Next Article in Journal
Statistical Mechanics of Discrete Multicomponent Fragmentation
Next Article in Special Issue
Phase Separation and Pairing Fluctuations in Oxide Materials
Previous Article in Journal
Interfacial Crystallization within Liquid Marbles
Previous Article in Special Issue
Ferroelectricity, Superconductivity, and SrTiO3—Passions of K.A. Müller
 
 
Font Type:
Arial Georgia Verdana
Font Size:
Aa Aa Aa
Line Spacing:
Column Width:
Background:
Article

Unconventional Transport Properties of Reduced Tungsten Oxide WO2.9

by
Alexander Shengelaya
1,2,*,
Fabio La Mattina
3 and
Kazimierz Conder
4
1
Department of Physics, Ivane Javakhishvili Tbilisi State University, Chavchavadze 3, GE-0128 Tbilisi, Georgia
2
Andronikashvili Institute of Physics, Ivane Javakhishvili Tbilisi State University, 0177 Tbilisi, Georgia
3
Laboratory for Transport at Nanoscale Interfaces, Empa Swiss Federal Laboratories for Science and Technology, 8600 Dübendorf, Switzerland
4
Laboratory for Multiscale Materials Experiments, Paul Scherrer Institute, 5232 Villigen PSI, Switzerland
*
Author to whom correspondence should be addressed.
Condens. Matter 2020, 5(4), 63; https://doi.org/10.3390/condmat5040063
Submission received: 12 September 2020 / Revised: 14 October 2020 / Accepted: 14 October 2020 / Published: 16 October 2020

Abstract

The temperature and magnetic field dependence of resistivity in WO2.9 was investigated. The variation of resistivity with temperature displayed unusual features, such as a broad maximum around 230 K and a logarithmic increase of resistivity below 16 K. In the temperature range 16–230 K, we observed metallic-like behavior with a positive temperature coefficient. The combined analysis of resistivity and magnetoresistance (MR) data shows that these unusual transport properties of WO2.9 can be understood by considering the (bi)polaronic nature of charge carriers. In contrast to magnetization data, superconducting transition below Tc = 80 K was not detected in resistivity measurements, indicating that the superconductivity is localized in small regions that do not percolate. We found a strong increase in positive MR below 80 K. This effect is similar to that observed in underdoped cuprates, where the substantial increase of MR is attributed to superconducting fluctuations in small clusters. Therefore, the temperature dependence of MR indicates the presence of non-percolating superconducting clusters in WO2.9 below 80 K in agreement with magnetization data.

Preface

The authors of this paper have been fortunate and privileged to collaborate with K. Alex Müller over many years. This collaboration still continues and in this Special Issue of the journal dedicated to his life’s work, we would like to present the recent results of a project that was initiated and supported by Alex. Since the beginning of his illustrious scientific carrier, he has investigated a remarkable variety of physical properties of oxide perovskites, and especially SrTiO3. This research culminated in the discovery of high-Tc superconductivity in copper oxides. We are grateful to Alex for uncovering the fascinating world of the perovskite oxides, which continue to attract the attention of condensed matter physicists and materials scientists for more than 50 years.

1. Introduction

It is remarkable that reduced SrTiO3−x was the first oxide in which superconductivity was found in 1964 [1]. Only nine months after the SrTiO3 discovery, superconductivity was also reported for another perovskite oxide, sodium-doped WO3 [2]. Both SrTiO3−x and NaxWO3 have a low Tc below 1 K. However, superconducting regions with unusually high critical temperature (Tc = 90 K) were observed on the surface of Na-doped WO3 crystals [3,4]. Unfortunately, the composition of the superconducting regions could not be determined due to their small size. Another possible method to dope charge carriers in a tungsten oxide is to reduce the oxygen content. Filamentary superconductivity below Tc = 3 K was observed in twin walls of reduced WO3−x single crystals [5]. Despite the filamentary characteristics of superconductivity and low Tc, an unusually large upper critical field μ 0 H c 2 ( 0 ) above 15 T was found in WO3−x. This large μ 0 H c 2 ( 0 ) violates the Pauli paramagnetic limit by a factor of three. In our opinion, this interesting finding deserves further study.
The parent compound WO3 has a perovskite-like structure with a vacant A site and consists of a three-dimensional array of corner-sharing tungsten-oxygen octahedra. Pure WO3 is insulating since the W6+ (5d0) has an empty d-shell. Creating oxygen deficiency in WO3 leads to a strong increase in conductivity as W5+ (5d1) ions are induced, which are a source of the charge carriers. In the octahedral oxygen coordination, W5+ hosts one 5d electron in a triply degenerate orbital and therefore is a Jahn-Teller (JT) ion. A number of experimental studies demonstrated that these charge carriers have a polaronic character and form bipolarons in WO3−x [6]. The discovery of high-Tc superconductivity in copper-oxide materials resulted from the concept of JT polarons [7]. Subsequent experimental and theoretical studies proved the validity of this concept by providing ample evidence of polaron/bipolaron formation and their clustering in cuprates [8,9,10,11]. Therefore, high-Tc superconductivity may also exist in oxygen-reduced tungsten oxide. Recently, two authors of this paper, Alexander Shengelaya and Kazimierz Conder, together with Alex Müller, reported that in reduced tungsten oxide with the composition WO2.9, the signatures of filamentary superconductivity with Tc = 80 K can be registered by means of magnetization measurements [12]. By lithium intercalation, the Tc was further increased to 94 K. These results indicate that there is a potential for high-Tc superconductivity in oxygen-reduced tungsten oxide, which has not been sufficiently explored.
Until now, not much was known about the low-temperature transport properties of the WO2.9 phase. A few reports were published where the temperature dependence of resistivity was measured [13,14,15]. However, all these measurements were performed above liquid nitrogen temperature. Here, we report results of combined magnetic, transport, and magnetotransport measurements of oxygen reduced tungsten oxide WO2.9 in a broad temperature range, including the previously unexplored low temperature (T < 80 K) region.

2. Experimental Details

The polycrystalline WO3−x samples were prepared by the solid-state reaction method starting from WO3 and WO2 reagents in the powder form. Details on the sample preparation can be found in [12].
The DC magnetization measurements were performed on a Quantum Design magnetic property measurement system (MPMS) magnetometer. For the zero-field-cooled (ZFC) magnetization measurements, the samples were first cooled to 5 K in a zero magnetic field, then the magnetic field was applied, and the magnetization was measured with increasing temperature.
The transport measurements were performed on a Quantum Design physical property measurement system (PPMS) via a four-probe technique. Electrical contacts were prepared by indium wires and a silver paste. The magnetic field for magnetoresistance measurements was oriented perpendicular to the current direction.

3. Results and Discussion

Figure 1 shows the temperature dependence of the ZFC magnetizations in WO3−x samples measured in a magnetic field of 100 Oe. Among WO3−x samples with different oxygen contents, only one sample with the composition WO2.9 exhibited a clear decrease in magnetization below 80 K. This diamagnetic transition is characteristic of the superconducting state. As was demonstrated in a previous publication, various results obtained from magnetization measurements strongly support the superconducting nature of the diamagnetic transitions below Tc = 80 K in reduced tungsten oxide WO2.9 [12].
The magnetization data presented in Figure 1 demonstrate that the reduced tungsten oxide (WO2.9) is a special case as it has a high-temperature superconducting phase. To understand why this composition is special, recall that the removal of oxygen from WO3 induces polaronic charge carriers and also leads to structural changes. The lattice tends to eliminate single oxygen vacancies by the crystallographic shear (CS) process. As the x value in WO3−x increases, the usual corner-sharing arrangement of octahedra is partially replaced by groups of edge-sharing WO6 octahedra, which form pockets of shear planes [16]. If these shear planes become parallel and equidistant, a crystalline phase with a defined structure arises, as shown by Magnéli [17]. This is the case for the dark blue modification of the tungsten oxide WO2.9, which was the subject of the present study. It crystallizes in a large unit cell containing 20 tungsten and 58 oxygens atoms. Therefore, its stoichiometry can be represented as W20O58. It belongs to the family of the Magnéli-type oxides with the general formula WnO3n−2 [18]. The W20O58 phase is one of the most stable and ordered members of the WnO3n−2 homologous series, where blocks of 2D corner-sharing WO6 octahedra are mutually connected along CS planes formed by groups of six edge-sharing octahedra [17]. This phase also has a very narrow stability range close to the theoretical stoichiometry value WO2.9 with composition limits of WO2.89–WO2.92 [19]. This well-defined composition of the W20O58 phase explains why we observed signatures of superconductivity only within very limited oxygen contents in the series of studied WO3−x samples.
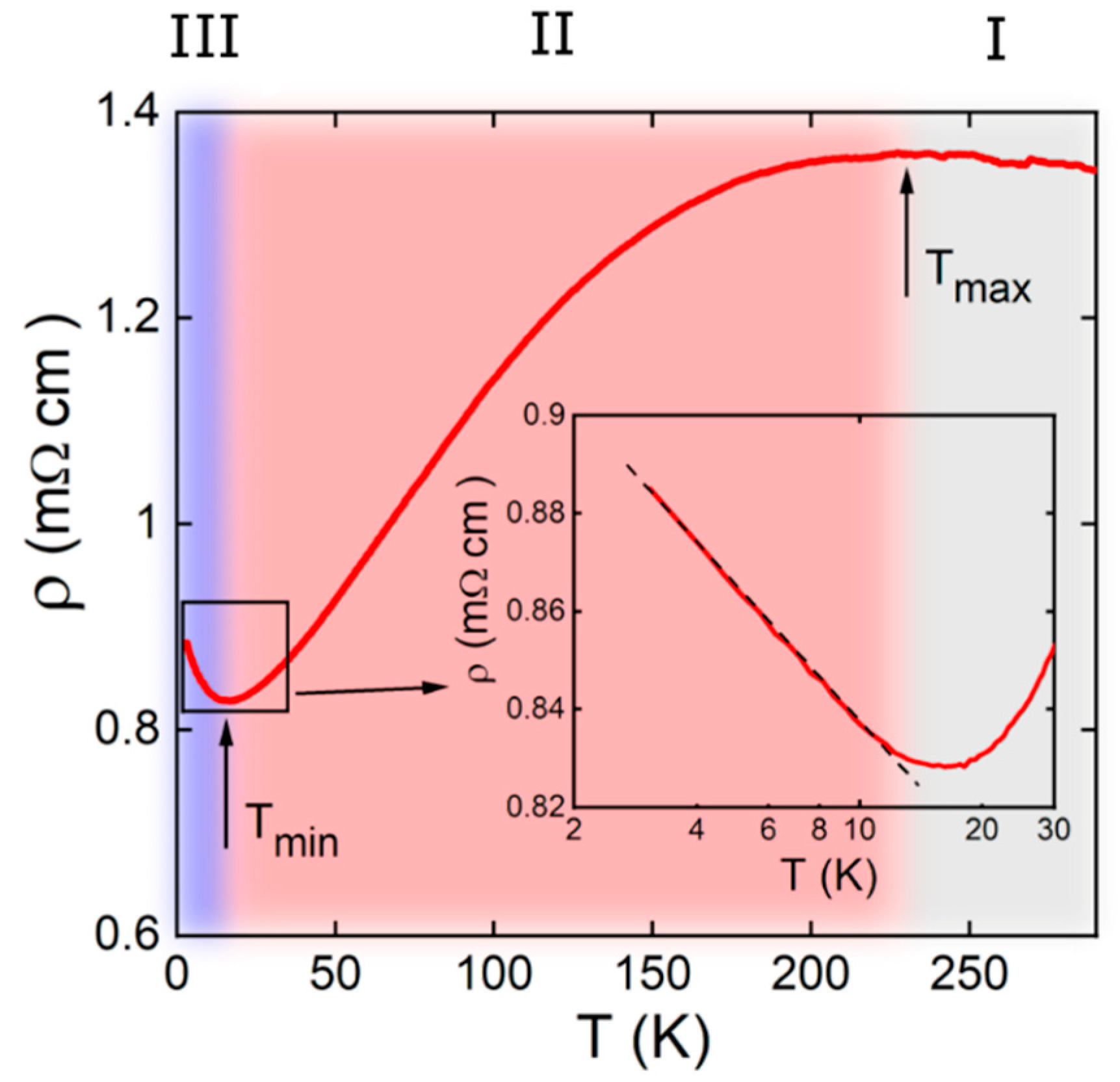
According to Salje and Güttler, WO2.9 is also a special compound among reduced tungsten oxides since it is on the verge of the insulator to metal transition [15]. However, they only measured resistivity in this compound down to 80 K. To better understand transport properties of WO2.9, we performed resistivity and magnetoresistance measurements in a broad temperature range, including the previously unexplored low temperature region. Figure 2 shows the resistivity as a function of temperature for the WO2.9 sample. Metallic behavior (/dT > 0) was observed in the temperature range 16–230 K. In contrast to magnetization measurements, the resistivity had no anomaly at Tc = 80 K, indicating that the sample had a low superconducting volume fraction. The estimation of the superconducting volume fraction based upon the magnetization measurement shown in Figure 1 is ~0.01%. Notably, this value is a lower limit valid under the assumption that the size of superconducting regions d is larger than the London penetration depth λ. If d << λ, the volume fraction will be larger. Still, the superconducting volume fraction in WO2.9 is small and is apparently below the percolation limit. Therefore, the temperature dependences of magnetization and resistivity could be explained by the formation of filamentary, non-percolative superconducting regions below Tc = 80 K in Magnéli-phase tungsten oxide WO2.9 (W20O58).
It was proposed that WO2.9 bipolarons can form and cluster in the edge-sharing WO6 octahedra within CS planes of the Magnéli phase [12]. According to this model, CS planes represent charge-carrier-rich quasi-1D stripes. With decreasing temperature, the superconducting state can be established locally in regions similar to cuprates [20]. However, CS planes are very narrow with a thickness of only six edge-sharing WO6 octahedra in the W20O58 phase. The nanoscale bipolaron-rich metallic regions in CS planes can be locally superconducting, but because of the small size and limited coupling between them, global phase coherence and superconductivity are difficult to establish. Therefore, in the absence of percolation between the CS planes, the superconductivity has a filamentary character as indicated by magnetization and resistivity measurements.
Now, we discuss the temperature dependence of resistivity in more detail, as shown in Figure 2. There are three distinct transport regimes in the ρ(T) dependence: (I) a semiconducting-like behavior above ~230 K with a negative temperature coefficient, (II) metallic-like behavior in the temperature range of 16–230 K with a positive temperature coefficient, and (III) resistivity upturn below ~16 K.
A broad maximum in the ρ(T) dependence, similar to that shown in Figure 2, was reported previously for WO2.9, but its origin was not discussed [13,14,15]. Notably, a similar crossover from semiconducting-like conductivity at high temperature to metallic-like behavior at a lower temperature was observed in the normal state of quasi-2D organic superconductors (BEDT-TTF)2X (ET2X) with X = Cu[N(CN)2]Cl, Cu[N(CN)2]Br, Cu(NCS)2 [21]. Various explanations have been proposed for the different transport regimes and an anomalous resistance maximum [22]. Some models consider the strongly correlated nature of the electrons in organic superconductors. A smooth crossover from an incoherent ‘‘bad-metal’’ state at high temperatures to a coherent Fermi liquid below the resistivity maximum was obtained within the framework of dynamical mean-field theory [17]. Other explanations involve polaron physics to describe anomalous transport behavior. Optical spectroscopy revealed polaron formation in (ET)2Cu(NCS)2 [23]. In particular, the spectra reveal a crossover from a small-polaron-dominated regime at high T to a large-polaron-dominated regime at low T. At high temperatures, small polarons do not participate in a coherent motion and the conductivity emerges as an activated hopping of self-trapped carriers. At low temperatures, the average size of polarons increases, and a coherent motion of polarons with resulting metallic behavior appears [24]. Other authors also considered an activated hopping of small polarons at high T, but low-temperature metallic behavior was ascribed to tunneling conduction by small polarons according to the prediction of small polaron transport theory [25]. In reduced tungsten oxides, strong electron correlations are not expected, but polaron/bipolaron formation is well documented. Therefore, the observed broad peak in the T-dependent resistivity for WO2.9 can be explained as a result of a crossover from high T activated hopping of small (bi)polarons to low T metallic transport due to their tunneling conduction or transition to large (bi)polaron state.
Another notable feature in the ρ(T) dependence of WO2.9 is a resistivity minimum and an upturn toward semiconductor-like behavior, as shown in Figure 2. Interestingly, resistivity increases logarithmically with decreasing temperature, as shown in the inset of Figure 2. Weak localization and the Kondo effect could both lead to this dependence. A logarithmic divergence in the resistivity can be found in Kondo systems, such as dilute magnetic alloys and dense Kondo compounds, where the conduction electrons are scattered by magnetic impurities [26]. However, WO2.9 is clearly not a Kondo system as the presence of magnetic impurities is not supported by our low-temperature magnetization measurements. The logarithmic temperature dependence of the resistivity can also be observed due to the quantum corrections to the resistivity, such as weak localization (WL). WL is a quantum effect caused by constructive interference between the closed-loop trajectories of a diffusive electron. In 2D systems, the WL effect results in a logarithmic rise in resistivity at low temperatures [27]. The WL effect is sensitive to an applied magnetic field, which disturbs the wave coherence and the self-interference effects [28]. Therefore, a magnetic field can destroy WL, which is revealed in experiments as a negative magnetoresistance (MR) and the shift of the resistivity minimum Tmin to lower temperatures.
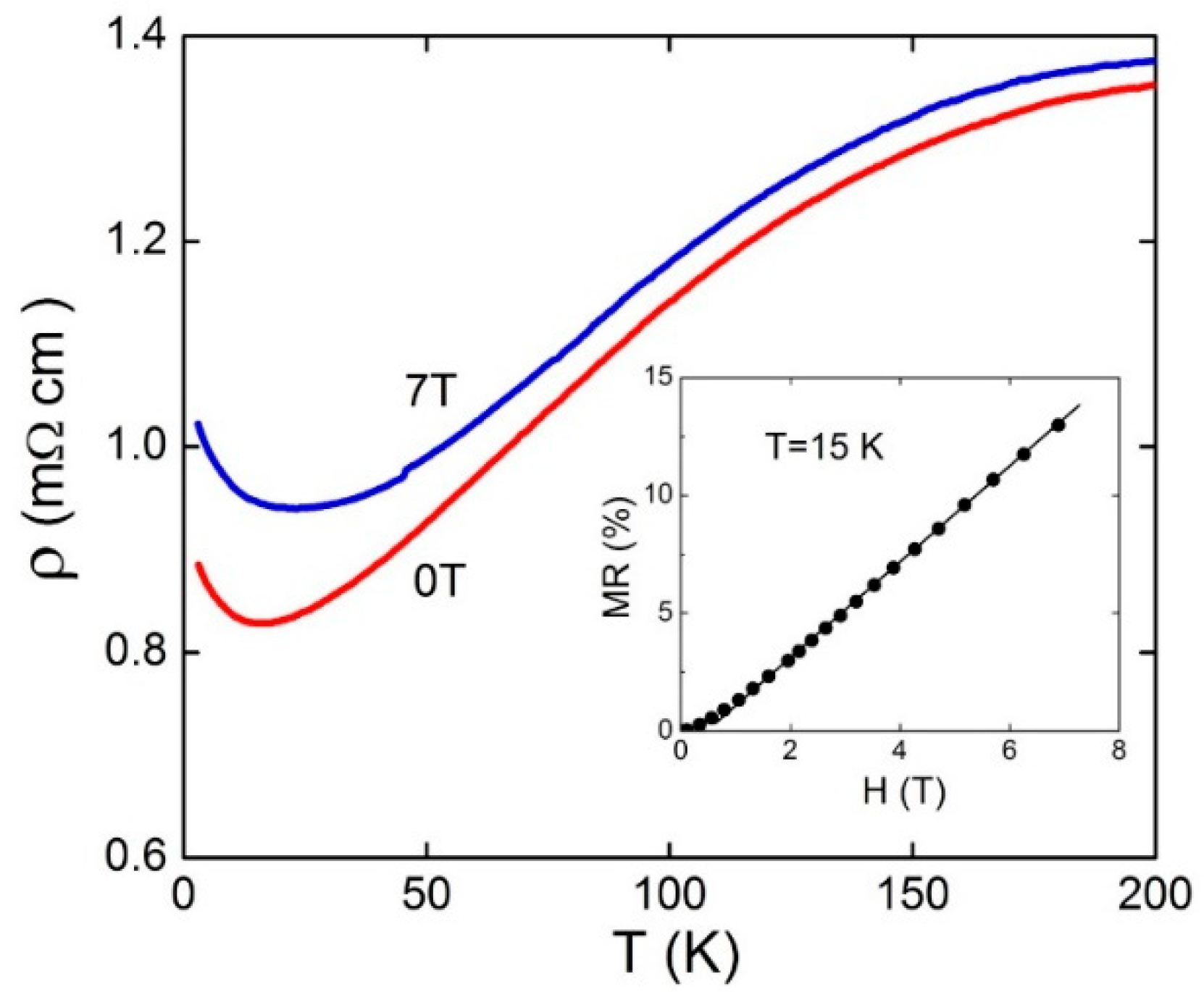
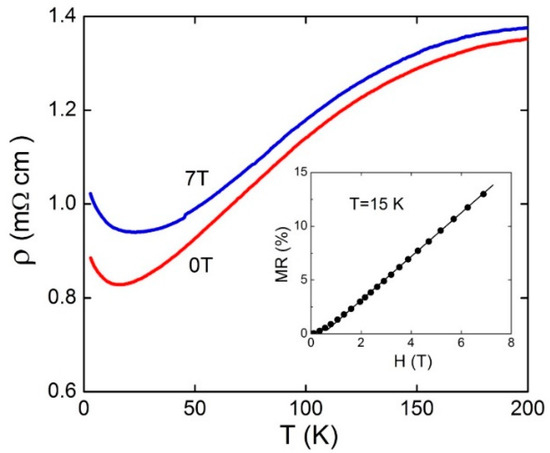
To obtain more information about the unusual transport properties of WO2.9, we performed MR measurements. Figure 3 shows the temperature dependence of resistivity measured in 0 and in 7 T applied field. WO2.9 exhibits a significant increase in resistivity in a magnetic field in the whole temperature range including the low-temperature upturn. In addition, the resistivity minimum Tmin shifts toward higher temperatures from 16 to 23 K by applying a magnetic field of 7 T. These observations are opposite to what is expected for the WL. Therefore, based on the MR measurements, the WL effect can be excluded in our WO2.9 sample.
Notably, a logarithmic low-temperature upturn in the resistivity, similar to that observed here for WO2.9 is a well-known feature of underdoped cuprates [29,30,31]. It was shown that such behavior can be described remarkably well by resonance Wigner scattering of bipolarons by the random potential in underdoped cuprates [32]. Due to the presence of bipolarons in reduced tungsten oxides, this mechanism provides a very plausible explanation of the observed unusual low-temperature transport properties of WO2.9.
As MR measurements in reduced tungsten oxides have not been reported before, the large positive MR presented in Figure 3 is a new observation. The inset in Figure 3 shows MR as a function of magnetic field at T = 15 K, with the conventional definition MR = [[ρ(H) − ρ(0)]/ρ(0)] × 100%, where ρ(H) and ρ(0) are the values of resistivity at field H and zero, respectively. Above 1 T, MR increases linearly with the field without any sign of saturation. Such behavior is incompatible with that expected in conventional metals, where a positive MR arises due to the Lorentz force when the electric and magnetic fields are applied transverse to each other. This mechanism leads to the usual quadratic field dependence of the transverse MR [33]. Even more surprisingly, we found that a positive MR with a similar magnitude also exists in a configuration where a magnetic field was applied parallel to the current direction (longitudinal MR). This isotropic MR excludes the possibility of resulting from the orbital motion of charge carriers. Isotropic MR is usually related to spin scattering mechanisms, but in this case, MR is expected to be negative rather than positive [34]. Therefore, we conclude that the unusual, isotropic, and positive MR observed in WO2.9 at low temperatures cannot be explained by known spin and orbital mechanisms related to charge carriers in a normal state of metals.
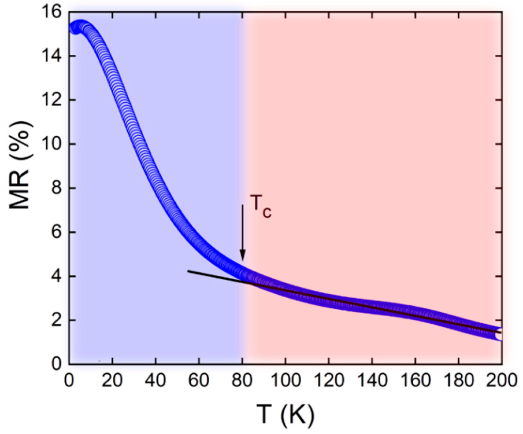
Possibly the most interesting aspect of the MR is its strong temperature dependence, which is presented in Figure 4. It shows that at high temperatures, the MR is small and increases very gradually with decreasing temperature. However, it increases strongly upon cooling below ~80 K and reaches a value of ~15% at low temperatures in a field of 7 T. This temperature coincides with the superconducting transition observed by magnetization measurements (Figure 1). This suggests that the substantial increase in positive MR below 80 K could be related to the onset of superconductivity in WO2.9. We note that a considerable positive MR with unusual temperature dependence was reported recently in strongly underdoped La2−xSrxCuO4 thin films [35]. For example, in a sample where x = 0.05, a magnetic field of 45 T caused an excess resistivity of 10% at a temperature of 10 K. With increasing temperature, the MR decreased to a constant value of ~2% around 40 K. This temperature corresponds to the maximum Tc observed in optimally doped La2−xSrxCuO4. Notably, the sample with x = 0.05 did not show signatures of superconductivity in resistivity measurements down to 1.5 K. The considerable excess positive MR observed at low temperatures, which depends non-quadratically on the magnetic field, was attributed to superconducting fluctuations in underdoped La2−xSrxCuO4 [35]. Magnetic field suppresses superconducting fluctuations, leading to an enhanced resistivity. In our opinion, this scenario also applies to the present case and explains the resistivity and MR data obtained in WO2.9. It also accounts for the isotropic character of the observed positive MR in this compound at low temperatures.
As discussed above, there are locally-superconducting bipolaron-rich regions in CS planes of WO2.9, but because of the small size and limited coupling between them, global phase coherence and bulk superconductivity are not established. Still, superconducting fluctuations might be present, which are difficult to detect from resistivity measurements. A strong magnetic field would suppress superconducting fluctuations; as a result, resistivity increases. The resulting positive MR will have a strong temperature dependence and should disappear above the Tc of superconducting regions. The positive MR detected in this work for WO2.9 and previously in strongly underdoped cuprates seems to be a very sensitive indicator for the presence of small, isolated superconducting clusters embedded in a nonsuperconducting matrix.

4. Summary and Conclusions

To summarize, we performed magnetic, transport, and magnetotransport measurements in Magnéli-phase oxygen-reduced tungsten oxide WO2.9 (W20O58) in a broad temperature range. We found that the temperature dependence of the resistivity is unusual and three different transport regimes exist in WO2.9: a semiconducting-like behavior above ~230 K with a negative temperature coefficient, metallic-like behavior in the temperature range of 16–230 K with a positive temperature coefficient, and resistivity upturn below ~16 K. The broad maximum can be explained as a result of a crossover from high T-activated hopping of small (bi)polarons to low-T metallic transport due to either tunneling conduction of small (bi)polarons or transition to large (bi)polaron state.
We observed for the first time that the resistivity of WO2.9 has a minimum with an upturn toward insulator-like behavior below 16 K. We found that the resistivity increases logarithmically with decreasing temperature. MR measurements showed that the observed low-temperature resistivity upturn cannot be explained by known mechanisms, such as weak localization or Kondo effects. One possible explanation of this effect is the resonance Wigner scattering of bipolarons by the random potential in WO2.9. This mechanism was suggested previously for the low-temperature upturn of resistivity in underdoped cuprates.
The superconducting transition at Tc = 80 K observed in the magnetization measurements was not detected in the temperature dependence of resistivity. This indicates that the superconductivity is localized in small regions that do not percolate. Interestingly, we found a strong increase in positive MR below 80 K. This effect is very similar to that observed in strongly underdoped cuprates, where the considerable excess positive MR was attributed to superconducting fluctuations in small regions. Therefore, we conclude that MR measurements in agreement with magnetization data revealed the presence of superconducting clusters in WO2.9 below 80 K. As suggested in a previous publication, such superconducting clusters form within CS planes that exist in the Magnéli phase of WO2.9 (W20O58) and represent charge-carrier-rich quasi-1D stripes [12]. These nanoscale clusters can host superconducting pairs, but because of the small size and limited coupling between them, global phase coherence and superconductivity cannot be achieved. Generally, the MR effect is a very sensitive tool for detecting the presence of small, isolated superconducting clusters embedded in a nonsuperconducting matrix.
The obtained results demonstrate that the Magnéli phase of the oxygen-reduced tungsten oxide WO2.9 (W20O58) has interesting normal and superconducting properties that warrant further studies, especially using single crystal samples. We note that, at present, little is known about the electronic band structure of this material. Recent theoretical studies have suggested that there are several flat bands near the Fermi level [36] and that the electronic properties may be governed by the small number of d-bands from the tungsten atoms located in CS planes [37]. So far, experimental studies of the band structure in WO2.9 are lacking.
Especially promising, in our opinion, would be to study pressure effects on the normal and superconducting properties of this compound. By applying hydrostatic or uniaxial pressure, the band structure and coupling between CS planes can be tuned. A well-known example is the ladder compound (La, Sr, Ca)14Cu24O41, which becomes superconducting under high pressure when the interactions between the ladders are enhanced [38]. Another interesting and novel approach to achieve bulk high-Tc superconductivity in doped tungstates was proposed recently by Müller [39]. Therefore, by improving the coupling and percolation between CS planes, bulk superconductivity and zero resistance state might be achieved in WO2.9.

Author Contributions

Project planning, A.S.; samples synthesis, K.C.; magnetization measurements, A.S.; transport measurements, F.L.M. and A.S.; writing manuscript, A.S.; review and editing manuscript, A.S., F.L.M., and K.C. All authors have read and agreed to the published version of the manuscript.

Funding

This research was funded by the Swiss National Science Foundation SCOPES Grant No. IZ74Z0-160484 and the Shota Rustavely National Science Foundation of Georgia under grant no. STCU 2017_29.

Acknowledgments

The authors are grateful to K.A. Müller and H. Keller for stimulating discussions.

Conflicts of Interest

The authors declare no conflict of interest.

References

  1. Schooley, J.F.; Hosler, W.R.; Cohen, M.L. Superconductivity in Semiconducting SrTiO3. Phys. Rev. Lett. 1964, 12, 474–475. [Google Scholar] [CrossRef]
  2. Raub, C.J.; Sweedler, A.R.; Jensen, M.A.; Broadston, S.; Matthias, B.T. Superconductivity of Sodium Tungsten Bronzes. Phys. Rev. Lett. 1964, 13, 746–747. [Google Scholar] [CrossRef]
  3. Reich, S.; Tsabba, Y. Possible nucleation of a 2D superconducting phase on WO single crystals surface doped with Na. Eur. Phys. J. B 1999, 9, 1–4. [Google Scholar] [CrossRef]
  4. Shengelaya, A.; Reich, S.; Tsabba, Y.; Müller, K. Electron spin resonance and magnetic susceptibility suggest superconductivity in Na doped WO samples. Eur. Phys. J. B 1999, 12, 13–15. [Google Scholar] [CrossRef]
  5. Aird, A.; Salje, E.K.H. Sheet superconductivity in twin walls: Experimental evidence of. J. Phys. Condens. Matter 1998, 10, L377–L380. [Google Scholar] [CrossRef]
  6. Salje, E.K.H. Polarons and bipolarons in tungsten oxide, WO3−x. Eur. J. Solid State Inorg. Chem. 1994, 31, 805–821. [Google Scholar]
  7. Bednorz, J.G.; Müller, K.A. Perovskite-Type Oxides-the New Approach to High-TcSuperconductivity. Nobel Lecture. Angew. Chem. Int. Ed. 1988, 27, 735–748. [Google Scholar] [CrossRef]
  8. Bussmann-Holder, A.; Keller, H.; Müller, K.A. Evidences for Polaron Formation in Cuprates. In Family Medicine; Springer Science and Business Media LLC: Berlin/Heidelberg, Germany, 2005; pp. 365–384. [Google Scholar]
  9. Müller, K.A. Essential Heterogeneities in Hole-Doped Cuprate Superconductors. In Family Medicine; Springer Science and Business Media LLC: Berlin/Heidelberg, Germany, 2005; pp. 1–11. [Google Scholar]
  10. Innocenti, D.; Ricci, A.; Poccia, N.; Campi, G.; Fratini, M.; Bianconi, A. A Model for Liquid-Striped Liquid Phase Separation in Liquids of Anisotropic Polarons. J. Supercond. Nov. Magn. 2009, 22, 529–533. [Google Scholar] [CrossRef]
  11. Müller, K.A. The Polaronic Basis for High-Temperature Superconductivity. J. Supercond. Nov. Magn. 2017, 30, 3007–3018. [Google Scholar] [CrossRef]
  12. Shengelaya, A.; Conder, K.; Müller, K.A. Signatures of Filamentary Superconductivity up to 94 K in Tungsten Oxide WO2.90. J. Supercond. Nov. Magn. 2019, 33, 301–306. [Google Scholar] [CrossRef]
  13. Berak, J.M.; Sienko, M. Effect of oxygen-deficiency on electrical transport properties of tungsten trioxide crystals. J. Solid State Chem. 1970, 2, 109–133. [Google Scholar] [CrossRef]
  14. Sahle, W.; Nygren, M. Electrical Conductivity and High Resolution Electron Microscopy Studies of WO3−x Crystals with 0 ≤ x ≤ 0.28. J. Solid State Chem. 1983, 48, 154–160. [Google Scholar] [CrossRef]
  15. Salje, E.; Güttler, B. Anderson transition and intermediate polaron formation in WO3−x Transport properties and optical absorption. Philos. Mag. B 1984, 50, 607–620. [Google Scholar] [CrossRef]
  16. Tilley, R. The crystal chemistry of the higher tungsten oxides. Int. J. Refract. Met. Hard Mater. 1995, 13, 93–109. [Google Scholar] [CrossRef]
  17. Magnéli, A. Crystal structure studies on beta-tungsten oxide. Arkiv. Kemi 1949, 1, 513–523. [Google Scholar]
  18. Bursill, L.; Hyde, B. CS families derived from the ReO3 structure type: An electron microscope study of reduced WO3 and related pseudobinary systems. J. Solid State Chem. 1972, 4, 430–446. [Google Scholar] [CrossRef]
  19. Marucco, J.-F.; Gerdanian, P.; Dodé, M. Contribution à l’étude thermodynamique des oxydes de tungstène, à 1000 °C, dans le domaine [math]. J. Chim. Phys. 1969, 66, 674–684. [Google Scholar] [CrossRef]
  20. Shengelaya, A.; Müller, K.A. The intrinsic heterogeneity of superconductivity in the cuprates. EPL Europhys. Lett. 2014, 109, 27001. [Google Scholar] [CrossRef]
  21. Ishiguro, T.; Ito, H. Structure and Phase Diagram of Organic Superconductors; Springer Science and Business Media LLC: Berlin/Heidelberg, Germany, 1998; pp. 135–146. [Google Scholar]
  22. Lang, M.; Müller, J. The Physics of Superconductors Vol. II; Bennemann, K.H., Ketterson, J.B., Eds.; Springer: Berlin/Heidelberg, Germany, 2004; pp. 453–554. [Google Scholar]
  23. Merino, J.; McKenzie, R.H. Transport properties of strongly correlated metals: A dynamical mean-field approach. Phys. Rev. B 2000, 61, 7996–8008. [Google Scholar] [CrossRef]
  24. Wang, N.L.; Clayman, B.P.; Mori, H.; Tanaka, S. Far-infrared study of the insulator-metal transition in kappa-(BEDT-TTF)2Cu(NCS)2: Evidence for polaron absorption. J. Phys. Condens. Matter 2000, 12, 2867–2875. [Google Scholar] [CrossRef]
  25. Cariss, C.; Porter, L.; Thorn, R. Temperature dependence of conductivity of κ (BEDT TTF)2Cu(SCN)2; Resolution into two components; Small polaron. Solid State Commun. 1990, 74, 1269–1273. [Google Scholar] [CrossRef]
  26. Kondo, J. Resistance Minimum in Dilute Magnetic Alloys. Prog. Theor. Phys. 1964, 32, 37–49. [Google Scholar] [CrossRef]
  27. Abrahams, E.; Anderson, P.W.; Licciardello, D.C.; Ramakrishnan, T.V. Scaling Theory of Localization: Absence of Quantum Diffusion in Two Dimensions. Phys. Rev. Lett. 1979, 42, 673–676. [Google Scholar] [CrossRef]
  28. Altshuler, B.L.; Khmel’Nitzkii, D.; Larkin, A.I.; Lee, P.A. Magnetoresistance and Hall effect in a disordered two-dimensional electron gas. Phys. Rev. B 1980, 22, 5142–5153. [Google Scholar] [CrossRef]
  29. Boebinger, G.S.; Ando, Y.; Passner, A.; Kimura, T.; Okuya, M.; Shimoyama, J.; Kishio, K.; Tamasaku, K.; Ichikawa, N.; Uchida, S. nsulator-to-Metal Crossover in the Normal State of La2−xSrxCuO4 Near Optimum Doping. Phys. Rev. Lett. 1996, 77, 5417–5420. [Google Scholar] [CrossRef]
  30. Ando, Y.; Boebinger, G.S.; Passner, A.; Kimura, T.; Kishio, K. Logarithmic Divergence of both In-Plane and Out-of-Plane Normal-State Resistivities of Superconducting La2−xSrxCuO4 in the Zero-Temperature Limit. Phys. Rev. Lett. 1995, 75, 4662–4665. [Google Scholar] [CrossRef]
  31. Fournier, P.; Mohanty, P.; Maiser, E.; Darzens, S.; Venkatesan, T.; Lobb, C.J.; Czjzek, G.; Webb, R.A.; Greene, R.L. Insulator-Metal Crossover near Optimal Doping in Pr2−xCexCuO4: Anomalous Normal-State Low Temperature Resistivity. Phys. Rev. Lett. 1998, 81, 4720–4723. [Google Scholar] [CrossRef]
  32. Alexandrov, A. Logarithmic normal state resistivity of high-Tc cuprates. Phys. Lett. A 1997, 236, 132–136. [Google Scholar] [CrossRef]
  33. Pippard, A.B. Magnetoresistance in Metals; Cambridge University Press: Cambridge, UK, 1989. [Google Scholar]
  34. Preyer, N.W.; Kastner, M.A.; Chen, C.Y.; Birgeneau, R.J.; Hidaka, Y. Isotropic negative magnetoresistance in La2−xSrxCuO4+y. Phys. Rev. B 1991, 44, 407–410. [Google Scholar] [CrossRef]
  35. Vanacken, J.; Moshchalkov, V.V. Transport properties of high-Tc cuprate thin films as superconductive materials. In High-Temperature Superconductors; Qiu, X.G., Ed.; Woodhead Publishing: Cambridge, UK, 2011; pp. 38–102. [Google Scholar]
  36. Sun, L.; Li, Z.; Su, R.; Wang, Y.; Li, Z.; Du, B.; Sun, Y.; Guan, P.; Besenbacher, F.; Yu, M. Phase-Transition Induced Conversion into a Photothermal Material: Quasi-Metallic WO2.9 Nanorods for Solar Water Evaporation and Anticancer Photothermal Therapy. Angew. Chem. Int. Ed. 2018, 57, 10666–10671. [Google Scholar] [CrossRef]
  37. Slobodchikov, A.A.; Nekrasov, I.A.; Pavlov, N.S.; Korshunov, M.M. From the open Heisenberg model to the Landau-Lifshitz equation. arXiv 2020, arXiv:2006.16658v1. [Google Scholar]
  38. Uehara, M.; Nagata, T.; Akimitsu, J.; Takahashi, H.; Mori, N.; Kinoshita, K. Superconductivity in the Ladder Material Sr0.4Ca13.6Cu24O41.84. J. Phys. Soc. Jpn. 1996, 65, 2764–2767. [Google Scholar] [CrossRef]
  39. Müller, K.A. Generation of Bulk HTS with Doped Tungstates. J. Supercond. Nov. Magn. 2017, 30, 2707–2709. [Google Scholar] [CrossRef]
Figure 1. Temperature dependence of the zero-field-cooled (ZFC) magnetizations in a magnetic field of 100 Oe for the WO3−x samples with different oxygen contents.
Figure 1. Temperature dependence of the zero-field-cooled (ZFC) magnetizations in a magnetic field of 100 Oe for the WO3−x samples with different oxygen contents.
Condensedmatter 05 00063 g001
Figure 2. Resistivity as a function of temperature for the WO2.9 sample. Colors indicate temperature regions with three distinct transport regimes. Inset: Expanded view of the low-temperature region shown with a logarithmic horizontal scale. Dashed line is a guide for the eye.
Figure 2. Resistivity as a function of temperature for the WO2.9 sample. Colors indicate temperature regions with three distinct transport regimes. Inset: Expanded view of the low-temperature region shown with a logarithmic horizontal scale. Dashed line is a guide for the eye.
Condensedmatter 05 00063 g002
Figure 3. Temperature dependence of resistivity of WO2.9 in zero and in 7 T applied field. Inset: Magnetic field dependence of magnetoresistance at T = 15 K. Solid line is a guide for the eye.
Figure 3. Temperature dependence of resistivity of WO2.9 in zero and in 7 T applied field. Inset: Magnetic field dependence of magnetoresistance at T = 15 K. Solid line is a guide for the eye.
Condensedmatter 05 00063 g003
Figure 4. Temperature dependence of magnetoresistance of WO2.9 in 7 T applied field. The solid line is a guide for the eye. The arrow marks the superconducting transition observed in magnetization measurements.
Figure 4. Temperature dependence of magnetoresistance of WO2.9 in 7 T applied field. The solid line is a guide for the eye. The arrow marks the superconducting transition observed in magnetization measurements.
Condensedmatter 05 00063 g004
Publisher’s Note: MDPI stays neutral with regard to jurisdictional claims in published maps and institutional affiliations.

Share and Cite

MDPI and ACS Style

Shengelaya, A.; Mattina, F.L.; Conder, K. Unconventional Transport Properties of Reduced Tungsten Oxide WO2.9. Condens. Matter 2020, 5, 63. https://doi.org/10.3390/condmat5040063

AMA Style

Shengelaya A, Mattina FL, Conder K. Unconventional Transport Properties of Reduced Tungsten Oxide WO2.9. Condensed Matter. 2020; 5(4):63. https://doi.org/10.3390/condmat5040063

Chicago/Turabian Style

Shengelaya, Alexander, Fabio La Mattina, and Kazimierz Conder. 2020. "Unconventional Transport Properties of Reduced Tungsten Oxide WO2.9" Condensed Matter 5, no. 4: 63. https://doi.org/10.3390/condmat5040063

APA Style

Shengelaya, A., Mattina, F. L., & Conder, K. (2020). Unconventional Transport Properties of Reduced Tungsten Oxide WO2.9. Condensed Matter, 5(4), 63. https://doi.org/10.3390/condmat5040063

Article Metrics

Back to TopTop