Whole-Body Toxic Metals and Morphometric Measurements in Brown Shrimp Penaeus aztecus in the Gulf of Mexico
Abstract
1. Introduction
2. Materials and Methods
2.1. Study Area
2.2. Ethics and Use of Animals
2.3. Sample Collection
2.4. Sample Handling in the Laboratory
2.5. Morphometric Analysis
2.6. Sexual Identification and Analysis of Gonadal Maturity
2.7. Toxic Metal Analysis
3. Results
3.1. Research on Metals in Shrimp in the Gulf of Mexico
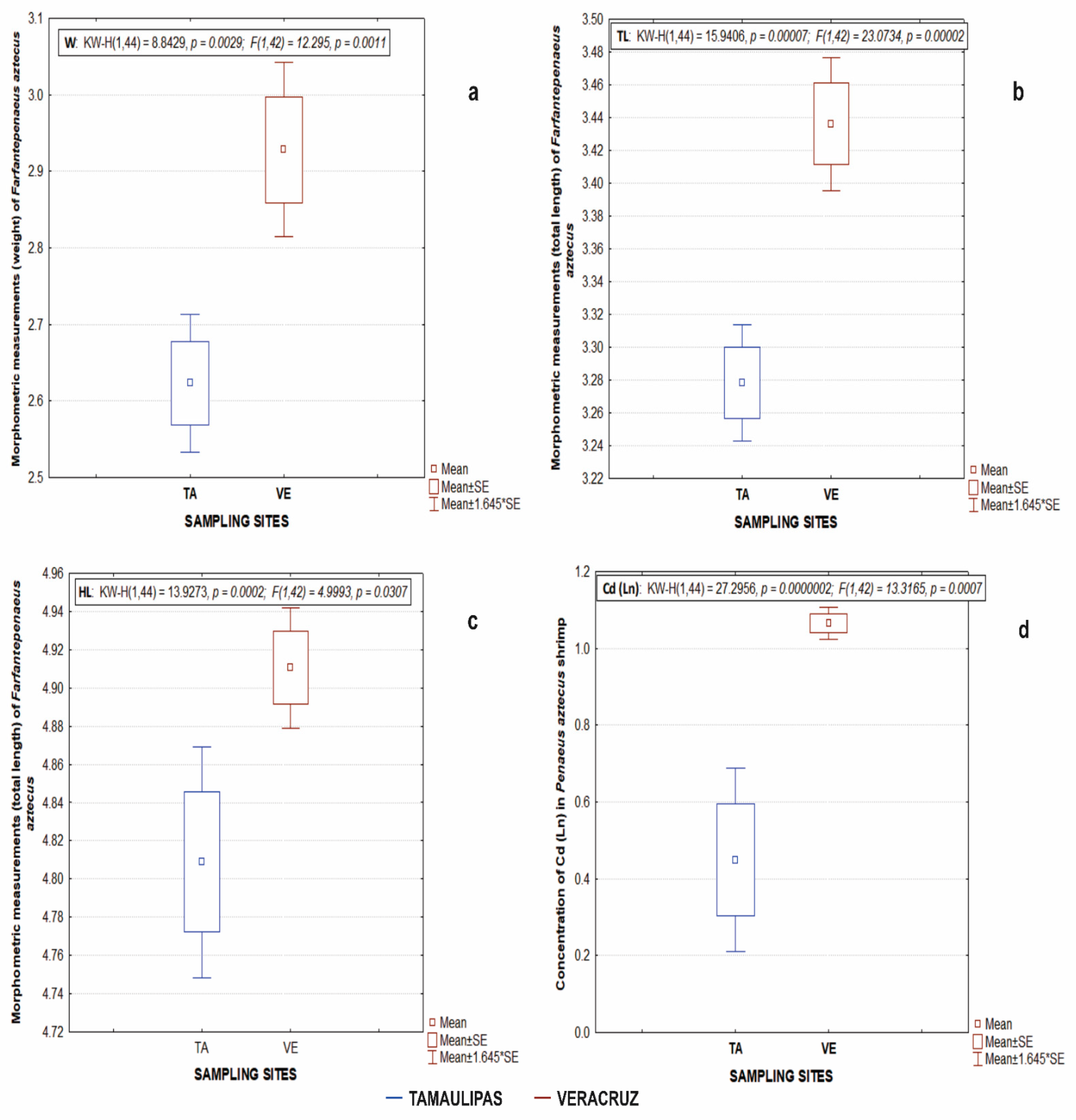
3.2. Sexual Identification and Gonadal Maturity Analysis of P. aztecus
3.3. Toxic Metals in Brown Shrimp P. aztecus
4. Discussion
4.1. Research on Metals in Shrimp in the Gulf of Mexico
4.2. Sexual Identification and Gonadal Maturity Analysis of P. aztecus
4.3. Toxic Metals in Brown Shrimp P. aztecus
5. Conclusions
Author Contributions
Funding
Institutional Review Board Statement
Data Availability Statement
Acknowledgments
Conflicts of Interest
References
- Plavan, G.I.; Jitar, O.; Teodosiu, C.; Nicoara, M.; Micu, D.; Strungaru, S.-A. Toxic metals in tissues of fishes from the Black Sea and associated human health risk exposure. Environ. Sci. Pollut. Res. 2017, 24, 7776–7787. [Google Scholar] [CrossRef] [PubMed]
- Strungaru, S.-A.; Nicoara, M.; Teodosiu, C.; Baltag, E.; Ciobanu, C.; Plavan, G.I. Patterns of toxic metals bioaccumulation in a cross-border freshwater reservoir. Chemosphere 2018, 207, 192–202. [Google Scholar] [CrossRef] [PubMed]
- Teodosiu, C.; Jitar, O.; Nicoara, M.; Plavan, G. Study of heavy metal pollution and bioaccumulation in the black sea living environment. Environ. Eng. Manag. J. 2013, 12, 271–276. [Google Scholar] [CrossRef]
- Frías-Espericueta, M.G.; Aguilar, M.; Osuna, I.; Abad, S.; Izaguirre, G.; Voltolina, D. Metals and shrimp farming in Mexico. Hidrobiológica 2011, 21, 217–228. (In Spanish) [Google Scholar]
- Strungaru, S.-A.; Nicoara, M.; Jitar, O.; Plavan, G. Influence of urban activity in modifying water parameters, concentration and uptake of heavy metals in Typha latifolia L. into a river that crosses an industrial city. J. Environ. Health Sci. Eng. 2015, 13, 5. [Google Scholar] [CrossRef]
- Jitar, O.; Teodosiu, C.; Oros, A.; Plavan, G.; Nicoara, M. Bioaccumulation of heavy metals in marine organisms from the Romanian sector of the Black Sea. New Biotechnol. 2015, 32, 369–378. [Google Scholar] [CrossRef]
- Mendoza-Díaz, F. Determination of Heavy Metals, Cd, Cr, Cu and Pb in Farfantepenaues Aztecus (Ives, 1891) Collected in the Tampamachoco Lagoon, Veracruz. Master’s Thesis, Management of Marine and Coastal Ecosystems, Universidad Veracruzana, Tuxpan, Mexico, 2010; p. 84. (In Spanish). [Google Scholar]
- Frías-Espericueta, M.G.; Osuna-López, J.I.; Izaguirre-Fierro, G.; Aguilar-Juárez, M.; Voltolina, D. Cadmium and lead in organisms of commercial importance in the coastal zone of Sinaloa, Mexico: 20 years of studies. CICIMAR Oceánides 2010, 25, 121–134. (In Spanish) [Google Scholar] [CrossRef]
- CONAPESCA (Comisión Nacional de Acuacultura y Pesca). Mexican Shrimp Production in the 2019–2020 Capture Season. CONAPESCA. Mexico. 2020. Available online: https://gob.mx/conapesca/articulos/produjo-mexico-47-mil-664-toneladas-de-camaron-en-la-temporada-de-captura-2019-2020-agricultura?idiom=es (accessed on 25 June 2022). (In Spanish).
- Wakida-Kusunoki, A.T.; Solana-Sansores, R.; Sandoval, M.E.; Núñez-Márquez, G.; Uribe-Martínez, J.A.; González-Cruz, A.; Medellín-Ávila, M. Shrimp from the Gulf of Mexico and the Caribbean Sea. In Sustainability and Responsible Fishing in Mexico; Arreguín-Sánchez, F., Beléndez-Moreno, L., Méndez-Gómez-Humarán, I., Solana-Sansores, R., Rangel-Davalos, C., Eds.; Instituto Nacional de la Pesca: Ciudad de México, Mexico, 2006; pp. 427–476. (In Spanish) [Google Scholar]
- Official Gazette (Diario Oficial). AGREEMENT Establishing Closed Seasons and Areas for the Capture of All Shrimp Species in Marine Waters and Estuarine Lagoon Systems under Federal Jurisdiction in the Gulf of Mexico and the Caribbean Sea for 2022. Published in the Official Gazette in 3 May 2022. Available online: https://dof.gob.mx/nota_detalle.php?codigo=5650823&fecha=03/05/2022#gsc.tab=0 (accessed on 18 May 2022). (In Spanish).
- Frías-Espericueta, M.; Voltolina, D.; Osuna-López, I.; Izaguirre-Fierro, G. Toxicity of metal mixtures to the Pacific white shrimp Litopenaeus vannamei postlarvae. Mar. Environ. Res. 2009, 68, 223–226. [Google Scholar] [CrossRef]
- Ramírez-Ayala, E.; Arguello-Pérez, M.A.; Tintos-Gómez, A.; Pérez-Rodríguez, R.Y.; Díaz-Gómez, J.A.; Borja-Gómez, I.; Sepúlveda-Quiroz, C.A.; Patiño-Barragán, M.; Lezama-Cervantes, C.; Salomé-Baylón, J. Review of the biomonitoring of persistent, bioaccumulative, and toxic substances in aquatic ecosystems of Mexico: 2001-2016. Lat. Am. J. Aquat. Res. 2020, 48, 705–738. [Google Scholar] [CrossRef]
- Páez, F.; Ruiz, A. Trace metals in the Mexican shrimp Penaeus vannamei from estuarine and marine environments. Environ. Pollut. 1995, 87, 243–247. [Google Scholar] [CrossRef]
- Páez, F.; Tron, L. Concentration and distribution of heavy metals in tissues of wild and farmed shrimp Penaeus vannamei from the northwest coast of Mexico. Environ. Int. 1995, 22, 443–450. [Google Scholar] [CrossRef]
- Ruelas-Inzunza, J. Distribution and Concentration of Trace Metals in Tissues of Three Penaeid Shrimp Species from Altata-Ensenada del Pabellón Lagoon (S.E. Gulf of California). Bull. Environ. Contam. Toxicol. 2004, 72, 452–459. [Google Scholar] [CrossRef] [PubMed]
- Frías-Espericueta, M.G.; Osuna-López, J.I.; Estrada-Toledo, F.J.; López-López, G.; Izaguirre-Fierro, G. Heavy metals in the edible muscle of shrimp from coastal lagoons located in Norhwest Mexico. Bull. Environ. Contam. Toxicol. 2005, 74, 1098–1104. [Google Scholar] [CrossRef] [PubMed]
- Frías-Espericueta, M.G.; Osuna-López, I.; Voltolina, D.; Beltrán-Velarde, M.A.; Izaguirre-Fierro, G.; López-López, G.; Muy-Rangel, M.D.; Rubio-Carrasco, W. The contents of Cd, Cu, Pb and Zn of the white shrimp Litopenaeus vannamei (Boone, 1931) of six coastal lagoons of Sinaloa, NW Mexico. Rev. de Biol. Mar. y Oceanogr. 2009, 44, 197–201. [Google Scholar] [CrossRef]
- Lango-Reynoso, F.; Castaneda-Chavez, M.D.R.; Landeros-Sanchez, C.; Galaviz-Villa, I.; Rodríguez, G.N.; Soto-Estrada, A. Cd, Cu, Hg and Pb, and Organochlorines Pesticides in Commercially Important Benthic Organisms Coastal Lagoons SW Gulf of Mexico. Agric. Sci. 2013, 1, 63–79. [Google Scholar] [CrossRef]
- Castañeda-Chavez, M.D.R.; Rodríguez, G.N.; Lango-Reynoso, F.; Galaviz-Villa, I.; Landeros-Sánchez, C. Heavy Metals in Oysters, Shrimps and Crabs from Lagoon Systems in the Southern Gulf of México. J. Agric. Sci. 2014, 6, 108–117. [Google Scholar] [CrossRef][Green Version]
- Vázquez-Sauceda, M.L.; Sanchez-Martinez, J.G.; Rabago-Castro, J.L.; Benavides-Gonzalez, F.; Blanco-Martinez, Z.; Garrido-Olvera, L.; Perez-Castañeda, R. Heavy metals in áter, sediment and shrimp (Litopenaeus setiferus) from a tropical estuarine ecosystem of the Gulf of Mexico. Fresenius Environ. Bull. 2019, 28, 7924–7932. [Google Scholar]
- Wakida-Kusunoki, A.T.; Solana-Sansores, R.; González-Cruz, A. Estimated abundance of brown shrimp (Farfantepenaeus aztecus) off the coast of Tamaulipas, 2002. Oceánides 2005, 20, 17–28. (In Spanish) [Google Scholar] [CrossRef]
- Díaz, R.; Márquez, M.E.; Espinosa, G.; Berovides, V. Morphometric and electrophoretic study of three species of commercial penaeid shrimp in culture. Rev. de Investig. Mar. 1995, 16, 83–88. (In Spanish) [Google Scholar]
- Fischer, W.; Krupp, F.; Schneider, W.; Sommer, C.; Carpenter, K.E.; Niem, V.H. FAO Guide for the Identification of Species for Fishing Purposes. Eastern Central Pacific; FAO: Rome, Italy, 1995; Volume I. Plants and Invertebrates, pp. 1–646. (In Spanish) [Google Scholar]
- Official Gazette. Agreement that Announces the Fishing Management Plan for Brown Shrimp (Farfantepenaeus aztecus) and White Shrimp (Litopenaeus setiferus) on the Coasts of Tamaulipas and Veracruz. Published in the Official Gazette on 12 March 2014. Available online: https://inapesca.gob.mx/portal/documentos/Planes-de-Manejo-Pesquero/Golfo/Plan-de-Manejo-Pesquero-de-Camaron-Cafe-y-Blanco.pdf (accessed on 2 July 2022). (In Spanish).
- Fenucci, J.L. Manual for Breeding Penaeid Shrimp. Field Document; Food and Agriculture Organization (FAO): Rome, Italy, 1988; pp. 1–88. (In Spanish) [Google Scholar]
- Official Gazette. OFFICIAL MEXICAN STANDARD NOM-117-SSA1-1994. Goods and Services. Test Method for the Determination of Cadmium, Arsenic, Lead, Tin, Copper, Iron, Zinc and Mercury in Food, Drinking Water and Purified Water by Atomic Absorption Spectrometry. Official Gazette of the Federation 16 August 1995. Available online: http://transparencia.cofepris.gob.mx/index.php/es/?option=com_content&view=article&id=36&Itemid=101 (accessed on 25 June 2022). (In Spanish).
- Aguilar-Ucán, C.A.; Montalvo-Romero, C.; Cerón-Bretón, J.G.; Anguebes-Fransesch, F. Heavy metal levels in marine species: Oyster (Crassostrea virginica), Crab (Callinectes sapidus) and Shrimp (Litopenaeus setiferus), from Ciudad del Carmen, Campeche, Mexico. Lat. Am. J. Nat. Resour. 2014, 10, 9–17. (In Spanish) [Google Scholar]
- USEPA. Method 7010: Graphite Furnace Atomic Absorption Spectrophotometry. USA. 2007. Available online: https://epa.gov/hw-sw846/sw-846-test-method-7010-graphite-furnace-atomic-absorption-spectrophotometry (accessed on 25 January 2022).
- Vázquez, F.G.; Sharma, V.K.; Mendoza, Q.A.; Hernandez, R. Metals in Fish and Shrimp of the Campeche Sound, Gulf of Mexico. Bull. Environ. Contam. Toxicol. 2001, 67, 756–762. [Google Scholar] [CrossRef] [PubMed]
- Vidal-Martínez, V.; Aguirre-Macedo, M.L.; Rodriguez, R.E.D.R.; Gold-Bouchot, G.; Osten, J.R.-V.; Miranda-Rosas, G. The pink shrimp Farfantepenaeus duorarum, its symbionts and helminths as bioindicators of chemical pollution in Campeche Sound, Mexico. J. Helminthol. 2006, 80, 159–174. [Google Scholar] [CrossRef] [PubMed]
- Palomarez-García, J.M.; Castañeda-Chávez, M.R.; Lango-Reynoso, F.; Landeros-Sánchez, C. Heavy metal levels in brown shrimp Farfantepenaeus aztecus from the Tamiahua lagoon, Veracruz, Mexico. Rev. Investig. Mar. 2009, 30, 63–69. (In Spanish) [Google Scholar]
- Vázquez-Sauceda, M.L.; Pérez-Arriaga, E.; Benavides-González, F.; Blanco-Martínez, Z.; Hernández-Contreras, S. Heavy Metals (Pb, Cd and Hg) in the Shrimp Farfantepenaeus Aztecus from Laguna Madre, Tamaulipas and the Risk to Public Health. Tecno Intelecto Magazine/Tecnológico Nacional de México. 2017, p. 19. Available online: https://www.itvictoria.edu.mx/investigacion/tecnointelecto/TecnoINTELECTO-Vol%2014-2-2017-FINAL-24ABR-2018.pdf#page=21 (accessed on 7 May 2022).
- Baruch-Garduza, E.; Castañeda-Chávez, M.R.; Wakida-Kusunoki, A.T.; Reynier-Valdés, D.; Navarrete-Rodríguez, G. Heavy metals in macroinvertebrates (Penaeus) in the Mexican coasts of the Gulf of Mexico: Status, sources, and regulations. Lat. Am. J. Aquat. Res. 2022, 50, 331–342. [Google Scholar] [CrossRef]
- Wakida-Kusunoki, A.T.; García-Solorio, L.; Vázquez Benavides, N.G. Abundance of commercial penaeid shrimp juveniles in the northern zone of Laguna Madre, Mexico. Hidrobiológica 2008, 18, 85–88. (In Spanish) [Google Scholar]
- Wakida-Kusunoki, A.T.; González Cruz, A.; Medellín-Ávila, M.; Arreguín-Sánchez, F. Estimated emigration of the brown shrimp Farfantepenaeus aztecus through the mouth of Mezquital, Tamaulipas, Mexico. Hidrobiológica 2010, 20, 256–265. (In Spanish) [Google Scholar]
- Barbosa-Saldaña, M.L.; Díaz-Jaimes, P.; Uribe-Alcocer, M. Morphological variation of the brown shrimp (Farfantepenaeus californiensis) in the Mexican Pacific. Mex. J. Biodivers. 2012, 83, 42–50. (In Spanish) [Google Scholar]
- Trejo-López, B. Temporal Variation of the Brown Shrimp Farfantepenaeus aztecus off the Coast of Veracruz during 1999–2000. Master’s Thesis, Ecology and Fisheries, Institute of Marine Sciences and Fisheries, Universidad Veracruzana, Xalapa, Mexico, 2015; p. 39. Available online: https://uv.mx/veracruz/mep/files/2012/10/Tesis_Beatriz-Trejo-Lopez.pdf (accessed on 5 July 2022). (In Spanish).
- Ventura-Flores, A.; Giménez-Hurtado, E.; Delgado-Miranda, G.; Rosquete-Miranda, C.M. Maturation of female pink shrimp Farfantepenaeus notialis (Pérez-Farfante, 1967) in the Gulf of Guacanayabo, Cuba during the periods 1992–1994 and 2010–2013. Rev. Electrónica de Vet. 2017, 18, 1–13. (In Spanish) [Google Scholar]
- Sultana, S.; Hossain, M.B.; Choudhury, T.R.; Yu, J.; Rana, S.; Abu Noman, M.; Hosen, M.M.; Paray, B.A.; Arai, T. Ecological and Human Health Risk Assessment of Heavy Metals in Cultured Shrimp and Aquaculture Sludge. Toxics 2022, 10, 175. [Google Scholar] [CrossRef]
- Frías-Espericueta, M.G.; Osuna-López, J.I.; Delgado-Álvarez, C.G.; Muy-Rangel, M.D.; López-López, G.; Izaguirre-Fierro, G.; Jaimes-Bustamante, F.; Zazueta-Padilla, H.M.; Aguilar-Juárez, M.; Rubio-Carrasco, W.; et al. Changes in metal contents in shrimp cultured in NW Mexico (2000–2010). Environ. Monit. Assess. 2015, 187, 1–7. [Google Scholar] [CrossRef]
- Official Gazette. NOM-242-SSA1-2009. Productos y Servicios. Productos de la Pesca Frescos, Refrigerados, Congelados y Procesados. Especificaciones Sanitarias y Métodos de Prueba. Publicado Diario Oficial de la Federación 10 de Febrero de 2011. Reviewed: 15 June 2022. Available online: https://dof.gob.mx/nota_detalle.php?codigo=5177531&fecha=10/02/2011 (accessed on 17 May 2022).
- Official Gazette. Proyecto de Norma Oficial Mexicana NOM-029-SSA1-1993, Bienes y Servicios. Productos de La pesca. Crustáceos Fresco-Refrigerados y Congelados. Especificaciones Sanitarias. Publicado en 15 April 1994. Available online: https://dof.gob.mx/nota_detalle.php?codigo=4687630&fecha=15/04/1994#gsc.tab=0 (accessed on 13 April 2022).
- Reglamento (CE) No. 1881/2006; Contenido Máximo de Determinados Contaminantes en los Productos Alimenticios. Reglamento Comunidad Europea (CE): Brussels, Belgium, 2008; Volume 8, pp. 1–18.
- ISSC. National Shellfish Sanitation Program. Guide for the Control of Molluscan Shellfish; Interstate Shellfish; ISSC: Columbia, SC, USA, 2007; p. 549. [Google Scholar]
- USFDA. Guidance Document for Lead in Shellfish; Center for Food Safety and Applied Nutrition US Food and Drug Administration: Silver Spring, MD, USA, 1993.
- Oladunjoye, R.Y.; Fafioye, O.O.; Asiru, R.A.; Solola, T.D.; Isiaka, O.F. Morphometric and Metals Relationships in African River Prawn, Macrobranchium Vollenhovenii (Herklot, 1852) of Asejire Lake, Nigeria. In Proceedings of the International Conference on Developmental Sciences and Technologies, Federal University of Agriculture, Abeokuta, Nigeria; 2019; pp. 124–135. Available online: https://unaab.edu.ng/wp-content/uploads/2020/07/16.-Oladunjoye2.pdf (accessed on 19 June 2022).
- Fajana, O.P.; Adeboyejo, A. Morphometric and Heavy Metals Accumulation in the Muscles of Five Demersal Seafoods Sampled in Nigerian Coastal Waters. Adv. J. Grad. Res. 2022, 12, 20–35. [Google Scholar] [CrossRef]






| Species | Region | Pb | Cd | Cr | Ni | Source |
|---|---|---|---|---|---|---|
| Litopenaeus setiferus | Southern zone of the Sonda de Campeche | _ | 1.21–6.11 | 1.20–9.99 | _ | Vázquez et al. [30] |
| Penaeus duorarum | Sonda de Campeche | _ | _ | _ | 2.46−149 | Vidal-Martínez et al. [31] |
| Penaeus aztecus | Tamiahua Lagoon, Veracruz | 0.119 ** | 0.032 ** | _ | _ | Palomarez-García et al. [32] |
| Penaeus aztecus | Tampamachoco Lagoon, Veracruz | ND | 1.55 (max) Cd 1.17 (min) | 2.32 (max) Cr 0.3 (min) | _ | Mendoza- Díaz [7] |
| Penaeus aztecus | Tamiahua Lagoon, Veracruz | 0.119 ± 0.12 | 0.32 ± 0.019 | _ | _ | Lango-Reynoso et al. [19] |
| Litopenaeus setiferus | Alvarado Lagoon, Veracruz | 0.8115 ± 0.3420 | 0.0750 ± 0.0108 | _ | _ | |
| Litopenaeus setiferus | Lagoon system of Carmen-Pajonal-Machona, Tabasco | 0.059 ** | ND | _ | _ | Castañeda-Chávez et al. [20] |
| Litopenaeus setiferus | Lagoon of Terms, Campeche | ND | ND–0.015 | _ | _ | Aguilar- Ucán et al. [28] |
| Penaeus aztecus | Mother Lagoon, Tamaulipas | 0.38−0.95 | 0.130−0.680 | _ | _ | Vázquez- Sauceda et al. [33] |
| Litopenaeus setiferus | San Andres Lagoon-Tiger River, Tamaulipas | 1.68 ± 0.32 | 1.72 ± 0.16 | _ | 2.46 ± 0.90 (max) | Vazquez- Sauceda et al. [21] |
| Penaeus aztecus | Tamaulipas | 6.50 ± 2.48 * 1.88 (min) 11.09 (max) | 1.84 ± 0.75 * 0.108 (min) 2.76 (max) | 0.94 ± 0.50 * 0.106 (min)2.44 (max) | 10.79 ± 1.74 * 7.04 (min) 15.05 (max) | This investigation |
| Veracruz | 5.11 ± 1.51 * 2.36 (min) 8.26 (max) | 2.91 ± 0.33 * 2.41 (min) 3.92 (max) | 0.65 ±0.407 * 0.100 (min) 1.25 (max) | 11.43 ± 2.63 * 6.89 (min) 15.501 (max) |
| Policy | Specifications | Allowable Limit (µg g−1) | |||
|---|---|---|---|---|---|
| Pb | Cd | Ni | Cr | ||
| NOM-242-SSA1-2009: Products and services [42] | Health specifications and test methods. | 0.5 | 2.0 | _ | _ |
| European Union legislation on chemical contaminants in food products [44] | Regulation (CE) 1881/2006 | 0.5 | 0.5 | _ | _ |
| FDA [46] | Crustaceans USFDA | _ | _ | _ | 12 |
Publisher’s Note: MDPI stays neutral with regard to jurisdictional claims in published maps and institutional affiliations. |
© 2022 by the authors. Licensee MDPI, Basel, Switzerland. This article is an open access article distributed under the terms and conditions of the Creative Commons Attribution (CC BY) license (https://creativecommons.org/licenses/by/4.0/).
Share and Cite
Castañeda-Chávez, M.d.R.; Navarrete-Rodríguez, G.; Wakida-Kusunoki, A.T.; Baruch-Garduza, E.; Reynier-Valdés, D. Whole-Body Toxic Metals and Morphometric Measurements in Brown Shrimp Penaeus aztecus in the Gulf of Mexico. Fishes 2022, 7, 293. https://doi.org/10.3390/fishes7050293
Castañeda-Chávez MdR, Navarrete-Rodríguez G, Wakida-Kusunoki AT, Baruch-Garduza E, Reynier-Valdés D. Whole-Body Toxic Metals and Morphometric Measurements in Brown Shrimp Penaeus aztecus in the Gulf of Mexico. Fishes. 2022; 7(5):293. https://doi.org/10.3390/fishes7050293
Chicago/Turabian StyleCastañeda-Chávez, María del Refugio, Gabycarmen Navarrete-Rodríguez, Armando T. Wakida-Kusunoki, Ernesto Baruch-Garduza, and David Reynier-Valdés. 2022. "Whole-Body Toxic Metals and Morphometric Measurements in Brown Shrimp Penaeus aztecus in the Gulf of Mexico" Fishes 7, no. 5: 293. https://doi.org/10.3390/fishes7050293
APA StyleCastañeda-Chávez, M. d. R., Navarrete-Rodríguez, G., Wakida-Kusunoki, A. T., Baruch-Garduza, E., & Reynier-Valdés, D. (2022). Whole-Body Toxic Metals and Morphometric Measurements in Brown Shrimp Penaeus aztecus in the Gulf of Mexico. Fishes, 7(5), 293. https://doi.org/10.3390/fishes7050293

