Effect of Mismatched Electron-Hole Effective Masses on Superfluidity in Double Layer Solid-State Systems
Abstract
1. Introduction
2. Materials and Methods
2.1. Mean Field Equations
2.2. Self-Consistent Screening
2.3. Transition Temperature
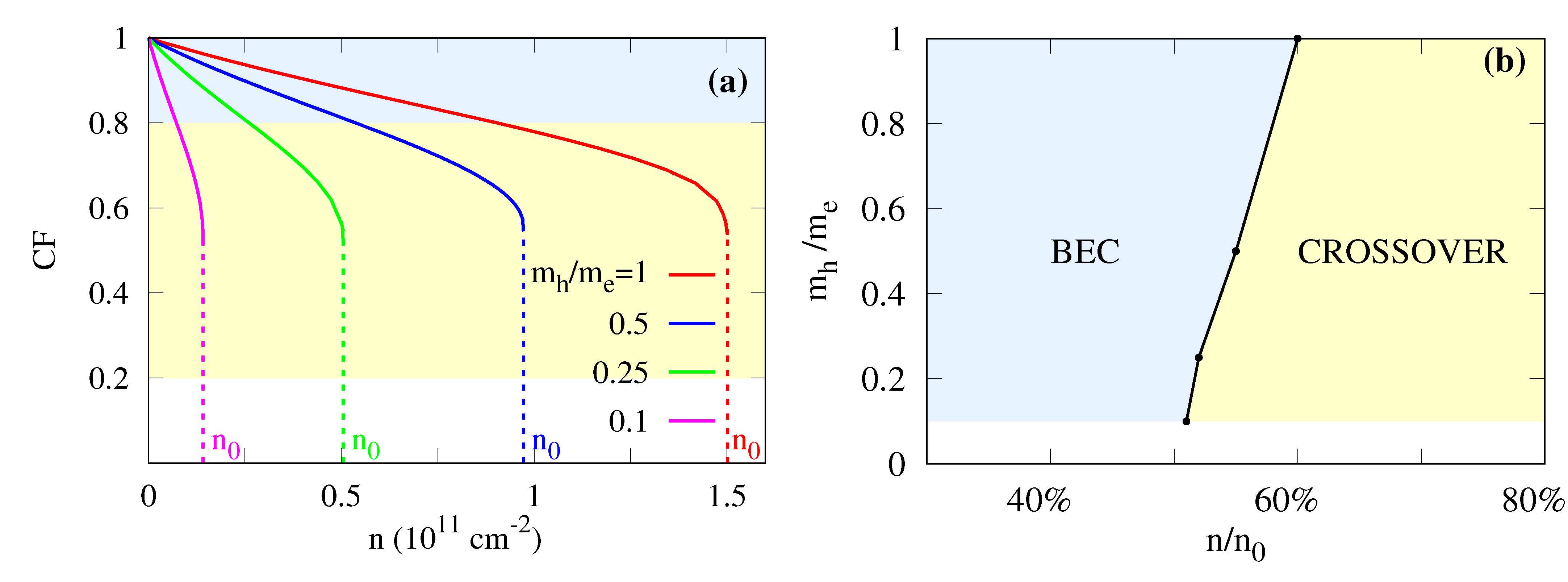
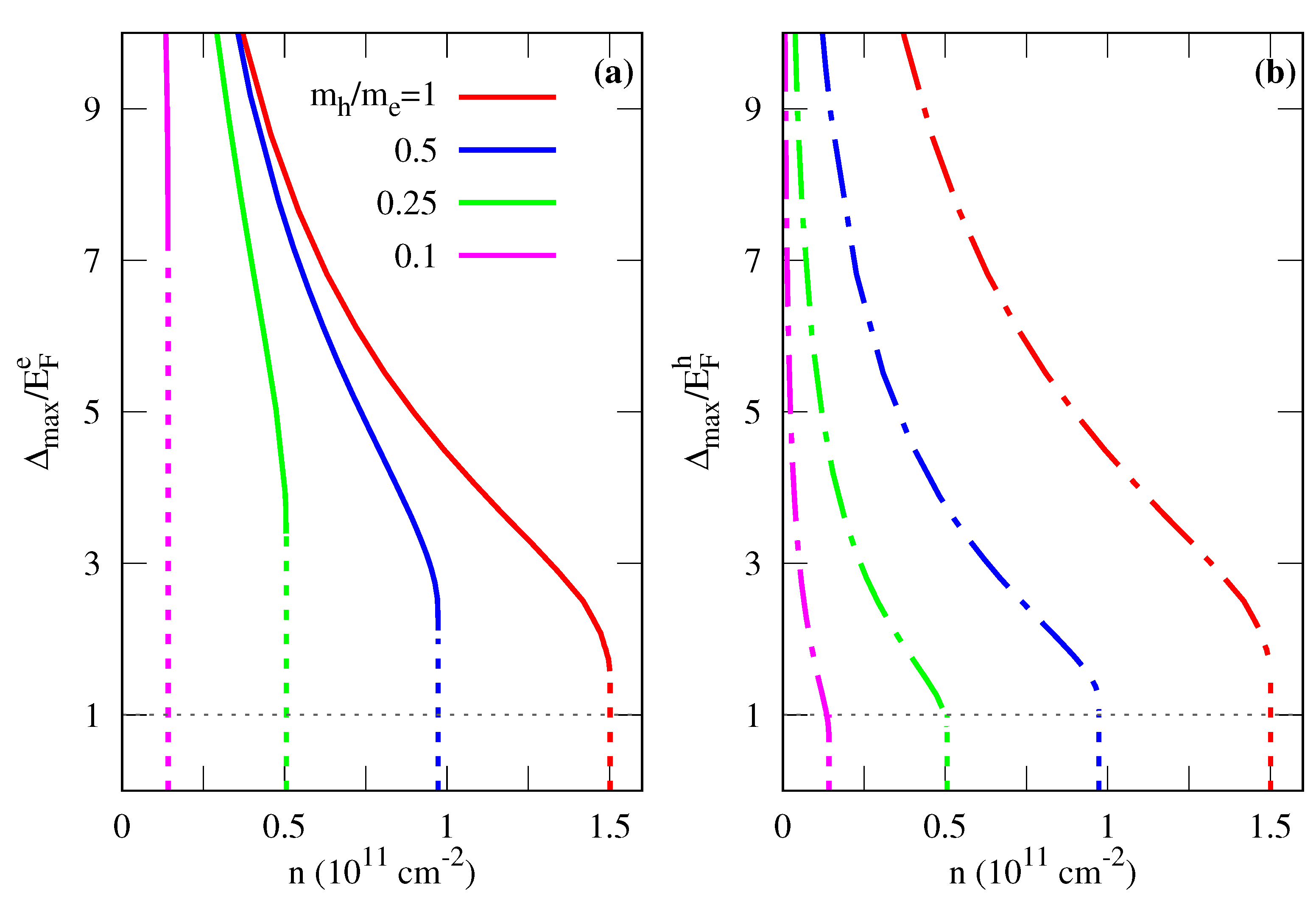
3. Results
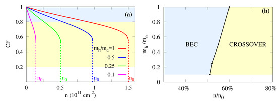
3.1. Superfluid Properties
3.2. Polarizabilities
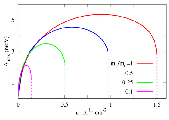
3.3. Excitation Energies
4. Discussion
Author Contributions
Funding
Institutional Review Board Statement
Informed Consent Statement
Data Availability Statement
Conflicts of Interest
Abbreviations
| BEC | Bose Einstein Condensation |
| BCS | Bardeen Cooper Schrieffer |
Appendix A. Polarizabilities in the Deep BEC Limit
Appendix B. Polarizabilities in the BCS Limit
References
- Iskin, M. Vortex core states in superfluid Fermi-Fermi mixtures with unequal masses. Phys. Rev. A 2008, 78, 021604. [Google Scholar] [CrossRef]
- Wang, J.; Che, Y.; Zhang, L.; Chen, Q. Enhancement effect of mass imbalance on Fulde-Ferrell-Larkin-Ovchinnikov type of pairing in Fermi-Fermi mixtures of ultracold quantum gases. Sci. Rep. 2017, 7, 39783. [Google Scholar] [CrossRef] [PubMed]
- Forbes, M.M.; Gubankova, E.; Liu, W.V.; Wilczek, F. Stability criteria for breached-pair superfluidity. Phys. Rev. Lett. 2005, 94, 017001. [Google Scholar] [CrossRef]
- Zhang, Y.C.; Maucher, F.; Pohl, T. Supersolidity around a critical point in dipolar Bose-Einstein Condensates. Phys. Rev. Lett. 2019, 123, 015301. [Google Scholar] [CrossRef]
- Kinnunen, J.J.; Baarsma, J.E.; Martikainen, J.P.; Törmä, P. The Fulde-Ferrell-Larkin-Ovchinnikov state for ultracold fermions in lattice and harmonic potentials: A review. Rep. Prog. Phys. 2018, 81, 046401. [Google Scholar] [CrossRef] [PubMed]
- Frank, B.; Lang, J.; Zwerger, W. Universal phase diagram and scaling functions of imbalanced Fermi gases. J. Exp. Theor. Phys. 2018, 127, 812–825. [Google Scholar] [CrossRef]
- Pieri, P.; Neilson, D.; Strinati, G.C. Effects of density imbalance on the BCS-BEC crossover in semiconductor electron-hole bilayers. Phys. Rev. B 2007, 75, 113301. [Google Scholar] [CrossRef]
- Subasi, A.L.; Pieri, P.; Senatore, G.; Tanatar, B. Stability of Sarma phases in density imbalanced electron-hole bilayer systems. Phys. Rev. B 2010, 81, 075436. [Google Scholar] [CrossRef]
- Parish, M.M.; Marchetti, F.M.; Littlewood, P.B. Supersolidity in electron-hole bilayers with a large density imbalance. EPL Europhys. Lett. 2011, 95, 27007. [Google Scholar] [CrossRef]
- Perali, A.; Neilson, D.; Hamilton, A.R. High-temperature superfluidity in double-bilayer graphene. Phys. Rev. Lett. 2013, 110, 146803. [Google Scholar] [CrossRef] [PubMed]
- Saberi-Pouya, S.; Conti, S.; Perali, A.; Croxall, A.F.; Hamilton, A.R.; Peeters, F.M.; Neilson, D. Experimental conditions for the observation of electron-hole superfluidity in GaAs heterostructures. Phys. Rev. B 2020, 101, 140501. [Google Scholar] [CrossRef]
- Conti, S.; Pouya, S.S.; Perali, A.; Virgilio, M.; Peeters, F.M.; Hamilton, A.R.; Scappucci, G.; Neilson, D. Electron-hole superfluidity in strained Si/Ge type II heterojunctions. arXiv 2020, arXiv:2012.05631. [Google Scholar]
- Conti, S.; Neilson, D.; Peeters, F.M.; Perali, A. Transition metal dichalcogenides as strategy for high temperature electron-hole superfluidity. Condens. Matter 2020, 5, 22. [Google Scholar] [CrossRef]
- Du, L.; Li, X.; Lou, W.; Sullivan, G.; Chang, K.; Kono, J.; Du, R.R. Evidence for a topological excitonic insulator in InAs/GaSb bilayers. Nat. Commun. 2017, 8, 1971. [Google Scholar] [CrossRef] [PubMed]
- Lozovik, Y.E.; Ogarkov, S.L.; Sokolik, A.A. Condensation of electron-hole pairs in a two-layer graphene system: Correlation effects. Phys. Rev. B 2012, 86, 045429. [Google Scholar] [CrossRef]
- Neilson, D.; Perali, A.; Hamilton, A.R. Excitonic superfluidity and screening in electron-hole bilayer systems. Phys. Rev. B 2014, 89, 060502. [Google Scholar] [CrossRef]
- Salasnich, L.; Manini, N.; Parola, A. Condensate fraction of a Fermi gas in the BCS-BEC crossover. Phys. Rev. A 2005, 72, 023621. [Google Scholar] [CrossRef]
- Kosterlitz, J.M.; Thouless, D.J. Ordering, metastability and phase transitions in two-dimensional systems. J. Phys. C Solid State Phys. 1973, 6, 1181–1203. [Google Scholar] [CrossRef]
- Conti, S.; Perali, A.; Peeters, F.M.; Neilson, D. Multicomponent electron-hole superfluidity and the BCS-BEC crossover in double bilayer graphene. Phys. Rev. Lett. 2017, 119, 257002. [Google Scholar] [CrossRef] [PubMed]
- López Ríos, P.; Perali, A.; Needs, R.J.; Neilson, D. Evidence from quantum Monte Carlo simulations of large-gap superfluidity and BCS-BEC crossover in double electron-hole layers. Phys. Rev. Lett. 2018, 120, 177701. [Google Scholar] [CrossRef] [PubMed]
- Giuliani, G.; Vignale, G. Quantum Theory of the Electron Liquid; Masters Series in Physics and Astronomy; Cambridge University Press: Cambridge, UK, 2005. [Google Scholar]





| cm | [K] | |
|---|---|---|
| 1 | 2.6 | |
| 0.5 | 2.2 | |
| 0.25 | 1.4 | |
| 0.1 | 0.5 |
| 1 | ||
| 0.5 | ||
| 0.25 | ||
| 0.1 |
Publisher’s Note: MDPI stays neutral with regard to jurisdictional claims in published maps and institutional affiliations. |
© 2021 by the authors. Licensee MDPI, Basel, Switzerland. This article is an open access article distributed under the terms and conditions of the Creative Commons Attribution (CC BY) license (https://creativecommons.org/licenses/by/4.0/).
Share and Cite
Conti, S.; Perali, A.; Peeters, F.M.; Neilson, D. Effect of Mismatched Electron-Hole Effective Masses on Superfluidity in Double Layer Solid-State Systems. Condens. Matter 2021, 6, 14. https://doi.org/10.3390/condmat6020014
Conti S, Perali A, Peeters FM, Neilson D. Effect of Mismatched Electron-Hole Effective Masses on Superfluidity in Double Layer Solid-State Systems. Condensed Matter. 2021; 6(2):14. https://doi.org/10.3390/condmat6020014
Chicago/Turabian StyleConti, Sara, Andrea Perali, François M. Peeters, and David Neilson. 2021. "Effect of Mismatched Electron-Hole Effective Masses on Superfluidity in Double Layer Solid-State Systems" Condensed Matter 6, no. 2: 14. https://doi.org/10.3390/condmat6020014
APA StyleConti, S., Perali, A., Peeters, F. M., & Neilson, D. (2021). Effect of Mismatched Electron-Hole Effective Masses on Superfluidity in Double Layer Solid-State Systems. Condensed Matter, 6(2), 14. https://doi.org/10.3390/condmat6020014

