Research on the Separation Technology of Kelp and Shellfish Box Based on Shellfish–Kelp Mixed Culture Mode
Abstract
1. Introduction
2. Materials and Methods
2.1. Overall Structure and Working Principle
2.2. Determination of Main Parameters of Shellfish Box Separator
2.2.1. Determination of Separator Parameters
- (a)
- Design of the box separator’s structure
- (b)
- Determination of separator location
- (c)
- Determination of the taper of the box separator
2.2.2. Motion Analysis of the Separator Separation Process
2.2.3. Separate the Shellfish Box Hanging Rope Outwards
- (a)
- Design of band pulley structure
- (b)
- Determination of the diameter of the ellipsoidal hanging rope-splitter
3. Experiment Design
3.1. Selection of Experiment Indicators
3.1.1. The Farthest Horizontal Distance of the Shellfish Box Z
3.1.2. The Angle of the Shellfish Box Deviating from the Box Separator γ
3.2. Single-Factor Experiment
3.3. Orthogonal Experiment Design
4. Results
4.1. Analysis of Single-Factor Experiment Results
4.1.1. Box Separator Separation Angle
4.1.2. Box Separator Taper Angle
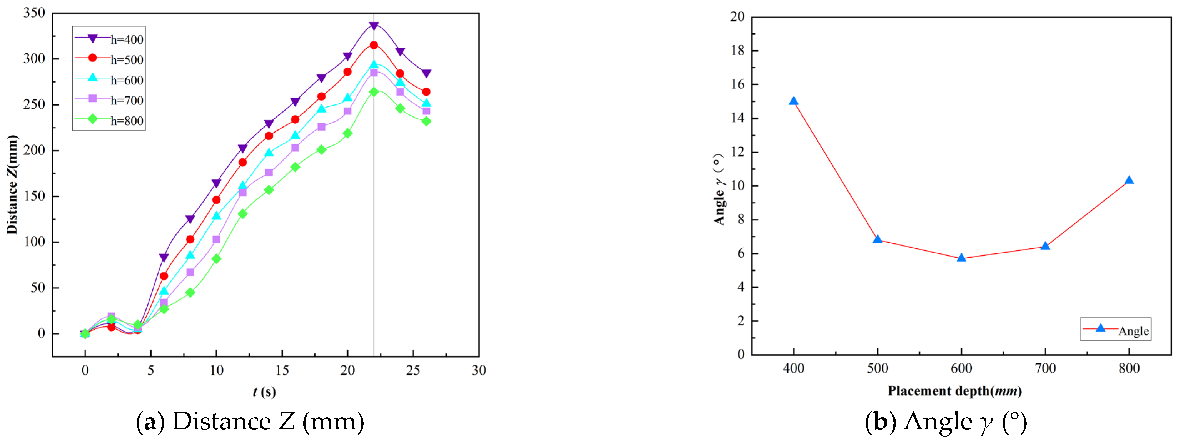
4.1.3. Placement Depth
4.2. Analysis of Orthogonal Experiment Results
4.3. Validation Test Results
5. Conclusions
Author Contributions
Funding
Institutional Review Board Statement
Informed Consent Statement
Data Availability Statement
Conflicts of Interest
References
- Urd, G.B.; Agnes, M.M.; Olavur, G. Production method and cost of commercial-scale offshore cultivation of kelp in the Faroe Islands using multiple partial harvesting. Algal Res. 2018, 8, 36–37. [Google Scholar]
- Urd, G.B.; Ólavur, G.; Javier, I. Technical challenges for offshore cultivation of kelp species: Lessons learned and future directions. Bot. Mar. 2020, 8, 341–353. [Google Scholar]
- Badr, A. Exploring mechanisms for harvesting of farmed seaweed. Mass. Inst. Technol. 2019, 7, 37–38. [Google Scholar]
- Zhao, S.L.; Pan, Z.; Azarakhsh, N.; Ramaswamy, H.S.; Duan, H.; Wang, C. TEffects of high-pressure processing on the physicochemical and adsorption properties, structural characteristics, and dietary fiber content of kelp (Laminaria japonica). Curr. Res. Food Sci. 2024, 10, 100671. [Google Scholar] [CrossRef] [PubMed]
- Reyes, M.J.R.D.; Salgado, L.R.; Sybal, M.R.; Lim, N.R.E.G.; Augusto, G.L.; Ubando, A.T.; Culaba, A.B. Design, Fabrication, and Testing of a Fully Automated Harvesting Machine for Lab-lab (Periphyton Algal Mat). In Proceedings of the EEE 11th International Conference on Humanoid, Nanotechnology, Information Technology, Communication and Control, Environment, and Management (HNICEM), Laoag, Philippines, 29 November–1 December 2019; Volume 11, pp. 1–25. [Google Scholar]
- Tan, Y.M.; Lou, S.Y.; Chen, Z.X. Research on integrated specialized ship for kelp harvesting, classifying and grading. Aquac. Eng. 2020, 91, 102121. [Google Scholar] [CrossRef]
- Nilsen, T.H. Analysis of the kelp farming industry in Norway with regard to conceptual design of vessles for harvesting and deployment operations. Master’s Thesis, NTNU Open, Trondheim, Norway, 2018. [Google Scholar]
- Wilding, C.; Tillin, H.; Corrigan, S.E.; Stuart, E.; Ashton, I.A.; Felstead, P.; Lubelski, A.; Burrows, M.; Smale, D. Seaweed Aquaculture and Mechanical Harvesting: An Evidence Review to Support Sustainable Management. Nat. Engl. Res. Rep. 2021, p. NECR378. Available online: https://publications.naturalengland.org.uk/publication/5191133599891456 (accessed on 7 October 2024).
- Mac Monagail, M.; Cornish, L.; Morrison, L.; Araújo, R.; Critchley, A.T. Sustainable harvesting of wild seaweed resources. Eur. J. Phycol. 2017, 52, 371–390. [Google Scholar] [CrossRef]
- Jostein, V.; Erick, A. Creating a sustainable commercial harvest of Laminaria hyperborea, in Norway. J. Appl. Phycol. 2011, 23, 489–494. [Google Scholar]
- Lian, Y.; Shen, S.; Zheng, J.; Boamah, S.; Yim, S.C. A Design and Numerical Study on a New Kelp Culture Facility. In Proceedings of the ASME 2023 42nd International Conference on Ocean, Offshore and Arctic Engineering. Volume 4: Ocean Space Utilization, Melbourne, Australia, 11–16 June 2023; ASME: New York, NY, USA, 2023; Volume 4. [Google Scholar]
- Frangoudes, K.; Garineaud, C. Governability of kelp forest small-scale harvesting in Iroise Sea, France. Interact. Gov. Small-Scale Fish. Glob. Reflect. 2015, 13, 101–115. [Google Scholar]
- Ding, G.; Wu, H.Y.; Guo, P.P.; Li, M.Z. Evolution and development trend of marine raft cultivation model in China. China Fish Econ. 2013, 31, 164–169. [Google Scholar]
- Peteiro, C.; Sánchez, N.; Martínez, B. Mariculture of the Asian kelp Undaria pinnatifida and the native kelp Saccharina latissima along the Atlantic coast of Southern Europe: An overview. Algal Res. 2016, 15, 9–23. [Google Scholar] [CrossRef]
- Zhu, Y.; Hong, Y.; Jiang, T.; Yang, M.; Lu, L.; Yang, Y. Design and Test of an Efficient Automatic Clip Seedling System for Raft Aquaculture Kelp. J. Mar. Sci. Eng. 2023, 11, 2301. [Google Scholar] [CrossRef]
- Li, M.Z.; Zhang, G.F.; Deng, C.H.; Li, X.C.; Shi, M.L.; Yang, J.D.; Hui, P.P.; Ma, G.Z.; Wu, S. Reconstruction and experiment on raft culture working for Patinopecten yessoensis. Trans. Chin. Soc. Agric. Eng. 2014, 30, 195–204. [Google Scholar]
- Zhang, Y.; Chang, Z.Y.; Zheng, Z.Q.; Yang, J.M. Harvesting machine for kelp culture in floating raft. Aquac. Eng. 2017, 78, 173–179. [Google Scholar] [CrossRef]
- Lotze, H.K.; Milewski, I.; Fast, J.; Kay, L.; Worm, B. Ecosystem-based management of seaweed harvesting. Bot. Mar. 2019, 62, 395–409. [Google Scholar] [CrossRef]
- Gallieri, M.; Ringwood, J. Optimal harvesting patterns for a seaweed harvester. In Proceedings of the IET Irish Signals and Systems Conference (ISSC 2009), Dublin, Ireland, 10–11 June 2009. [Google Scholar]
- Chang, Z.Y.; Zhang, Y.; Zheng, Z.Q.; Wan, R.; Zhang, Z.X. Development status of raft aquaculture kelp harvesting device. Agric. Mod. 2018, 45, 40–48. [Google Scholar]
- Jiang, T.; Hong, Y.; Lu, L.F.; Zhu, Y.; Chen, Z.X.; Yang, M. Design and experiment of a new mode of mechanized harvesting of raft cultured kelp. Aquac. Eng. 2022, 99, 102289. [Google Scholar] [CrossRef]
- Liu, H.W.; Liu, L.F.; Jiang, T. Design and analysis of kelp harvesting module and its supporting ship. J. Fish. Res. 2023, 45, 263–270. [Google Scholar]
- Liu, H.W.; Han, B. Research on bionic kelp harvesting device. J. Fish. Res. 2020, 42, 445–452. [Google Scholar]
- Gao, D.X.; Chang, Z.Y.; Chen, T.; Zheng, W.K.; Zhang, Z.X.; Sun, Y.K.; Xiao, C.X.; Zhang, B. A New Kelp Harvesting Machinery. CN104756667A, 1 April 2015. [Google Scholar]
- Gao, D.X.; Chang, Z.Y.; Zhang, Z.X.; Zhao, C.N.; Cheng, S.S.; Sun, Y.K. Kelp Harves Machinery. CN104303697A, 27 October 2014. [Google Scholar]
- Liu, Y.L.; Yu, W.W.; Wang, L.; Shi, J.G.; Liu, F.L. Hydrodynamic performance of kelp-cultured rafts. In Proceedings of the Second International Conference on Cloud Computing and Mechatronic Engineering (I3CME 2022), Chengdu, China, 28 September 2022. [Google Scholar]
- Wang, T.S.; Sun, H.Y.; Gao, B.; Sheng, T.F.; Lin, H.H. Overall Design and Resistance Analysis of Catamaran Kelp Harvester. In Proceedings of the 2022 8th International Conference on Mechanical Engineering and Automation Science (ICMEAS), Wuhan, China, 14–16 October 2022. [Google Scholar]



















| Item | Number | |||
|---|---|---|---|---|
| Specification (mm) | <750 | 750–800 | 800–850 | >850 |
| Group 1 | 11 | 49 | 36 | 4 |
| Group 2 | 9 | 42 | 41 | 8 |
| Group 3 | 13 | 39 | 46 | 2 |
| Numbers | Factors | Values | Conditions |
|---|---|---|---|
| 1–5 | Box Separator separation angle (°) | 30, 35, 40, 45, 50 | Box Separator taper angle = 28° Box Separator placement depth = 600 |
| 6–10 | Box Separator taper angle (°) | 24, 26, 28, 30, 32 | Box Separator angle = 40° Box Separator placement depth = 600 |
| 11–15 | Box Separator placement depth (mm) | 400, 500, 600, 700, 800 | Box Separator taper angle = 28° Box Separator angle = 40° |
| Level | Box Separator Separation Angle θ (°) | Box Separator Taper Angle β (°) | Box Separator Placement Depth h (mm) |
|---|---|---|---|
| 1 | 30 | 26 | 700 |
| 2 | 35 | 28 | 600 |
| 3 | 40 | 30 | 500 |
| Test | h | Z/mm | γ/° | ||
|---|---|---|---|---|---|
| 1 | 40 | 30 | 600 | 286 | 7.9 |
| 2 | 30 | 28 | 700 | 272 | 6.1 |
| 3 | 35 | 28 | 600 | 317 | 4.3 |
| 4 | 35 | 28 | 600 | 332 | 4.5 |
| 5 | 35 | 26 | 500 | 292 | 8.9 |
| 6 | 35 | 30 | 700 | 286 | 9.2 |
| 7 | 35 | 28 | 600 | 318 | 4.7 |
| 8 | 30 | 28 | 500 | 295 | 5.4 |
| 9 | 40 | 28 | 500 | 305 | 6.1 |
| 10 | 35 | 30 | 500 | 337 | 9.1 |
| 11 | 30 | 30 | 600 | 292 | 6.4 |
| 12 | 35 | 28 | 600 | 321 | 4.6 |
| 13 | 40 | 26 | 600 | 269 | 7.3 |
| 14 | 35 | 26 | 700 | 274 | 8.4 |
| 15 | 40 | 28 | 700 | 265 | 6.9 |
| 16 | 30 | 26 | 600 | 265 | 5.7 |
| 17 | 35 | 28 | 600 | 316 | 4.1 |
| Source of Variation | Sum of Squares | df | Mean Square | F | p |
|---|---|---|---|---|---|
| Model | 8746.57 | 9 | 971.84 | 34.09 | |
| -Box Separator angle | 0.1250 | 1 | 0.1250 | 0.0044 | 0.9491 |
| -Box Separator taper angle | 1275.13 | 1 | 1275.13 | 44.73 | 0.0003 |
| h-Box Separator placement depth | 2178.00 | 1 | 2178.00 | 76.40 | |
| 25.00 | 1 | 25.00 | 0.8770 | 0.3802 | |
| h | 72.25 | 1 | 72.25 | 2.53 | 0.1554 |
| h | 272.25 | 1 | 272.25 | 9.55 | 0.0176 |
| 3277.52 | 1 | 3277.52 | 114.97 | ||
| 934.78 | 1 | 934.78 | 32.79 | 0.0007 | |
| h2 | 315.04 | 1 | 315.04 | 11.05 | 0.0127 |
| Residual | 199.55 | 7 | 28.51 | ||
| Lack of Fit | 28.75 | 3 | 9.58 | 0.2244 | 0.8751 |
| Pure Error | 170.80 | 4 | 42.70 | ||
| Cor Total | 8946.12 | 16 |
| Source of Variation | Sum of Squares | df | Mean Square | F | p |
|---|---|---|---|---|---|
| Model | 48.25 | 9 | 5.42 | 37.37 | |
| -Box Separator angle | 2.65 | 1 | 2.65 | 18.25 | 0.0037 |
| -Box Separator taper angle | 0.6613 | 1 | 0.6613 | 4.56 | 0.0700 |
| h-Box Separator placement depth | 0.1513 | 1 | 0.1513 | 1.04 | 0.3410 |
| 0.0025 | 1 | 0.0025 | 0.0172 | 0.8992 | |
| h | 0.0025 | 1 | 0.0025 | 0.0172 | 0.8992 |
| h | 0.0900 | 1 | 0.0900 | 0.6210 | 0.4565 |
| 0.1601 | 1 | 0.1601 | 1.10 | 0.3282 | |
| 28.03 | 1 | 28.03 | 193.38 | ||
| h2 | 14.88 | 1 | 14.88 | 102.68 | |
| Residual | 1.01 | 7 | 0.1449 | ||
| Lack of Fit | 0.7825 | 3 | 0.2608 | 4.50 | 0.0902 |
| Pure Error | 0.2320 | 4 | 0.0580 | ||
| Cor Total | 49.76 | 16 |
| Item | 50 Groups on the Left | 50 Groups on the Right |
|---|---|---|
| Average the farthest horizontal distance of the shellfish box Z/mm | 279.62 | 296.42 |
| Average the angle of the shellfish box deviating from the box separator γ/° | 11.77 | 17.60 |
Disclaimer/Publisher’s Note: The statements, opinions and data contained in all publications are solely those of the individual author(s) and contributor(s) and not of MDPI and/or the editor(s). MDPI and/or the editor(s) disclaim responsibility for any injury to people or property resulting from any ideas, methods, instructions or products referred to in the content. |
© 2024 by the authors. Licensee MDPI, Basel, Switzerland. This article is an open access article distributed under the terms and conditions of the Creative Commons Attribution (CC BY) license (https://creativecommons.org/licenses/by/4.0/).
Share and Cite
Wang, Y.; Zha, Z.; Wang, X.; Cui, Y.; Wang, X.; Geng, D.; Zhou, H.; Sheng, T. Research on the Separation Technology of Kelp and Shellfish Box Based on Shellfish–Kelp Mixed Culture Mode. Fishes 2024, 9, 464. https://doi.org/10.3390/fishes9110464
Wang Y, Zha Z, Wang X, Cui Y, Wang X, Geng D, Zhou H, Sheng T. Research on the Separation Technology of Kelp and Shellfish Box Based on Shellfish–Kelp Mixed Culture Mode. Fishes. 2024; 9(11):464. https://doi.org/10.3390/fishes9110464
Chicago/Turabian StyleWang, Yanan, Zehao Zha, Xian Wang, Yipeng Cui, Xinxin Wang, Duanyang Geng, Hua Zhou, and Tongfei Sheng. 2024. "Research on the Separation Technology of Kelp and Shellfish Box Based on Shellfish–Kelp Mixed Culture Mode" Fishes 9, no. 11: 464. https://doi.org/10.3390/fishes9110464
APA StyleWang, Y., Zha, Z., Wang, X., Cui, Y., Wang, X., Geng, D., Zhou, H., & Sheng, T. (2024). Research on the Separation Technology of Kelp and Shellfish Box Based on Shellfish–Kelp Mixed Culture Mode. Fishes, 9(11), 464. https://doi.org/10.3390/fishes9110464
