Insights into ‘Srdelara’ Purse Seines: Landing Composition and Trophic Relationships in the Pelagic Food Web
Abstract
:1. Introduction
2. Materials and Methods
2.1. Study Area
2.2. Official Purse Seine ‘Srdelara’ Landing Data
2.3. Fish Sampling and Sample Preparation
2.4. Data Analysis
3. Results
3.1. Analysis of the Commercial ‘Srdelara’ Purse Seine Landings
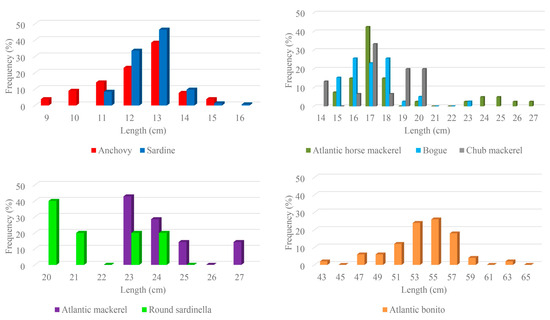
3.2. Length Frequency Distribution and the Length–Weight Relationship
3.3. Stable Isotope Analysis
4. Discussion
4.1. Landing Composition of Srdelara’ Purse Seines
4.2. Trophic Ecology of Investigated Pelagic Species
5. Conclusions
Supplementary Materials
Author Contributions
Funding
Institutional Review Board Statement
Informed Consent Statement
Data Availability Statement
Acknowledgments
Conflicts of Interest
References
- Doney, S.C.; Ruckelshaus, M.; Duffy, J.E.; Barry, J.P.; Chan, F.; English, C.A.; Galindo, H.M.; Grebmeier, J.M.; Hollowed, A.B.; Knowlton, N.; et al. Climate change impacts on marine ecosystems. Annu. Rev. Mar. Sci. 2012, 4, 11–37. [Google Scholar] [CrossRef] [PubMed]
- Fréon, P.; Cury, P.; Shannon, L.; Roy, C. Sustainable exploitation of small pelagic fish stocks challenged by environmental and ecosystem changes: A review. Bull. Mar. Sci. 2005, 76, 385–462. [Google Scholar]
- Cochran, J.K.; Bokuniewicz, H.J.; Yager, P.L. Encyclopedia of Ocean Sciences, 3rd ed.; Elsevier: Amsterdam, The Netherlands, 2019; 4306p. [Google Scholar]
- FAO. The State of World Fisheries and Aquaculture 2020: Sustainability in Action; FAO: Rome, Italy, 2020. [Google Scholar] [CrossRef]
- Steinacher, M.; Joos, F.; Frölicher, T.L.; Bopp, L.; Cadule, P.; Cocco, V.; Doney, S.C.; Gehlen, M.; Lindsay, K.; Moore, J.K.; et al. Projected 21st century decrease in marine productivity: A multi-model analysis. Biogeosciences 2010, 7, 979–1005. [Google Scholar] [CrossRef]
- Ouled-Cheikh, J.; Coll, M.; Cardona, L.; Steenbeek, J.; Ramírez, F. Fisheries-enhanced pressure on Mediterranean regions and pelagic species already impacted by climate change. Elem. Sci. Anthr. 2022, 10, 1. [Google Scholar] [CrossRef]
- Würtz, M. Mediterranean Pelagic Habitat: Oceanographic and Biological Processes, An Overview; IUCN: Gland, Switzerland, 2010; 76p. [Google Scholar]
- FAO. General Fisheries Commission for the Mediterranean (GFCM)—Report of the Forty-Fifth Session; FAO: Rome, Italy, 2023. [Google Scholar] [CrossRef]
- Croatian Bureau of Statistics. 2022. Fisheries in 2021. Available online: https://podaci.dzs.hr/2022/hr/29406 (accessed on 21 March 2024).
- Šantić, M.; Jardas, I.; Pallaoro, A. Feeding habits of horse mackerel, Trachurus trachurus (Linnaeus, 1758), from the central Adriatic Sea. J. Appl. Ichthyol. 2005, 21, 125–130. [Google Scholar] [CrossRef]
- Čikeš Keč, V.; Zorica, B.; Sinovčić, G. Diet of the chub mackerel Scomber japonicus in the eastern Adriatic Sea. Cah. Biol. Mar. 2012, 53, 89–95. [Google Scholar]
- Dobroslavić, T.; Zlatović, A.; Bartulović, V.; Lučić, D.; Glamuzina, B. Diet overlap of juvenile salema (Sarpa salpa), bogue (Boops boops) and common two-banded sea bream (Diplodus vulgaris) in the south-eastern Adriatic. J. Appl. Ichthyol. 2013, 29, 181–185. [Google Scholar] [CrossRef]
- Zorica, B.; Čikeš Keč, V.; Vidjak, O.; Mladineo, I.; Ezgeta Balić, D. Feeding habits and helminth parasites of sardine (S. pilchardus) and anchovy (E. encrasicolus) in the Adriatic Sea. Mediterr. Mar. Sci. 2016, 17, 216–229. [Google Scholar] [CrossRef]
- Zorica, B.; Ezgeta-Balić, D.; Vidjak, O.; Vuletin, V.; Šestanović, M.; Isajlović, I.; Keč, V.C.; Vrgoč, N.; Harrod, C. Diet composition and isotopic analysis of nine important fisheries resources in the Eastern Adriatic Sea (Mediterranean). Front. Mar. Sci. 2021, 8, 609432. [Google Scholar] [CrossRef]
- Hure, M.; Mustać, B. Feeding ecology of Sardina pilchardus considering co-occurring small pelagic fish in the eastern Adriatic Sea. Mar. Biodivers. 2020, 50, 40. [Google Scholar] [CrossRef]
- Post, D.M. Using stable isotopes to estimate trophic position: Models, methods, and the assumptions. Ecology 2002, 83, 703–718. [Google Scholar] [CrossRef]
- Caut, S.; Angulo, E.; Courchamp, F. Variation in discrimination factors (Δ15N and Δ13C): The effect of diet isotopic values and applications for diet reconstruction. J. Appl. Ecol. 2009, 46, 443–453. [Google Scholar] [CrossRef]
- Fry, B.; Herzka, S.Z. Stable Isotope Ecology; Springer: New York, NY, USA, 2006; Volume 521, 316p. [Google Scholar]
- Viličić, D.; Kuzmanić, M.; Tomažić, I.; Ljubešić, Z.; Bosak, S.; Precali, R.; Djakovac, T.; Marić, D.; Godrijan, J. Northern Adriatic phytoplankton response to short Po River discharge pulses during summer stratified conditions. Mar. Ecol. 2013, 34, 451–466. [Google Scholar] [CrossRef]
- Viličić, D. Phytoplankton population density and volume as indicators of eutrophication in the eastern part of the Adriatic Sea. Hydrobiology 1989, 174, 117–132. [Google Scholar] [CrossRef]
- Šantić, D.; Šestanović, S.; Šolić, M.; Krstulović, N.; Kušpilić, G.; Ordulj, M.; Gladan, Ž.N. Dynamics of picoplankton community from coastal waters to the open sea in the Central Adriatic. Mediterr. Mar. Sci. 2014, 15, 179–188. [Google Scholar] [CrossRef]
- Vidjak, O.; Bojanić, N.; Matijević, S.; Kušpilić, G.; Ninčević Gladan, Ž.; Skejić, S.; Grbec, B.; Brautović, I. Environmental drivers of zooplankton variability in the coastal eastern Adriatic (Mediterranean Sea). Acta Adriat. 2012, 53, 243–262. [Google Scholar]
- Lorrain, A.; Savoye, N.; Chauvaud, L.; Paulet, Y.-M.; Naulet, N. Decarbonation and preservation method for the analysis of organic C and N contents and stable isotope ratios of low-carbonated suspended particulate material. Anal. Chim. Acta 2003, 491, 125–133. [Google Scholar] [CrossRef]
- Quezada-Romegialli, C.; Jackson, A.L.; Hayden, B.; Kahilainen, K.K.; Lopes, C.; Harrod, C. tRophicPosition, an R package for the Bayesian estimation of trophic position from consumer stable isotope ratios. Methods Ecol. Evol. 2018, 9, 1592–1599. [Google Scholar] [CrossRef]
- McCutchan, J.H.; Lewis, W.M.; Kendall, C.; McGrath, C.C. Variation in trophic shift for stable isotope ratios of carbon, nitrogen, and sulfur. Oikos 2003, 102, 378–390. [Google Scholar] [CrossRef]
- Layman, C.A.; Arrington, D.A.; Montaña, C.G.; Post, D.M. Can stable isotope ratios provide for community-wide measures of trophic structure? Ecology 2007, 88, 42–48. [Google Scholar] [CrossRef] [PubMed]
- Jackson, A.L.; Inger, R.; Parnell, A.C.; Bearhop, S. Comparing isotopic niche widths among and within communities: SIBER—Stable Isotope Bayesian Ellipses in R. J. Anim. Ecol. 2011, 80, 595–602. [Google Scholar] [CrossRef] [PubMed]
- Bearhop, S.; Adams, C.E.; Waldron, S.; Fuller, R.A.; Macleod, H. Determining trophic niche width: A novel approach using stable isotope analysis. J. Anim. Ecol. 2004, 73, 1007–1012. [Google Scholar] [CrossRef]
- Morello, B.E.; Arneri, E. Anchovy and sardine in the Adriatic Sea—An ecological review. Oceanogr. Mar. Biol. Annu. Rev. 2009, 47, 209–256. [Google Scholar]
- Kraljević, V.; Čikeš Keč, V.; Zorica, B. Analiza ulova ostvarenih plivaricom srdelarom u Jadranu. Ribar. Znan.-Stručni Časopis Za Ribar. 2014, 72, 142–149. [Google Scholar]
- Santojanni, A.; Cingolani, N.; Arneri, E.; Kirkwood, G.; Belardinelli, A.; Giannetti, G.; Colella, S.; Donato, F.; Barry, C. Stock assessment of sardine (Sardina pilchardus, Walb.) in the Adriatic Sea with an estimate of discards. Sci. Mar. 2005, 69, 603–617. [Google Scholar] [CrossRef]
- Tsagarakis, K.; Vassilopoulou, V.; Kallianiotis, A.; Machias, A. Discards of the purse seine fishery targeting small pelagic fish in the eastern Mediterranean Sea. Sci. Mar. 2012, 76, 561–572. [Google Scholar] [CrossRef]
- Lucchetti, A.; Belardinelli, A.; D’Andrea, L.; Marčeta, B.; Martinelli, M.; Russo, T.; Keč, V.C.; Zorica, B.; Virgili, M. Small pelagic purse seines in the Adriatic Sea: A spatial analysis and technical overview in relation to Mediterranean Regulation provisions. Mar. Policy 2018, 98, 104–114. [Google Scholar] [CrossRef]
- Boubekri, I.; Amara, R.; Mazurek, H. Characterization of purse seine fishery of Ziama Bay (Gulf of Béjaia, SW Mediterranean): Implications for sustainability management. Ocean. Coast. Manag. 2019, 175, 79–89. [Google Scholar] [CrossRef]
- Čikeš Keč, V.; Zorica, B.; Jelavić, D.; Brzulja, G.; Vuletin, V. Composition of the catches of purse seine ‘Srdelara’ in Croatian waters. In Proceedings of the 2nd Southeast European Ichthyological Conference, Supetar, Croatia, 12–15 October 2022; Institute of Oceanography and Fisheries: Supetar, Croatia, 2022; p. 80. [Google Scholar]
- Jardas, I.; Šantić, M.; Pallaoro, A. Diet composition and feeding intensity of horse mackerel, Trachurus trachurus (Osteichthyes: Carangidae) in the eastern Adriatic. Mar. Biol. 2004, 144, 1051–1056. [Google Scholar] [CrossRef]
- Franičević, M.; Sinovčić, G.; Čikeš Keč, V.; Zorica, B. Biometry analysis of the Atlantic bonito, Sarda sarda (Bloch, 1793), in the Adriatic Sea. Acta Adriat. 2005, 46, 213–222. [Google Scholar]
- Sinovčić, G.; Zorica, B.; Čikeš Keč, V.; Mustać, B. Inter-annual fluctuations of the population structure, condition, length-weight relationship and abundance of sardine, Sardina pilchardus (Walb., 1792), in the nursery and spawning ground (coastal and open sea waters) of the eastern Adriatic Sea (Croatia). Acta Adriat. 2009, 50, 11–21. [Google Scholar]
- Čikeš Keč, V.; Zorica, B. Biometry markers of chub mackerel, Scomber japonicus Houttuyn, 1782, in the Adriatic Sea. Acta Adriat. 2011, 52, 214–221. [Google Scholar]
- Mustać, B.; Sinovčić, G. Inshore versus offshore length distribution of round sardinella (Sardinella aurita) in the middle eastern Adriatic Sea. Acta Adriat. 2012, 53, 341–351. [Google Scholar]
- Papetti, C.; Di Franco, A.; Zane, L.; Guidetti, P.; De Simone, V.; Spizzotin, M.; Zorica, B.; Keč, V.C.; Mazzoldi, C. Single population and common natal origin for Adriatic Scomber scombrus stocks: Evidence from an integrated approach. ICES J. Mar. Sci. 2013, 70, 387–398. [Google Scholar] [CrossRef]
- Tesch, F.W. Age and growth. In Methods for Assessment of 15 Fish Production in Fresh Waters; Ricker, W.E., Ed.; Blackwell Scientific Publications: Oxford, UK, 1971; pp. 99–130. [Google Scholar]
- Da Ros, Z.; Fanelli, E.; Cassatella, S.; Biagiotti, I.; Canduci, G.; Menicucci, S.; De Felice, A.; Malavolti, S.; Leonori, I. Resource Partitioning among “Ancillary” Pelagic Fishes (Scomber spp., Trachurus spp.) in the Adriatic Sea. Biology 2023, 12, 272. [Google Scholar] [CrossRef] [PubMed]
- Fanelli, E.; Da Ros, Z.; Menicucci, S.; Malavolti, S.; Biagiotti, I.; Canduci, G.; Felice, A.D.; Leonori, I. The pelagic food web of the Western Adriatic Sea: A focus on the role of small pelagics. Sci. Rep. 2023, 13, 14554. [Google Scholar] [CrossRef] [PubMed]
- Tsikliras, A.C.; Torre, M.; Stergiou, K.I. Feeding habits and trophic level of round sardinella (Sardinella aurita) in the northeastern Mediterranean (Aegean Sea, Greece). J. Biol. Res. 2005, 3, 67–75. [Google Scholar]
- Coll, M.; Shannon, L.J.; Moloney, C.L.; Palomera, I.; Tudela, S. Comparing trophic flows and fishing impacts of a NW Mediterranean ecosystem with coastal upwelling systems by means of standardized models and indicators. Ecol. Model. 2006, 198, 53–70. [Google Scholar] [CrossRef]
- Albo-Puigserver, M.; Navarro, J.; Coll, M.; Layman, C.A.; Palomera, I. Trophic structure of pelagic species in the northwestern Mediterranean Sea. J. Sea Res. 2016, 117, 27–35. [Google Scholar] [CrossRef]
- Jennings, S.; De Oliveira, J.A.A.; Warr, K.J. Measurement of body size and abundance in tests of macroecological and food web theory. J. Anim. Ecol. 2007, 76, 72–82. [Google Scholar] [CrossRef]
- Al-Habsi, S.H.; Sweeting, C.J.; Polunin, N.V.C.; Graham, N.A.J. δ15N and δ13C elucidation of size-structured food webs in a Western Arabian Sea demersal trawl assemblage. Mar. Ecol. Prog. Ser. 2008, 353, 55–63. [Google Scholar] [CrossRef]
- Riede, J.O.; Brose, U.; Ebenman, B.; Jacob, U.; Thompson, R.; Townsend, C.R.; Jonsson, T. Stepping in Elton’s footprints: A general scaling model for body masses and trophic levels across ecosystems. Ecol. Lett. 2011, 14, 169–178. [Google Scholar] [CrossRef] [PubMed]
- Reum, J.C.P.; Marshall, K.N. Evaluating δ15N-body size relationships across taxonomic levels using hierarchical models. Oecologia 2013, 173, 1159–1168. [Google Scholar] [CrossRef] [PubMed]
- Romero-Romero, S.; Molina-Ramírez, A.; Höfer, J.; Acuña, J.L. Body size-based trophic structure of a deep marine ecosystem. Ecology 2016, 97, 171–181. [Google Scholar] [CrossRef] [PubMed]
- Bachiller, E.; Irigoien, X. Allometric relations and consequences for feeding in small pelagic fish in the Bay of Biscay. ICES J. Mar. Sci. 2013, 70, 232–243. [Google Scholar] [CrossRef]
- Albo-Puigserver, M.; Muñoz, A.; Navarro, J.; Coll, M.; Pethybridge, H.; Sánchez, S.; Palomera, I. Ecological energetics of forage fish from the Mediterranean Sea: Seasonal dynamics and interspecific differences. Deep-Sea Res. Part II 2017, 140, 74–82. [Google Scholar] [CrossRef]
- Derbal, F.; Hichem, K.M. Diet composition of the bogue, Boops boops (Sparidae) from the Gulf of Annaba (Algeria). CYBIUM 2008, 32, 325–333. [Google Scholar]
- Madkour, F. Feeding ecology of the round sardinella, Sardinella aurita (Family: Clupeidae) in the Egyptian Mediterranean waters. Int. J. Environ. Sci. Technol. 2011, 2, 83–92. [Google Scholar]
- El-Maremie, H.; El-Mor, M. Feeding habits of the bogue, Boops boops (Linnaeus, 1758) (Teleostei: Sparidae) in Benghazi Coast, Eastern Libya. J. Life Sci. 2015, 9, 189–196. [Google Scholar] [CrossRef]
- Campo, D.; Mostarda, E.; Castriota, L.; Scarabello, M.P.; Andaloro, F. Feeding habits of the Atlantic bonito, Sarda sarda (Bloch, 1793) in the southern Tyrrhenian sea. Fish. Res. 2006, 81, 169–175. [Google Scholar] [CrossRef]
- Fletcher, N.; Batjakas, I.E.; Pierce, G.J. Diet of the Atlantic bonito Sarda sarda (Bloch, 1793) in the Northeast Aegean Sea. J. Appl. Ichthyol. 2013, 29, 1030–1035. [Google Scholar] [CrossRef]
- Genç, Y.; Başçınar, N.S.; Dağtekin, M. Feeding habits during migration of the Atlantic bonito Sarda sarda (Bloch, 1793) to the Black Sea. Mar. Biol. Res. 2019, 15, 125–136. [Google Scholar] [CrossRef]
- Kvaavik, C.; Óskarsson, G.J.; Daníelsdóttir, A.K.; Marteinsdóttir, G. Diet and feeding strategy of Northeast Atlantic mackerel (Scombrus scomber) in Icelandic waters. PLoS ONE 2019, 14, e0225552. [Google Scholar] [CrossRef] [PubMed]
- Demir, M. Synopsis of Biological Data on Bonito, Sarda sarda (Bloch); FAO Fisheries Report; FAO: Rome, Italy, 1963; Volume 6, pp. 101–129. [Google Scholar]
- Zorica, B.; Čikeš Keč, V.; Vrgoč, N.; Isajlović, I.; Piccinetti, C.; Mandić, M.; Marčeta, B.; Pešić, A. A review of reproduction biology and spawning/nursery grounds of the most important Adriatic commercial fish species in the last two decades. Acta Adriat. 2020, 61, 89–100. [Google Scholar] [CrossRef]
- GFCM. In Proceedings of the Twenty-Fifth Session of the Scientific Advisory Committee on Fisheries, Marseille, France, 24–27 June 2024.




| Length (cm) | Weight (g) | Length–Weight Relationship | ||||||
|---|---|---|---|---|---|---|---|---|
| N | Range | Mean ± SD | Range | Mean ± SD | a | b | r2 | |
| Sardine | 205 | 11.1–16.0 | 12.9 ± 0.86 | 8.92–32.80 | 14.79 ± 3.30 | 0.013 | 2.743 | 0.751 |
| Anchovy | 78 | 9.4–15.3 | 12.6 ± 1.33 | 5.27–22.00 | 12.25 ± 3.82 | 0.008 | 2.883 | 0.822 |
| Atlantic horse mackerel | 40 | 15.0–27.5 | 18.6 ± 3.28 | 26.31–184.00 | 59.67 ± 41.86 | 0.004 | 3.234 | 0.988 |
| Bogue | 44 | 14.0–23.4 | 17.1 ± 1.81 | 28.39–109.00 | 50.32 ± 14.53 | 0.036 | 2.537 | 0.955 |
| Chub mackerel | 15 | 14.5–20.8 | 18.2 ± 1.94 * | 30.40–104.67 | 64.24 ± 22.16 | ** | ** | ** |
| Atlantic mackerel | 7 | 23.0–27.0 | 24.5 ± 1.38 * | 126.59–250.23 | 178.42 ± 48.18 | ** | ** | ** |
| Round sardinella | 5 | 20.4–24.7 | 22.1 ± 1.80 | 62.98–117.88 | 85.00 ± 23.16 | ** | ** | ** |
| Atlantic bonito | 50 | 43.5–64.0 | 54.4 ± 3.57 * | 987.58–3303.83 | 2192.41 ± 460.24 | 0.006 | 3.210 | 0.931 |
| Mesozooplankton * (mean ± SD) δ15N: 4.5 ± 0.6 ‰; δ13C: −23.4 ± 1.5‰ | |||||
|---|---|---|---|---|---|
| Species | N | Range TL/FL (cm, mean TL/FL ± SD) | Range δ15N (mean ± SD, ‰) | Range δ13C (mean ± SD, ‰) | TP (95%CI) |
| Anchovy | 63 | 9.8–15.3 (12.8 ± 1.2) | 6.0–9.0 (7.4 ± 0.8) | −19.9–−17.9 (−18.9 ± 0.5) | 3.0 (2.8–3.4) |
| Atlantic bonito | 10 | 52.5– 57.0 (55.0 ± 1.5) ** | 9.9–11.5 (10.5 ± 0.5) | −18.5–−16.6 (−17.6 ± 0.6) | 4.1 (3.7–4.9) |
| Atlantic horse mackerel | 26 | 15.5–27.5 (19.5 ± 3.9) | 7.8–12.4 (9.5 ± 1.0) | −18.9–−17.8 (−18.4 ± 0.3) | 3.8 (3.4–4.4) |
| Atlantic mackerel | 7 | 23.0–27.0 (24.5 ± 1.4) ** | 9.9–13.2 (12.2 ± 1.1) | −20.8–−17.8 (−18.9 ± 1.0) | 4.7 (4.0–5.8) |
| Bogue | 24 | 14.0–20.0 (17.2 ± 1.5) | 7.7–9.5 (8.3 ± 0.5) | −19.1–−18.1 (−18.5 ± 0.3) | 3.3 (3.0–3.8) |
| Chub mackerel | 14 | 17.7–20.8 (19.1 ± 1.3) ** | 6.9–11.2 (9.1 ± 1.6) | −18.2–−17.5 (−17.8 ± 0.2) | 3.6 (3.1–4.3) |
| Round sardinella | 5 | 20.4–24.7 (22.1 ± 1.8) | 7.5–8.2 (8.0 ± 0.3) | −18.7–−18.1 (−18.4 ± 0.2) | 3.2 (2.9–3.7) |
| Sardine | 75 | 11.1–16.0 (13.1 ± 1.1) | 7.2–11.0 (9.0 ± 1.0) | −21.1–−18.4 (−19.5 ± 0.6) | 3.6 (3.2–4.2) |
| Species | SEA (‰2) | Anchovy | Atlantic Bonito | Atlantic Horse Mackerel | Atlantic Mackerel | Bogue | Chub Mackerel | Round Sardinella | Sardine |
|---|---|---|---|---|---|---|---|---|---|
| Anchovy | 0.91 | 0 | 17 | 0 | 21 | 20 | 20 | 42 | |
| Atlantic bonito | 0.87 | 0 | 32 | 37 | 0 | 26 | 0 | 31 | |
| Atlantic horse mackerel | 0.61 | 25 | 49 | 33 | 39 | 11 | 24 | 77 | |
| Atlantic mackerel | 2.89 | 0 | 10 | 6 | 0 | 4 | 0 | 19 | |
| Bogue | 0.35 | 54 | 0 | 66 | 0 | 26 | 68 | 63 | |
| Chub mackerel | 0.62 | 28 | 37 | 10 | 22 | 14 | 14 | 2 | |
| Round sardinella | 0.21 | 70 | 0 | 56 | 0 | 92 | 35 | 52 | |
| Sardine | 1.54 | 26 | 19 | 32 | 43 | 15 | 1 | 9 |
| Anchovy | Sardine | ||||||||||
|---|---|---|---|---|---|---|---|---|---|---|---|
| Species | Month | SEAc (‰2) | Apr | Aug | Nov | Dec | Feb | Apr | Aug | Nov | Dec |
| Anchovy | Apr | 0.91 | 59 | 14 | 0 | 0 | 34 | 0 | 2 | 0 | |
| Aug | 0.78 | 69 | 29 | 0 | 0 | 43 | 0 | 11 | 0 | ||
| Nov | 0.7 | 18 | 33 | 21 | 0 | 0 | 0 | 0 | 0 | ||
| Dec | 0.45 | 0 | 0 | 33 | 0 | 0 | 0 | 0 | 0 | ||
| Sardine | Feb | 0.25 | 0 | 0 | 0 | 0 | 0 | 0 | 0 | 31 | |
| Apr | 1.11 | 28 | 30 | 0 | 0 | 0 | 0 | 57 | 24 | ||
| Aug | 0.97 | 0 | 0 | 0 | 0 | 0 | 0 | 21 | 0 | ||
| Nov | 1.01 | 2 | 8 | 0 | 0 | 0 | 62 | 20 | 17 | ||
| Dec | 1.34 | 0 | 0 | 0 | 0 | 6 | 19 | 0 | 13 | ||
Disclaimer/Publisher’s Note: The statements, opinions and data contained in all publications are solely those of the individual author(s) and contributor(s) and not of MDPI and/or the editor(s). MDPI and/or the editor(s) disclaim responsibility for any injury to people or property resulting from any ideas, methods, instructions or products referred to in the content. |
© 2024 by the authors. Licensee MDPI, Basel, Switzerland. This article is an open access article distributed under the terms and conditions of the Creative Commons Attribution (CC BY) license (https://creativecommons.org/licenses/by/4.0/).
Share and Cite
Zorica, B.; Ezgeta-Balić, D.; Schmidt, L.; Šestanović, M. Insights into ‘Srdelara’ Purse Seines: Landing Composition and Trophic Relationships in the Pelagic Food Web. Fishes 2024, 9, 516. https://doi.org/10.3390/fishes9120516
Zorica B, Ezgeta-Balić D, Schmidt L, Šestanović M. Insights into ‘Srdelara’ Purse Seines: Landing Composition and Trophic Relationships in the Pelagic Food Web. Fishes. 2024; 9(12):516. https://doi.org/10.3390/fishes9120516
Chicago/Turabian StyleZorica, Barbara, Daria Ezgeta-Balić, Lana Schmidt, and Marija Šestanović. 2024. "Insights into ‘Srdelara’ Purse Seines: Landing Composition and Trophic Relationships in the Pelagic Food Web" Fishes 9, no. 12: 516. https://doi.org/10.3390/fishes9120516
APA StyleZorica, B., Ezgeta-Balić, D., Schmidt, L., & Šestanović, M. (2024). Insights into ‘Srdelara’ Purse Seines: Landing Composition and Trophic Relationships in the Pelagic Food Web. Fishes, 9(12), 516. https://doi.org/10.3390/fishes9120516

