Functional Study on the BMP Signaling Pathway in the Molting of Scylla paramamosain
Abstract
1. Introduction
2. Materials and Methods
2.1. Experimental Design and Management
2.2. Gene Expression Analysis
2.3. Calculations
2.4. Statistical Analysis
3. Results
3.1. Survival and Molting Rate at Different Concentrations
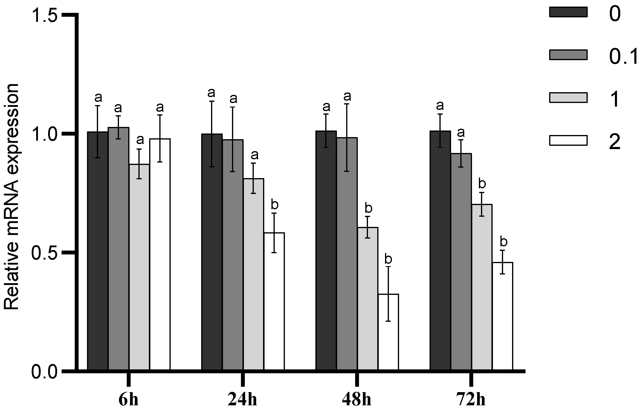
3.2. Expression of ACVR1 at Different Concentrations
3.3. Expression of BMP-Related Genes at a Concentration of 2 μmol/L
3.4. Growth Performance
3.5. Differential Gene Expression of the BMP Signaling Pathway across Molting Stages
3.6. Expression of BMPR2, Smad1, and BMP2 at Different Molt Stages
3.7. Molt-Related Gene Expression
4. Discussion
5. Conclusions
Author Contributions
Funding
Institutional Review Board Statement
Informed Consent Statement
Data Availability Statement
Conflicts of Interest
References
- Ut, V.N.; Le Vay, L.; Nghia, T.T.; Hong Hanh, T.T. Development of nursery culture techniques for the mud crab Scylla paramamosain (Estampador). Aquac. Res. 2007, 38, 1563–1568. [Google Scholar] [CrossRef]
- Hosamani, N.; Reddy, S.; Reddy, R. Crustacean molting: Regulation and effects of environmental toxicants. J. Mar. Sci. Res. Dev. 2017, 7, 5. [Google Scholar] [CrossRef]
- Gore, R.H. Molting and growth in decapod larvae. In Crustacean Issues 2; Routledge: Abington, UK, 2017; pp. 1–65. [Google Scholar]
- Huang, H.; Fu, C.; Chen, X.; Gong, J.; Huang, X.; Ye, H. Molt-inhibiting hormone (MIH) gene from the green mud crab Scylla paramamosain and its expression during the molting and ovarian cycle. Aquac. Res. 2015, 46, 2665–2675. [Google Scholar] [CrossRef]
- Greenavvay, P. Calcium balance and moulting in the Crustacea. Biol. Rev. 1985, 6, 425–454. [Google Scholar] [CrossRef]
- Brazil, D.P.; Church, R.H.; Surae, S.; Godson, C.; Martin, F. BMP signalling: Agony and antagony in the family. Trends Cell Biol. 2015, 25, 249–264. [Google Scholar] [CrossRef] [PubMed]
- Höch, R.; Schneider, R.F.; Kickuth, A.; Meyer, A.; Woltering, J.M. Spiny and soft-rayed fin domains in acanthomorph fish are established through a BMP-gremlin-shh signaling network. Proc. Natl. Acad. Sci. USA 2021, 118, e2101783118. [Google Scholar] [CrossRef] [PubMed]
- Smith, A.; Avaron, F.; Guay, D.; Padhi, B.D.; Akimenko, M. Inhibition of BMP signaling during zebrafish fin regeneration disrupts fin growth and scleroblast differentiation and function. Dev. Biol. 2006, 299, 438–454. [Google Scholar] [CrossRef] [PubMed]
- Kin, K.; Kakoi, S.; Wada, H. A novel role for dpp in the shaping of bivalve shells revealed in a conserved molluscan developmental program. Dev. Biol. 2009, 329, 152–166. [Google Scholar] [CrossRef]
- Cavallo, A.; Clark, M.S.; Peck, L.S.; Harper, E.M.; Sleight, V.A. Evolutionary conservation and divergence of the transcriptional regulation of bivalve shell secretion across life-history stages. R. Soc. Open Sci. 2022, 9, 221022. [Google Scholar] [CrossRef]
- Wang, M.; Zhou, J.; Su, S.; Tang, Y.; Xu, G.; Li, J.; Yu, F.; Li, H.; Song, C.; Liang, M. Comparative transcriptome analysis on the regulatory mechanism of thoracic ganglia in Eriocheir sinensis at post-molt and inter-molt Stages. Life 2022, 12, 1181. [Google Scholar] [CrossRef]
- Xu, Y.-R.; Wang, G.-Y.; Zhou, Y.-C.; Yang, W.-X. The characterization and potential roles of bone morphogenetic protein 7 during spermatogenesis in Chinese mitten crab Eriocheir sinensis. Gene 2018, 673, 119–129. [Google Scholar] [CrossRef]
- Shu, L.; Yang, Y.; Huang, H.; Ye, H. A bone morphogenetic protein ligand and receptors in mud crab: A potential role in the ovarian development. Mol. Cell. Endocrinol. 2016, 434, 99–107. [Google Scholar] [CrossRef] [PubMed]
- Yang, Y.; Zhang, P.; Cui, Z.; Bao, C. Bone Morphogenetic Protein 2 Is Involved in Oocyte Maturation Through an Autocrine/Paracrine Pathway in Scylla paramamosain. Front. Mar. Sci. 2021, 8, 748928. [Google Scholar] [CrossRef]
- Li, B.-Z.; Lin, C.-Y.; Xu, W.-B.; Zhang, Y.-M.; Shao, Q.-J.; Dong, W.-R.; Shu, M.-A. The first identification and functional analysis of two drosophila mothers against decapentaplegic protein genes (SpSmad1 and SpSmad2/3) and their involvement in the innate immune response in Scylla paramamosain. Fish Shellfish Immunol. 2023, 143, 109183. [Google Scholar] [CrossRef]
- Hegarty, S.V.; O’Keeffe, G.W.; Sullivan, A.M. BMP-Smad 1/5/8 signalling in the development of the nervous system. Prog. Neurobiol. 2013, 109, 28–41. [Google Scholar] [CrossRef] [PubMed]
- Cannon, J.; Upton, P.; Smith, J.; Morrell, N. Intersegmental vessel formation in zebrafish: Requirement for VEGF but not BMP signalling revealed by selective and non-selective BMP antagonists. Br. J. Pharmacol. 2010, 161, 140–149. [Google Scholar] [CrossRef]
- Vollaire, J.; Machuca-Gayet, I.; Bellanger, A.; Josserand, V.; Cohen, P.A. The bone morphogenetic protein signaling inhibitor LDN-193189 enhances metastasis development in mice. Front. Pharmacol. 2019, 10, 437425. [Google Scholar] [CrossRef] [PubMed]
- Li, J.; Li, D.-W.; Wang, H.; Hou, X.-L.; Li, L.-H.; Li, L.; Zhang, C.-S. The effect of the bmp inhibitor LDN-193189 on Echinococcus multilocularis protoscoleces. Zhongguo Bingyuan Shengwuxue Zazhi/J. Pathog. Biol. 2021, 16, 429–432. [Google Scholar]
- Yadin, D.; Knaus, P.; Mueller, T.D. Structural insights into BMP receptors: Specificity, activation and inhibition. Cytokine Growth Factor Rev. 2016, 27, 13–34. [Google Scholar] [CrossRef]
- Kishigami, S.; Mishina, Y. BMP signaling and early embryonic patterning. Cytokine Growth Factor Rev. 2005, 16, 265–278. [Google Scholar] [CrossRef]
- Rajagopal, R.; Huang, J.; Dattilo, L.K.; Kaartinen, V.; Mishina, Y.; Deng, C.-X.; Umans, L.; Zwijsen, A.; Roberts, A.B.; Beebe, D.C. The type I BMP receptors, Bmpr1a and Acvr1, activate multiple signaling pathways to regulate lens formation. Dev. Biol. 2009, 335, 305–316. [Google Scholar] [CrossRef] [PubMed]
- Sigang, F.; Daizhi, Z.; Baosuo, L.; Zhenghua, D.; Yihui, G.; Dahui, Y. Molecular cloning and expression analysis of BMP7b from Pinctada fucata. South China Fish. Sci. 2018, 14, 121–126. [Google Scholar]
- Rosen, V. BMP2 signaling in bone development and repair. Cytokine Growth Factor Rev. 2009, 20, 475–480. [Google Scholar] [CrossRef] [PubMed]
- Pan, G.; Gao, X.; Lin, Z.; Yao, H.; Dong, Y. Identification of BMP2 and BMP7 genes and association of their SNPs with growth traits in the hard clam (Meretrix meretrix). Invertebr. Surviv. J. 2019, 16, 141–151. [Google Scholar]
- Zhao, M.; Shi, Y.; He, M.; Huang, X.; Wang, Q. PfSMAD4 plays a role in biomineralization and can transduce bone morphogenetic protein-2 signals in the pearl oyster Pinctada fucata. BMC Dev. Biol. 2016, 16, 9. [Google Scholar] [CrossRef]
- Morrell, N.W. Pulmonary hypertension due to BMPR2 mutation: A new paradigm for tissue remodeling? Proc. Am. Thorac. Soc. 2006, 3, 680–686. [Google Scholar] [CrossRef] [PubMed]
- Retting, K.N.; Song, B.; Yoon, B.S.; Lyons, K.M. BMP canonical Smad signaling through Smad1 and Smad5 is required for endochondral bone formation. Development 2009, 136, 1093–1104. [Google Scholar] [CrossRef]
- Klein, M.J.; Ahearn, G.A. Calcium transport mechanisms of crustacean hepatopancreatic mitochondria. J. Exp. Zool. 1999, 283, 147–159. [Google Scholar] [CrossRef]
- Lachaise, F.; Le, R.A.; Hubert, M.; Lafont, R. The molting gland of crustaceans: Localization, activity, and endocrine control (A review). J. Crustac. Biol. 1993, 13, 198. [Google Scholar] [CrossRef]
- Durica, D.S.; Chung, C.K.; Hopkins, P.M. Characterization of EcR and RXR Gene Homologs and Receptor Expression During the Molt Cycle in the Crab, Uca pugilator. Am. Zool. 1999, 39, 758–773. [Google Scholar] [CrossRef]
- Huang, S.; Chen, J.; Chen, X.; Chen, Y.; Yue, W.; Wang, J.; Wang, C. Dynamic analysis of ecdysteroid hormone content and molting related genes expression in the molting cycle of Chinese mitten crab (Eriocheir sinensis). J. Agric. Biotechnol. 2018, 26, 150–158. [Google Scholar]
- Li, X.; Xin, J.; Feng, T.; Liu, X. Single nucleotide polymorphism discovery of Molt Inhibiting Hormone gene 3 exons and its association with growth traits in white shrimp (Litopenaeus vannamei). J. Anim. Vet. Adv. 2011, 10, 2856–2858. [Google Scholar]
- Bruce, M.J.; Chang, E.S. Demonstration of a molt-inhibiting hormone from the sinus gland of the lobster, Homaru americanus. Comp. Biochem. Physiol. Part A Physiol. 1984, 79, 421–424. [Google Scholar] [CrossRef]
- Shyamal, S.; Anilkumar, G.; Bhaskaran, R.; Doss, G.P.; Durica, D.S. Significant fluctuations in ecdysteroid receptor gene (EcR) expression in relation to seasons of molt and reproduction in the grapsid crab, Metopograpsus messor (Brachyura: Decapoda). Gen. Comp. Endocrinol. 2015, 211, 39–51. [Google Scholar] [CrossRef]








| Primers Name | Sequence (5′ to 3′) |
|---|---|
| MIH-F | GCAAGCAGCGGCGAGAGTTAT |
| MIH-R | GCCATTCCTGTGATGCGGTAGAT |
| EcR-F | AGGCTATCACTACAACGCACTCAC |
| EcR-R | GACTCTGGCACAACACATTCTGGT |
| BMP2-F | CAGATGCTGTTCGTCGGTGGATAG |
| BMP2-R | GCTCGCTTGGTTCGCACTTGT |
| BMP7-F | GGTAACGGCTGTGACATCGGAAG |
| BMP7-R | TGGTGGATCGGCGGTAGCATTA |
| BMPR2-F | CTACCAGCAGCAGCCTGTCTGA |
| BMPR2-R | GCCTCCATTCGTTAGAAGCACCTC |
| ACVR1-F | TGTCGCCGTTATGTGTCGAATGG |
| ACVR1-R | GTCCACGCACACCACCTTCTTC |
| BMPRIB-F | TCACGCTGCCACTTGCCTTC |
| BMPRIB-R | AGAGCCTGACGACACCTCCAAT |
| Smad1-F | AAGAGAAGGAGGAGGAGACAGCAAT |
| Smad1-R | TCGGACAAGCATTCGGCATACAC |
| actin-F | CGTGACCTGACTGCCTACCTCA |
| actin-R | GTTGCCGATGGTGATGACCTGAC |
| Group | W0 (g) | Wt (g) | WGR (%) | SGR (%/d) |
|---|---|---|---|---|
| Control | 0.0049 ± 0.001 | 0.096 ± 0.012 | 1859.67 ± 82.43 | 9.91 ± 0.16 |
| Experiment | 0.0048 ± 0.001 | 0.041 ** ± 0.003 | 736.73 ** ± 39.75 | 6.07 ** ± 0.11 |
| Item | Group | C I | C II | C III | C IV |
|---|---|---|---|---|---|
| FCW (mm) | Con | 326.25 ± 19.9 | 445.03 ± 24.24 | 572.73 ± 27.21 | 704.43 ± 50.8 |
| Exp | 282.94 * ± 17.23 | 341.16 ** ± 15.44 | 484.23 ** ± 27.19 | 582.5 ** ± 117.38 | |
| FCL (mm) | Con | 286.87 ± 12.75 | 374.99 ± 27.13 | 421.37 ± 30.6 | 506.64 ± 48.97 |
| Exp | 271.8 ± 12.47 | 303.47 ** ± 14.32 | 357.06 ** ± 16.25 | 428.75 ** ± 28.39 |
Disclaimer/Publisher’s Note: The statements, opinions and data contained in all publications are solely those of the individual author(s) and contributor(s) and not of MDPI and/or the editor(s). MDPI and/or the editor(s) disclaim responsibility for any injury to people or property resulting from any ideas, methods, instructions or products referred to in the content. |
© 2024 by the authors. Licensee MDPI, Basel, Switzerland. This article is an open access article distributed under the terms and conditions of the Creative Commons Attribution (CC BY) license (https://creativecommons.org/licenses/by/4.0/).
Share and Cite
Zhong, B.; Yu, H.; Han, S.; Song, W.; Ren, Z.; Wang, C.; Mu, C. Functional Study on the BMP Signaling Pathway in the Molting of Scylla paramamosain. Fishes 2024, 9, 263. https://doi.org/10.3390/fishes9070263
Zhong B, Yu H, Han S, Song W, Ren Z, Wang C, Mu C. Functional Study on the BMP Signaling Pathway in the Molting of Scylla paramamosain. Fishes. 2024; 9(7):263. https://doi.org/10.3390/fishes9070263
Chicago/Turabian StyleZhong, Botao, Huaihua Yu, Shengming Han, Weiwei Song, Zhiming Ren, Chunlin Wang, and Changkao Mu. 2024. "Functional Study on the BMP Signaling Pathway in the Molting of Scylla paramamosain" Fishes 9, no. 7: 263. https://doi.org/10.3390/fishes9070263
APA StyleZhong, B., Yu, H., Han, S., Song, W., Ren, Z., Wang, C., & Mu, C. (2024). Functional Study on the BMP Signaling Pathway in the Molting of Scylla paramamosain. Fishes, 9(7), 263. https://doi.org/10.3390/fishes9070263
