys. Rev. Lett. 1959, 3, 552. [Google Scholar] [CrossRef]
- Zhang, R.; Cheng, Y.; Zhai, H.; Zhang, P. Orbital Feshbach Resonance in Alkali-Earth Atoms. Phys. Rev. Lett. 2015, 115, 135301. [Google Scholar] [CrossRef]
- Pagano, G.; Mancini, M.; Cappellini, G.; Livi, L.; Sias, C.; Catani, J.; Inguscio, M.; Fallani, L. Strongly Interacting Gas of Two-Electron Fermions at an Orbital Feshbach Reonance. Phys. Rev. Lett. 2015, 115, 265301. [Google Scholar] [CrossRef]
- Höfer, M.; Riegger, L.; Scazza, F.; Hofrichter, C.; Fernandes, D.R.; Parish, M.M.; Levinsen, J.; Bloch, I.; Folling, S. Observation of an Orbital Interaction-Induced Feshbach Resonance in 173Yb. Phys. Rev. Lett. 2015, 115, 265302. [Google Scholar] [CrossRef] [PubMed]
- Mueller, E.J. Review of pseudogaps in strongly interacting Fermi gases. Rep. Prog, Phys. 2017, 80, 104401. [Google Scholar] [CrossRef]
- Calvanese Strinati, G.; Pieri, P.; Röpke, G.; Schuck, P.; Urban, M. The BCS-BEC crossover: From ultra-cold Fermi gases to nuclear systems. Phys. Rep. 2018, 738, 1. [Google Scholar] [CrossRef]
- Ohashi, Y.; Tajima, H.; van Wyk, P. BCS-BEC crossover in cold atomic and in nuclear systems. Prog. Part. Nucl. Phys. 2020, 111, 103739. [Google Scholar] [CrossRef]
- Gati, E.; Böhmer, A.E.; Bud’ko, S.L.; Canfield, P.C. Bulk superconductivity and role of fluctuations in the iron based superconductor FeSe at high pressures. Phys. Rev. Lett. 2019, 123, 167002. [Google Scholar] [CrossRef]
- Seo, Y.I.; Choi, W.J.; Kimura, S.; Kwon, Y.S. Evidence for a preformed Cooper pair model in the pseudogap spectra of a Ca10(Pt4As8)(Fe2As2)5 single crystal with a nodal superconducting gap. Sci. Rep. 2019, 9, 3987. [Google Scholar] [CrossRef]
- Kang, B.L.; Shi, M.Z.; Li, S.J.; Wang, H.H.; Zhang, Q.; Zhao, D.; Li, J.; Song, D.W.; Zheng, L.X.; Nie, L.P.; et al. Preformed Cooper Pairs in Layered FeSe-Based Superconductors. Phys. Rev. Lett. 2020, 125, 097003. [Google Scholar] [CrossRef]
- Solovjov, A.L.; Petrenko, E.V.; Omelchenko, L.V.; Nazarova, E.; Buchkov, K.; Rogacki, K. Fluctuating Cooper pairs in FeSe at temperatures exceeding double Tc. arXiv 2020, arXiv:2010.12319. [Google Scholar] [CrossRef]
- Hanaguri, T.; Kasahara, S.; Böker, J.; Eremin, I.; Shibauchi, T.; Matsuda, Y. Quantum Vortex Core and Missing Pseudogap in the Multiband BCS-BEC Crossover Superconductor FeSe. Phys. Rev. Lett. 2019, 122, 077001. [Google Scholar] [CrossRef] [PubMed]
- Takahashi, H.; Nabeshima, F.; Ogawa, R.; Ohmichi, E.; Ohta, H.; Maeda, A. Superconducting fluctuations in FeSe investigated by precise torque magnetometry. Phys. Rev. B 2019, 99, 060503(R). [Google Scholar] [CrossRef]
- Salasnich, L.; Shanenko, A.A.; Vagov, A.; Albino Aguiar, J.; Perali, A. Screening of pair fluctuations in superconductors with coupled shallow and deep bands: A route to higher-temperature superconductivity. Phys. Rev. B 2019, 100, 064510. [Google Scholar] [CrossRef]
- Saraiva, T.T.; Cavalcanti, P.J.F.; Vagov, A.; Vasenko, A.S.; Perali, A.; Dell’Anna, L.; Shanenko, A.A. Multiband Material with a Quasi-1D Band as a Robust High-Temperature Superconductor. Phys. Rev. Lett. 2020, 125, 217003. [Google Scholar] [CrossRef]
- Tajima, H.; Yerin, Y.; Perali, A.; Pieri, P. Enhanced critical temperature, pairing fluctuation effects, and BCS-BEC crossover in a two band Fermi gas. Phys. Rev. B 2019, 99, 180503(R). [Google Scholar] [CrossRef]
- Tajima, H.; Pieri, P.; Perali, A. BCS-BEC Crossover and Pairing Fluctuations in a Two Band Superfluid/Superconductors: A T Matrix Approach. Condens. Matter 2020, 5, 10. [Google Scholar] [CrossRef]
- Tajima, H.; Yerin, Y.; Pieri, P.; Perali, A. Mechanism of screening or enhancing the pseudogapp throughout the two-band Bardeen-Cooper-Schrieffer to Bose-Einstein condensate crossover. Phys. Rev. B 2020, 102, 220504(R). [Google Scholar] [CrossRef]
- Fischer, Ø.; Kugler, M.; Maggio-Aprile, I.; Berthod, C.; Renner, C. Scanning tunneling spectroscopy of high-temperature superconductors. Rev. Mod. Phys. 2007, 79, 353. [Google Scholar] [CrossRef]
- Vargas-Paredes, A.A.; Shanenko, A.A.; Vagov, A.; Milošević, M.V.; Perali, A. Crossband versus intraband pairing in superconductors: Signatures and consequences of the interplay. Phys. Rev. B 2020, 101, 094516. [Google Scholar] [CrossRef]
- Perali, A.; Pieri, P.; Strinati, G.C.; Castellani, C. Pseudogap and spectral function from superconducting fluctuations to the bosonic limit. Phys. Rev. B 2002, 66, 024510. [Google Scholar] [CrossRef]
- Gaebler, J.P.; Stewart, J.T.; Drake, T.E.; Jin, D.S.; Perali, A.; Pieri, P.; Strinati, G.C. Observation of pseudogap behaviour in a strongly interacting Fermi gas. Nat. Phys. 2010, 6, 569. [Google Scholar] [CrossRef]
- Perali, A.; Palestini, F.; Pieri, P.; Strinati, G.C.; Stewart, J.T.; Gaebler, J.P.; Drake, T.E.; Jin, D.S. Evolution of the Normal State of a Strongly Interacting Fermi Gas from a Pseudogap Phase to a Molecular Bose Gas. Phys. Rev. Lett. 2011, 106, 060402. [Google Scholar] [CrossRef]
- Palestini, F.; Perali, A.; Pieri, P.; Strinati, G.C. Dispersions, weights, and widths of the single-particle spectral function in the normal phase of a Fermi gas. Phys. Rev. B 2012, 85, 024517. [Google Scholar] [CrossRef]
- Del Pace, G.; Kwon, W.J.; Zaccanti, M.; Roati, G.; Scazza, F. Tunneling transport of unitary fermions across the superfluid transition. arXiv 2020, arXiv:2010.00582. [Google Scholar]



Publisher’s Note: MDPI stays neutral with regard to jurisdictional claims in published maps and institutional affiliations. |
© 2021 by the authors. Licensee MDPI, Basel, Switzerland. This article is an open access article distributed under the terms and conditions of the Creative Commons Attribution (CC BY) license (http://creativecommons.org/licenses/by/4.0/).
Share and Cite
Tajima, H.; Pieri, P.; Perali, A. Hidden Pseudogap and Excitation Spectra in a Strongly Coupled Two-Band Superfluid/Superconductor. Condens. Matter 2021, 6, 8. https://doi.org/10.3390/condmat6010008
Tajima H, Pieri P, Perali A. Hidden Pseudogap and Excitation Spectra in a Strongly Coupled Two-Band Superfluid/Superconductor. Condensed Matter. 2021; 6(1):8. https://doi.org/10.3390/condmat6010008
Chicago/Turabian StyleTajima, Hiroyuki, Pierbiagio Pieri, and Andrea Perali. 2021. "Hidden Pseudogap and Excitation Spectra in a Strongly Coupled Two-Band Superfluid/Superconductor" Condensed Matter 6, no. 1: 8. https://doi.org/10.3390/condmat6010008
APA StyleTajima, H., Pieri, P., & Perali, A. (2021). Hidden Pseudogap and Excitation Spectra in a Strongly Coupled Two-Band Superfluid/Superconductor. Condensed Matter, 6(1), 8. https://doi.org/10.3390/condmat6010008

