A Lattice Litany for Transition Metal Oxides
Abstract
1. Introduction
- (i)
- Structural phase transitionsNeutron and X-ray scattering in the 1970s were beginning to have sufficient resolution to suggest two low-frequency scattering components as the structural phase transition was approached: “central peaks” and ”soft modes.” Alex recognized the need for judicious experiments to probe different timescales [1] and was thereby able to separate phonon oscillations from slow cluster dynamics. This was powerful input to theory and simulation attempting to distinguish mean-field self-consistent phonon approximations from true critical behavior in double-well Landau–Ginzburg phase-transition theories. Advanced time-resolved experiments have now become essential tools in all classes of coupled charge–lattice–spin–orbital materials, including TMOs.
- (ii)
- Precursor StructureLocal structure measurements and inferences of the 1970/80s had relatively poor resolution (spectroscopy, NMR, diffuse scattering, etc.). However, Alex used them [1] to suggest that local distortions appear as precursor structure as Tc is approached in ferroelectric TMOs. Importantly, he showed that these precursors onset at temperatures significantly beyond critical regimes above and below Tc, and are tunable with strain, electric fields, etc. Fifty years later, I can suggest that many of these properties in TMOs and related materials are elastic microstructures. Indeed, as I discuss below, tuning phases and functions through elasticity is now emerging as an important focus in quantum materials [2].
- (ii)
- Quantum ParaelectricityUnlike, e.g., BaTiO3, SrTiO3 does not undergo a ferroelectric phase transition, but one can be induced with appropriate doping or pressure (strain). Alex understood the importance of this and advocated the concept of quantum tunneling between orientations (e.g., octahedral orientations), which had to be frozen out to stabilize a permanent ferroelectric state. He and others created the term “quantum paraelectric” to describe this situation and designed elegant experiments to probe the dynamics [2,3]. This concept now has many diverse analogs, including the internal dynamics of small polarons (below) and excitons, Kondo spin singlets, dynamic magnetism in Pu, and concepts for computational qubits such as Josephson junctions.
2. TMOs and Their Lattice
- Although the d-orbital (and even more so, the f-orbital) is indeed electronically localized, resulting in localization–delocalization electronic competition, it is also highly directional. This results in symmetry constrained unit cell structural distortions and a “network” competition for ground and metastable structural patterns (multiscale “landscapes”). This is not the case for extended and symmetrical (e.g., s) orbital materials, where dynamic screening dominates. The constraints are the origin of measured strongly anisotropic elastic constants in these materials, with intrinsically coupled configuration scales from unit cell to long-range, optic to acoustic—and hence high tunability by both local and global perturbations (doping, pressure, external fields).
- Neglecting or “integrating out” the oxygen degrees of freedom in TMOs and related materials is a significant over-simplification for many properties. The O polarizability and metal–O charge transfer (and associated bond length/buckling/rotation changes) must be treated explicitly [5]. Pioneers such as Heinz Bilz (Alex’s professional peer and colleague) appreciated this by augmenting “shell models” of the TMO electronic structure to capture effects of M–O charge transfer and polarizability [6]. We return to such “nonlinear shell models” below, including a successful prediction of the observed quantum paraelectric to ferroelectric transition in O18-doped SrTiO3.
- The electron–lattice coupling strength is typically not weak in TMOs. It may appear so if measured by conventional spatial averaging techniques. However, because of the delicate energy balances affecting electronic/magnetic orders, even rather weak average electron–lattice coupling can dominate globally and locally. We illustrate this with examples below. In addition, exotic (e.g., topological) singularities are usually energetically costly, and nature avoids or smooths them by engaging additional weaker degrees of freedom—as in dislocations, vortices, superconducting flux line cores, etc. Even when the globally averaged el-lattice strength is weak, it can be locally strong around dopants and defects. The formation of small (coupled spin–charge–lattice) polarons is an important example that we return to below. A finite densities of such polarons can order into secondary mesoscopic patterns (clumps, stripes, filaments, checkerboard phases, etc.) because of the long-range, directional elasticity noted above. Small polaron center-of-mass dynamics is very slow (because of Peierls–Nabarro lattice pinning), but unless dissipation is strong, their internal dynamics is a fundamental quantum tunneling property, and the internal charge oscillation is necessarily accompanied by non-adiabatic lattice (e.g., bond–length), and sometimes spin, oscillation. This coupled charge–lattice dynamics is familiar elsewhere, including quantum chemistry (e.g., [7]), “macroscopic quantum tunneling” [8], and perhaps also in the context of quantum paraelectric tunneling [9].
- Lattice anharmonicity is typically important in TMOs and assuming linear lattice dynamics is incomplete. Anharmonicity is the result of slaving among lattice, electronic, and magnetic degrees of freedom, proximity to a structural phase transition, impurities, interfaces, surfaces, etc. The M–O charge transfer is a particularly important source of nonlinear lattice dynamics. Among many interesting emergence and complexity consequences are multi-phonon bound states (“intrinsic local modes,” ILMs). Modern neutron scattering has indeed resolved modes outside linear phonon bands and attributed them to ILMs (e.g., [10]). Below, we will introduce ILMs embedded self-consistently in a sea of extended modes as a description of, e.g., relaxor ferroelectrics.
3. Small Polarons, Filamentary Landscapes, and Local Modes
4. Elasticity and Short–Long-Range Competitions
5. Hybridized Bands and more examples of Short–Long-Range Competitions
6. Conclusions and Discussion
- I have deliberately emphasized lattice, including elastic, effects in TMOs (and related d- and f- orbital materials) because these have often been under-represented in research on “strongly correlated” quantum matter. The recent workshop [2] is an encouraging community step. However, clearly, it remains to be understood when lattice, spin, charge, and orbital degrees of freedom individually dominate and then the others are slaved. There are likely to be classes of materials that should be so categorized in this fascinating collusion among degrees of freedom. This is a quantum mechanical adiabaticity question that must be addressed on appropriate spatial and temporal scales and, as with the importance of el–lattice coupling, not simply in terms of average properties. Functionality through charge, spin, and lattice at active interfaces, including between TMOs, is an important direction for applications (e.g., perovskite-based solar cells and detectors) [45,72]. Similarly, domain boundary engineering, e.g., in multiferroic materials [73], is a very attractive direction.
- The recent emphasis on quantum entanglement and the increasing recognition of geometry and topology in electronic and magnetic materials research raises important questions. For instance, (1) above in the context of when does the lattice simply renormalize parameters for quantum phases and when do topological lattice configurations act as the driving template for quantum mechanics? For example, this is an important issue in materials design for qubits and quantum information research.
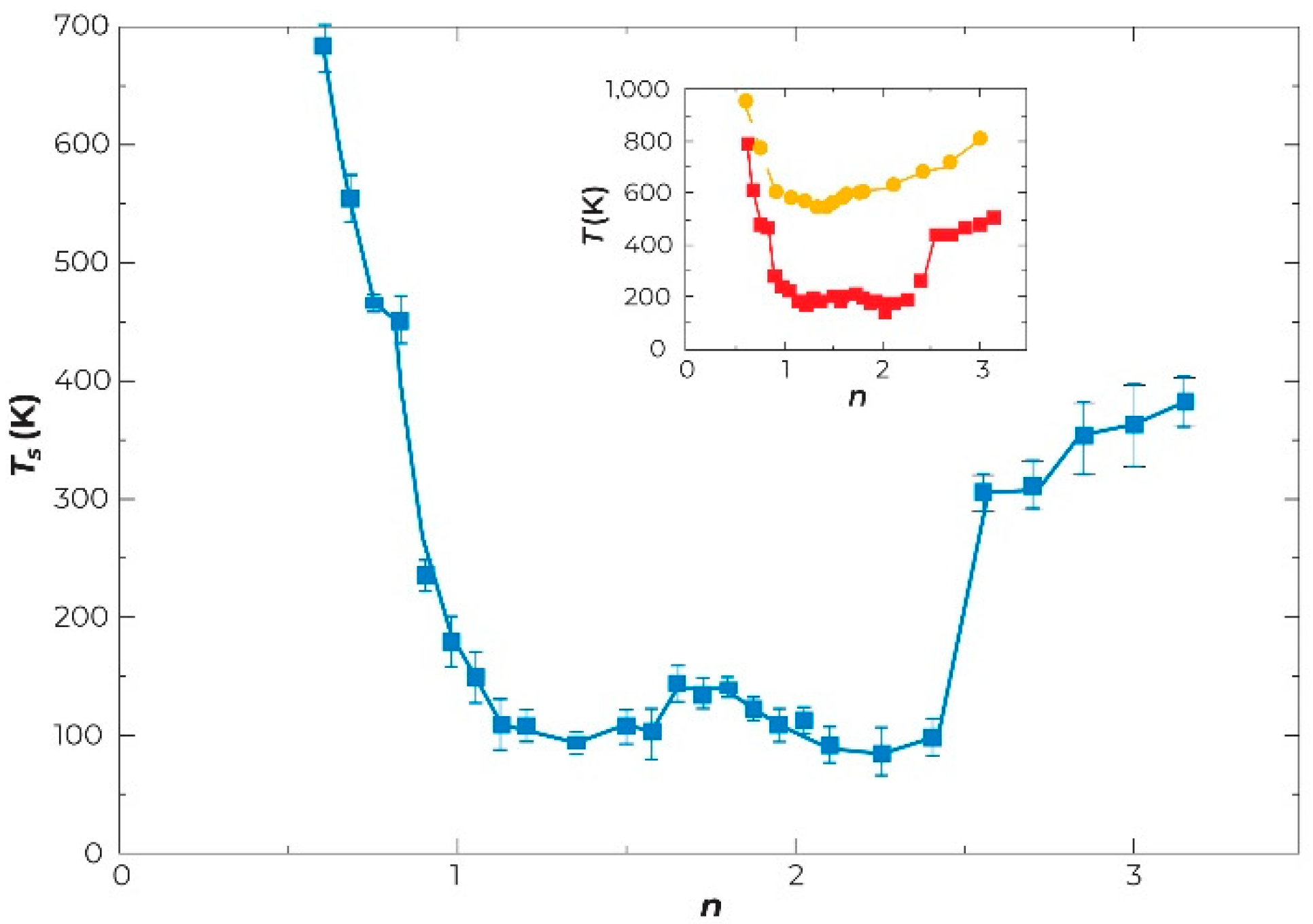
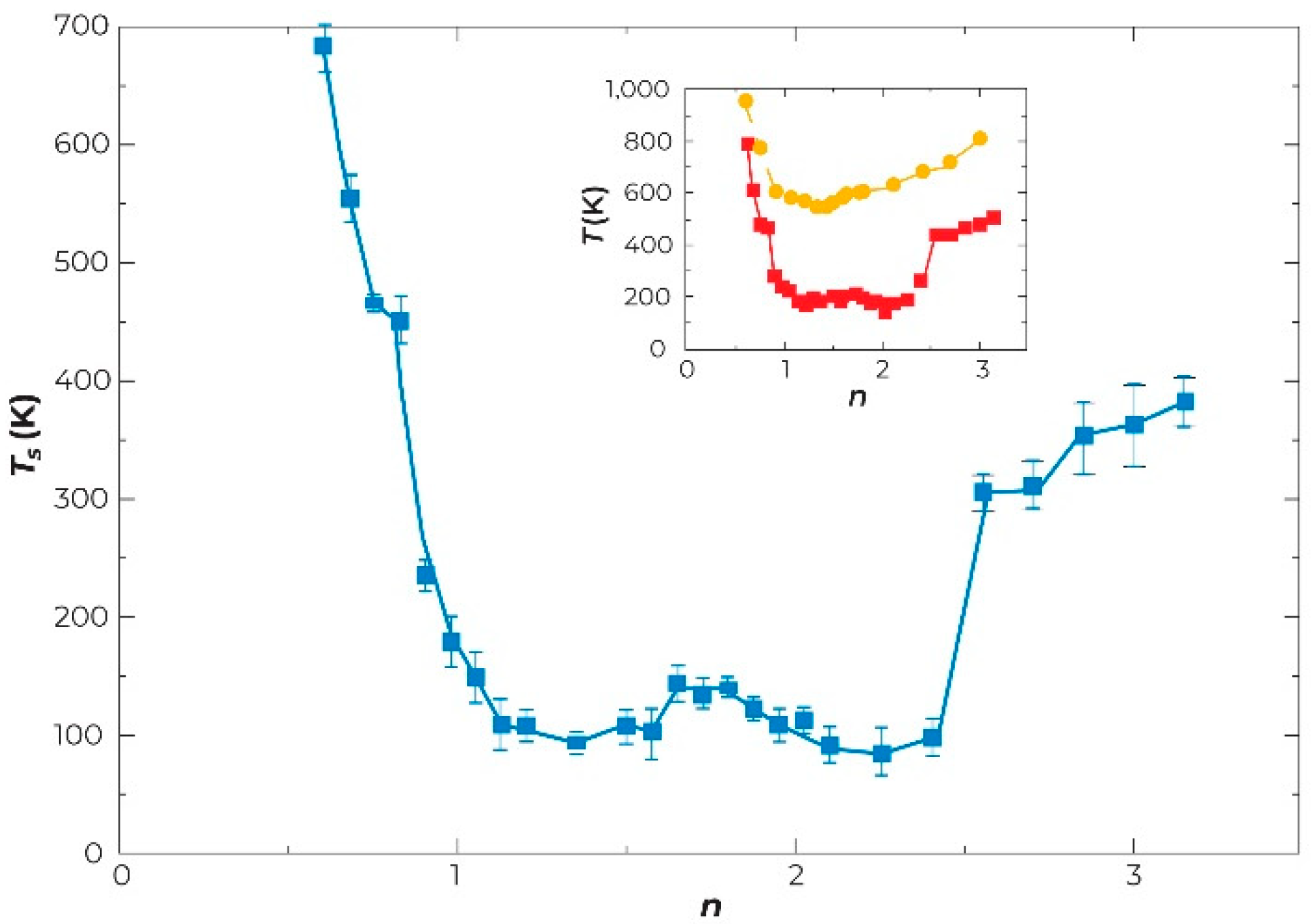
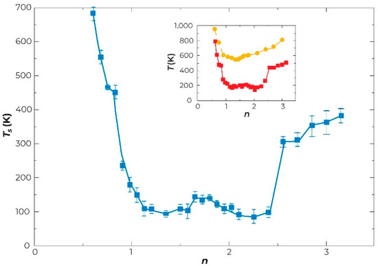
- I have not focused here on high-temperature (HTC) mechanisms. The wonderful discovery of HTC in cuprates by Bednorz and Müller certainly propelled remarkable advances in synthesis, experimental, theoretical and simulation capabilities for complex electronic materials and whole new classes of materials have benefitted: multilayer TMOs [45], Dirac–Weyl materials, organic and heavy-fermions SCs, pnictides, multiferroics, over-doped HTC cuprates [74], etc. After these many years, a generally accepted theory of HTC remains elusive. Which of the multitude of measured perovskite features are directly relevant to the superconductivity mechanism has yet to be understood. However, much research falls into the framework of multiscale, coexisting charge-rich and charge-poor regions [29,75]. Inhomogeneous superconductivity is familiar, e.g., in granular superconductors. However, the possibility of inhomogeneity being an intrinsic template for the SC mechanism. For example, Reference [76] proposes micro (i.e., bond-length) strain (cf, Section 4) as a primary control parameter in cuprate SCs. The polaron patterns discussed above are also examples: precursors to CDWs and equilibria with multi-polaron (including bi-polaron) bound states. Such CDW-like phases embedded in various undoped broken-symmetry hosts are attractive scenarios, but the AF broken-symmetry host state is not unique. Rather, the main issue becomes: How do the charge-rich regions communicate? Magnetic, charge, and elastic fluctuations are all feasible [77]. There is accumulating evidence [29] for a checkerboard period-4 CDW-like configuration in cuprates. Various small perturbations can isolate such a specific periodicity for the ordering illustrated in Section 5 (e.g., [68]). However, qualitatively different origins are also interesting (e.g., [78]). The charge-transfer (polarizability) features of perovskites we have discussed lend themselves to W.A. Little’s scenario of enhanced SC from off-chain/plane polarizable material [79,80]. Finally, an intriguing consideration is that (correlated) percolating charged filaments organize fractally as doping increases, before finally over-packing and quantum melting. This would certainly be the optimal space filling to maximize percolating filamentary properties if those properties are desirable—e.g., for high Tc, as suggested for many years by J.C. Phillips [81].
Funding
Acknowledgments
Conflicts of Interest
References
- Müller, K.A. Microscopic Probing of BaTiO3 Ferroelectric Phase Transitions by EPR. In Nonlinearity in Condensed Matter, Proceedings of the Sixth Annual Conference, Center for Nonlinear Studies, Los Alamos, NM, USA, 5–9 May 1986; Bishop, A.R., Campbell, D.K., Kumar, P., Trullinger, S.E., Eds.; Springer: Berlin/Heidelberg, Germany, 1987; pp. 234–245. [Google Scholar]
- Schmalian, J.; Sinova, J.; Valenti, R. Elastic Tuning and Response of Electronic Order. In Proceedings of the Spin Phenomena Interdisciplinary Center (SPICE) Workshop, Mainz, Germany, 9–11 December 2019. [Google Scholar]
- Müller, K.A.; Berlinger, W.; Tosatti, E. Indication for a novel phase in the quantum paraelectric regime of SrTiO3. Z. Phys. B Condens. Matter 1991, 84, 277–283. [Google Scholar] [CrossRef]
- Tokura, Y. Correlated-electron physics in transition-metal oxides. Phys. Today 2003, 56, 50–55. [Google Scholar] [CrossRef]
- Krumhansl, J.A. Fine Scale Mesostructures in Superconducting and Other Materials. In Proceedings of the Lattice Effects in High-Temperature Superconductors, Santa Fe, NM, USA, 13–15 January 1992. [Google Scholar]
- Migoni, R.; Bilz, H.; Bauerle, D. Origin of raman scattering and ferroelectricity in oxidic perovskites. Phys. Rev. Lett. 1976, 37, 1155. [Google Scholar] [CrossRef]
- Dernadis, K.D. The localized-to-delocalized transition in mixed-valence chemistry. J. Chem. Rev. 2001, 101, 2655–2685. [Google Scholar]
- Caldeira, A.O.; Leggett, A.J. Quantum Tunneling in a Dissipative System. Ann. Phys. 1983, 149, 374–456. [Google Scholar] [CrossRef]
- Martonák, R.; Tosatti, E. Path-integral Monte Carlo study of a model two-dimensional quantum paraelectric. Phys. Rev. B 1994, 49, 596–613. [Google Scholar] [CrossRef]
- Manley, M.E.; Lynn, J.W.; Abernathy, D.L.; Specht, E.D.; Delaire, O.; Bishop, A.R.; Sahul, R.; Budai, J.D. Phonon localization drives polar nanoregions in a relaxor ferroelectric. Nat. Commun. 2014, 5, 3683. [Google Scholar] [CrossRef]
- Awschalom, D.; Christen, H. Opportunities for basic research for next generation quantum system. In Proceedings of the Basic Energy Sciences Roundtable on Opportunities for Basic Research for Next-Generation Quantum Systems, Gaithersburg, MD, USA, 30–31 October 2017; Oak Ridge National Laboratory: Oak Ridge, TN, USA, 2017. [Google Scholar]
- Porer, M.; Fechner, M.; Kubli, M.; Neugebauer, M.J.; Parchenko, S.; Esposito, V.; Narayan, A.; Spaldin, N.A.; Huber, R.; Radovic, M.; et al. Ultrafast transient increase of oxygen octahedral rotations in a perovskite. Phys. Rev. Res. 2019, 1, 012005. [Google Scholar] [CrossRef]
- Nelson, T.R.; White, A.J.; Bjorgaard, J.A.; Sifain, A.E.; Zhang, Y.; Nebgen, B.; Fernandez-Alberti, S.; Mozyrsky, D.; Roitberg, A.E.; Tretiak, S. Non-adiabatic Excited-State Molecular Dynamics: Theory and Applications for Modeling Photophysics in Extended Molecular Materials. Chem. Rev. 2020, 120, 2215–2287. [Google Scholar] [CrossRef]
- Kreutzer, M.; Ernst, D.; Bishop, A.R.; Fehske, H.; Hager, G.; Nakajima, K.; Wellein, G. Chebyshev Filter Diagonalization on Modern Manycore Processors and GPGPUs. In High Performance Computing, Proceedings of the 33rd International Conference, ISC High Performance 2018, Frankfurt, Germany, 24–28 June 2018; Yokota, R., Weiland, M., Keyes, D., Trinitis, C., Eds.; Springer International Publishing AG: Cham, Switzerland, 2018; pp. 329–349. [Google Scholar]
- Yonemitsu, K.; Bishop, A.R.; Lorenzana, J. Sensitivity of Doping States in the Copper Oxides to Electron-Lattice Coupling. Phys. Rev. Lett. 1992, 69, 965–968. [Google Scholar] [CrossRef]
- Emin, D. Polarons; Cambridge University Press: New York, NY, USA, 2013. [Google Scholar]
- Fehske, H.; Wellein, G.; Bishop, A.R. Spatiotemporal evolution of polaronic states in finite quantum systems. Phys. Rev. B 2011, 83, 075104. [Google Scholar] [CrossRef]
- Salkola, M.I.; Bishop, A.R.; Trugman, S.A.; de Leon, J.M. Correlation-function analysis of nonlinear and nonadiabatic systems: Polaron tunneling. Phys. Rev. B. 1995, 51, 8878. [Google Scholar] [CrossRef] [PubMed]
- Raghavan, S.; Bishop, A.R.; Kenkre, V.M. Quantum versus semiclassical description of self-trapping: Anharmonic effects. Phys. Rev. B 1999, 59, 9929–9932. [Google Scholar] [CrossRef]
- Bishop, A.R.; Mihailovic, D.; Mustre de León, J. Signatures of mesoscopic Jahn–Teller polaron inhomogeneities in high-temperature superconductors. J. Phys. Condens. Matter 2003, 15, L169–L175. [Google Scholar] [CrossRef]
- Bousquet, E.; Hamdi, H.; Aguado-Puente, P.; Salje, E.K.; Artacho, E.; Ghosez, P. First-principle characterization of single-electron polaron in WO3. Phys. Rev. Res. 2020, 2, 012052. [Google Scholar] [CrossRef]
- Li, S.; Johnston, S. Quantum Monte Carlo study of lattice polarons in the two-dimensional multi-orbital Su-Schrieffer-Heeger model. arXiv 2019, arXiv:1901.07612. [Google Scholar]
- Yonemitsu, K.; Bishop, A.R.; Lorenzana, J. Magnetism and covalency in the two-dimensional three-band Peierls-Hubbard model. Phys. Rev. B 1993, 47, 8065–8075. [Google Scholar] [CrossRef]
- Yu, Z.G.; Zang, J.; Gammel, J.T.; Bishop, A.R. Charge localization and stripes in a two-dimensional three-band Peierls-Hubbard model. Phys. Rev. B 1998, 57, R3241–R3244. [Google Scholar] [CrossRef]
- Martin, I.; Kaneshita, E.; Bishop, A.R.; McQueeney, R.J.; Yu, Z.G. Vibrational edge modes in intrinsically heterogeneous doped transition metal oxides. Phys. Rev. B 2004, 70, 224514. [Google Scholar] [CrossRef]
- Yonemitsu, K.; Batistić, I.; Bishop, A.R. Random-phase-approximation approach to collective modes around inhomogeneous Hartree-Fock states: One-dimensional doped Hubbard model. Phys. Rev. B 1991, 44, 2652–2663. [Google Scholar] [CrossRef]
- McQueeney, R.J.; Bishop, A.R.; Yi, Y.-S.; Yu, Z.G. Charge localization and phonon spectra in hole-doped La2NiO4. J. Phys. Condens. Matter 2000, 12, L317–L322. [Google Scholar] [CrossRef]
- Kaneshita, E.; Tohyama, T.; Bishop, A.R. Modeling of pressure effects in striped nickelates. Physica C 2010, 470, S247–S248. [Google Scholar] [CrossRef]
- Agterberg, D.F.; Séamus Davis, J.C.; Edkins, S.D.; Fradkin, E.; Van Harlingen, D.J.; Kivelson, S.A.; Lee, P.A.; Radzihovsky, L.; Tranquada, J.M.; Wang, Y. The Physics of Pair-Density Waves: Cuprate Superconductors and Beyond. Annu. Rev. Condens. Matter Phys. 2020, 11, 231–270. [Google Scholar] [CrossRef]
- Kaneshita, E.; Martin, I.; Bishop, A.R. Local Edge Modes in Doped Cuprates with Checkerboard Polaronic Heterogeneity. J. Phys. Soc. Jpn. 2004, 73, 3223–3226. [Google Scholar] [CrossRef][Green Version]
- Kaneshita, E.; Martin, I.; Bishop, A.R. Pressure-induced phase transition and bipolaronic sliding in a hole-doped Cu2O3-ladder system. Phys. Rev. B 2006, 73, 094514. [Google Scholar] [CrossRef]
- Chernyshev, A.L.; Castro Neto, A.H.; Bishop, A.R. Metallic Stripe in Two Dimensions: Stability and Spin-Charge Separation. Phys. Rev. Lett. 2000, 84, 4922–4925. [Google Scholar] [CrossRef]
- Janoschek, M.; Das, P.; Chakrabarti, B.; Abernathy, D.L.; Lumsden, M.D.; Lawrence, J.M.; Thompson, J.D.; Lander, G.H.; Mitchell, J.N.; Richmond, S.; et al. The valence-fluctuating ground state of plutonium. Sci. Adv. 2015, 1, e1500188. [Google Scholar] [CrossRef] [PubMed]
- Zener, C. Elasticity and Anelasticity of Metals; University of Chicago Press: Chicago, IL, USA, 1948. [Google Scholar]
- Lookman, T.; Shenoy, S.R.; Rasmussen, K.Ø.; Saxena, A.; Bishop, A.R. Ferroelastic dynamics and strain compatibility. Phys. Rev. B 2003, 67, 024114. [Google Scholar] [CrossRef]
- Planes, A.; Lloveras, P.; Castán, T.; Saxena, A.; Porta, M. Ginzburg–Landau modelling of precursor nanoscale textures in ferroelastic materials. Contin. Mech. Thermodyn. 2012, 24, 619–627. [Google Scholar] [CrossRef]
- Holm, E.A.; Cohn, R.; Gao, N.; Kitahara, A.R.; Matson, T.P.; Lei, B.; Yarasi, S.R. Overview: Computer vision and machine learning for microstructural characterization and analysis. arXiv 2020, arXiv:2005.14260. [Google Scholar]
- Ahn, K.H.; Lookman, T.; Saxena, A.; Bishop, A.R. Electronic properties of structural twin and antiphase boundaries in materials with strong electronic-lattice coupling. Phys. Rev. B 2005, 71, 212102. [Google Scholar] [CrossRef]
- Zhu, L.; Prodan, E.; Ahn, K.H. Flat energy bands within antiphase and twin boundaries and at open edges in topographical materials. Phys. Rev. B 2019, 99, 041117. [Google Scholar] [CrossRef]
- Aird, A.; Salje, E.K.H. Sheet conductivity in twin walls; experimental evidence of WO3-x. J. Phys. Cond. Matt. 1998, 10, L377–L380. [Google Scholar] [CrossRef]
- Shengelaya, A.; Conder, K.; Müller, K.A. Signatures of Filamentary Superconductivity up to 94 K in Tungsten Oxide WO2.90. J. Supercond. Nov. Magn. 2020, 33, 301–306. [Google Scholar] [CrossRef]
- Zhu, J.-X.; Ahn, K.H.; Nussinov, Z.; Lookman, T.; Balatsky, A.V.; Bishop, A.R. Elasticity-Driven Nanoscale Electronic Structure in Superconductors. Phys. Rev. Lett. 2003, 91, 057004. [Google Scholar] [CrossRef]
- Ahn, K.H.; Seman, T.F.; Lookman, T.; Bishop, A.R. Role of complex energy landscapes and strains in multiscale inhomogeneities in perovskite manganites. Phys. Rev. B 2013, 88, 144415. [Google Scholar] [CrossRef]
- Millis, A.J. Lattice effects in magnetoresistive manganese perovskites. Nature 1998, 392, 147–150. [Google Scholar] [CrossRef]
- Chen, A.; Su, Q.; Han, H.; Enriquez, E.; Jia, Q. Metal Oxide Nanocomposites: A Perspective from Strain, Defect, and Interface. Adv. Mater. 2019, 31, 1803241. [Google Scholar] [CrossRef]
- Gottschall, T.; Benke, D.; Fries, M.; Taubel, A.; Radulov, I.A.; Skokov, K.P.; Gutfleisch, O. A Matter of Size and Stress: Understanding the First-Order Transition in Materials for Solid-State Refrigeration. Adv. Funct. Mater. 2017, 27, 1606735. [Google Scholar] [CrossRef]
- Guzmán-Verri, G.G.; Brierley, R.T.; Littlewood, P.B. Cooperative elastic fluctuations provide tuning of the metal-insulator transition. Nature 2019, 576, 429–432. [Google Scholar] [CrossRef]
- Shi, J.; Bruinsma, R.; Bishop, A.R. Theory of Vanadium Dioxide. Synth. Met. 1991, 43, 3527–3530. [Google Scholar] [CrossRef]
- She, J.-H.; Zaanen, J.; Bishop, A.R.; Balatsky, A.V. Stability of Quantum Critical Points in the Presence of Competing Orders. Phys. Rev. B 2010, 82, 165128. [Google Scholar] [CrossRef]
- Maniadis, P.; Lookman, T.; Bishop, A.R. Elastically driven polaron patterns: Stripes and glass phases. Phys. Rev. B 2011, 84, 024304. [Google Scholar] [CrossRef]
- Bussmann-Holder, A.; Micnas, R.; Bishop, A.R. Enhancements of the superconducting transition temperature within the two-band model. Eur. Phys. J. B 2004, 37, 345–348. [Google Scholar] [CrossRef]
- Bussmann-Holder, A.; Keller, H.; Simon, A.; Bianconi, A. Multi-Band Superconductivity and the Steep Band/Flat Band Scenario. Condens. Matter 2019, 4, 4040091. [Google Scholar] [CrossRef]
- Cuevas, J.; Kevrekidis, P.G.; Frantzeskakis, D.J.; Bishop, A.R. Existence of bound states of a polaron with a breather in soft potentials. Phys. Rev. B 2006, 74, 064304. [Google Scholar] [CrossRef]
- Bussmann-Holder, A.; Bishop, A.R.; Egami, T. Relaxor ferroelectrics and intrinsic inhomogeneity. Europhys. Lett. 2005, 71, 249–255. [Google Scholar] [CrossRef]
- Bishop, A.R.; Bussmann-Holder, A.; Kamba, S.; Maglione, M. Common characteristics of displacive and relaxor ferroelectrics. Phys. Rev. B 2010, 81, 064106. [Google Scholar] [CrossRef]
- Bussmann-Holder, A.; Büttner, H.; Bishop, A.R. Polar-Soft-Mode-Driven Structural Phase Transition in SrTiO3. Phys. Rev. Lett. 2007, 99, 167603. [Google Scholar] [CrossRef]
- Bettis, J.L.; Whangbo, M.-H.; Köhler, J.; Bussmann-Holder, A.; Bishop, A.R. Lattice dynamical analogies and differences between SrTiO3 and EuTiO3 revealed by phonon-dispersion relations and double-well potentials. Phys. Rev. B 2011, 84, 184114. [Google Scholar] [CrossRef]
- Edge, J.M.; Kedem, Y.; Aschauer, U.; Spaldin, N.A.; Balatsky, A.V. Quantum Critical Origin of the Superconducting Dome in SrTiO3. Phys. Rev. Lett. 2015, 115, 247002. [Google Scholar] [CrossRef] [PubMed]
- Yi, Y.-S.; Bishop, A.R.; Röder, H. Spin-Peierls ground states in an electron-lattice periodic Anderson model. J. Phys. Condens. Matter 1999, 11, 3547–3554. [Google Scholar] [CrossRef]
- Gulacsi, M.; Bussman-Holder, A.; Bishop, A.R. Spin and lattice effects in the Kondo lattice model. Phys. Rev. B 2005, 71, 214415. [Google Scholar] [CrossRef]
- She, J.-H.; Bishop, A.R. RKKY Interaction and Intrinsic Frustration in Non-Fermi-Liquid Metals. Phys. Rev. Lett. 2013, 111, 017001. [Google Scholar] [CrossRef]
- Phillips, J.C.; Saxena, A.; Bishop, A.R. Pseudogaphs, dopants, and strong disorder in cuprate high-temperature superconductors. Rep. Prog. Phys. 2003, 66, 2111–2182. [Google Scholar] [CrossRef]
- Chakravarty, S.; Almutairi, B.S.; Chbeir, R.; Chakraborty, S.; Bauchy, M.; Micoulaut, M.; Boolchand, P. Progress, Challenges, and Rewards in Probing Melt Dynamics, Configurational Entropy Change, and Topological Phases of Group V- and Group IV-Based Multicomponent Sulfide Glasses. Phys. Status Solidi B 2020, 2000116. [Google Scholar] [CrossRef]
- Stojković, B.P.; Yu, Z.G.; Chernyshev, A.L.; Bishop, A.R.; Castro Neto, A.H.; Grønbech-Jensen, N. Charge ordering and long-range interactions in layered transition metal oxides: A quasiclassical continuum study. Phys. Rev. B 2000, 62, 4353–4369. [Google Scholar] [CrossRef]
- Olson Reichhardt, C.J.; Reichhardt, C.; Bishop, A.R. Fibrillar Templates and Soft Phases in Systems with Short-Range Dipolar and Long-Range Interactions. Phys. Rev. Lett. 2004, 92, 016801. [Google Scholar] [CrossRef]
- Olson Reichhardt, C.J.; Reichhardt, C.; Bishop, A.R. Structural transitions, melting, and intermediate phases for stripe- and clump-forming systems. Phys. Rev. E 2010, 82, 041502. [Google Scholar] [CrossRef]
- Reichhardt, C.; Olson Reichhardt, C.J.; Bishop, A.R. Noise and hysteresis in charged stripe, checkerboard, and clump forming systems. In SPIE Proceedings Vol. 6600, Proceedings of the SPIE 6600, Noise and Fluctuations in Circuits, Devices, and Materials, Florence, Italy, 20–24 May 2007; Macuci, M., Vandamme, L.K.J., Ciofi, C., Weissman, M.B., Eds.; SPIE: Bellingham, WA, USA, 2007; p. 66001B. [Google Scholar]
- Reichhardt, C.; Olson Reichhardt, C.J.; Bishop, A.R. Commensurate and incommensurate checkerboard charge ordered states. Physica C 2007, 460–462, 1178–1179. [Google Scholar] [CrossRef]
- Barré, J.; Bishop, A.R.; Lookman, T.; Saxena, A. Random bond models of the intermediate phase in network forming glasses. In Rigidity and Boolchand Intermediate Phases in Nanomaterials; Micolaut, M., Popescu, M., Eds.; INOE Publishing House: Bucharest, Romania, 2009; Volume 3, pp. 105–128. [Google Scholar]
- Frauenfelder, H.; Bishop, A.R.; Garcia, A.; Perelson, A.; Schuster, P.; Sherrington, D.; Swart, P.J. (Eds.) Landscape Paradigms in Physics and Biology; North-Holland: Amsterdam, The Netherlands, 1997. [Google Scholar]
- She, J.-H.; Fransson, J.; Bishop, A.R.; Balatsky, A.V. Inelastic Electron Tunneling Spectroscopy for Topological Insulators. Phys. Rev. Lett. 2013, 110, 026802. [Google Scholar] [CrossRef] [PubMed]
- Haraldsen, J.T.; Wölfle, P.; Balatsky, A.V. Understanding the electric-field enhancement of the superconducting transition temperature for complex oxide interfaces. Phys. Rev. B 2012, 85, 134501. [Google Scholar] [CrossRef]
- Salje, E.K.H. Multiferroic domain boundaries as active memory devices: Trajectories towards domain boundary engineering. Chem. Phys. Chem. 2010, 11, 940–950. [Google Scholar] [CrossRef] [PubMed]
- Conradson, S.D.; Geballe, T.H.; Jin, C.; Cao, L.; Baldinozzi, G.; Jiang, J.M.; Latimer, M.J.; Mueller, O. Local structure of Sr2CuO3.3, a 95 K cuprate superconductor without CuO2 planes. Proc. Natl. Acad. Sci. USA 2020, 117, 4565–4570. [Google Scholar] [CrossRef] [PubMed]
- Barzykin, V.; Gor’kov, L.P. Inhomogeneous stripe phase revisited for surface suoerconductivity. Phys. Rev. Lett. 2002, 89, 227002. [Google Scholar] [CrossRef]
- Agrestini, S.; Saini, N.L.; Bianconi, G.; Bianconi, A. The strain of CuO2 lattice: The second variable for the phase diagram of cuprate perovskites. J. Phys. A Math. Gen. 2003, 36, 9133. [Google Scholar] [CrossRef]
- Eroles, J.; Ortiz, G.; Balatsky, A.V.; Bishop, A.R. Inhomogeneity-induced superconductivity? Europhys. Lett. 2000, 50, 540–546. [Google Scholar] [CrossRef][Green Version]
- Mazumdar, S. Valence transition model of the pseudogap, charge order, and superconductivity in electron-doped and hole-doped copper oxides. Phys. Rev. B 2018, 98, 205153. [Google Scholar] [CrossRef]
- Bishop, A.R.; Martin, R.L.; Müller, K.A.; Tesanovic, Z. Superconductivity in oxides: Toward a unified picture. Z. Phys. B 1989, 76, 17. [Google Scholar] [CrossRef]
- Shenoy, S.R.; Subrahmanyam, V.; Bishop, A.R. Quantum paraelectric model for layered superconductor. Phys. Rev. Lett. 1997, 79, 4657. [Google Scholar] [CrossRef]
- Phillips, J.C. Ted Geballe and HTSC. J. Supercond. Nov. Mag. 2020, 33, 11–13. [Google Scholar] [CrossRef]











© 2020 by the author. Licensee MDPI, Basel, Switzerland. This article is an open access article distributed under the terms and conditions of the Creative Commons Attribution (CC BY) license (http://creativecommons.org/licenses/by/4.0/).
Share and Cite
Bishop, A.R. A Lattice Litany for Transition Metal Oxides. Condens. Matter 2020, 5, 46. https://doi.org/10.3390/condmat5030046
Bishop AR. A Lattice Litany for Transition Metal Oxides. Condensed Matter. 2020; 5(3):46. https://doi.org/10.3390/condmat5030046
Chicago/Turabian StyleBishop, Alan R. 2020. "A Lattice Litany for Transition Metal Oxides" Condensed Matter 5, no. 3: 46. https://doi.org/10.3390/condmat5030046
APA StyleBishop, A. R. (2020). A Lattice Litany for Transition Metal Oxides. Condensed Matter, 5(3), 46. https://doi.org/10.3390/condmat5030046