Many-Body Physics of Low-Density Dipolar Bosons in Box Potentials
Abstract
1. Introduction
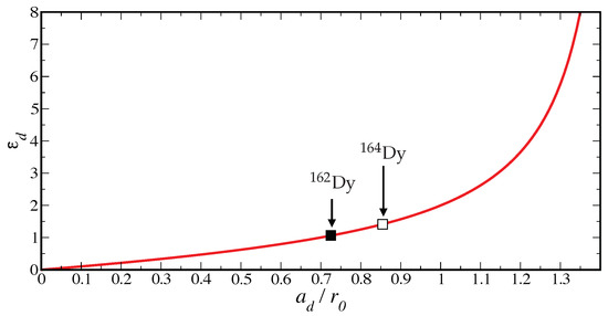
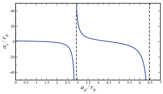
2. Two-Body Physics of Dipole–Dipole Interactions
3. Many-Body Properties
4. Results
4.1. Methodology
4.2. Density Profile of the Filament Phase
4.3. Weakly Interacting Regime
5. Conclusions
Author Contributions
Funding
Conflicts of Interest
References
- Butenko, S.; Chaovalitwongse, W.A.; Pardalos, P.M. Clustering Challenges in Biological Networks; World Scientific Publishers: Singapore, 2009. [Google Scholar]
- Likos, C.N. Effective interactions in soft condensed matter physics. Phys. Rep. 2001, 348, 267–439. [Google Scholar] [CrossRef]
- Díaz-Méndez, R.; Mezzacapo, F.; Lechner, W.; Cinti, F.; Babaev, E.; Pupillo, G. Glass Transitions in Monodisperse Cluster-Forming Ensembles: Vortex Matter in Type-1.5 Superconductors. Phys. Rev. Lett. 2017, 118, 067001. [Google Scholar] [CrossRef]
- Cinti, F.; Macrì, T.; Lechner, W.; Pupillo, G.; Pohl, T. Defect-induced supersolidity with soft-core bosons. Nat. Commun. 2014, 5, 3235. [Google Scholar] [CrossRef] [PubMed]
- Cinti, F.; Jain, P.; Boninsegni, M.; Micheli, A.; Zoller, P.; Pupillo, G. Supersolid Droplet Crystal in a Dipole-Blockaded Gas. Phys. Rev. Lett. 2010, 105, 135301. [Google Scholar] [CrossRef] [PubMed]
- Henkel, N.; Cinti, F.; Jain, P.; Pupillo, G.; Pohl, T. Supersolid Vortex Crystals in Rydberg-Dressed Bose-Einstein Condensates. Phys. Rev. Lett. 2012, 108, 265301. [Google Scholar] [CrossRef] [PubMed]
- Macrì, T.; Saccani, S.; Cinti, F. Ground State and Excitation Properties of Soft-Core Bosons. J. Low Temp. Phys. 2014, 177, 59–71. [Google Scholar] [CrossRef]
- Macrì, T.; Maucher, F.; Cinti, F.; Pohl, T. Elementary excitations of ultracold soft-core bosons across the superfluid-supersolid phase transition. Phys. Rev. A 2013, 87, 061602. [Google Scholar] [CrossRef]
- Cinti, F.; Boninsegni, M.; Pohl, T. Exchange-induced crystallization of soft-core bosons. New J. Phys. 2014, 16, 033038. [Google Scholar] [CrossRef]
- Saccani, S.; Moroni, S.; Boninsegni, M. Excitation Spectrum of a Supersolid. Phys. Rev. Lett. 2012, 108, 175301. [Google Scholar] [CrossRef]
- Saccani, S.; Moroni, S.; Boninsegni, M. Phase diagram of soft-core bosons in two dimensions. Phys. Rev. B 2011, 83, 092506. [Google Scholar] [CrossRef]
- Boninsegni, M. Supersolid Phases of Cold Atom Assemblies. J. Low Temp. Phys. 2012, 168, 137–149. [Google Scholar] [CrossRef]
- Moroni, S.; Boninsegni, M. Coexistence, Interfacial Energy, and the Fate of Microemulsions of 2D Dipolar Bosons. Phys. Rev. Lett. 2014, 113, 240407. [Google Scholar] [CrossRef] [PubMed]
- Boninsegni, M.; Prokof’ev, N.V. Colloquium: Supersolids: What and where are they? Rev. Mod. Phys. 2012, 84, 759–776. [Google Scholar] [CrossRef]
- Kadau, H.; Schmitt, M.; Wenzel, M.; Wink, C.; Maier, T.; Ferrier-Barbut, I.; Pfau, T. Observing the Rosensweig instability of a quantum ferrofluid. Nature 2016, 530, 194–197. [Google Scholar] [CrossRef] [PubMed]
- Chomaz, L.; Baier, S.; Petter, D.; Mark, M.J.; Wächtler, F.; Santos, L.; Ferlaino, F. Quantum-Fluctuation-Driven Crossover from a Dilute Bose-Einstein Condensate to a Macrodroplet in a Dipolar Quantum Fluid. Phys. Rev. X 2016, 6, 041039. [Google Scholar] [CrossRef]
- Wächtler, F.; Santos, L. Quantum filaments in dipolar Bose-Einstein condensates. Phys. Rev. A 2016, 93, 061603. [Google Scholar] [CrossRef]
- Cappellaro, A.; Macrì, T.; Salasnich, L. Collective modes across the soliton-droplet crossover in binary Bose mixtures. Phys. Rev. A 2018, 97, 053623. [Google Scholar] [CrossRef]
- Cappellaro, A.; Macrì, T.; Bertacco, G.F.; Salasnich, L. Equation of state and self-bound droplet in Rabi-coupled Bose mixtures. Sci. Rep. 2017, 7. [Google Scholar] [CrossRef]
- Cinti, F.; Cappellaro, A.; Salasnich, L.; Macrì, T. Superfluid Filaments of Dipolar Bosons in Free Space. Phys. Rev. Lett. 2017, 119, 215302. [Google Scholar] [CrossRef]
- Cinti, F.; Boninsegni, M. Classical and quantum filaments in the ground state of trapped dipolar Bose gases. Phys. Rev. A 2017, 96, 013627. [Google Scholar] [CrossRef]
- Cidrim, A.; dos Santos, F.E.A.; Henn, E.A.L.; Macrì, T. Vortices in self-bound dipolar droplets. Phys. Rev. A 2018, 98, 023618. [Google Scholar] [CrossRef]
- Lahaye, T.; Menotti, C.; Santos, L.; Lewenstein, M.; Pfau, T. The physics of dipolar bosonic quantum gases. Rep. Prog. Phys. 2009, 72, 126401. [Google Scholar] [CrossRef]
- Yi, S.; You, L. Trapped atomic condensates with anisotropic interactions. Phys. Rev. A 2000, 61, 041604. [Google Scholar] [CrossRef]
- Yi, S.; You, L. Trapped condensates of atoms with dipole interactions. Phys. Rev. A 2001, 63, 053607. [Google Scholar] [CrossRef]
- Ołdziejewski, R.; Jachymski, K. Properties of strongly dipolar Bose gases beyond the Born approximation. Phys. Rev. A 2016, 94, 063638. [Google Scholar] [CrossRef]
- Bortolotti, D.C.E.; Ronen, S.; Bohn, J.L.; Blume, D. Scattering Length Instability in Dipolar Bose-Einstein Condensates. Phys. Rev. Lett. 2006, 97, 160402. [Google Scholar] [CrossRef] [PubMed]
- Ronen, S.; Bortolotti, D.C.E.; Bohn, J.L. Radial and Angular Rotons in Trapped Dipolar Gases. Phys. Rev. Lett. 2007, 98, 030406. [Google Scholar] [CrossRef] [PubMed]
- Boninsegni, M.; Prokof’ev, N.; Svistunov, B. Worm Algorithm for Continuous-Space Path Integral Monte Carlo Simulations. Phys. Rev. Lett. 2006, 96, 070601. [Google Scholar] [CrossRef] [PubMed]
- Boninsegni, M.; Prokof’ev, N.V.; Svistunov, B.V. Worm algorithm and diagrammatic Monte Carlo: A new approach to continuous-space path integral Monte Carlo simulations. Phys. Rev. E 2006, 74, 036701. [Google Scholar] [CrossRef] [PubMed]
- Cinti, F. Incommensurability Effects on Dipolar Bosons in Optical Lattices. J. Low Temp. Phys. 2015, 182, 153–161. [Google Scholar] [CrossRef]
- Cinti, F.; Wang, D.W.; Boninsegni, M. Phases of dipolar bosons in a bilayer geometry. Phys. Rev. A 2017, 95, 023622. [Google Scholar] [CrossRef]
- Lechner, W.; Cinti, F.; Pupillo, G. Tunable defect interactions and supersolidity in dipolar quantum gases on a lattice potential. Phys. Rev. A 2015, 92, 053625. [Google Scholar] [CrossRef]
- Díaz-Méndez, R.; Mezzacapo, F.; Cinti, F.; Lechner, W.; Pupillo, G. Monodisperse cluster crystals: Classical and quantum dynamics. Phys. Rev. E 2015, 92, 052307. [Google Scholar] [CrossRef] [PubMed]
- Jain, P.; Cinti, F.; Boninsegni, M. Structure, Bose-Einstein condensation, and superfluidity of two-dimensional confined dipolar assemblies. Phys. Rev. B 2011, 84, 014534. [Google Scholar] [CrossRef]
- Ceperley, D.M. Path integrals in the theory of condensed helium. Rev. Mod. Phys. 1995, 67, 279–355. [Google Scholar] [CrossRef]
- Jang, S.; Jang, S.; Voth, G.A. Applications of higher order composite factorization schemes in imaginary time path integral simulations. J. Chem. Phys. 2001, 115, 7832–7842. [Google Scholar] [CrossRef]





© 2019 by the authors. Licensee MDPI, Basel, Switzerland. This article is an open access article distributed under the terms and conditions of the Creative Commons Attribution (CC BY) license (http://creativecommons.org/licenses/by/4.0/).
Share and Cite
Macrì, T.; Cinti, F. Many-Body Physics of Low-Density Dipolar Bosons in Box Potentials. Condens. Matter 2019, 4, 17. https://doi.org/10.3390/condmat4010017
Macrì T, Cinti F. Many-Body Physics of Low-Density Dipolar Bosons in Box Potentials. Condensed Matter. 2019; 4(1):17. https://doi.org/10.3390/condmat4010017
Chicago/Turabian StyleMacrì, Tommaso, and Fabio Cinti. 2019. "Many-Body Physics of Low-Density Dipolar Bosons in Box Potentials" Condensed Matter 4, no. 1: 17. https://doi.org/10.3390/condmat4010017
APA StyleMacrì, T., & Cinti, F. (2019). Many-Body Physics of Low-Density Dipolar Bosons in Box Potentials. Condensed Matter, 4(1), 17. https://doi.org/10.3390/condmat4010017

