Dietary Selenium-Rich Lactobacillus plantarum Alleviates Cadmium-Induced Oxidative Stress and Inflammation in Bulatmai barbel Luciobarbus capito
Abstract
1. Introduction
2. Materials and Methods
2.1. Preparation of Selenium-Enriched L. plantarum and Feed
2.2. Experimental Feed and Conditions
2.3. Experimental Design and Experimental Diets
2.4. Sample Collection
2.5. Histopathological Studies
2.6. Antioxidant Response Analysis
2.7. Cd and Se Accumulation
2.8. Reverse-Transcriptase Real-Time PCR (RT–PCR)
2.9. Statistical Analysis
3. Results
3.1. Histopathological Study
3.2. Hepatic Markers
3.3. Cd and Se Concentrations
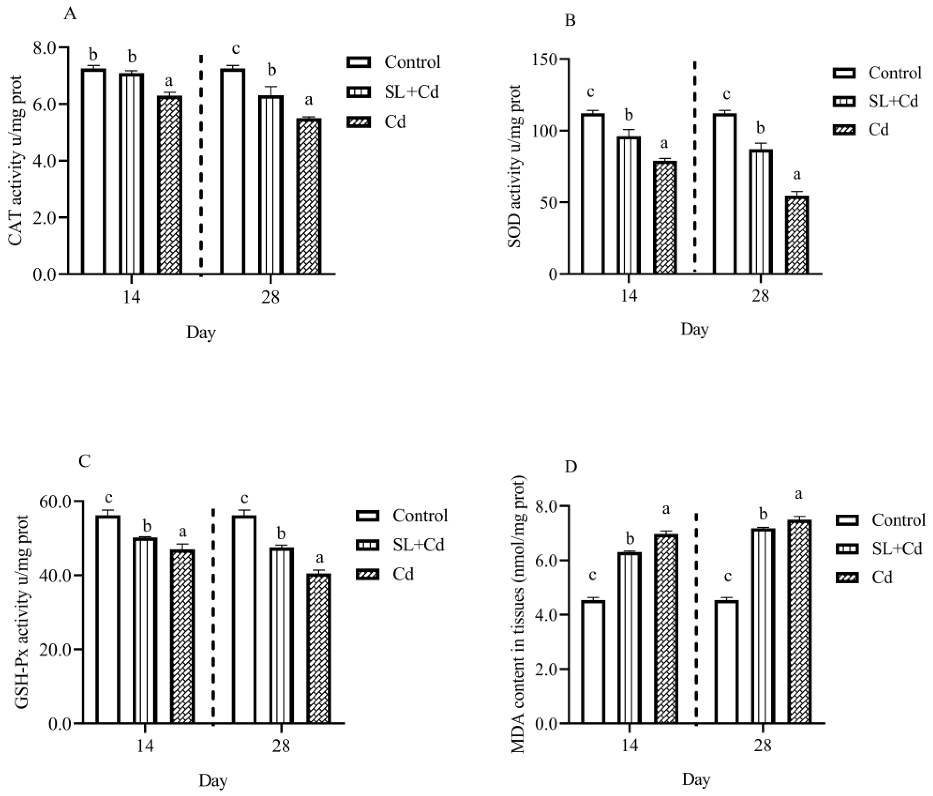
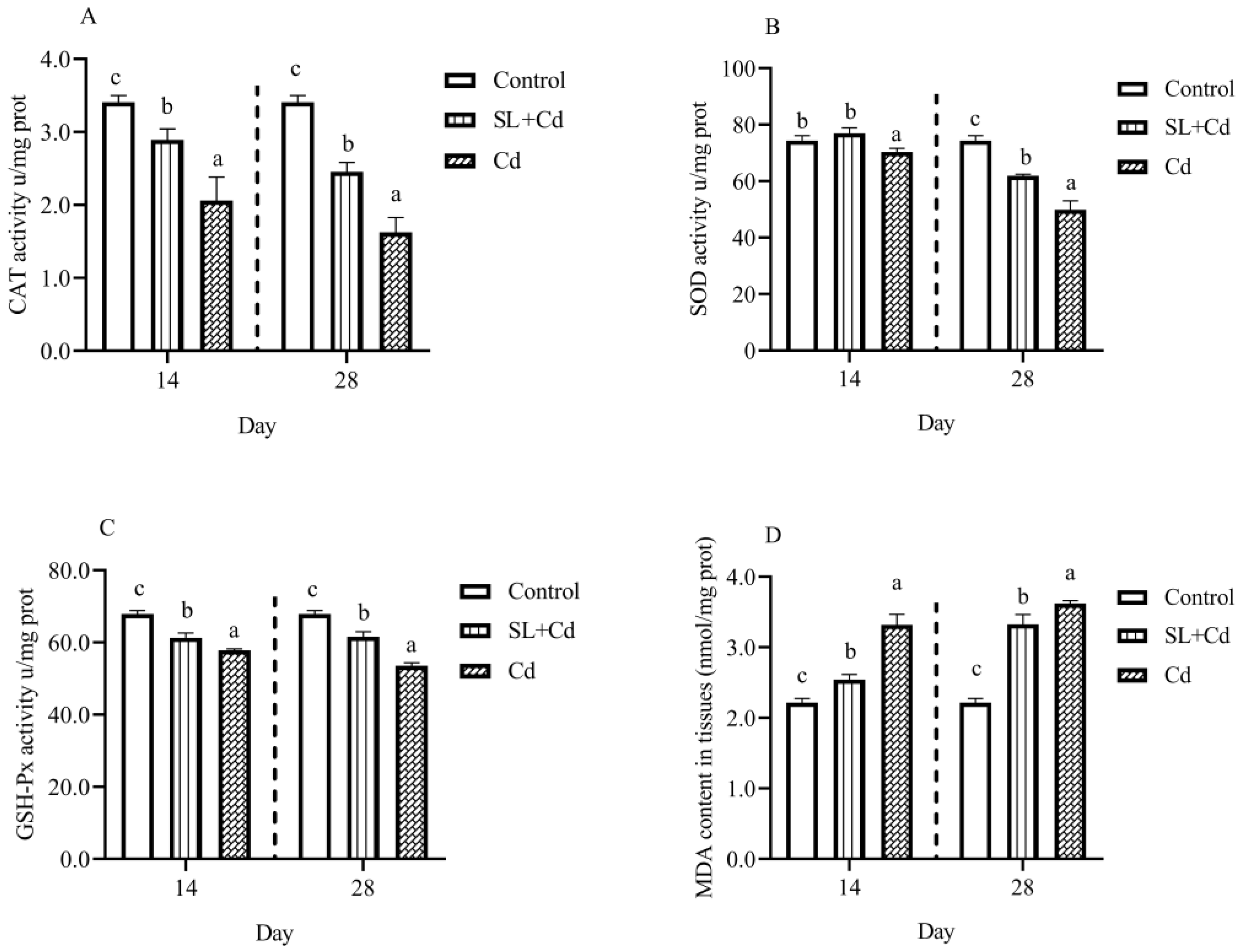
3.4. Antioxidant Responses
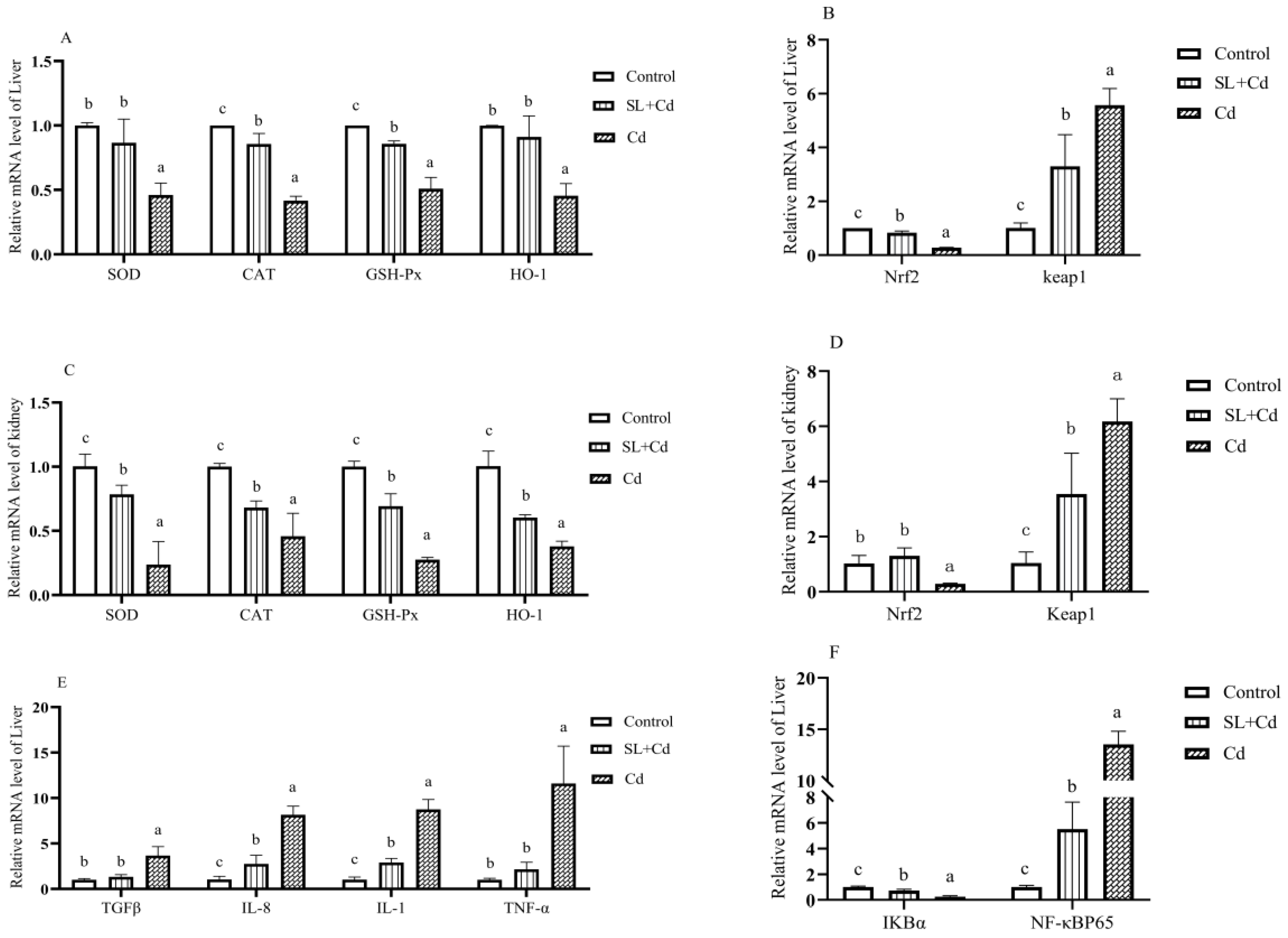
3.5. Antioxidant-Related Gene Expression
4. Discussion
5. Conclusions
Author Contributions
Funding
Institutional Review Board Statement
Data Availability Statement
Acknowledgments
Conflicts of Interest
References
- Ognjanovic, B.I.; Markovic, S.D.; Ethordevic, N.Z.; Trbojevic, I.S.; Stajn, A.S.; Saicic, Z.S. Cadmium-induced lipid peroxidation and changes in antioxidant defense system in the rat testes: Protective role of coenzyme Q(10) and vitamin E. Reprod. Toxicol. 2010, 29, 191–197. [Google Scholar] [CrossRef]
- Zhao, L.; Zhao, J.L.; Bai, Z.; Du, J.; Shi, Y.; Wang, Y.; Wang, Y.; Liu, Y.; Yu, Z.; Li, M.Y. Polysaccharide from dandelion enriched nutritional composition, antioxidant capacity, and inhibited bioaccumulation and inflammation in Channa asiatica under hexavalent chromium exposure. Int. J. Biol. Macromol. 2022, 201, 557–568. [Google Scholar] [CrossRef]
- Kumar, N.; Kumar, V.; Panwar, R.; Ram, C. Efficacy of indigenous probiotic Lactobacillus strains to reduce cadmium bioaccessibility—An in vitro digestion model. Environ. Sci. Pollut. Res. 2017, 24, 1241–1250. [Google Scholar] [CrossRef]
- Wuana, R.A.; Okieimen, F.E. Heavy metals in contaminated soils: A review of sources, chemistry, risks and best available strategies for remediation. Int. Sch. Res. Not. 2011, 2011, 402647. [Google Scholar] [CrossRef]
- Stohs, S.J.; Bagchi, D. Oxidative mechanisms in the toxicity of metal ions. Free Radic. Biol. Med. 1995, 18, 321–336. [Google Scholar] [CrossRef]
- Pourang, N.; Richardson, C.A.; Mortazavi, M.S. Heavy metal concentrations in the soft tissues of swan mussel (Anodonta cygnea) and surficial sediments from Anzali wetland, Iran. Environ. Monit. Assess. 2010, 163, 195–213. [Google Scholar] [CrossRef] [PubMed]
- Shirriff, C.S.; Heikkila, J.J. Characterization of cadmium chloride-induced BiP accumulation in Xenopus laevis A6 kidney epithelial cells. Comp. Biochem. Physiol. C Toxicol. Pharmacol. 2017, 191, 117–128. [Google Scholar] [CrossRef] [PubMed]
- Ordiano-Flores, A.; Galvan-Magana, F.; Sanchez-Gonzalez, A.; Paez-Osuna, F. Evidence for Interrupted Biomagnification of Cadmium in Billfish Food Chain Based on Stable Carbon and Nitrogen Isotopes from Southwestern of Gulf of California. Biol. Trace Elem. Res. 2020, 195, 215–225. [Google Scholar] [CrossRef]
- Yeo, W.J.; Ahn, H.J.; Hwang, I.U.; Lee, K.H.; Han, K.N. Cadmium Accumulation and mRNA Expression Associated with Detoxification in Various Organs of Black Seabream (Acanthopagrus schlegelii) Exposed to Cadmium-contaminated Diet. Ocean Sci. J. 2020, 55, 373–382. [Google Scholar] [CrossRef]
- Zhai, Q.; Wang, G.; Zhao, J.; Liu, X.; Narbad, A.; Chen, Y.Q.; Zhang, H.; Tian, F.; Chen, W. Protective effects of Lactobacillus plantarum CCFM8610 against chronic cadmium toxicity in mice indicate routes of protection besides intestinal sequestration. Appl. Environ. Microbiol. 2014, 80, 4063–4071. [Google Scholar] [CrossRef]
- Jihen, E.H.; Imed, M.; Fatima, H.; Abdelhamid, K. Protective effects of selenium (Se) and zinc (Zn) on cadmium (Cd) toxicity in the liver and kidney of the rat: Histology and Cd accumulation. Food Chem. Toxicol. 2008, 46, 3522–3527. [Google Scholar] [CrossRef]
- Pari, L.; Shagirtha, K. Hesperetin protects against oxidative stress related hepatic dysfunction by cadmium in rats. Exp. Toxicol. Pathol. 2012, 64, 513–520. [Google Scholar] [CrossRef] [PubMed]
- Waisberg, M.; Joseph, P.; Hale, B.; Beyersmann, D. Molecular and cellular mechanisms of cadmium carcinogenesis. Toxicology 2003, 192, 95–117. [Google Scholar] [CrossRef]
- Seif, M.M.; Madboli, A.N.; Marrez, D.A.; Aboulthana, W.M.K. Hepato-Renal protective Effects of Egyptian Purslane Extract against Experimental Cadmium Toxicity in Rats with Special Emphasis on the Functional and Histopathological Changes. Toxicol. Rep. 2019, 6, 625–631. [Google Scholar] [CrossRef] [PubMed]
- Kieliszek, M.; Blazejak, S. Selenium: Significance, and outlook for supplementation. Nutrition 2013, 29, 713–718. [Google Scholar] [CrossRef] [PubMed]
- Su, Y.; Li, L.; Farooq, M.U.; Huang, X.; Zheng, T.D.; Zhang, Y.J.; Ei, H.H.; Panhwar, F.H.; Tang, Z.C.; Zeng, R.; et al. Rescue effects of Se-enriched rice on physiological and biochemical characteristics in cadmium poisoning mice. Environ. Sci. Pollut. Res. 2021, 28, 20023–20033. [Google Scholar] [CrossRef] [PubMed]
- Wang, X.; Bao, R.; Fu, J. The Antagonistic Effect of Selenium on Cadmium-Induced Damage and mRNA Levels of Selenoprotein Genes and Inflammatory Factors in Chicken Kidney Tissue. Biol. Trace Elem. Res. 2018, 181, 331–339. [Google Scholar] [CrossRef] [PubMed]
- Kirillova, A.V.; Danilushkina, A.A.; Irisov, D.S.; Bruslik, N.L.; Fakhrullin, R.F.; Zakharov, Y.A.; Bukhmin, V.S.; Yarullina, D.R. Assessment of Resistance and Bioremediation Ability of Lactobacillus Strains to Lead and Cadmium. Int. J. Microbiol. 2017, 2017, 9869145. [Google Scholar] [CrossRef]
- Zhai, Q.X.; Liu, Y.; Wang, C.; Zhao, J.X.; Zhang, H.; Tian, F.W.; Lee, Y.K.; Chen, W. Increased Cadmium Excretion due to Oral Administration of Lactobacillus plantarum Strains by Regulating Enterohepatic Circulation in Mice. J. Agric. Food Chem. 2019, 67, 3956–3965. [Google Scholar] [CrossRef]
- Liu, Y.; Wu, J.P.; Xiao, Y.; Liu, Q.; Yu, L.L.; Tian, F.W.; Zhao, J.X.; Zhang, H.; Chen, W.; Zhai, Q.X. Relief of Cadmium-Induced Intestinal Motility Disorder in Mice by Lactobacillus plantarum CCFM8610. Front. Immunol. 2020, 11, 619574. [Google Scholar] [CrossRef] [PubMed]
- Zhai, Q.X.; Tian, F.W.; Zhao, J.X.; Zhang, H.; Narbad, A.; Chen, W. Oral Administration of Probiotics Inhibits Absorption of the Heavy Metal Cadmium by Protecting the Intestinal Barrier. Appl. Environ. Microb. 2016, 82, 4429–4440. [Google Scholar] [CrossRef]
- Shang, X.; Xu, W.; Zhao, Z.; Luo, L.; Zhang, Q.; Li, M.; Sun, Q.; Geng, L. Effects of exposure to cadmium (Cd) and selenium-enriched Lactobacillus plantarum in Luciobarbus capito: Bioaccumulation, antioxidant responses and intestinal microflora. Comp. Biochem. Physiol. C Toxicol. Pharmacol. 2022, 257, 109352. [Google Scholar] [CrossRef] [PubMed]
- Liu, C.; Zhu, Y.; Lu, Z.; Guo, W.; Tumen, B.; He, Y.; Chen, C.; Hu, S.; Xu, K.; Wang, Y.; et al. Cadmium Induces Acute Liver Injury by Inhibiting Nrf2 and the Role of NF-kappaB, NLRP3, and MAPKs Signaling Pathway. Int. J. Environ. Res. Public Health 2019, 17, 138. [Google Scholar] [CrossRef]
- Jamwal, A.; Lemire, D.; Driessnack, M.; Naderi, M.; Niyogi, S. Interactive effects of chronic dietary selenomethionine and cadmium exposure in rainbow trout (Oncorhynchus mykiss): A preliminary study. Chemosphere 2018, 197, 550–559. [Google Scholar] [CrossRef] [PubMed]
- Qin, D.L.; Jiang, H.F.; Bai, S.Y.; Tang, S.Z.; Mou, Z.B. Determination of 28 trace elements in three farmed cyprinid fish species from Northeast China. Food Control 2015, 50, 1–8. [Google Scholar] [CrossRef]
- Wang, N.; Guo, Z.; Zhang, Y.; Zhang, P.; Liu, J.; Cheng, Y.; Zhang, L.; Li, Y. Effect on intestinal microbiota, bioaccumulation, and oxidative stress of Carassius auratus gibelio under waterborne cadmium exposure. Fish Physiol. Biochem. 2020, 46, 2299–2309. [Google Scholar] [CrossRef]
- Wimmer, U.; Wang, Y.; Georgiev, O.; Schaffner, W. Two major branches of anti-cadmium defense in the mouse: MTF-1/metallothioneins and glutathione. Nucleic Acids Res. 2005, 33, 5715–5727. [Google Scholar] [CrossRef]
- Zwolak, I. The Role of Selenium in Arsenic and Cadmium Toxicity: An Updated Review of Scientific Literature. Biol. Trace Elem. Res. 2020, 193, 44–63. [Google Scholar] [CrossRef]
- Unsal, V.; Dalkiran, T.; Cicek, M.; Kolukcu, E. The Role of Natural Antioxidants against Reactive Oxygen Species Produced by Cadmium Toxicity: A Review. Adv. Pharm. Bull. 2020, 10, 184–202. [Google Scholar] [CrossRef]
- Zhao, R.; Yu, Q.; Hou, L.; Dong, X.; Zhang, H.; Chen, X.; Zhou, Z.; Ma, J.; Huang, S.; Chen, L. Cadmium induces mitochondrial ROS inactivation of XIAP pathway leading to apoptosis in neuronal cells. Int. J. Biochem. Cell Biol. 2020, 121, 105715. [Google Scholar] [CrossRef]
- Acharya, U.R.; Mishra, M.; Patro, J.; Panda, M.K. Effect of vitamins C and E on spermatogenesis in mice exposed to cadmium. Reprod. Toxicol. 2008, 25, 84–88. [Google Scholar] [CrossRef] [PubMed]
- El-Boshy, M.E.; Risha, E.F.; Abdelhamid, F.M.; Mubarak, M.S.; Hadda, T.B. Protective effects of selenium against cadmium induced hematological disturbances, immunosuppressive, oxidative stress and hepatorenal damage in rats. J. Trace Elem. Med. Biol. 2015, 29, 104–110. [Google Scholar] [CrossRef]
- El-Sharaky, A.S.; Newairy, A.A.; Badreldeen, M.M.; Eweda, S.M.; Sheweita, S.A. Protective role of selenium against renal toxicity induced by cadmium in rats. Toxicology 2007, 235, 185–193. [Google Scholar] [CrossRef]
- Lee, K.H.; Jeong, D. Bimodal actions of selenium essential for antioxidant and toxic pro-oxidant activities: The selenium paradox (Review). Mol. Med. Rep. 2012, 5, 299–304. [Google Scholar] [CrossRef]
- Saffari, S.; Keyvanshokooh, S.; Zakeri, M.; Johari, S.A.; Pasha-Zanoosi, H.; Mozanzadeh, M.T. Effects of dietary organic, inorganic, and nanoparticulate selenium sources on growth, hemato-immunological, and serum biochemical parameters of common carp (Cyprinus carpio). Fish Physiol. Biochem. 2018, 44, 1087–1097. [Google Scholar] [CrossRef]
- Freitas, M.; Fernandes, E. Zinc, cadmium and nickel increase the activation of NF-kappaB and the release of cytokines from THP-1 monocytic cells. Metallomics 2011, 3, 1238–1243. [Google Scholar] [CrossRef]
- Ge, J.; Guo, K.; Zhang, C.; Talukder, M.; Lv, M.W.; Li, J.Y.; Li, J.L. Comparison of nanoparticle-selenium, selenium-enriched yeast and sodium selenite on the alleviation of cadmium-induced inflammation via NF-kB/IkappaB pathway in heart. Sci. Total Environ. 2021, 773, 145442. [Google Scholar] [CrossRef]
- Vaghari-Tabari, M.; Jafari-Gharabaghlou, D.; Sadeghsoltani, F.; Hassanpour, P.; Qujeq, D.; Rashtchizadeh, N.; Ghorbanihaghjo, A. Zinc and Selenium in Inflammatory Bowel Disease: Trace Elements with Key Roles? Biol. Trace Elem. Res. 2021, 199, 3190–3204. [Google Scholar] [CrossRef]
- Pineton de Chambrun, G.; Body-Malapel, M.; Frey-Wagner, I.; Djouina, M.; Deknuydt, F.; Atrott, K.; Esquerre, N.; Altare, F.; Neut, C.; Arrieta, M.C.; et al. Aluminum enhances inflammation and decreases mucosal healing in experimental colitis in mice. Mucosal Immunol. 2014, 7, 589–601. [Google Scholar] [CrossRef] [PubMed]
- Shang, X.C.; Wang, B.; Sun, Q.S.; Zhang, Y.; Lu, Y.T.; Liu, S.J.; Li, Y.H. Selenium-enriched Bacillus subtilis reduces the effects of mercury-induced on inflammation and intestinal microbes in carp (Cyprinus carpio var. specularis). Fish Physiol. Biochem. 2022, 48, 215–226. [Google Scholar] [CrossRef] [PubMed]
- Zhao, X.; Wang, S.; Li, X.; Liu, H.; Xu, S. Cadmium exposure induces TNF-alpha-mediated necroptosis via FPR2/TGF-beta/NF-kappaB pathway in swine myocardium. Toxicology 2021, 453, 152733. [Google Scholar] [CrossRef] [PubMed]
- Niture, S.K.; Khatri, R.; Jaiswal, A.K. Regulation of Nrf2-an update. Free Radic. Biol. Med. 2014, 66, 36–44. [Google Scholar] [CrossRef] [PubMed]
- Shin, D.H.; Park, H.M.; Jung, K.A.; Choi, H.G.; Kim, J.A.; Kim, D.D.; Kim, S.G.; Kang, K.W.; Ku, S.K.; Kensler, T.W.; et al. The NRF2-heme oxygenase-1 system modulates cyclosporin A-induced epithelial-mesenchymal transition and renal fibrosis. Free Radic. Biol. Med. 2010, 48, 1051–1063. [Google Scholar] [CrossRef] [PubMed]
- Du, J.H.; Xu, M.Y.; Wang, Y.; Lei, Z.; Yu, Z.; Li, M.Y. Evaluation of Taraxacum mongolicum flavonoids in diets for Channa argus based on growth performance, immune responses, apoptosis and antioxidant defense system under lipopolysaccharide stress. Fish Shellfish Immunol. 2022, 131, 1224–1233. [Google Scholar] [CrossRef]
- Yu, Z.; Zhao, L.; Zhao, J.L.; Xu, W.; Guo, Z.; Zhang, A.Z.; Li, M.Y. Dietary Taraxacum mongolicum polysaccharide ameliorates the growth, immune response, and antioxidant status in association with NF-κB, Nrf2 and TOR in Jian carp (Cyprinus carpio var. Jian). Aquaculture 2022, 547, 737522. [Google Scholar] [CrossRef]
- Zhang, C.; Lin, J.; Ge, J.; Wang, L.L.; Li, N.; Sun, X.T.; Cao, H.B.; Li, J.L. Selenium triggers Nrf2-mediated protection against cadmium-induced chicken hepatocyte autophagy and apoptosis. Toxicol. In Vitro 2017, 44, 349–356. [Google Scholar] [CrossRef]
- Ibrahim, S.A.; Eltahawy, N.F.; Abdalla, A.M.; Khalaf, H.M. Protective effects of selenium in tacrolimus-induced lung toxicity: Potential role of heme oxygenase 1. Can. J. Physiol. Pharmacol. 2021, 99, 1069–1078. [Google Scholar] [CrossRef]
- Reddi, A.S.; Bollineni, J.S. Selenium-deficient diet induces renal oxidative stress and injury via TGF-beta1 in normal and diabetic rats. Kidney Int. 2001, 59, 1342–1353. [Google Scholar] [CrossRef]
- Fernandez-Gonzalez, A. TGF-beta and NF-kappaB Cross-Talk: Unexpected Encounters in the Developing Lung. Am. J. Respir. Cell Mol. Biol. 2021, 64, 275–276. [Google Scholar] [CrossRef]






| Forward | Reverse | |
|---|---|---|
| SOD | CGCACTTCAACCCTTACA | ACTTTCCTCATTGCCTCC |
| CAT | GAAGTTCTACACCGATGAGG | CCAGAAATCCCAAACCAT |
| GSH-Px | GAGGCACAACAGTCAGGGATTA | GTTCACTTCCAGCTTCTCCAGA |
| Nrf2 | TTCCCGCTGGTTTACCTTAC | CGTTTCTTCTGCTTGTCTTT |
| Keap-1 | GCTCTTCGGAAACCCCT | GCCCCAAGCCCACTACA |
| HO-1 | TCAGCCCATCTACTTCCCTCA | GGCAGGCACTGTTACTCTCT |
| TGF-β | TTGGGACTTGTGCTCTAT | AGTTCTGCTGGGATGTTT |
| IL-8 | ATGAGTCTTAGAGGTCTGGGT | ACAGTGAGGGCTAGGAGGG |
| IL-1 | ACCAGCTGGATTTGTCAGAAG | ACATACTGAATTGAACTTTG |
| TNFα | GGTGATGGTGTCGAGGAGGAA | TGTCATCCTTTCTGCTCTGGTT |
| NF-kBP65 | GGCAGGTGGCGATAGTGTT | CATTCCTTCAGTTCTCTTGCG |
| IkBa | TCTTGCCATTATTCACGAGG | TGTTACCACAGTCATCCACCA |
| b-actin | TGAAGATCCTGACCGAGCGT | GGAAGAAGAGGCAGCGGTTC |
Disclaimer/Publisher’s Note: The statements, opinions and data contained in all publications are solely those of the individual author(s) and contributor(s) and not of MDPI and/or the editor(s). MDPI and/or the editor(s) disclaim responsibility for any injury to people or property resulting from any ideas, methods, instructions or products referred to in the content. |
© 2023 by the authors. Licensee MDPI, Basel, Switzerland. This article is an open access article distributed under the terms and conditions of the Creative Commons Attribution (CC BY) license (https://creativecommons.org/licenses/by/4.0/).
Share and Cite
Zhang, Q.; Shang, X.; Geng, L.; Che, X.; Wei, H.; Tang, S.; Xu, W. Dietary Selenium-Rich Lactobacillus plantarum Alleviates Cadmium-Induced Oxidative Stress and Inflammation in Bulatmai barbel Luciobarbus capito. Fishes 2023, 8, 136. https://doi.org/10.3390/fishes8030136
Zhang Q, Shang X, Geng L, Che X, Wei H, Tang S, Xu W. Dietary Selenium-Rich Lactobacillus plantarum Alleviates Cadmium-Induced Oxidative Stress and Inflammation in Bulatmai barbel Luciobarbus capito. Fishes. 2023; 8(3):136. https://doi.org/10.3390/fishes8030136
Chicago/Turabian StyleZhang, Qing, Xinchi Shang, Longwu Geng, Xinghua Che, Haijun Wei, Shizhan Tang, and Wei Xu. 2023. "Dietary Selenium-Rich Lactobacillus plantarum Alleviates Cadmium-Induced Oxidative Stress and Inflammation in Bulatmai barbel Luciobarbus capito" Fishes 8, no. 3: 136. https://doi.org/10.3390/fishes8030136
APA StyleZhang, Q., Shang, X., Geng, L., Che, X., Wei, H., Tang, S., & Xu, W. (2023). Dietary Selenium-Rich Lactobacillus plantarum Alleviates Cadmium-Induced Oxidative Stress and Inflammation in Bulatmai barbel Luciobarbus capito. Fishes, 8(3), 136. https://doi.org/10.3390/fishes8030136

