Sign in to use this feature.

Years

Between: -

Subjects

remove_circle_outline
remove_circle_outline

Journals

Article Types

Countries / Regions

Search Results (3)

Search Parameters:
Keywords = Luciobarbus capito

Order results
Result details
Results per page
Select all
Export citation of selected articles as:
14 pages, 5777 KB  
Article
Transcriptomic Revealed That Selenium-Rich Lactobacillus plantarum Alleviated Cadmium-Induced Immune Responses in Bulatmai barbel Luciobarbus capito Kidneys
by Qingsong Sun, Yuran Pang, Yuhan Qin, Ziting Dong, Yanling Ma, Yuan Zhao, Zhanning Zhang, Jinmei Liu, Binghui Mao and Baishuang Yin
Fishes 2024, 9(6), 230; https://doi.org/10.3390/fishes9060230 - 16 Jun 2024
Cited by 2 | Viewed by 1849
Abstract
Cadmium (Cd) is a common environmental pollutant that accumulates mainly in the kidneys and thus endangers the physiological health of aquatic animals. Selenium (Se) is a natural antidote to heavy metals that antagonises heavy metal toxicity and enhances the antioxidant capacity of organisms. [...] Read more.
Cadmium (Cd) is a common environmental pollutant that accumulates mainly in the kidneys and thus endangers the physiological health of aquatic animals. Selenium (Se) is a natural antidote to heavy metals that antagonises heavy metal toxicity and enhances the antioxidant capacity of organisms. Lactobacillus plantarum (L. plantarum) can reduce the toxicity of heavy metals through adsorption, reduction and metabolism. Studies have confirmed that the biological synthesis of Se nanoparticles (Bio-SeNPs) using bacterial microorganisms is simple, safe and less toxic than the synthesis of inorganic and organic Se, but the effect on Cd-induced immunosuppression is un-known. One hundred and eighty Bulatmai barbel (Luciobarbus capito: L. capito) plants were randomly divided into control (C), Cd and Cd + Se-enriched L. plantarum groups (S1L1-Cd) and fed for 28 days. The analysis methods included histopathology, test kits, transcriptomics and real-time quantitative PCR. The addition of selenium-enriched L. plantarum significantly attenuated cadmium-induced pathological changes such as glomerular atrophy, detachment of renal tubular epithelial cells, mild swelling, and interstitial inflammatory cell infiltration. Cd stress can lead to significant decreases in RBC, HCT, WBC, LZM, C3, and IgM levels, and the addition of Se-enriched L. plantarum can significantly reverse the changes in these indicators. Transcriptomic analysis revealed 488 DEGs in the Cd groups, 301 of which were upregulated and 187 of which were downregulated. There were 1474 DEGs in the S1L1-Cd group, of which 720 were upregulated and 754 were downregulated. In addition, GO enrichment analysis revealed that the biological regulation of the most differentially expressed genes involved metal ion binding, ATP binding and nucleotide inclusion. KEGG enrichment analysis revealed six of the most enriched pathways: oxidative phosphorylation, Huntington disease, retrograde endocannabinoid signalling, natural killer cell-mediated cyto-toxicity, the IL-17 signalling pathway, and leukocyte transient migration. Moreover, we selected 12 DEGs for qRT-PCR, which showed that the qRT-PCR results were consistent with our RNA-Seq results. Our results suggest that Se-enriched L. plantarum can enhance immunity and alleviate Cd exposure-mediated immunosuppression in L. capito. Full article
(This article belongs to the Section Environment and Climate Change)
Show Figures

Figure 1

12 pages, 2578 KB  
Article
Dietary Selenium-Rich Lactobacillus plantarum Alleviates Cadmium-Induced Oxidative Stress and Inflammation in Bulatmai barbel Luciobarbus capito
by Qing Zhang, Xinchi Shang, Longwu Geng, Xinghua Che, Haijun Wei, Shizhan Tang and Wei Xu
Fishes 2023, 8(3), 136; https://doi.org/10.3390/fishes8030136 - 27 Feb 2023
Cited by 8 | Viewed by 2201
Abstract
Cadmium (Cd) poses a great threat to the breeding of aquatic economic animals. The present study aimed to explain the antagonistic effects of selenium-enriched Lactobacillus plantarum (SL) on Cd toxicity through the expression of oxidative and inflammatory factors. A total of 225 Bulatmai [...] Read more.
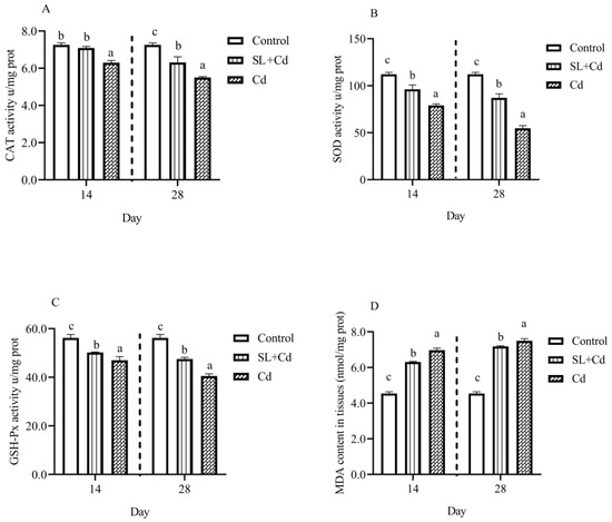
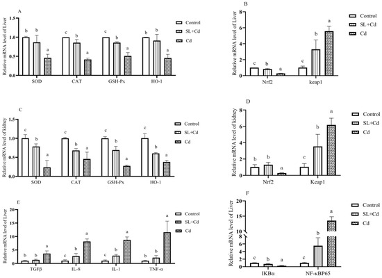
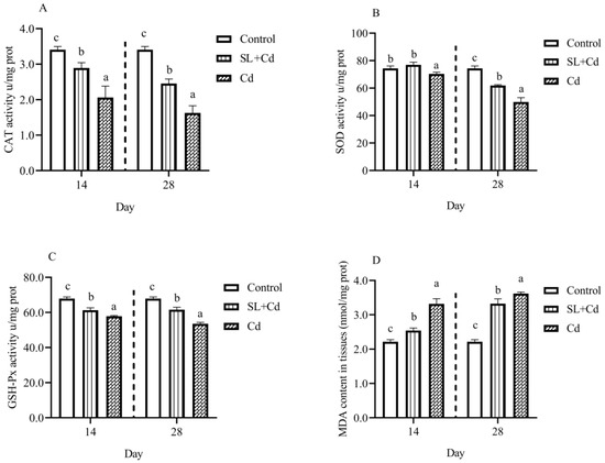
Cadmium (Cd) poses a great threat to the breeding of aquatic economic animals. The present study aimed to explain the antagonistic effects of selenium-enriched Lactobacillus plantarum (SL) on Cd toxicity through the expression of oxidative and inflammatory factors. A total of 225 Bulatmai barbel Luciobarbus capito (L. capito) were divided into 3 groups, namely, the control group, the Cd group (Cd, 0.05 mg·L−1), and the SL + Cd group (Cd, 0.05 mg·L−1; Nano Se, 5 mg·kg−1; L. plantarum, 105 CFU·g−1). The experiment lasted for 28 d, Sampling at 14 and 28 d, respectively. The results showed that Cd exposure caused obvious pathological damage to the liver and kidney, and the serum parameter ALT increased significantly (p < 0.05). In the Cd group, the concentration of Cd in the kidney was significantly increased (p < 0.05), and the activities of catalase (CAT), superoxide dismutase (SOD), and glutathione peroxidase (GSH-Px) in the kidney and gill were significantly decreased; malonaldehyde (MDA) increased significantly (p < 0.05) Then the mRNA expression levels in the kidney and liver were measured. Cd exposure significantly decreased the mRNA expressions of SOD, CAT, GSH-Px, HO-1, I-κBα, and Nrf2 (p < 0.05). The Cd-treated group showed significantly increased NF-kBp65, TGF-β, IL-8, IL-1, Keap1, and TNF-α expression levels. SL significantly alleviated the changes in the above indicators. The results of this study suggest that SL can trigger the Nrf2 signalling pathway and NF-kB signalling pathway to alleviate Cd toxicity. SL might be a potential drug for the treatment of Cd poisoning. Full article
Show Figures

Graphical abstract

15 pages, 5919 KB  
Article
Effects of Thermal Stress on the Antioxidant Capacity, Blood Biochemistry, Intestinal Microbiota and Metabolomic Responses of Luciobarbus capito
by Kun Guo, Rui Zhang, Liang Luo, Shihui Wang, Wei Xu and Zhigang Zhao
Antioxidants 2023, 12(1), 198; https://doi.org/10.3390/antiox12010198 - 14 Jan 2023
Cited by 18 | Viewed by 3069
Abstract
The rise in water temperature caused by global warming is seriously threatening the development of aquatic animals. However, the physiological response mechanism behind the adverse effects of thermal conditions on L. capito remains unclear. In this study, we investigated the physiological responses of [...] Read more.
The rise in water temperature caused by global warming is seriously threatening the development of aquatic animals. However, the physiological response mechanism behind the adverse effects of thermal conditions on L. capito remains unclear. In this study, we investigated the physiological responses of L. capito exposed to thermal stress via biochemical analyses and intestinal microbiota and liver LC–MS metabolomics. The results show that the superoxide dismutase (SOD) and catalase (CAT) activities significantly decrease, while the malondialdehyde (MDA) content, aspartate aminotransferase (AST), acid phosphatase (ACP), alanine aminotransferase (ALT), and albumin (ALB) activities, and glucose (Glu) level significantly increase. Obvious variations in the intestinal microbiota were observed after stress exposure, with increased levels of Proteobacteria and Bacteroidota and decreased levels of Firmicutes, Fusobacteriota, and Actinobacteriota, while levels of several genera of pathogenic bacteria increased. Liver metabolomic analysis showed that stress exposure disturbed metabolic processes, especially of amino acids and lipids. The results of this study indicated that thermal stress caused oxidative stress, disturbed blood biological functioning and intestinal microbiota balance, and damaged amino acids and lipids metabolism of liver in L. capito. Full article
(This article belongs to the Special Issue Antioxidant Defenses in Fish)
Show Figures

Figure 1

Back to TopTop