Extremely Low Sample Size Allows Age and Growth Estimation in a Rare and Threatened Shark
Abstract
1. Introduction
2. Materials and Methods
2.1. Sample Collection
2.2. Vertebrae Sectioning
2.3. Age Determination
2.4. Back-Calculation
2.5. Growth Modelling
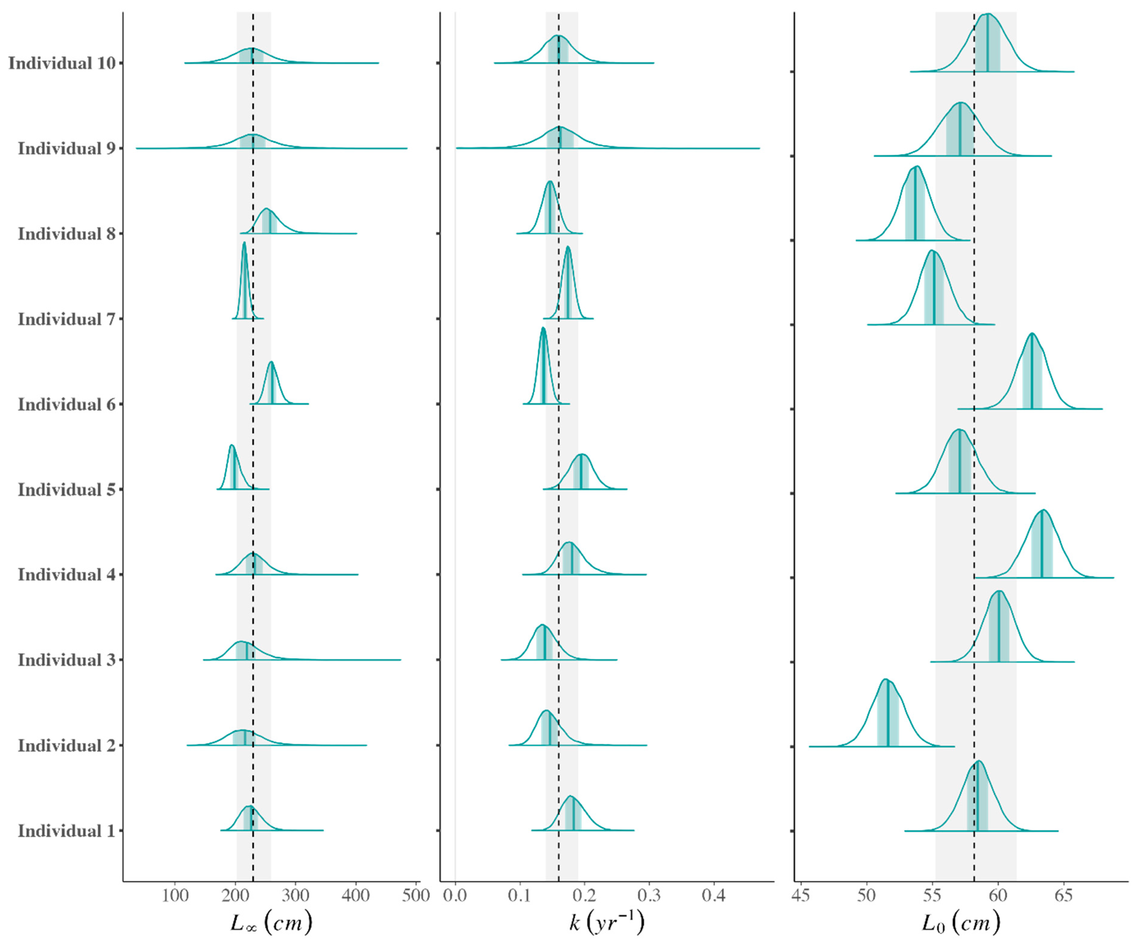
3. Results
4. Discussion
5. Conclusions
Supplementary Materials
Author Contributions
Funding
Institutional Review Board Statement
Data Availability Statement
Acknowledgments
Conflicts of Interest
References
- Musick, J.A. Ecology and conservation of long-lived marine animals. Am. Fish. Soc. Symp. 1999, 23, 1–10. [Google Scholar] [CrossRef]
- Heupel, M.R.; Simpfendorfer, C.A. Science or slaughter: Need for lethal sampling of sharks. Conserv. Biol. 2010, 24, 1212–1218. [Google Scholar] [CrossRef] [PubMed]
- Smart, J.J.; White, W.T.; Baje, L.; Chin, A.; D’Alberto, B.M.; Grant, M.I.; Mukherji, S.; Simpfendorfer, C.A. Can multi-species shark longline fisheries be managed sustainably using size limits? Theoretically, yes. Realistically, no. J. Appl. Ecol. 2020, 57, 1847–1860. [Google Scholar] [CrossRef]
- Smith, S.E.; Au, D.W.; Show, C. Intrinsic rebound potential of 26 species of Pacific sharks. Mar. Freshw. Res. 1998, 49, 663–678. [Google Scholar] [CrossRef]
- Patterson, T.A.; Hillary, R.M.; Kyne, P.M.; Pillans, R.D.; Gunasekera, R.M.; Marthick, J.R.; Johnson, G.J.; Feutry, P. Rapid assessment of adult abundance and demographic connectivity from juvenile kin pairs in a critically endangered species. Sci. Adv. 2022, 8, eadd1679. [Google Scholar] [CrossRef]
- International Union for the Conservation of Nature (IUCN) Standards and Petitions Committee. Guidelines for Using the IUCN Red List Categories and Criteria; Version 14. Prepared by the Standards and Petitions Committee; IUCN: Gland, Switzerland; Cambridge, UK, 2019. [Google Scholar]
- International Union for the Conservation of Nature (IUCN). The IUCN Red List of Threatened Species; Version 2025-2; International Union for the Conservation of Nature (IUCN): Gland, Switzerland, 2025; Available online: https://www.iucnredlist.org (accessed on 10 December 2025).
- Grant, M.I.; Kyne, P.M.; Simpfendorfer, C.A.; White, W.T.; Chin, A. Categorising use patterns of non-marine environments by elasmobranchs and a review of their extinction risk. Rev. Fish Biol. Fish. 2019, 29, 689–710. [Google Scholar] [CrossRef]
- Feutry, P.; Devloo-Delva, F.; Y, A.T.L.; Mona, S.; Gunasekera, R.M.; Johnson, G.; Pillans, R.D.; Jaccoud, D.; Kilian, A.; Morgan, D.L.; et al. One panel to rule them all: DArTcap genotyping for population structure, historical demography, and kinship analyses, and its application to a threatened shark. Mol. Ecol. Resour. 2020, 20, 1470–1485. [Google Scholar] [CrossRef]
- Field, I.C.; Tillet, B.J.; Charters, R.; Johnson, G.J.; Bukworth, R.C.; Meekan, M.G.; Bradshaw, C.J.A. Distribution, relative abundance and risks from fisheries to threatened Glyphis sharks and sawfishes in northern Australia. Endanger. Species Res. 2013, 21, 171–180. [Google Scholar] [CrossRef]
- Feutry, P.; Berry, O.; Kyne, P.M.; Pillans, R.D.; Hillary, R.M.; Grewe, P.M.; Marthick, J.R.; Johnson, G.; Gunasekera, R.M.; Bax, N.J.; et al. Inferring contemporary and historical genetic connectivity from juveniles. Mol. Ecol. 2017, 26, 444–456. [Google Scholar] [CrossRef]
- Constance, J.M.; Garcia, E.A.; Pillans, R.D.; Udyawer, V.; Kyne, P.M. A review of the life history and ecology of euryhaline and estuarine sharks and rays. Rev. Fish Biol. Fish. 2024, 34, 65–89. [Google Scholar] [CrossRef]
- Pillans, R.D.; Stevens, J.D.; Kyne, P.M.; Salini, J. Observations on the distribution, biology, short-term movements and habitat requirements of river sharks Glyphis spp. in northern Australia. Endanger. Species Res. 2009, 10, 321–332. [Google Scholar] [CrossRef]
- White, W.T.; A Appleyard, S.; Sabub, B.; Kyne, P.M.; Harris, M.; Lis, R.; Baje, L.; Usu, T.; Smart, J.J.; Corrigan, S.; et al. Rediscovery of the threatened river sharks, Glyphis garricki and, G. glyphis, in Papua New Guinea. PLoS ONE 2015, 10, e0140075. [Google Scholar] [CrossRef] [PubMed]
- Department of Climate Change, Energy, the Environment and Water (DCCEEW). Species Profile and Threats Database: EPBC Act List of Threatened Fauna; Department of Climate Change, Energy, the Environment and Water (DCCEEW): Canberra, ACT, Australia, 2024. Available online: https://www.environment.gov.au/cgi-bin/sprat/public/publicthreatenedlist.pl?wanted=fauna (accessed on 18 November 2024).
- Department of Climate Change, Energy, the Environment and Water (DCCEEW). Application for a Wildlife Trade Operation (WTO): Barramundi (Lates calcarifer) and Associated By-Product Species, Northern Territory Barramundi Fishery; Department of Climate Change, Energy, the Environment and Water (DCCEEW): Canberra, ACT, Australia, 2023. Available online: https://www.dcceew.gov.au/sites/default/files/documents/nt-barramundi-wto-application-supporting-documentation.pdf (accessed on 19 November 2024).
- Petheram, C.; Chilcott, C.; Watson, I.; Bruce, C. (Eds.) Water Resource Assessment for the Darwin Catchments; A Report to the Australian Government from the CSIRO Northern Australia Water Resource Assessment, part of the National Water Infrastructure Development Fund: Water Resource Assessments; CSIRO: Clayton, VIC, Australia, 2018.
- Thorson, J.T.; Simpfendorfer, C.A. Gear selectivity and sample size effects on growth curve selection in shark age and growth studies. Fish. Res. 2009, 98, 75–84. [Google Scholar] [CrossRef]
- Smart, J.J.; Harry, A.V.; Tobin, A.J.; Simpfendorfer, C.A. Overcoming the constraints of low sample sizes to produce age and growth data for rare or threatened sharks. Aquat. Conserv. Mar. Freshw. Ecosyst. 2013, 23, 124–134. [Google Scholar] [CrossRef]
- Ricker, W.E. Back calculation of fish lengths based on proportionality between scale and length increments. Can. J. Fish. Aquat. Sci. 1992, 49, 1018–1026. [Google Scholar] [CrossRef]
- Awruch, C.A.; Frusher, S.D.; Pankhurst, N.W.; Stevens, J.D. Non-lethal assessment of reproductive characteristics for management and conservation of sharks. Mar. Ecol. Prog. Ser. 2008, 355, 277–285. [Google Scholar] [CrossRef]
- Cailliet, G.M.; Goldman, K.J. Age determination and validation in chondrichthyan fishes. In Biology of Sharks and their Relatives; Musick, J., Carrier, J.C., Heithaus, M.R., Eds.; CRC Press: Boca Raton, FL, USA, 2004; pp. 399–447. [Google Scholar]
- Campana, S.E.; Annand, M.C.; McMillan, J.I. Graphical and statistical methods for determining the consistency of age determinations. Trans. Am. Fish. Soc. 1995, 124, 131–138. [Google Scholar] [CrossRef]
- Bowker, A.H. A test for symmetry in contingency tables. J. Am. Stat. Assoc. 1948, 43, 572–574. [Google Scholar] [CrossRef]
- Evans, G.T.; Hoenig, J.M. Testing and viewing symmetry in contingency tables, with application to readers of fish ages. Biometrics 1998, 54, 620–629. [Google Scholar] [CrossRef]
- Chang, W.Y.B. A statistical method for evaluating the reproducibility of age determination. Can. J. Fish. Aquat. Sci. 1982, 39, 1208–1210. [Google Scholar] [CrossRef]
- Francis, R.I.C.C. Back calculation of fish length—A critical review. J. Fish Biol. 1990, 36, 883–902. [Google Scholar] [CrossRef]
- Carlander, K.D. Handbook of Freshwater Fishery Biology; Iowa University Press: Ames, IA, USA, 1969. [Google Scholar]
- Smart, J.J.; Chin, A.; Tobin, A.J.; Simpfendorfer, C.A. Multimodel approaches in shark and ray growth studies: Strengths, weaknesses and the future. Fish Fish. 2016, 17, 955–971. [Google Scholar] [CrossRef]
- Von Bertalanffy, L. A quantitative theory of organic growth (inquires on growth laws. II). Hum. Biol. 1938, 10, 181–213. [Google Scholar]
- Ricker, W.E. Computation and interpretation of biological statistics of fish populations. Bull. Fish. Res. Board Can. 1975, 191, 1–382. [Google Scholar]
- Ricker, W.E. Growth rates and models. In Fish Physiology, III, Bioenergetics and Growth; Hoar, W.S., Randall, D.J., Brett, J.R., Eds.; Academic Press: New York, NY, USA, 1979; pp. 677–743. [Google Scholar]
- Cailliet, G.M.; Smith, W.D.; Mollet, H.F.; Goldman, K.J. Age and growth studies of chondrichthyan fishes: The need for consistency in terminology, verification, validation, and growth function fitting. Environ. Biol. Fishes 2006, 77, 211–228. [Google Scholar] [CrossRef]
- Smart, J.J.; Grammer, G.L. Modernising fish and shark growth curves with Bayesian length-at-age models. PLoS ONE 2021, 16, e0246734. [Google Scholar] [CrossRef] [PubMed]
- Smart, J. BayesGrowth: Estimate Fish Growth Using MCMC Analysis, R package version 0.3.0; R Foundation for Statistical Computing: Vienna, Austria, 2020. Available online: https://github.com/jonathansmart/BayesGrowth (accessed on 1 December 2024).
- Stan Development Team. RStan: The R Interface to Stan, R package version 2.21.2; R Foundation for Statistical Computing: Vienna, Austria, 2024. Available online: http://mc-stan.org/ (accessed on 1 December 2024).
- Gabry, J.; Mahr, T. Bayesplot: Plotting for Bayesian Models, R package version 1.7.2; R Foundation for Statistical Computing: Vienna, Austria, 2024. Available online: https://mc-stan.org/bayesplot (accessed on 1 December 2024).
- Vehtari, A.; Gabry, J.; Magnusson, M.; Yao, Y.; Bürkner, P.-C.; Paananen, T.; Gelman, A. Loo: Efficient Leave-One-Out Cross-Validation and WAIC for Bayesian Models, R package version 2.3.1; R Foundation for Statistical Computing: Vienna, Austria, 2024. Available online: https://mc-stan.org/loo (accessed on 1 December 2024).
- Vehtari, A.; Gelman, A.; Gabry, J. Practical Bayesian model evaluation using leave-one-out cross-validation and WAIC. Stat. Comput. 2017, 27, 1413–1432. [Google Scholar] [CrossRef]
- Harry, A.V.; Smart, J.J.; Pardo, S.A. Understanding the age and growth of chondrichthyan fishes. In Biology of Sharks and Their Relatives, 3rd ed.; Carrier, J.C., Simpfendorfer, C.A., Heithaus, M.R., Yopak, K.E., Eds.; CRC Press: Boca Raton, FL, USA, 2022; pp. 177–202. [Google Scholar]
- Awruch, C.A.; Bell, J.D.; Semmens, J.M.; Lyle, J.M. Life history traits and conservation actions for the Maugean skate (Zearaja maugeana), an endangered species occupying an anthropogenically impacted estuary. Aquat. Conserv. Mar. Freshw. Ecosyst. 2021, 31, 2178–2192. [Google Scholar] [CrossRef]
- Harry, A.V. Evidence for systematic age underestimation in shark and ray ageing studies. Fish Fish. 2018, 19, 185–200. [Google Scholar] [CrossRef]
- Natanson, L.J.; Skomal, G.B.; Hoffman, S.L.; Porter, M.E.; Goldman, K.J.; Serra, D. Age and growth of sharks: Do vertebral band pairs record age? Mar. Freshw. Res. 2018, 69, 1440–1452. [Google Scholar] [CrossRef]
- Geraghty, P.T.; Macbeth, W.G.; Harry, A.V.; Bell, J.E.; Yerman, M.N.; Williamson, J.E. Age and growth parameters for three heavily exploited shark species off temperate eastern Australia. ICES J. Mar. Sci. 2014, 71, 559–573. [Google Scholar] [CrossRef]
- Harry, A.V.; Tobin, A.J.; Simpfendorfer, C.A. Age, growth and reproductive biology of the spot-tail shark, Carcharhinus sorrah, and the Australian blacktip shark, C. tilstoni, from the Great Barrier Reef World Heritage Area, north-eastern Australia. Mar. Freshwater Res. 2013, 64, 277–293. [Google Scholar] [CrossRef]
- Lee, R.M. An investigation into the methods of growth determination in fishes by means of scales. J. Du Conseil. 1992, 1, 3–34. [Google Scholar]
- Kraak, S.B.M.; Haase, S.; Minto, C.; Santos, J. The Rosa Lee phenomenon and its consequences for fisheries advice on changes in fishing mortality or gear selectivity. ICES J. Mar. Sci. 2019, 76, 2179–2192. [Google Scholar] [CrossRef]
- Campbell, M.J.; Rigby, C.L. A re-examination of the growth of the gummy shark (Mustelus antarcticus) from Queensland, Australia. Mar. Freshw. Res. 2022, 73, 1399–1403. [Google Scholar] [CrossRef]
- Emmons, S.M.; D’Alberto, B.M.; Smart, J.J.; Simpfendorfer, C.A. Age and growth of tiger shark (Galeocerdo cuvier) from Western Australia. Mar. Freshw. Res. 2021, 72, 950–963. [Google Scholar] [CrossRef]
- Wong, D.; Smart, J.J.; Barrow, J.; Cleeland, J.; Yates, P.; Ziegler, P.; Rizzari, J.R. Age, growth and maturity of Southern Ocean skates (Bathyraja spp.) from the Kerguelen Plateau. Polar Biol. 2022, 45, 1119–1130. [Google Scholar] [CrossRef]
- Jones, C.M. Fitting growth curves to retrospective size-at-age data. Fish. Res. 2000, 46, 123–129. [Google Scholar] [CrossRef]
- Vigliola, L.; Meekan, M.G. The back-calculation of fish growth from otoliths. In Tropical Fish Otoliths: Information for Assessment, Management and Ecology; Reviews: Methods and Technologies in Fish Biology and Fisheries; Green, B.S., Mapstone, B.D., Carlos, G., Begg, G.A., Eds.; Springer: Dordrecht, The Netherlands, 2009; Volume 11, pp. 174–211. [Google Scholar]
- Robbins, W.D. Abundance, Demography and Population Structure of the Grey Reef Shark (Carcharhinus amblyrhynchos) and the Whitetip Reef Shark (Triaenodon obesus) (fam. Carcharhinidae). Ph.D. Thesis, James Cook University, Townsville, QLD, Australia, 2006. [Google Scholar]
- Tillett, B.J.; Meekan, M.G.; Field, I.C.; Hua, Q.; Bradshaw, C.J.A. Similar life history traits in bull (Carcharhinus leucas) and pig-eye (C. amboinensis) sharks. Mar. Freshw. Res. 2011, 62, 850–860. [Google Scholar] [CrossRef]
- Boggio-Pasqua, A.; Bassos-Hull, K.; Aeberhard, W.H.; Hoopes, L.A.; Swider, D.A.; Wilkinson, K.A.; Dureuil, M. Whitespotted eagle ray (Aetobatus narinari) age and growth in wild (in situ) versus aquarium-housed (ex situ) individuals: Implications for conservation and management. Front. Mar. Sci. 2022, 9, 960822. [Google Scholar] [CrossRef]
- Kyne, P.M.; Davies, C.-L.; Devloo-Delva, F.; Johnson, G.; Amepou, Y.; Grant, M.I.; Green, A.; Gunasekara, R.M.; Harry, A.V.; Lemon, T.; et al. Molecular Analysis of Newly-Discovered Geographic Range of The Threatened River Shark Glyphis Glyphis Reveals Distinct Populations; Report to the National Environmental Science Program Marine Biodiversity Hub: Hobart, TAS, Australia; Charles Darwin University: Casuarina, NT, Australia, 2021. [Google Scholar]
- Kyne, P.M.; Smart, J.J.; Johnson, G. Extremely low sample size allows age and growth estimation in a rare and threatened shark. bioRxiv 2022. [Google Scholar] [CrossRef]



| Growth Function | Equation | Reference |
|---|---|---|
| von Bertalanffy growth function (VBGF) | [30] | |
| Gompertz function | [31] | |
| Logistic function | [32] |
| Model | n | LOOIC | ∆ | w | L∞ (±SE) | L0 (±SE) | k (±SE) | gGom (±SE) | glog (±SE) | σ (±SE) | σL∞ (±SE) | σk (±SE) | σgGom (±SE) | σglog (±SE) | σL0 (±SE) |
|---|---|---|---|---|---|---|---|---|---|---|---|---|---|---|---|
| Observed data | |||||||||||||||
| VBGF | 10 | 76.3 | 0.70 | 0.3 | 268 ± (38.8) | 62.3 ± (4.9) | 0.08 ± (0.03) | - | - | 10.8 ± (3.4) | - | - | - | - | - |
| Logistic | 10 | 76.5 | 0.91 | 0.27 | 233.2 ± (30.6) | 65.1 ± (4.7) | - | - | 0.22 ± (0.04) | 10.5 ± (3.2) | - | - | - | - | - |
| Gompertz | 10 | 75.6 | 0.00 | 0.43 | 251.7 ± (34.2) | 63.9 ± (4.7) | - | 0.14 ± (0.03) | - | 10.3 ± (3.1) | - | - | - | - | - |
| Back-calculated | |||||||||||||||
| VBGF | 72 | 311.3 | 5.4 | 0.06 | 326.6 ± (29.5) | 57.3 ± (1.4) | 0.05 ± (0.01) | - | - | 1.8 ± (0.2) | 71.1 ± (44.8) | 0.01 ± (0.01) | - | - | 4.3 ± (1.3) |
| Logistic | 72 | 335.9 | 29.9 | 0 | 197.5 ± (10.4) | 58.9 ± (1.4) | - | - | 0.28 ± (0.02) | 2.1 ± (0.2) | 22.6 ± (9.6) | - | - | 0.04 ± (0.01) | 4.2 ± (0.01) |
| Gompertz | 72 | 306.0 | 0 | 0.94 | 229.5 ± (14.6) | 58.2 ± (1.4) | - | 0.16 ± (0.01) | - | 1.6 ± (0.2) | 33.3 ± (13.6) | - | 0.03 ± (0.01) | - | 1.64 ± (0.2) |
Disclaimer/Publisher’s Note: The statements, opinions and data contained in all publications are solely those of the individual author(s) and contributor(s) and not of MDPI and/or the editor(s). MDPI and/or the editor(s) disclaim responsibility for any injury to people or property resulting from any ideas, methods, instructions or products referred to in the content. |
© 2025 by the authors. Licensee MDPI, Basel, Switzerland. This article is an open access article distributed under the terms and conditions of the Creative Commons Attribution (CC BY) license.
Share and Cite
Kyne, P.M.; Smart, J.J.; Johnson, G.J. Extremely Low Sample Size Allows Age and Growth Estimation in a Rare and Threatened Shark. Fishes 2026, 11, 7. https://doi.org/10.3390/fishes11010007
Kyne PM, Smart JJ, Johnson GJ. Extremely Low Sample Size Allows Age and Growth Estimation in a Rare and Threatened Shark. Fishes. 2026; 11(1):7. https://doi.org/10.3390/fishes11010007
Chicago/Turabian StyleKyne, Peter M., Jonathan J. Smart, and Grant J. Johnson. 2026. "Extremely Low Sample Size Allows Age and Growth Estimation in a Rare and Threatened Shark" Fishes 11, no. 1: 7. https://doi.org/10.3390/fishes11010007
APA StyleKyne, P. M., Smart, J. J., & Johnson, G. J. (2026). Extremely Low Sample Size Allows Age and Growth Estimation in a Rare and Threatened Shark. Fishes, 11(1), 7. https://doi.org/10.3390/fishes11010007

