Acoustic Estimation of Blue Mackerel (Scomber australasicus) Spawning Biomass in Yilan Bay, Taiwan: Integrating Depth Compensation and Fishery Data (2021–2024)
Abstract
1. Introduction
2. Materials and Methods
2.1. Survey Area and Transect Design
2.2. Echo Sounder Calibration
2.3. Experimental Operations
2.4. Data Processing and Analysis
- 1.
- Filter echoes to remove non-biological signals.
- 2.
- Compute Sv from the filtered echoes.
- 3.
- Calculate the number of targets (n) using Sv and TS.
- 4.
- Convert Sv to the NASC for standardized abundance reporting, while retaining Sv for standing-crop calculations.
- 5.
- Estimate individual weight using length–weight relationships.
- 6.
- Calculate the standing crop in the survey area.
2.5. Commercial Fishing Data
3. Results
3.1. Catch Composition and Sampling Overview
3.2. Depth and TS Distribution
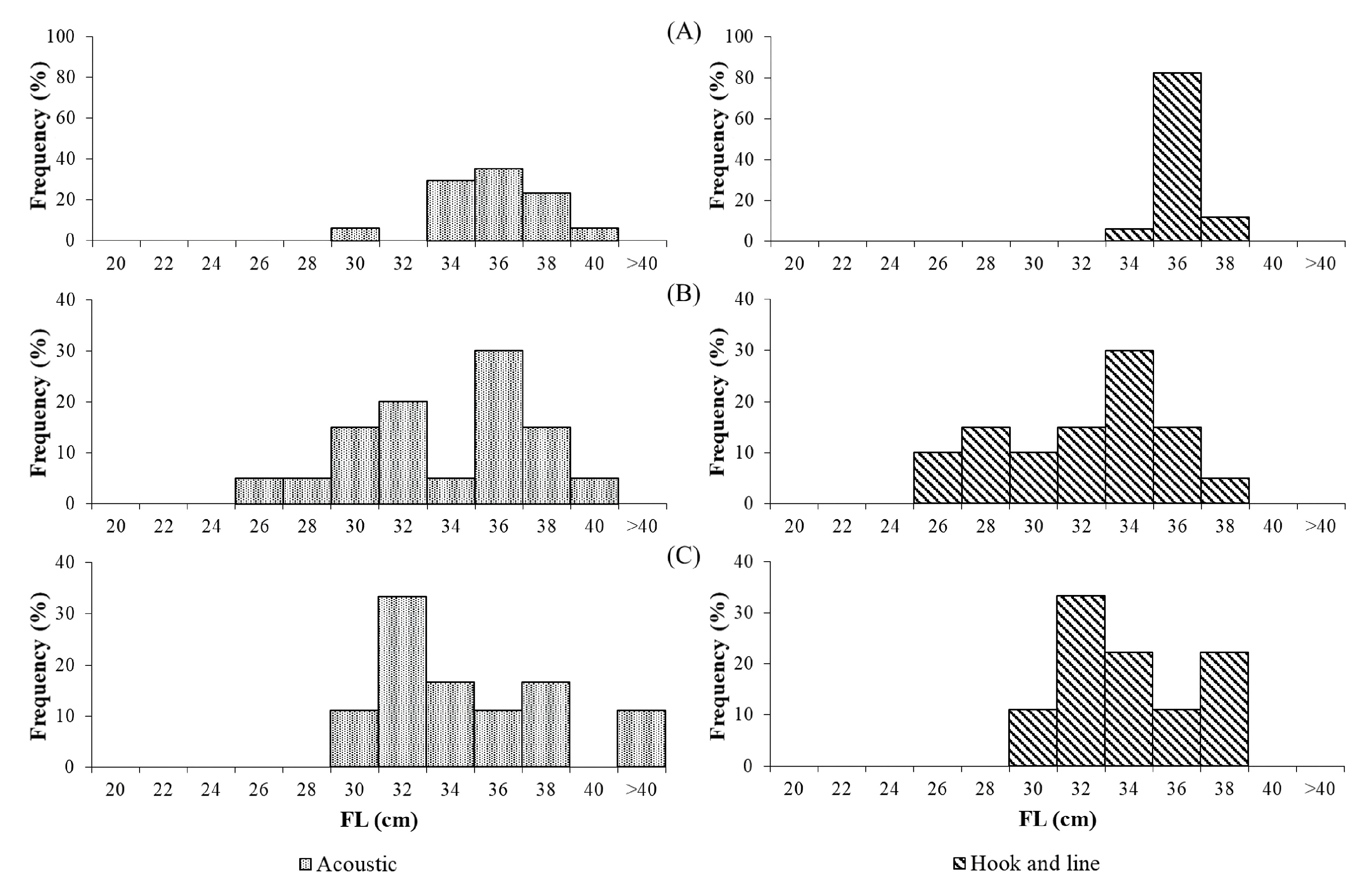
3.3. Frequency Distributions of Fork Length and TS
3.4. TS–FL Regression and Depth-Compensation Model
3.5. Estimated Length and Spatial Distribution of Blue Mackerel
3.6. Biomass Estimation and Comparison with Commercial Data
4. Discussion
4.1. Acoustic Estimation and Commercial Fishing
4.2. Fishing Grounds and Survey Coverage
4.3. Factors Influencing Detection Results
4.4. Implications of the Depth-Compensated TS–FL Model
5. Conclusions
Author Contributions
Funding
Institutional Review Board Statement
Informed Consent Statement
Data Availability Statement
Acknowledgments
Conflicts of Interest
References
- Fisheries Agency, Ministry of Agriculture. Fisheries Statistical Yearbook-Taiwan, Kinmen and Matsu Area; Fisheries Agency, Ministry of Agriculture: Taipei, Taiwan, 2023. [Google Scholar]
- Lu, H.J. Present situation and outlook for mackerel and scad fisheries. Presented at Symposium on Sustainable Utilization and Outlook for the Taiwan’s Offshore and Coastal Fisheries. Keelung, Taiwan, 20 September 2018. [Google Scholar]
- Hsia, K.Y.; Lee, K.-T.; Liao, C.-H.; Wang, J.-E. Effects of changes in sea surface temterature on fluctuation in larval anchovy resources in coastal waters of Taiwan. J. Fish. Soc. Taiwan 2004, 31, 127–140. [Google Scholar]
- Tzeng, C.H.; Chen, C.S.; Tang, P.C.; Chiu, T.S. Microsatellite and mitochondrial haplotype differentiation in blue mackerel (Scomber australasicus) from the western North Pacific. ICES J. Mar. Sci. 2009, 66, 816–825. [Google Scholar] [CrossRef]
- Chang, K.H.; Wu, W.L. Tagging experiments on the spotted mackerel (Scomber australasicus) in Taiwan. Bull. Inst. Zool. Acad. Sin. 1970, 16, 137–139. [Google Scholar]
- Hsiao, Y.Y. Changes in the Sizes-at-Maturity of Spotted Mackerel (Scomber australicus) Under Fishing and Environmental Variations. Master’s Thesis, National Taiwan Ocean University, Keelung, Taiwan, 2011. [Google Scholar]
- Beare, D.J.; Reid, D.G. Investigating spatio-temporal change in spawning activity by Atlantic mackerel between 1977 and 1998 using generalized additive models. ICES J. Mar. Sci. 2002, 59, 711–724. [Google Scholar] [CrossRef]
- Sinaga, S.; Lu, H.J.; Lin, J.R. Mackerel (Scomber australasicus) Reproduction in Northeastern Taiwan. J. Mar. Sci. Eng. 2021, 9, 1341. [Google Scholar] [CrossRef]
- Lin, C.Y.; Wang, S.P.; Chiang, W.C.; Griffiths, S.; Yeh, H.M. Ecological risk assessment of species impacted by fisheries in waters off eastern Taiwan. Fish. Manag. Ecol. 2020, 27, 345–356. [Google Scholar] [CrossRef]
- Oh, T.Y.; Shim, K.B.; Seo, Y.I.; Kwon, D.H.; Kang, S.K.; Lim, C.W. A study on resource utilization and management of chub mackerel, Scomber japonicus consider to proximate composition. J. Korean Soc. Fish. Ocean Technol. 2016, 52, 130–140. [Google Scholar] [CrossRef]
- Wu, L.I.; Wang, C.H.; Chen, C.S. Applying life history traits to eco-labelling schemes for fisheries management: A case study in Taiwan. Mar. Policy 2023, 148, 105412. [Google Scholar] [CrossRef]
- Lin, P.Y. Analysis on Mackerel Fishing Conditions for the Taiwanese Seine Fishery in Waters off Northeastern Taiwan. Master’s Thesis, National Taiwan Ocean University, Keelung, Taiwan, 2024. [Google Scholar]
- Wei, L.Y. A Preliminary Studies on the Reproductive Biology of the Scomber australasicus in the Northeastern Waters off Taiwan. Master’s Thesis, National Taiwan Ocean University, Keelung, Taiwan, 2003. [Google Scholar]
- Liao, C.H.; Lee, K.W.; Wei, L.Y. Development of Mackerel Fisheries in Taiwan: A Brief Overview. Fish. Ext. Rep. 2011, 41, 1–16. [Google Scholar]
- Caputi, N.; de Lestang, S.; Newman, S.J.; Jackson, G.; Smith, K. Stakeholder-government collaboration in developing cost-effective fishery-independent surveys in rights-based and co-managed fisheries. Mar. Policy 2021, 128, 104510. [Google Scholar] [CrossRef]
- Davies, T.D.; Jonsen, I.D. Identifying nonproportionality of fishery-independent survey data to estimate population trends and assess recovery potential for cusk (Brosme brosme). Can. J. Fish. Aquat. Sci. 2011, 68, 413–425. [Google Scholar] [CrossRef]
- Pennino, M.G.; Conesa, D.; López-Quílez, A.; Munoz, F.; Fernández, A.; Bellido, J.M. Fishery-dependent and-independent data lead to consistent estimations of essential habitats. ICES J. Mar. Sci. 2016, 73, 2302–2310. [Google Scholar] [CrossRef]
- Huang, P.M. Age and Growth of the Blue Mackerel (Scomber australasicus) in the Northeastern Waters off Taiwan. Master’s Thesis, National Taiwan Ocean University, Keelung, Taiwan, 2021. [Google Scholar]
- Lu, H.J.; Lin, P.Y.; Handayani, K.; Sinaga, S. Blue Mackerel (Scomber australasicus Cuvier, 1832) Spawning Off Northeastern Taiwan: Characterization of Spatio-Temporal Variability in Spawning Grounds. SSRN Electron. J. 2024, 4684263. [Google Scholar] [CrossRef] [PubMed]
- Fernandes, P.G.; Gerlotto, F.; Holliday, D.V.; Nakken, O.; Simmonds, E.J. Acoustic Applications in Fisheries Science: The ICES Contribution. ICES Mar. Sci. Symp. 2002, 215, 483–492. [Google Scholar]
- Ito, K.; Sonoki, S.; Minami, K.; Chiba, S.; Shirakawa, H.; Kawajiri, T.; Zhu, Y.; Miyashita, K. Spatial and economic quantification of provisioning service by eelgrass beds in Lake Notoro, Hokkaido, Japan. Sci. Rep. 2024, 14, 3742. [Google Scholar] [CrossRef]
- Moreno, A.; Conde, A.; Carrera, P.; Feijó, D.; Henriques, E.; Mendes, H.; Oliveira, P.; Silva, A.; Amorim, P.; Costa, M.; et al. PELAGO23 acoustic survey in the Atlantic Iberian waters of ICES area 9a (River Minho–Cape Trafalgar). In Working Group on Acoustic and Egg Surveys for Small Pelagic Fish in Northeast Atlantic (WGACEGG; Outputs from 2023 Meeting); ICES Scientific Reports; International Council for the Exploration of the Sea: Copenhagen, Denmark, 2023; Volume 6. [Google Scholar] [CrossRef]
- Rowell, T.J.; Demer, D.A.; Aburto-Oropeza, O.; Cota-Nieto, J.J.; Hyde, J.R.; Erisman, B.E. Estimating fish abundance at spawning aggregations from courtship sound levels. Sci. Rep. 2017, 7, 3340. [Google Scholar] [CrossRef]
- Ona, E. Physiological factors causing natural variations in acoustic target strength of fish. J. Mar. Biol. Assoc. UK 2009, 70, 107–127. [Google Scholar] [CrossRef]
- Scoulding, B.; Gastauer, S.; MacLennan, D.N.; Fässler, S.M.; Copland, P.; Fernandes, P.G. Effects of variable mean target strength on estimates of abundance: The case of Atlantic mackerel (Scomber scombrus). ICES J. Mar. Sci. 2017, 74, 822–831. [Google Scholar] [CrossRef]
- Aglen, A. Random errors of acoustic fish abundance estimates in relation to the survey grid density applied. FAO Fish. Rep. 1983, 300, 293–298. [Google Scholar]
- Simmonds, J.; MacLennan, D. Fisheries Acoustics: Theory and Practice, 2nd ed.; Blackwell Publishing: Hoboken, NJ, USA, 2005. [Google Scholar] [CrossRef]
- Shao, K.T.; Taiwan FishBase. Taiwan Fish Database. 2025. Available online: http://fishdb.sinica.edu.tw (accessed on 24 September 2025).
- Solomon, O.O.; Ahmed, O.O. Fishing with light: Ecological consequences for coastal habitats. Int. J. Fish. Aquat. Stud. 2016, 4, 474–483. [Google Scholar]
- Glass, C.W.; Wardle, C.S.; Mojsiewicz, W.R. A light intensity threshold for schooling in the Atlantic mackerel, Scomber scombrus. J. Fish. Biol. 1986, 29, 71–81. [Google Scholar] [CrossRef]
- Macy, W.K.; Sutherland, S.J.; Durbin, E.G. Effects of zooplankton size and concentration and light intensity on the feeding behavior of Atlantic mackerel Scomber scombrus. Mar. Ecol. Prog. Ser. 1998, 172, 89–100. [Google Scholar] [CrossRef]
- Foote, K.G.; Knudsen, H.P.; Vestnes, G.; MacLennan, D.N.; Simmonds, E.J. Calibration of Acoustic Instruments for Fish Density Estimation: A Practical Guide; ICES Cooperative Research Report No. 144; International Council for the Exploration of the Sea: Copenhagen, Denmark, 1987. [Google Scholar]
- Fernandes, P.G.; Copland, P.; Garcia, R.; Nicosevici, T.; Scoulding, B. Additional evidence for fisheries acoustics: Small cameras and angling gear provide tilt angle distributions and other relevant data for mackerel surveys. ICES J. Mar. Sci. 2016, 73, 2009–2019. [Google Scholar] [CrossRef]
- Fisheries Agency, Ministry of Agriculture, Wholesale Market Trading Quotations for Fishery Products. Taipei, Taiwan. 2024. Available online: https://efish.fa.gov.tw/efish/statistics/daymultidayonemarketonefish.htm (accessed on 18 June 2024).
- Chen, X.-H.; Lian, Y.-X.; Huang, G.; Xiang, T.; Zhang, T.-L.; Liu, J.-S.; Ye, S.-W.; Li, Z.-J. The experimental design and application of hydroacoustical techniques for target strength of two commercial Cyprinidae fish species. Acta Hydrobiol. Sin. 2019, 43, 854–860. [Google Scholar] [CrossRef]
- Huang, H.H. A Tank Experimental Analysis on the Precision of Size and Abundance Estimation Using Echo Integration Method. Master’s Thesis, National Taiwan Ocean University, Keelung, Taiwan, 2014. [Google Scholar]
- MacLennan, D.N.; Fernandes, P.G.; Dalen, J. A consistent approach to definitions and symbols in fisheries acoustics. ICES J. Mar. Sci. 2002, 59, 365–369. [Google Scholar] [CrossRef]
- Dunning, J.; Jansen, T.; Fenwick, A.J.; Fernandes, P.G. A new in-situ method to estimate fish target strength reveals high variability in broadband measurements. Fish. Res. 2023, 261, 106611. [Google Scholar] [CrossRef]
- Wu, Z.; Song, Y.; Zhao, G.; Shi, Y.; Wu, Y.; Zhang, S. Assessment of Fish Biomass and Distribution in a Nuclear Power Plant’s Water Intake Zone Using Acoustic and Trawl Methods. Animals 2025, 15, 987. [Google Scholar] [CrossRef]
- Scoulding, B.; Gastauer, S.; Taylor, J.C.; Boswell, K.M.; Fairclough, D.V.; Jackson, G.; Sullivan, P.; Shertzer, K.; Campanella, F.; Bacheler, N.; et al. Estimating abundance of fish associated with structured habitats by combining acoustics and optics. J. Appl. Ecol. 2023, 60, 1274–1285. [Google Scholar] [CrossRef]
- Alglave, B.; Rivot, E.; Etienne, M.P.; Woillez, M.; Thorson, J.T.; Vermard, Y. Combining scientific survey and commercial catch data to map fish distribution. ICES J. Mar. Sci. 2022, 79, 1133–1149. [Google Scholar] [CrossRef]
- Godlewska, M.; Długoszewski, B.; Doroszczyk, L.; Jóźwik, A. The relationship between sampling intensity and sampling error—Empirical results from acoustic surveys in Polish vendace lakes. Fish. Res. 2009, 96, 17–22. [Google Scholar] [CrossRef]











| Parameter | Setting | |
|---|---|---|
| System | EY60 | EK60 |
| Frequency | 200 kHz | 200 kHz |
| Absorption coefficient | 0.070 dB/m | 0.083 dB/m |
| Pulse rate | 1 pings/s | 1 pings/s |
| Pulse length | 1.024 ms | 1.024 ms |
| Transmitted Power | 1000 W | 1000 W |
| Two-way beam angle | −20.70 dB | −20.70 dB |
| Transducer gain | 26.54 dB | 27.59 dB |
| Maximum depth | 200 m | 200 m |
| Year | Period Type | Date Range | Total Weight (Tons) |
|---|---|---|---|
| 2021 | Entire spawning period | 4 January to 31 May | 13,609 |
| ±7 days of survey | 21 March to 7 April | 571 | |
| 2022 | Entire spawning period | 1 January to 31 May | 7170 |
| ±7 days of survey | 8 March to 26 March | 273 | |
| 2023 | Entire spawning period | 4 January to 24 May | 21,917 |
| ±7 days of survey | 13 March to 30 March | 5116 | |
| 2024 | Entire spawning period | 1 January to 31 May | 21,977 |
| ±7 days of survey | 17 March to 3 April | 4290 |
Disclaimer/Publisher’s Note: The statements, opinions and data contained in all publications are solely those of the individual author(s) and contributor(s) and not of MDPI and/or the editor(s). MDPI and/or the editor(s) disclaim responsibility for any injury to people or property resulting from any ideas, methods, instructions or products referred to in the content. |
© 2025 by the authors. Licensee MDPI, Basel, Switzerland. This article is an open access article distributed under the terms and conditions of the Creative Commons Attribution (CC BY) license (https://creativecommons.org/licenses/by/4.0/).
Share and Cite
Huang, T.-C.; Yen, K.-W.; Chen, R.-G.; Chih, C.-H.; Lu, H.-J. Acoustic Estimation of Blue Mackerel (Scomber australasicus) Spawning Biomass in Yilan Bay, Taiwan: Integrating Depth Compensation and Fishery Data (2021–2024). Fishes 2025, 10, 522. https://doi.org/10.3390/fishes10100522
Huang T-C, Yen K-W, Chen R-G, Chih C-H, Lu H-J. Acoustic Estimation of Blue Mackerel (Scomber australasicus) Spawning Biomass in Yilan Bay, Taiwan: Integrating Depth Compensation and Fishery Data (2021–2024). Fishes. 2025; 10(10):522. https://doi.org/10.3390/fishes10100522
Chicago/Turabian StyleHuang, Ting-Chieh, Kuo-Wei Yen, Ruei-Gu Chen, Chia-Hsu Chih, and Hsueh-Jung Lu. 2025. "Acoustic Estimation of Blue Mackerel (Scomber australasicus) Spawning Biomass in Yilan Bay, Taiwan: Integrating Depth Compensation and Fishery Data (2021–2024)" Fishes 10, no. 10: 522. https://doi.org/10.3390/fishes10100522
APA StyleHuang, T.-C., Yen, K.-W., Chen, R.-G., Chih, C.-H., & Lu, H.-J. (2025). Acoustic Estimation of Blue Mackerel (Scomber australasicus) Spawning Biomass in Yilan Bay, Taiwan: Integrating Depth Compensation and Fishery Data (2021–2024). Fishes, 10(10), 522. https://doi.org/10.3390/fishes10100522
