Next Article in Journal
Ecology of River Dolphins and Fish at Confluence Aggregations in the Peruvian Amazon
Previous Article in Journal
circRNA Profiling Reveals Regulatory Networks Underlying Gonadal Differentiation in Nile Tilapia (Oreochromis niloticus)
Previous Article in Special Issue
Development and Evaluation of an Escape Vent for Undersized Swimming Crab (Portunus trituberculatus) Bycatch Reduction in Pots
 
 
Font Type:
Arial Georgia Verdana
Font Size:
Aa Aa Aa
Line Spacing:
Column Width:
Background:
Article

Bias-Adjusting Observer Species Composition Estimates of Tuna Caught by Purse-Seiners Using Port-Sampling Data: A Mixed-Effects Modeling Approach Based on Paired Well-Level Data

by
Cleridy E. Lennert-Cody
1,*,
Cristina De La Cadena
1,
Luis Chompoy
1,
Mark N. Maunder
1,
Daniel W. Fuller
1,
Ernesto Altamirano Nieto
1,
Mihoko Minami
2 and
Alexandre Aires-da-Silva
1
1
Inter-American Tropical Tuna Commission, 8901 La Jolla Shores Drive, La Jolla, CA 92037, USA
2
Independent Researcher, Tokyo, Japan
*
Author to whom correspondence should be addressed.
Fishes 2025, 10(10), 494; https://doi.org/10.3390/fishes10100494
Submission received: 19 August 2025 / Revised: 29 September 2025 / Accepted: 29 September 2025 / Published: 2 October 2025
(This article belongs to the Special Issue Fishing Gear Technology and Conservation of Fishery Resources)

Abstract

For large-scale tropical tuna purse-seine fisheries, it is prohibitively costly to obtain adequate sampling coverage to estimate fleet-level catch composition solely from sample data. Logbook or observer data, with complete fleet coverage, are often available but may be considered unreliable for species composition. Previous studies have developed models, trained with sample data, to predict set-level species compositions based on environmental and operational covariates. Here, models were developed to predict well-level species composition from uncorrected observer data and covariates affecting the observers’ view of the catch during loading, with port-sampling data as the response variable. The analysis used paired, well-level data from sets made on floating objects by the Eastern Pacific Ocean tuna purse-seine fleet during 2023–2024. Results indicated that, overall, observer data proportions of bigeye (BET) and yellowfin tunas tended to be greater than the model-estimated proportions, with the opposite occurring for skipjack tuna (SKJ). However, vessel effects sometimes modified these tendencies. Model complexity was greatest for BET and least for SKJ. For BET, observer data proportions and model-estimated proportions were more similar when the vessel had a hopper. They were also more similar in 2023 as compared to 2024, suggesting sample data for bias adjustments should be collected annually. The approach shows potential for predicting the species composition of unsampled wells.
Key Contribution: This paper highlights the potential for the development of models to bias-adjust species composition estimates using paired data sets, such as sample and observer data or sample and logbook data.

1. Introduction

Conservation of fishery resources requires accurate estimates of total catch, by species, to inform stock assessment models. Total species catch is typically obtained from either a sample of fishing units, raised through a statistical approach to the fleet level, or from a census of all fishing units. For large-scale tropical tuna purse-seine fisheries, census data sources include logbook data and, in some cases, onboard observer data. However, concerns about the reliability of species composition estimates of these data sources have been raised, in particular, as regards species misidentification and/or estimation error that occurs because species quantities must be estimated rapidly, by eye [1,2,3]. Development of methods for obtaining more accurate estimates of species composition continues to be a topic of research [1,4,5]. For the tropical tuna purse-seine fishery of the Eastern Pacific Ocean (EPO; 50° S to 50° N, from the coast of the Americas to 150° W), which is managed by the Inter-American Tropical Tuna Commission (IATTC), concern over estimated species catch amounts from logbook, observer, and cannery (processors) data [3], especially misidentification of small individuals of bigeye tuna (BET, Thunnus obesus) and yellowfin tuna (YFT, Thunnus albacares) [6], resulted in modifications of the IATTC port-sampling program in 2000 [3]. The intent of those modifications was that species composition could be estimated solely from port-sampling data [3,7,8].
Although sample data collected by scientific technicians of port-sampling programs or by observers at sea are considered more reliable for species identification, for large-scale fisheries, such as tropical tuna purse-seine fisheries, it is both costly and logistically challenging to obtain adequate sampling coverage of all areas, time periods, and operational factors (e.g., gear characteristics) required for stock assessment modeling [1,4,9]. For the current EPO stock assessments for BET, YFT, and skipjack (SKJ, Katsuwonus pelamis) tunas, fisheries are each defined by quarter (but catch is estimated by month), up to five areas, and three purse-seine set types [10,11,12], for a total of up to 180 ‘cells’ for which species catch composition estimates are required. With the coverage of the IATTC port-sampling data, each year there are a number of cells with tropical tuna catch but little to no port-sampling data, and sample data from ‘neighboring’ cells are used to obtain estimates [3]. There is concern that this approach may lead to estimates with low precision and/or bias for some fisheries defined in stock assessments [9], and increasing sampling coverage is unlikely due to cost.
Given these data collection and estimation challenges, several model-based estimation approaches have been developed that draw on multiple data sources to mitigate the shortcomings of each. For the European purse-seine fleet [1], port-sampling and logbook/landing data are used to estimate catch composition, where the port-sampling data are used to correct the species composition of sets associated with sampled wells. A random forest algorithm is then used to model the relationship between set-level corrected species catch and environmental and operational information and then to predict the species composition for unsampled sets. For Western and Central Pacific (WCPO) purse-seine fisheries, models have also been developed to predict species composition at the set level from environmental and operational information, but the model is built using species composition estimates obtained from onboard observer sampling [4,5]. For the EPO tuna purse-seine fishery, with its 100% observer coverage of large purse-seine vessels (those with a fish-carrying capacity of at least 364 metric tons), a model-based approach focusing on the use of observer and port-sampling data is most practical.
In 2023, a special purse-seine port-sampling program, the Enhanced Monitoring Program (EMP), was initiated by the IATTC to support additional management measures for BET [13]. Those additional management measures established an individual vessel threshold system (IVT) for BET purse-seine catches to encourage vessels to reduce their annual catches of BET. The purpose of the EMP was to collect data for trip-level estimation of BET catch, focusing on large vessels with historically high BET catches, as an aid to those vessels and their CPCs in their efforts to comply with the IVT. Given that most of the EPO BET purse-seine catch is generated by sets on tunas associated with floating objects (OBJ) [14], the EMP focused on sampling wells with catches derived from OBJ sets. The OBJ-set fishery in the EPO is a multispecies fishery, dominated by SKJ catch but also producing catches of BET and YFT, and it is the primary set type generating BET catch for the purse-seine fleet [14]. Although BET was the focus of the IVT and EMP, the EMP sampling protocol was not species specific and thus generated data for any tropical tuna species in the catch of sampled wells. Given the large number of wells sampled per trip by the EMP and the extensive sampling of the well catch [15], the EMP data represent a unique data set for in-depth study of the relationship between observer and port-sampling estimates of species composition for the most species-diverse purse-seine set type.
In this paper, we present an analysis of the well-level relationship between observer and EMP port-sampling estimates of species composition for each of the three target tuna species. We explore a different approach to that taken by other studies, whereby we attempt to take advantage of the paired EMP port-sampling and observer estimates at the well level to develop an approach for bias correction of unsampled wells. That is, we assume that set-level environmental and operational factors that would affect species composition of the catch in the well for both data sources are sufficiently controlled for in the analysis by pairing the data at the well level. With this assumption, what is to be estimated with the paired data set is, therefore, the overall relationship between the two types of estimates and any covariate effects related to operational factors that could negatively impact an observer’s ability to make an accurate estimate of species composition. The analysis is based on mixed-effects modeling of observer and EMP data from OBJ-set wells of large purse-seine vessels operating in the EPO during 2023–2024. We discuss the use of these results in the context of a catch estimation for fisheries defined in stock assessments and the implications of the model results for sampling design development.

2. Materials and Methods

2.1. Data

Two data types were used for the mixed-effects modeling: port-sampling data and observer data (hereafter referred to as EMP and OBS data, respectively). The EMP data were collected by the EMP from March 2023 through December 2024 ([16] and references therein). The EMP focused on sampling large purse-seine vessels that historically had high catches of BET. Trips of those vessels were selected for sampling opportunistically, due to logistical constraints. Typically, 6 or 8 OBJ-set wells per trip were sampled, with wells selected at random from among those wells with catch from the dominant region of fishing activity of the trip, which, for the vessels and trips that were the focus of the EMP, was typically the western EPO. Sampled wells were assigned to one of three areas, depending on the fishing locations associated with the catch in the wells: 110°–150° W; 95°–110° W; 95° W to the coast. There were 6 wells with catch from east of 95° W and 95°–110° W, and 11 wells with catch from 95°–110° W and west of 110° W; for the analysis, the 6 wells were assigned to 95°–110° W and the 11 wells to west of 110° W. For each well, the entire well unloading was sampled with a systematic sampling protocol that selected 1 out of every 30 containers of fish unloaded from the well (Figure 1), from a random starting container in the first 30 containers unloaded [15]. This within-well protocol was developed following a pilot study to evaluate the feasibility and statistical performance of practical within-well sampling protocols [15,17,18]. The total number of containers sampled for an individual well under this protocol depended on the container size and the amount of catch in the well. The containers were those used by the unloading company to unload the well catch (Figure 2a; [15]). For the EMP data, the median number of containers sampled per well was 15 (minimum = 3, maximum = 61). The number of fish that can be loaded into a container depends on both the container size and the fish size. For the EMP data, the median (over wells) of the average number of fish per container unloaded from a well was 48 (minimum = 9, maximum = 215). For each container, all fish were identified to species (BET, YFT, SKJ, and other). And, each and every tropical tuna was individually weighed to the nearest 0.02 kg using a portable scale, or for the largest fish, measured to the nearest mm. Due to the upper weight limitation of the portable scales, which was 30 kg, tunas larger than 28 kg were measured for length [15], and the lengths were later converted to weight (kg) using species-specific length–weight relationships [19,20,21]. Sampling technicians went through extensive training on the species identification of frozen tunas. In addition, following training, video of the sampling was periodically collected using GoPro cameras and reviewed by other IATTC staff experienced in species identification to verify sampling technicians’ species identifications. Review of this video did not identify species misidentification.
For each well sampled by the EMP, the OBS data from the Set Summary data forms, completed by onboard observers of the Agreement on the International Dolphin Conservation Program (AIDCP) observer program of the IATTC [22], were used to create a paired data set. That is, for each EMP-sampled well, both EMP and OBS estimates of the species proportions could be computed. This observer data type was used for this study because it is the only AIDCP observer data type that contains information on the species catch amounts loaded into each well from every set during a trip, as well as set type, dates, and locations of fishing. Observer estimates of catch from each set are based on the observer’s sum of their estimates of each load of fish brailed into the vessel. A brailer consists of a circular stainless-steel frame, typically about 2.5 to 3.5 m in diameter, that is fitted with either a single or double layer of netting. The brailer is used to transfer fish from the purse-seine net to a hopper or chute on the vessel’s main deck, from which the catch is directed into the wells below. The observer does not record the individual brailer amounts, only the sum over all brails. Because the containers sampled by the EMP from a well cannot be assigned to individual sets (the boundaries of catch from different sets within the well are not known), the finest resolution at which the EMP and OBS data for species proportions can be compared is at the well level.

2.2. Proportion of Each Species in the Well

For the EMP data, the estimated proportion of each tropical tuna species in the well was computed following the method of reference [18]. Given that there was one systematic sample per well, the estimated proportion of a species in the well was equal to the sum, over sampled containers, of the weight of the species, divided by the sum, over sampled containers, of the weight of tropical tunas. The EMP proportion is an estimate because it is based on a sample of catch from the well; only one out of every thirty containers was sampled.
For the OBS data, the estimated proportion of each species in the well was based on the observer’s estimate of the weight of tropical tunas, by species, from each set that was loaded into the well. The estimated proportion of a species was the sum, over the set amounts in the well, of the weight of the species, divided by the sum, over set amounts in the well, of the weight of tropical tunas. The OBS proportion is an estimate because, while the observer monitors all the catch that goes into the well, to obtain an independent estimate of the catch of each species in the well, the observer must apportion that total well catch, which is assumed known, to species by eye.
In the modeling that follows, it will be assumed that the EMP and the OBS estimates of the proportion of each tropical tuna species in the well are known without error. This is because it is not possible to obtain an estimate of the variance on either of those proportions from existing data. For the EMP proportions, estimating that variance would require more than one systematic sample per well (to estimate sampling error), which has not been feasible to collect under the current logistical constraints associated with the sampling [15]. For the OBS proportions, it would require information on observer-specific ‘measurement’ error for species identifications and amounts (in weight). However, such calibration data are not available. Simulation studies with high-frequency port-sampling data (one out of every ten containers was sampled [17]) suggested that when sampling one out of every 30 containers, the sample estimate would be more accurate and precise than the OBS estimate (assuming the one-out-of-ten container data were ‘truth’).

2.3. Relationship Between EMP and OBS Species Proportions

Linear mixed-effect models [23] were used to evaluate the relationship between the EMP and OBS well-level estimates of the proportion of each species. These well-level estimates are paired observations, i.e., EMP and OBS estimates for the same well. In this analysis, the EMP proportion of a species was taken to be the response variable and the OBS proportion of the species as the independent variable. This decision was made because the goal of the modeling was to develop a model to predict species proportions from OBS data for unsampled wells.
To explain variability in the EMP–OBS well-level relationship, 8 covariates (Table 1) were considered in the analysis, in addition to vessel and trip effects. Covariates potentially related to the observer’s ability to clearly view the catch were as follows: brailer capacity; the presence/absence of double mesh on the brailer (Figure 2b); the presence/absence of a hopper on the main deck (used to sort the catch before it is loaded into the wells (Figure 2c)); and vessel flag (if catch loading practices generally differ among such vessel groups). The covariate observer sea days (cumulative days at sea as of the start of this analysis) was intended as a general measure of observer experience. Temporal factors, the trimester and year when the trip was unloaded, were included in case there was any change over time in the IVT’s effect on observers’ estimation (e.g., a side effect of the IVT and EMP might be to encourage observers to pay extra attention to species identification). The fishing area (i.e., west of 110° W, 95°–110° W, and east of 95° W) was included in case there was a difference in the EMP–OBS relationship between areas where BET catch was and was not common [24]. The temporal and spatial covariates may also be useful should the pairing of the observations not adequately address overall large-scale environmental effects on catch composition.
Given the hierarchical structure of the data, i.e., wells within trips and trips within vessels, nested random effects on the intercept for vessels and trips were included in all fitted models. Preliminary modeling also fitted models with random effects for trips nested within observers, for EMP sampler teams, and for vessel and trip random effects on the slope of the relationship between EMP and OBS estimates. However, with the exception of a model with the vessel random effect on the OBS slope, the other types of random effects were dropped from the final analysis because they did not improve the Akaike Criterion (AIC; [25]). In the case of an observer effect, this is likely due to a considerable imbalance in the number of trips per observer, which results from the aim of the AIDCP observer program not to place the same observer frequently on the same vessel (see Section 4). It is noted that for sampled trips, including a trip effect in the model would be beneficial for predicting the proportion of a species in the catch of unsampled wells of the same trip. For unsampled trips, the trip effect is not directly useful for prediction; however, it is useful to control for trip-specific variability to better estimate the effects of other covariates across trips. In general, inclusion of a trip effect in the model captures the inherent dependence among wells of the same trip so that this dependency is appropriately handled in, for example, statistical testing. The same applies to the inclusion of vessel effects in the model.
The general form of the fitted mixed-effects models for the k-th well of the j-th trip of the i-th vessel is expressed as follows:
g p E M P i j k = β 0 + b i + b i j + β 1 g p O B S i j k + β 2 x i j k + + ϵ i j k
where p is the proportion of a species in the well (EMP, OBS); g refers to a Box–Cox transformation (described below); βs denote fixed effects; x indicates covariates (other than vessel and trip); bi and bij denote random effects for vessels and trips within vessels, respectively; and ϵ i j k ~ N(0, σ2) is the within-group error, independent of the vessel and trip random effects. For the random effect vectors, bi~ N(0, ψ1) and bij~ N(0, ψ2), where the bi are independent for different vessels and the bij are independent for different vessels and different trips of the same vessel. The covariance structure, ψ, is a general positive definite symmetric Log–Cholesky parametrization [26]. The mixed-effects models were fitted with the “nlme” library [23,27] in R (version 4.4.1) [28]. The estimates of the random effects were the Best Linear Unbiased Predictors (BLUPs; [23]). The models were fitted using the default method of restricted maximum likelihood. Models were fitted in a stepwise manner, starting with the random effects-only model, and then adding the OBS proportion of the species, and subsequently other covariates, individually. The covariate ‘observer sea days’ was centered and scaled before fitting. Both AIC and model diagnostic plots were used to compare model performance.
Before fitting the mixed-effects models, the EMP species proportion estimates were transformed, by species, to better conform to the assumed Gaussian distribution, using a Box–Cox transformation [29,30]. The Box–Cox transformation, applied to a random variable Y , had the following form:
Y ´ = Y + δ γ 1 γ
where the parameters γ and δ were estimated from the data using the “geoR” library [31]. The parameters were estimated for the EMP proportions, and then the same transformation (same estimated parameters) was applied to the OBS proportions to help preserve aspects of the untransformed relationship between the two types of estimates. Common transformations for proportions, such as the logit or log–log, were not used because the proportion of each species per well is estimated from weight, not from counts of individual fish. The isometric log ratio transformation (ILR; [32]) was not used because it is not defined at 0, a value that occurred in both the EMP and OBS data sets for BET and YFT.
To illustrate the fitted population-level relationships on the [0, 1] scale, a sequence of evenly spaced values was created on the Box–Cox scale, from the minimum to the maximum of the transformed data values, and the estimated fixed-effects model coefficients were used to create a series of predicted values that were then back-transformed, without a bias correction, using the inverse of the equation above:
Y ^ b a c k _ t r a n s f o r m e d   =   γ Y ^ + 1 1 γ δ
where Y ^ is the predicted value on the Box–Cox scale. Back-transformed values represent the median predictions [33], which, for the purposes of illustrating the fitted relationship, is reasonable. To obtain a mean prediction, which is preferred when computing sums of estimated amounts, such as sums of well-level species catch estimates, a bias correction should be applied [33]. It is noted that the Box–Cox transformation does not guarantee that the back-transformed predicted values will fall within the [0, 1] interval. One option is to assign the closest endpoint (i.e., 0 or 1) to back-transformed values that fall outside the [0, 1] interval.
To evaluate the improvement of vessel random effects for prediction of the well-level species proportions, which is useful information for developing sampling protocols for future data collection, Monte Carlo cross-validation [34] was used. The procedure, which is iterative, was repeated 10000 times. At each iteration, the data were divided into training and test subsets, where the test subset was always 1 well per vessel for all vessels in the final data set (see below), and the training subset was made up of the rest of the data. The model was fitted on the training subset, and predictions were made on the test subset and back-transformed to the [0, 1] scale (without using a bias correction). The few back-transformed values that were negative were assigned the value 0. Performance for each iteration was measured by the mean squared error (MSE) (i.e., the sum of squared differences between actual EMP proportions and predicted proportions divided by the number of vessels). Results were summarized across iterations by the average of the 10000 MSE values for predictions at the population level (i.e., based on estimated fixed effects only) and, separately, for those that included the estimated vessel random effects.
Finally, a sensitivity analysis was conducted to evaluate whether imbalance in the number of trips per vessel (see Section 3), which resulted from the data collection priorities of the EMP [13], could have undue influence on the results of models that included covariates other than vessel and trip random effects. The data were limited to those vessels represented by at least two trips in the data set. For each of 5000 iterations, two trips for each vessel were drawn at random, and the model of interest was fitted to the reduced data set. Frequency distributions of coefficient estimates from the model fitted to each of the reduced data sets were compared to the coefficient estimates for the same model that was fitted to the full data set.

3. Results

3.1. Data Characteristics

From March 2023 through December 2024, 1099 OBJ-set wells of 155 trips and 35 vessels sampled by the EMP were considered for this study. Most of the 35 vessels were represented by 1 to 5 trips; however, there were a few vessels for which 10 or more trips were sampled (Table 2). There were 40 wells for which data on one or more covariates were not available, and those wells were excluded from the analysis, resulting in 1059 wells initially considered for the mixed-effects modeling analysis.
Of those 1059 wells, the distribution of positive and zero species proportion estimates for the EMP data, as compared to the OBS data, differed by species (Table 3). For BET, there were 831 wells for which both the EMP and OBS proportions were greater than zero. There were considerably more wells for which the OBS proportion of BET was zero, but the EMP proportion was not (143 wells, or 13.5% of the 1059 wells), compared to the number of wells for which the EMP proportion was zero, but the OBS proportion was not (18 wells, or 1.7%). The minimum positive proportion of BET reported in the OBS data was 0.0087, compared to 0.00034 in the EMP data. For YFT, there were 960 wells for which both the EMP and OBS estimates were greater than 0, and 99 wells for which the EMP estimate was greater than 0 but the OBS estimate was equal to 0. There were no wells for which the EMP estimate of the proportion of YFT was equal to 0. The minimum positive proportion of YFT reported in the OBS data was 0.0087, compared to 0.0005 in the EMP data. For SKJ, all of the 1059 wells had positive estimates for both the EMP and the OBS. The minimum positive proportion of SKJ in the OBS data was 0.0098, compared to 0.0175 in the EMP data.
The overall relationship between OBS and EMP proportions, by species, is noisy but positive and increasing (Figure 3). The majority of within-well proportions of BET, as well as of YFT, were less than 0.4. For SKJ, the majority of wells had an SKJ proportion of 0.5 or greater. Especially in the case of BET, the relationship between the OBS and EMP proportions sometimes differed by vessel, with the majority of data points being either above or below the one-to-one line (Figure 4), as well as among trips of the same vessel (Figure 5). By trip, the proportion of a species per well could be clustered within only part of the [0, 1] range, e.g., all sampled wells of a trip had only a small proportion of catch that was BET, and thus not every trip provided a lot of contrast to estimate the EMP–OBS relationship over the full [0, 1] range.
The distributions of covariate values, for those seven covariates that were factors or had discrete numerical values, are summarized for the 1059 wells in Table 4. Of the 32 vessels, 19 vessels had a double-mesh brailer and 18 vessels had a hopper. Of the 18 vessels with a hopper, only 4 vessels indicated that the hopper was used for less than 80% of their sets. In addition, the number of wells was fairly equally split between the two unloading years. Those covariates that were most imbalanced were brailer capacity, fishing area, and observer sea days. Most vessels used brailers with a capacity of 7 t or 8 t, with only a few vessels having brailers with a capacity of 6 t or 9–10 t. As would be expected given the data collection priorities of the EMP, most wells were filled with catch from the area west of 110° W. Based on cumulative days at sea, most observers would be considered experienced; the median sea days per observer was 2099 d (interquartile range: 1091 d, 3275 d).

3.2. Mixed-Effects Modelling

Preliminary modeling efforts attempted to use data from all of the 1059 wells. However, inclusion of the wells with an OBS proportion equal to zero, particularly for BET, led to artifacts when modeling the data because of the separation between zero and positive OBS values, which increased once the data had been transformed. For this reason, the final analysis focused on data for which the OBS species proportion was greater than zero, which was the dominant data category for each species (Table 3). Of course, depending on the species, models might also need to be developed to predict the species proportion for wells for which no catch of the species was reported in the OBS data, so as not to overestimate the fleet-level species catch; this is discussed in Section 4.
In the final analysis of data from wells with a non-zero OBS species proportion, trips represented by fewer than three wells were excluded to ensure adequate information in the data set at both the trip and vessel levels for every trip. With these exclusions, a total of 830 wells from 127 trips of 29 vessels were retained for BET, 938 wells from 138 trips of 31 vessels for YFT, and 1044 wells from 144 trips of 31 vessels for SKJ. The results from the final analysis for the three species were similar to the preliminary results based on the larger data sets that included trips represented by fewer than three wells; however, model diagnostics were somewhat improved. The Box–Cox transformation parameter estimates for the trimmed species data sets were as follows: γ = 0.364447 and δ = 0.000009570761 for BET; γ = 0.37283714 for YFT ( δ = 0, because no EMP values for YFT were 0 (Table 3)); and γ = 1.752946771 for SKJ (similarly, δ = 0). For BET, a mixture model was not used because the proportion of wells for which the EMP estimate was 0, when the OBS estimate was greater than 0, was very small (Table 3).
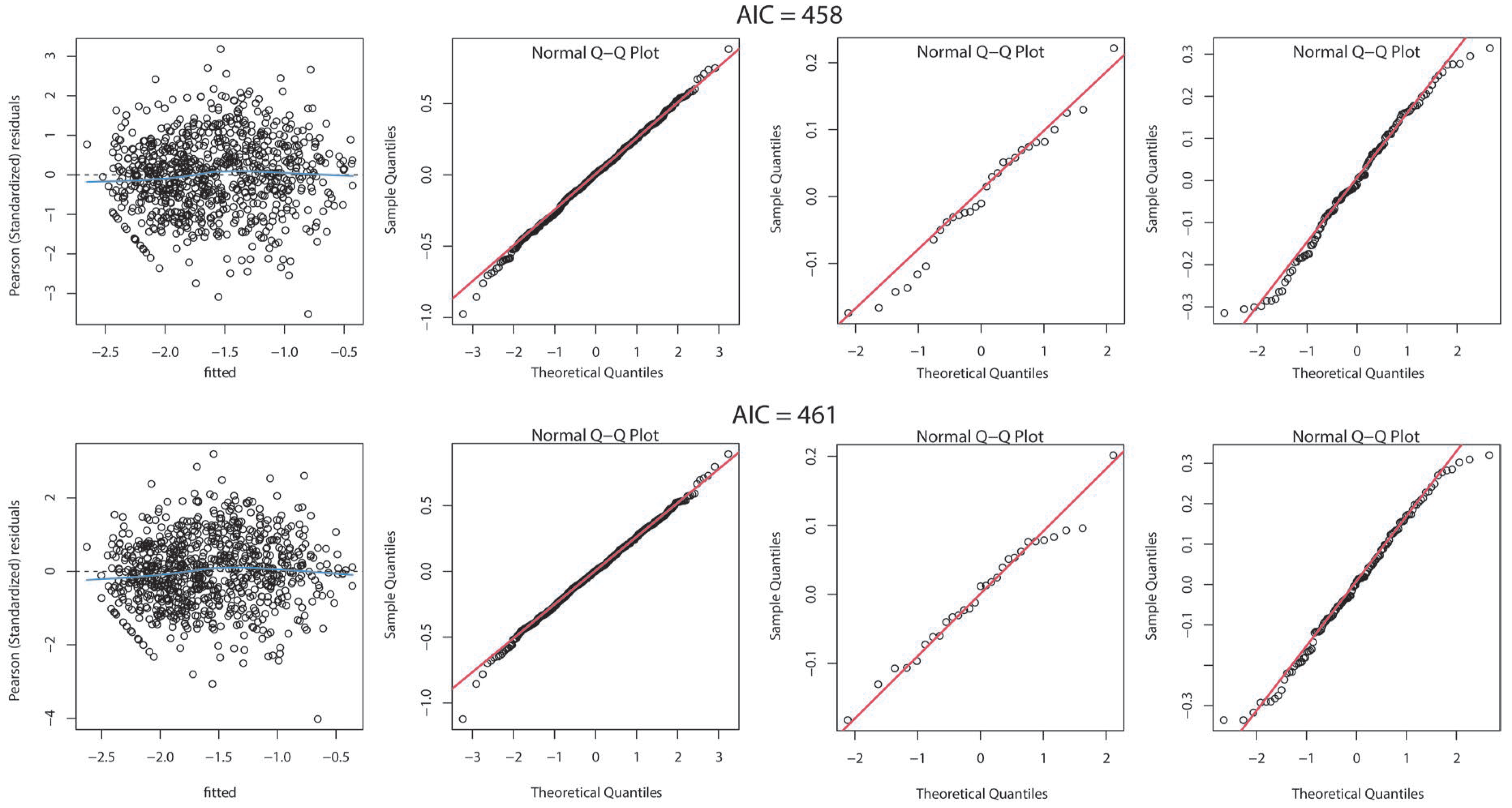
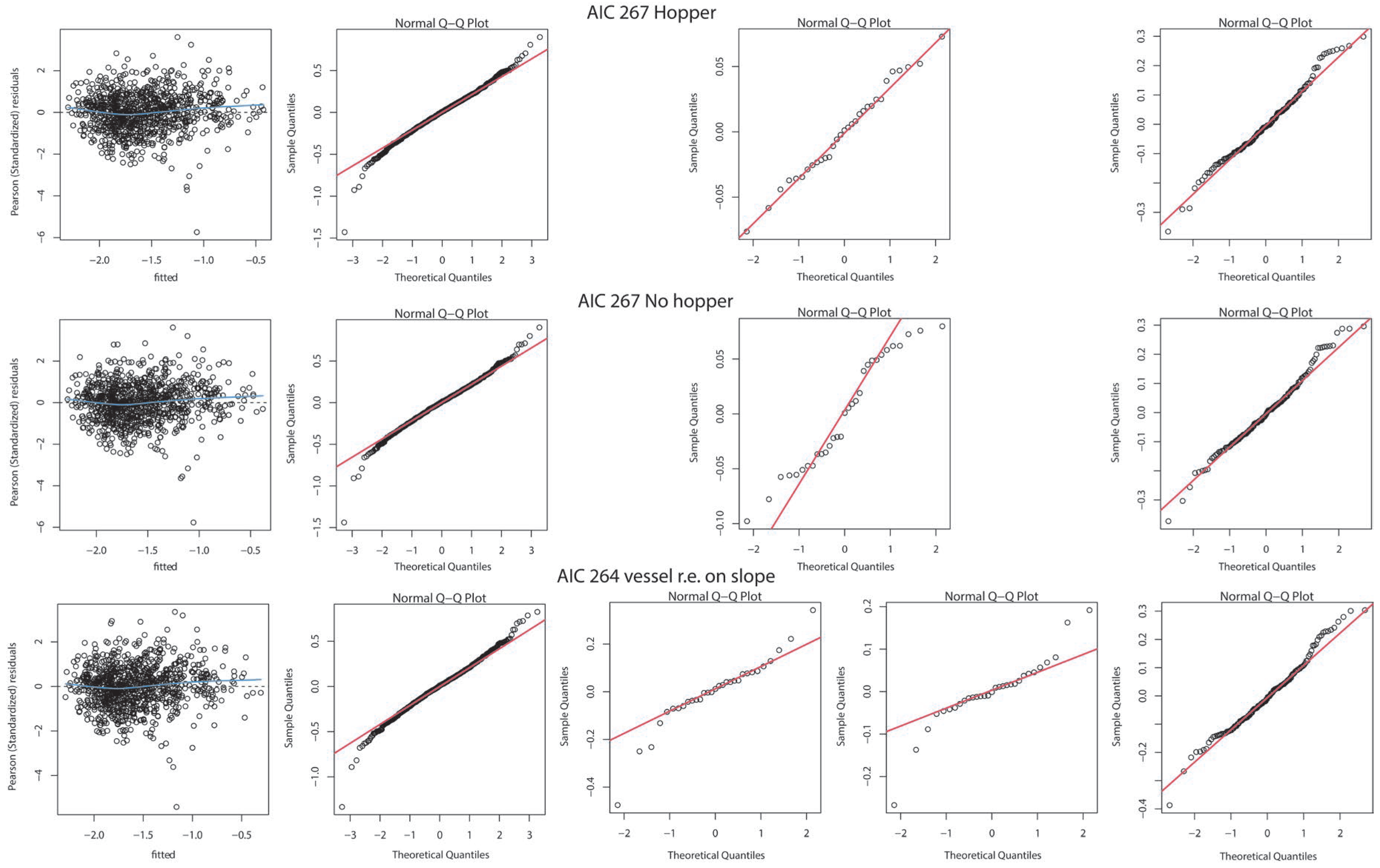
The largest reduction in the AIC, relative to the model with only vessel and trip random effects, was due to the OBS species proportion for all three species (Table 5), consistent with the overall species relationships (Figure 3). Among the other covariates included in the analysis (Table 1), only two led to models with lower AIC values. For BET, the presence/absence of a hopper and the unloading year resulted in the model with the lowest AIC (AIC = 458). There were two models that were within four AIC units of this model, and they included only a year effect on the intercept (AIC = 461) or a hopper effect on both the intercept and OBS slope (AIC = 462). For YFT, the model with the lowest AIC (AIC = 264) included a vessel effect on the OBS slope. There were three models within four AIC units of this model, none of which included a vessel effect on the OBS slope. One model included only the OBS slope (AIC = 267); the other two models included a hopper effect on the intercept (AIC = 268) and on the OBS slope (AIC = 267). For SKJ, the model with the lowest AIC value (AIC = −2613) included a vessel effect on the OBS slope. The model with the next lowest AIC (AIC = −2607) did not include the vessel effect on the OBS slope. Models with an interaction term between year and other covariates did not lead to lower AIC values for any of the three species.
At the population level, there was a general tendency for the OBS proportions of BET and YFT in the well to be less than the model-estimated proportions, with the opposite occurring for SKJ (Figure 6, Table 6, Table 7 and Table 8). However, these tendencies varied with the other covariates in the model and whether the fitted lines were on the Box–Cox or [0, 1] scale. On the Box–Cox scale, the estimated OBS slopes were less than 1 for all three species; however, the estimated overall intercepts were not zero, particularly for BET and YFT (Table 6, Table 7 and Table 8), leading to rotation of the fitted lines relative to the one-to-one line. The hopper effect on the OBS slopes for BET and YFT increased the slope to be closer to 1, with the greatest effect being for BET. On the Box–Cox scale, the added contribution to the OBS slope for BET was 0.21, increasing it from 0.75 to 0.96, and for YFT, the added contribution was 0.13, increasing the slope from 0.69 to 0.82 (Table 6 and Table 7). That said, for YFT on the [0, 1] scale, the hopper effect on the EMP–OBS relationship was small. For BET, the estimated year effect on the overall intercept (Table 6) resulted in increased differences in 2024, relative to 2023 (Figure 6). The fitted relationships on the [0, 1] scale for all three species showed some nonlinearity as a result of back-transformation.
The Monte Carlo cross-validation indicated a 15% decrease in the mean squared error when the predicted proportion of BET in a well included the vessel effect, as compared to the population-level prediction, a 6% decrease for YFT, and an 8% decrease for SKJ. Estimated vessel random effects (BLUPs, Figure 7) will modify the population-level curves (Figure 6), particularly for BET, which had the greatest range of estimated vessel effects (Figure 7; also compare confidence intervals on the standard deviations of the vessel random-effect distributions, Table 6, Table 7 and Table 8).
Although the Box–Cox transformation greatly improved the distribution of the data with respect to the Gaussian assumptions of the models, diagnostic plots still showed some departure, the extent of which varied by species (Figure 8, Figure 9 and Figure 10). The model residuals, for those models with the lowest AIC values (Table 5), were approximately normally distributed for BET but somewhat heavy-tailed for YFT and SKJ. The vessel random effects for the YFT and SKJ models that included a vessel effect on the OBS slope showed more departure from the Gaussian assumption than the vessel random effects in the model that did not have a vessel effect on the OBS slope (Figure 9 and Figure 10). The vessel random effects for the BET model that included hopper showed some departure from the Gaussian assumption at small quantile values, while the model with only the covariate year showed some departure at large quantile values (Figure 8). In addition, the within-group error was of similar magnitude for both BET and YFT (Table 6 and Table 7), but considerably smaller for SKJ (Table 8).
Frequency distributions of the coefficients from the sensitivity analysis (Figure 11), which was run for the lowest-AIC BET model because it had the most complex fixed-effects component (Table 5), indicate that the ranges of values for each of the estimated coefficients from the reduced data sets (48 trips of 24 vessels, instead of 127 trips of 29 vessels) were consistent with the estimated coefficients obtained for the full data set. That is, on the Box–Cox scale, the overall intercept was generally negative, the OBS slope generally less than 1 but greater than 0.6, the hopper effect generally positive, and the year effect generally negative.

4. Discussion

In this study, mixed-effects models were fitted to paired port-sampling and observer well-level estimates of species composition as part of the development of a model-based approach for bias-adjusting observers’ species composition estimates for unsampled wells. Overall, it was found that there was a general tendency for the OBS proportions of BET and YFT in the well to be greater than the model-estimated proportions, with the opposite occurring for SKJ. However, these tendencies were sometimes modified by vessel effects. Model complexity, as regards covariate effects other than vessel and trip, was greatest for BET, the species associated with additional management measures during the study period, and least complex for SKJ, the species least likely to be misidentified as BET [35]. The only two covariates significantly affecting the port-sampling–observer well-level relationships for BET, beyond vessel and trip effects, were presence/absence of a hopper and year. The overall effect of a hopper (intercept and slope effects combined) would be consistent with the use of the hopper by the vessel crew providing the observer with better visibility of catch composition, which led to more similar OBS proportions and model-estimated proportions of BET. The year effect on the overall intercept rotated the fitted relationship to yield a greater difference between OBS proportions and model-estimated proportions of BET in 2024, as compared to 2023, which may be related to evolving dynamics in response to the new management measures, as discussed below. Because the data used in this study were collected from a subset of the EPO purse-seine fleet, repeating this study with data collected for the entire fleet would provide useful information on the extent to which the port-sampling–observer relationship might differ by fleet component. The new port-sampling protocol proposed for the EPO purse-seine fishery [9] would produce port-sampling data appropriate for such a study.
It is useful to consider aspects of the purse-seine fleet, beyond the EMP data set, to try to interpret the significant year effect of the lowest-AIC BET model. The fleet-level estimate of BET catch for 2024 was about 20% lower than the 2023 estimate, and both the 2023 and 2024 estimates were the lowest since the IATTC adopted a new port-sampling protocol for fleet-level catch estimation in 2000 [14,36]. Extra effort on the part of the purse-seine fleet to reduce BET catches in response to the IVT and the EMP, as opposed to a change in BET abundance, has been credited with the decrease in BET catches in 2023 and 2024 [37]. From fitting the lowest-AIC BET model to each year’s data separately (without the year effect), it can be seen that fitted relationships for the pooled data set are similar, except for the no-hopper intercept (compare the AIC = 458 model coefficients in Table 6 to those in Table 9). The slope of the EMP-OBS relationship, and the hopper effect on that slope, were similar for 2023, 2024, and the pooled data. In addition, the intercept when a hopper was present is also similar for the two years, about −0.17 (= −0.2615 + 0.0902) in 2023 and about −0.15 (= −0.5585 + 0.4115) in 2024 (Table 9). On the other hand, the intercept when a hopper was not present, for 2024, was considerably more negative than that for 2023 (Table 9), −0.56 versus −0.26 on the Box–Cox scale (t-test p-value = 0.052), Thus, while the actual mechanism behind this result is not presently clear, it could reflect evolving dynamics of the fleet and observers as the fishery adapts to the IVT and EMP. Regardless of the underlying mechanism, a significant year effect (Table 6) has implications for future data collection (see below). We note that the significant year effect is unlikely to be due to a sampling artifact because the EMP sampling protocol and the EMP sampling technicians remained the same during 2023 and 2024, and many of the EMP sampling technicians that began sampling in March 2023 were already experienced because they were part of the EMP pilot study from September 2022 to February 2023.
Regarding future development of this modeling approach, there are several ways in which the mixed-effects models presented might be improved, beyond expanding data collection to a broader section of the purse-seine fleet. First, several of the covariates used in this study were vessel-level or trip-level, yet with more information, they could be revised to be well-level covariates. For example, if hopper use were recorded on a set-by-set basis, then a summary of hopper use related to each well could be computed, such as the proportion of the catch in the well that was from sets for which the hopper was used. This would not only provide hopper-use information on a better scale, matching the well-level scale of the response variable, but it would also reduce any potential for confounding with the vessel effect. The catch area and the trimester, which although not significant in these models, possibly as a result of the paired nature of the data, might similarly be revised using observer data to, for example, the centroid of positions of sets in the well and the month associated with the majority of the catch in the well. Moreover, other operational covariates might be considered to determine if they improved prediction for wells of unsampled vessels.
Second, in this study, incorporating an observer random effect was problematic because of the imbalance of the data with respect to observers. The OBS data were collected by 99 observers, of whom 57 were represented by one trip and an additional 31 observers by two trips. The trip effect used in the mixed-effects model, therefore, likely captured any differences among observers related to their skill at species catch estimation. Developing covariates that capture observer experience and skill, beyond days at sea, and that do not require balanced data, would clearly be beneficial. Such covariates might include, for example, measures of an observer’s ‘exposure’ to different catch loading practices and gear, such as brailer capacity and construction, brailing speed, and hopper use. It is noted that differences among field technicians in their tendencies to underestimate/overestimate quantitative information have been demonstrated in other data collection settings, such as among marine mammal technicians participating in abundance surveys [38].
Finally, future research might address some of the challenges related to fitting models to weight-based proportion data. In this analysis, the use of data transformation, necessary to meet the Gaussian assumption of the mixed-effects models, led to some nonlinearity on back-transformation. Because the weight-based proportion data do not conform to the distributional assumptions of generalized linear models for Bernoulli and binomial observations (e.g., ref. [39]), such techniques were not used. Using generalized linear models would have been advantageous because the distributional aspects are handled separately from the modeled relationship between the response variable and covariates. In principle, OBS proportion data based on numbers of fish could be obtained. However, in tropical tuna purse-seine fisheries, catch quantities are generally recorded in terms of weight, not numbers. The weight of tunas recorded by observers or in logbooks could be converted to numbers of fish by species, but this requires length–weight data for all three species and would introduce error due to the conversion.
Results from the species models suggest several aspects worth consideration when designing a port-sampling protocol to collect data for estimation of bias adjustments. First, the importance of the vessel effects for prediction of well-level species composition, particularly for BET, suggests that the sampling protocol should generate data appropriate for estimation of vessel effects. This would suggest sampling a minimum of two trips per vessel (assuming observers are not frequently placed on the same vessel) and three wells per trip of as many vessels as is logistically feasible to be able to estimate vessel effects independent of trip and observer effects. The optimal sample sizes would be best determined using a simulation, which was beyond the scope of this paper. In addition, for all vessels, obtaining operational characteristics that may affect the observer’s ability to clearly view the catch composition would also be important. Second, the importance of the year effect in the lowest-AIC BET model suggests that, rather than assume bias adjustments are temporally invariant, a prudent approach to data collection would be to collect data annually so that bias adjustments can evolve over time, if necessary, with changes in management measures. An analysis of EMP pilot study data [18] found trends in the proportion of BET in the catch during unloading of individual OBJ-set wells, and as a result, obtaining a sample of the entire well catch (as was performed by the EMP, e.g., Figure 1), as opposed to a sample from only a section of the well, was important for reducing variance and bias on the estimated well-level proportion of BET from sample data. Increased variance and bias on the sample estimates would likely lead to increased prediction error on the estimates of species composition for unsampled wells.
The port-sampling–observer mixed-effects models for estimating species proportions of unsampled wells can be viewed as one of two components for estimating fleet-level species catch for the fisheries defined in stock assessments. For fisheries with adequate sample data, a design-based approach could be used for species catch estimation, while for those fisheries with little or no sample data, the mixed-effects species models could be used to estimate the species composition of unsampled wells. This is the general approach adopted for species catch estimation for the purse-seine fleets in the WCPO, although that modeling used environmental and operational covariates to predict set-level catch composition [5]. Given that our port-sampling data came from a specific subset of the large-vessel purse-seine fleet, we do not present a worked example of the model-based component but rather provide a conceptual outline of the steps that would be involved.
(1)
Predict species proportions, p ^ s p , for unsampled wells
  • Wells with OBS > 0: develop models, such as those presented in this paper, with OBS species proportions as a covariate, as well as operational covariates that affect the observer’s view of the catch loading process. Spatial, temporal, and operational covariates related to the fishing process could be included to evaluate whether the port-sampling–observer relationship varies in space and/or time or by gear (e.g., set type), which is an important part of evaluating how well the fitted model may generalize to other fleet components. If there are many zero-valued port-sampling proportions, a mixture model, such as a hurdle model [39], might be appropriate.
  • Wells with OBS = 0: develop spatial–temporal models, which may include additional/different covariates than those used in (i). In the case of zero-valued port-sampling proportions, a hurdle model or other type of mixture model might be appropriate.
The data for BET were used to illustrate a simple two-part hurdle model, using covariates shown in Table 1 that are related to operational aspects of the fishing process. The presence/absence of any amount of BET in the well was modeled with a logistic regression with logit link function [39]; from Table 3, there were 67 absences (zeros) and 143 presences (ones). For the EMP BET proportions greater than zero, those proportion values were Box–Cox transformed and modeled with a linear regression model, assuming a Gaussian distribution. Because the data set is relatively small (210 wells), with more than half the trips only represented by one or two wells, only main effects were fitted, without nested random effects for trips within vessels. The importance of area in the logistic component of the hurdle model (Table 10) is consistent with large-scale spatial patterns in BET habitat preferences and catches in the EPO [11,24], suggesting that with a larger data set, spatial–temporal models might yield more accurate predicted species composition than just using the overall mean.
When modeling transformed data, the predicted species proportions would need to be back-transformed using a bias correction. In the case of a hurdle model, the estimated species proportion on the [0, 1] scale would be the product of the estimated probability of presence of the species from the logistic component and the back-transformed, bias-corrected estimate of the species proportion from the positive component.
(2)
Normalize well-level predicted species proportions
If separate models are fitted for each species, the estimated species proportions would need to be rescaled (normalized) to sum to 1 (by well) over the three species of tropical tunas before estimating species catch. That is, for well k, the normalized species proportion, p ^ s p _ k _ n o r m , could be computed as follows:
p ^ s p _ k _ n o r m =   p ^ s p _ k   s p p ^ s p _ k    
Differences in model covariates and within-group error, by species, could complicate fitting a single model to the data of all three species, and thus fitting separate models to each species might be preferred in some cases.
(3)
Estimate species catch
The estimated catch of a species in an unsampled well would be the product of the normalized species proportion for the well and the total well weight of tropical tunas. The estimate of the species catch for unsampled wells of a fishery defined by the stock assessment would be the sum of those well-level estimates. If the port-sampling–observer relationship differs by purse-seine set type, then species estimates for a well with catch from multiple set types would need to be obtained as the sum of estimates for each set type, using the observer estimates of the tropical tuna catch amount that was loaded into the well from each set.
(4)
Compute variance on the estimated species catch
Because the fleet-level estimate for unsampled wells would be based on the sum of back-transformed species proportions multiplied by their respective well catches, variance could be obtained using a simulation with the estimated model parameters and their corresponding variance–covariance information. Such a posterior simulation approach is discussed in [40]. As suggested by a reviewer, uncertainty associated with the data transformation could be incorporated into the variance estimation procedure.
The modeling approach presented in this paper could potentially be expanded to leverage spatio-temporal correlations and other operational covariate information for predicting the species composition, as has been done using integrated analysis in other applications (e.g., [41]). Our approach predicts the species composition based solely on the observer species proportions and the estimated bias in that relationship, relative to the true proportion (as represented by the port-sampling species proportions). If the well-level species composition could be accurately predicted using an integrated analysis approach, this may improve the estimates when the observer data are particularly variable (i.e., the bias is variable and unpredictable) and for wells of unsampled vessels; with the approach presented in this paper, estimates for wells of unsampled vessels would be based on the population-level predictions. Formulation of such a model might have three components. There would be an assumed model for the true species proportion, p_true = f(environmental, spatiotemporal, operational covariates) + error_true, with separate models for observer and port-sampling data: p_observer = g(p_true) + error_observer; and p_port-sampling = h(p_true) + error_port-sampling. The function g would be formulated to address bias in the observer estimates, and modeling error_observer > error_port-sampling would upweight the port-sampling data to reflect its assumed greater accuracy for species composition. Such a model would be able to fit all observer data, not just the observer data of wells sampled by a port-sampling program.

Author Contributions

Conceptualization, A.A.-d.-S., C.D.L.C., C.E.L.-C., D.W.F., E.A.N., L.C. and M.N.M.; methodology, C.E.L.-C., M.M. and M.N.M.; software, C.E.L.-C.; validation: C.E.L.-C.; formal analysis, C.E.L.-C.; investigation, C.D.L.C. and L.C.; resources: A.A.-d.-S., C.D.L.C. and L.C.; data curation, C.D.L.C. and L.C.; writing—original draft preparation, C.D.L.C., C.E.L.-C., D.W.F. and M.N.M.; writing—review and editing, C.D.L.C., C.E.L.-C., D.W.F., E.A.N., M.M. and M.N.M.; visualization, C.E.L.-C.; supervision, A.A.-d.-S., C.D.L.C., L.C. and M.N.M.; project administration, C.D.L.C., C.E.L.-C. and L.C.; funding acquisition, A.A.-d.-S. and C.D.L.C.. All authors have read and agreed to the published version of the manuscript.

Funding

This research received no external funding.

Institutional Review Board Statement

Our port-sampling data were generated by measuring the size of frozen tunas in the catch of fishing vessels when they returned to port. Our observer data did not involve any contact with animals. The observer merely recorded data on the fishing activities conducted by the fishing vessel, which he observed, by eye, without any involvement in the fishing activities. Given that our research did not involve any experiments with animals, ethical approval is not needed.

Data Availability Statement

The fishery data used in this study are property of the member countries of the IATTC and subject to the Commission’s rules on data confidentiality.

Acknowledgments

The authors extend a special thank you to Jennifer Aguilar, Grace Álvarez, Iván Borbor, Carlos Bravo, Jairon Cabrera, Grecia Cedeño, David Crespo, Pablo Delgado, Jonathan Gaibor, Juan Galarza, José Guillén, Richard Lindao, Javier Mejía, James Méndez, Diego Montehermoso, Andrea Montenegro, Marcos Muñoz, Luis Ortiz, Darío Quimi, Shanelka Quiñonez, Alex Santana, Diego Ureta, Wellington Vásquez, Víctor Vinces, Ledin Vizueta, Robinson Zambrano, Tommy Zamora, and Alisson Zúñiga for their dedication to collection of high-quality port-sampling data; Jessenia Gilces for data review and data entry; to Nickolas W. Vogel for data base assistance; and to the industry and national authorities for their support and collaboration. The authors also thank two anonymous reviewers for comments and suggestions that improved this paper.

Conflicts of Interest

The authors declare no conflicts of interest.

References

  1. Duparc, A.; Depetris, M.; Cauquil, P.; Floch, L.; Lebranchu, J. Improved version of the Tropical Tuna Treatment process: New perspectives for catch estimates of tropical purse seine fishery. In Proceedings of the 22nd Session of the IOTC Working Party on Tropical Tunas (WPTT22): Stock Assessment Meeting, Online, 19–23 October 2020. [Google Scholar]
  2. Lawson, T.A. Estimation of the species composition of the catch by purse seiners in the Western and Central Pacific Ocean using grab samples and spill samples collect by observers. In Proceedings of the Western and Central Pacific Fisheries Commission, Scientific Committee Eighth Regular Session, Busan, Republic of Korea, 7–15 August 2012. [Google Scholar]
  3. Suter, J.M. An Evaluation of the Area Stratification Used for Sampling Tunas in the Eastern Pacific Ocean and Implications for Estimating Total Annual Catches; Special Report 18; Inter-American Tropical Tuna Commission: La Jolla, CA, USA, 2010. [Google Scholar]
  4. Peatman, T.; Fukofuka, S.; Park, T.; Williams, P.; Hampton, J.; Smith, N. Better purse seine catch composition estimates: Progress on the Project 60 work plan. In Proceedings of the Western and Central Pacific Fisheries Commission, Scientific Committee Fifteenth Regular Session, Pohnpei, Micronesia, 12–20 August 2019. [Google Scholar]
  5. Peatman, T.; Williams, P.; Nicol, S. Project 60: Progress towards achieving SC17 recommendations. In Proceedings of the Western and Central Pacific Fisheries Commission, Scientific Committee Eighteenth Regular Session, Online, 10–18 August 2022. [Google Scholar]
  6. Schaefer, K.M. Comparative Study of Some Morphological Features of Yellowfin (Thunnus albacares) and Bigeye (Thunnus obesus) Tunas; Inter-American Tropical Tuna Commission: La Jolla, CA, USA, 1999; Volume 21, pp. 491–525. [Google Scholar]
  7. Tomlinson, P.K. Progress on Sampling the Eastern Pacific Ocean Tuna Catch for Species Composition and Length-Frequency Distributions; Inter-American Tropical Tuna Commission: La Jolla, CA, USA, 2002; Volume 2, pp. 339–356. [Google Scholar]
  8. Tomlinson, P.K. Sampling the Tuna Catch of the Eastern Pacific Ocean for Species Composition and Length-Frequency Distributions; Inter-American Tropical Tuna Commission: La Jolla, CA, USA, 2004; Volume 4, pp. 311–324. [Google Scholar]
  9. Anonymous. Proposal: Integrated Port-Sampling Program for Data Collection for Scientific Research in Support of Fisheries Management of the Tropical Tuna Fishery in the Eastern Pacific Ocean; Document SAC-16-05; Inter-American Tropical Tuna Commission: La Jolla, CA, USA, 2025. [Google Scholar]
  10. Bi, R.; Maunder, M.N.; Xu, H.; Minte-Vera, C.; Valero, J.; Aires-da-Silva, A. Stock Assessment of Skipjack Tuna in the Eastern Pacific Ocean: 2024 Benchmark Assessment; Document SAC-15-04 REV; Inter-American Tropical Tuna Commission: La Jolla, CA, USA, 2024. [Google Scholar]
  11. Xu, H.; Maunder, M.N.; Minte-Vera, C.; Valero, J.L.; Lennert-Cody, C. Stock Assessment of Bigeye Tuna in the Eastern Pacific Ocean: 2024 Benchmark Assessment; Document SAC-15-02; Inter-American Tropical Tuna Commission: La Jolla, CA, USA, 2024. [Google Scholar]
  12. Minte-Vera, C.; Maunder, M.N.; Xu, H.; Bi, R. Stock Assessment of Yellowfin Tuna in the Eastern Pacific Ocean: 2025 Benchmark Assessment; Document SAC-16-03; nter-American Tropical Tuna Commission: La Jolla, CA, USA, 2025. [Google Scholar]
  13. Anonymous. Conservation Measures for Tropical Tunas in the Eastern Pacific Ocean During 2022–2024; Resolution C-21-04; Inter-American Tropical Tuna Commission: La Jolla, CA, USA, 2021. [Google Scholar]
  14. Anonymous. The Tuna Fishery in the Eastern Pacific Ocean in 2024; Document SAC-16-01; Inter-American Tropical Tuna Commission: La Jolla, CA, USA, 2025. [Google Scholar]
  15. De La Cadena, C.; Chompoy, L.; Lennert-Cody, C.E.; Wiley, B.A.; Altamirano Nieto, A.; Pulvenis, J.-F.; Vogel, N.W.; Aires-da-Silva, A. Enhanced Monitoring Program for Bigeye Tuna Catches: Logistical Aspects of Data Collection; Document SAC-14 INF-I; Inter-American Tropical Tuna Commission: La Jolla, CA, USA, 2023. [Google Scholar]
  16. De La Cadena, C.; Lennert-Cody, C.E.; Fuller, D.W.; Garner, G.H.; Chompoy, L.; Aires-da-Silva, A. Enhanced Monitoring Program: 2024 Report; Document SAC-16 INF-H; Inter-American Tropical Tuna Commission: La Jolla, CA, USA, 2025. [Google Scholar]
  17. Lennert-Cody, C.E.; De La Cadena, C.; Chompoy, L.; Altamirano Nieto, E.; Vogel, N.W.; Wiley, B.A.; Maunder, M.N.; Aires-da-Silva, A. Enhanced Monitoring Program for Bigeye Tuna Catches: Preliminary Results of Pilot Study and Workplan for 2023; Document SAC-14-10; Inter-American Tropical Tuna Commission: La Jolla, CA, USA, 2023. [Google Scholar]
  18. Lennert-Cody, C.E.; De La Cadena, C.; McCracken, M.; Chompoy, L.; Vogel, N.W.; Maunder, M.N.; Wiley, B.A.; Altamirano Nieto, E.; Aires-da-Silva, A. Within-well patterns in bigeye tuna catch composition and implications for purse-seine port-sampling and catch estimation in the Eastern Pacific Ocean. Fish. Res. 2024, 277, 107079. [Google Scholar] [CrossRef]
  19. Chatwin, B.M. The Relationships Between Length and Weight of Yellowfin Tuna (Neothunnus macropterus) and Skipjack Tuna (Katsuwonus pelamis) for the Eastern Tropical Pacific Ocean; Inter-American Tropical Tuna Commission: La Jolla, CA, USA, 1959; Volume 3, pp. 305–352. [Google Scholar]
  20. Hennemuth, R.C. Additional Information on the Length-Weight Relationship of Skipjack Tuna from the Eastern Tropical Pacific Ocean; Inter-American Tropical Tuna Commission: La Jolla, CA, USA, 1959; Volume 4, pp. 23–37. [Google Scholar]
  21. Nakamura, E.L.; Uchiyama, H.H. Length-weight relations of Pacific tunas. In Proceedings of the Governor’s Conference on Central Pacific Fishery Resources, Honolulu-Hilo, Honolulu-Hilo, HI, USA, 28 February–12 March 1966; pp. 197–201. [Google Scholar]
  22. Bayliff, W.H. Organization, Functions, and Achievements of the Inter-American Tropical Tuna Commission; Inter-American Tropical Tuna Commission; Special Report: 13; La Jolla, CA, USA, 2001. [Google Scholar]
  23. Pinheiro, J.C.; Bates, D.M. Mixed-Effects Models in S and S-PLUS; Springer: New York, NY, USA, 2004; 528p. [Google Scholar]
  24. Lopez, J.; Lennert-Cody, C.E.; Maunder, M.N.; Xu, H.; Brodie, S.; Jacox, M.; Hartog, J. Developing Alternative Conservation Measures for Bigeye Tuna in the Eastern Pacific Ocean: A Dynamic Ocean Management Approach; Document SAC-10 INF-D; Inter-American Tropical Tuna Commission: La Jolla, CA, USA, 2019. [Google Scholar]
  25. Akaike, H. A new look at the statistical model identification. Autom. Control IEEE Trans. 1974, 19, 716–723. [Google Scholar] [CrossRef]
  26. Pinheiro, J.C.; Bates, D.M. Unconstrained parametrizations for variance-covariance matrices. Stat. Comput. 1996, 6, 289–296. [Google Scholar] [CrossRef]
  27. Pinheiro, J.; Bates, D.; R Core Team. nlme: Linear and Nonlinear Mixed Effects Models. R Package Version 3.1-165. 2024. Available online: https://CRAN.R-project.org/package=nlme (accessed on 15 September 2025).
  28. R Core Team. R: A Language and Environment for Statistical Computing; R Foundation for Statistical Computing: Vienna, Austria, 2024; Available online: https://www.R-project.org/ (accessed on 15 September 2025).
  29. Box, E.P.; Cox, D.R. An analysis of transformations. J. R. Stat. Soc. Ser. B. 1964, 26, 211–252. [Google Scholar] [CrossRef]
  30. Sakia, R.M. The Box-Cox transformation technique: A review. Am Stat. 1992, 41, 169–178. [Google Scholar] [CrossRef]
  31. Ribeiro, P.J., Jr.; Diggle, P.; Christensen, O.; Schlather, M.; Bivand, R.; Ripley, B. geoR: Analysis of Geostatistical Data. R Package Version 1.9-4. 2024. Available online: https://CRAN.R-project.org/package=geoR (accessed on 15 September 2025).
  32. Egozcue, J.J.; Pawlowsky-Glahn, V.; Mateu-Figueras, G.; Barceló-Vidal, C. Isometric log ratio transformations for compositional data analysis. Math. Geol. 2003, 35, 279–300. [Google Scholar] [CrossRef]
  33. Hyndman, R.J.; Athanasopoulos, G. Section 2.7—Box-Cox Transformations. In Forecasting: Principles and Practice, 2nd ed.; OTexts: Melbourne, Australia, 2018. [Google Scholar]
  34. Simon, R. Resampling strategies for model assessment and selection. In Fundamentals of Data Mining in Geonomics and Proteomics; Dubitzky, W., Granzow, M., Berrar, D., Eds.; Springer: Berlin/Heidelberg, Germany, 2007; pp. 173–186. [Google Scholar]
  35. Collette, B.B.; Nauen, C.E. FAO Species Catalogue, 1983, Vol. 2. Scombrids of the World. An Annotated and Illustrated Catalogue of Tunas, Mackerels, Bonitos and Related Species Known to Date; FAO: Rome, Italy.
  36. Anonymous. Tunas, Billfishes and Other Pelagic Species in the Eastern Pacific Ocean in 2015; Fishery Status Report 14; Inter-American Tropical Tuna Commission: La Jolla, CA, USA, 2016. [Google Scholar]
  37. Ovando, D.; Aires-da-Silva, A.; Crear, D.; De La Cadena, C.; Fuller, D.; Lennert-Cody, C.; Lopez, J.; Maunder, M.; Minte-Vera, C.; Xu, H. The Effects of the Individual Threshold Program on Tropical Tuna Catches and Fleet Behavior: A 2024 Update; Document SAC-16 INF-S; Inter-American Tropical Tuna Commission: La Jolla, CA, USA, 2025. [Google Scholar]
  38. Gerrodette, T.; Perryman, W.L.; Oedekoven, C.S. Accuracy and precision of dolphin group size estimates. Mar. Mamm. Sci. 2019, 35, 22–39. [Google Scholar] [CrossRef]
  39. Zuur, A.F.; Ieno, E.N.; Walker, N.J.; Saveliev, A.A.; Smith, G.M. Mixed Effects Models and Extensions in Ecology with R; Springer: Berlin/Heidelberg, Germany, 2009; 574p. [Google Scholar]
  40. Wood, S.N. Generalized Additive Models: An Introduction with R, 2nd ed.; CRC Press: Boca Raton, FL, USA, 2017; 476p. [Google Scholar]
  41. Schaub, M.; Maunder, M.N.; Kéry, M.; Thorson, J.T.; Jacobson, E.K.; Punt, A.E. Lessons learned by comparing integrated fisheries stock assessment models (SAMs) with integrated population models (IPMs). Fish. Res. 2024, 272, 106925. [Google Scholar] [CrossRef]
Figure 1. An example of the EMP sample data collected from a single well. The well contained catch from two OBJ sets. Each triplet of open circles, in the vertical, corresponds to the species proportions for the three tropical tuna species for an individual container of fish. BET: red; YFT: green; SKJ: blue.
Figure 1. An example of the EMP sample data collected from a single well. The well contained catch from two OBJ sets. Each triplet of open circles, in the vertical, corresponds to the species proportions for the three tropical tuna species for an individual container of fish. BET: red; YFT: green; SKJ: blue.
Fishes 10 00494 g001
Figure 2. (a) Two examples of containers used by unloading companies to unload catch from the vessel’s wells; (b) a double-mesh brailer filled with fish; and (c) a hopper on the main deck of a vessel.
Figure 2. (a) Two examples of containers used by unloading companies to unload catch from the vessel’s wells; (b) a double-mesh brailer filled with fish; and (c) a hopper on the main deck of a vessel.
Fishes 10 00494 g002
Figure 3. Paired estimates (EMP and OBS) of the proportion of BET (upper left), YFT (upper right), and SKJ (lower left) in each well for all vessels, 2023–2024. Each open circle is an individual well. The dashed red line is the one-to-one line.
Figure 3. Paired estimates (EMP and OBS) of the proportion of BET (upper left), YFT (upper right), and SKJ (lower left) in each well for all vessels, 2023–2024. Each open circle is an individual well. The dashed red line is the one-to-one line.
Fishes 10 00494 g003
Figure 4. Plots of the paired estimates of the proportion of BET in the well, for three example vessels, Vessels A, B, and C. Each open circle is a well. The red dashed line is the one-to-one line.
Figure 4. Plots of the paired estimates of the proportion of BET in the well, for three example vessels, Vessels A, B, and C. Each open circle is a well. The red dashed line is the one-to-one line.
Fishes 10 00494 g004
Figure 5. Trip-level plots of the paired estimates of the proportion of BET in the well, for Vessel C shown in Figure 4. The range of both the x-axes and y-axes is the same for all panels, from 0 to 1. The red dashed lines are the one-to-one lines. Each open circle is an individual well; each panel shows the data for one trip. Panels are arranged by date of unloading; the year of unloading is shown in the upper left corner.
Figure 5. Trip-level plots of the paired estimates of the proportion of BET in the well, for Vessel C shown in Figure 4. The range of both the x-axes and y-axes is the same for all panels, from 0 to 1. The red dashed lines are the one-to-one lines. Each open circle is an individual well; each panel shows the data for one trip. Panels are arranged by date of unloading; the year of unloading is shown in the upper left corner.
Fishes 10 00494 g005
Figure 6. Fitted population-level relationships (colored lines) for BET (blue and magenta), YFT (red), and SKJ (green) for the models shown with a ‘ⴕ’ in Table 5 on (a) the Box–Cox scale and (b) the [0, 1] scale. The dashed gray lines are the one-to-one lines. The open gray circles show the individual wells.
Figure 6. Fitted population-level relationships (colored lines) for BET (blue and magenta), YFT (red), and SKJ (green) for the models shown with a ‘ⴕ’ in Table 5 on (a) the Box–Cox scale and (b) the [0, 1] scale. The dashed gray lines are the one-to-one lines. The open gray circles show the individual wells.
Fishes 10 00494 g006
Figure 7. Estimated random effects (BLUPs) for each vessel for the BET, YFT, and SKJ mixed-effects models shown with a ‘ⴕ’ in Table 5. To allow a comparison of the relationship between EMP and OBS proportions of BET for each of the three vessels shown in Figure 4 to their vessel-specific BLUPs, the BLUPs for vessels ‘A’, ‘B’, and ‘C’ are identified here on the y-axis for the BET model, as well as for the other two species models.
Figure 7. Estimated random effects (BLUPs) for each vessel for the BET, YFT, and SKJ mixed-effects models shown with a ‘ⴕ’ in Table 5. To allow a comparison of the relationship between EMP and OBS proportions of BET for each of the three vessels shown in Figure 4 to their vessel-specific BLUPs, the BLUPs for vessels ‘A’, ‘B’, and ‘C’ are identified here on the y-axis for the BET model, as well as for the other two species models.
Fishes 10 00494 g007
Figure 8. Diagnostic plots for mixed-effects models for BET with an AIC of 458 and 461 (Table 5). From left to right, for each row of figures: standardized Pearson residuals versus fitted values; quantile–quantile plot of the residuals; quantile–quantile plot of the vessel random effects; and quantile–quantile plot of the trip random effects. “r.e.”: random effects; “Q-Q”: quantile–quantile. The blue line in the upper left panel is loess smooth (span = 0.75, degree = 1). To aid with visualization of departures from normality, the red lines indicate a theoretical normal quantile–quantile relationship (passing through the first and third quartiles of the data).
Figure 8. Diagnostic plots for mixed-effects models for BET with an AIC of 458 and 461 (Table 5). From left to right, for each row of figures: standardized Pearson residuals versus fitted values; quantile–quantile plot of the residuals; quantile–quantile plot of the vessel random effects; and quantile–quantile plot of the trip random effects. “r.e.”: random effects; “Q-Q”: quantile–quantile. The blue line in the upper left panel is loess smooth (span = 0.75, degree = 1). To aid with visualization of departures from normality, the red lines indicate a theoretical normal quantile–quantile relationship (passing through the first and third quartiles of the data).
Fishes 10 00494 g008
Figure 9. Diagnostic plots for mixed-effects models for YFT with an AIC of 267 with hopper, 267 no hopper, and 264 with a vessel effect on the OBS slope (Table 5). From left to right, for each row of figures: standardized Pearson residuals versus fitted values; quantile–quantile plot of the residuals; quantile–quantile plot of the vessel random effects; and quantile–quantile plot of the trip random effects. “r.e.”: random effects; “Q-Q”: quantile–quantile. The blue line in the upper left panel is loess smooth (span = 0.75, degree = 1). To aid with visualization of departures from normality, the red lines indicate a theoretical normal quantile–quantile relationship (passing through the first and third quartiles of the data).
Figure 9. Diagnostic plots for mixed-effects models for YFT with an AIC of 267 with hopper, 267 no hopper, and 264 with a vessel effect on the OBS slope (Table 5). From left to right, for each row of figures: standardized Pearson residuals versus fitted values; quantile–quantile plot of the residuals; quantile–quantile plot of the vessel random effects; and quantile–quantile plot of the trip random effects. “r.e.”: random effects; “Q-Q”: quantile–quantile. The blue line in the upper left panel is loess smooth (span = 0.75, degree = 1). To aid with visualization of departures from normality, the red lines indicate a theoretical normal quantile–quantile relationship (passing through the first and third quartiles of the data).
Fishes 10 00494 g009
Figure 10. Diagnostic plots for mixed-effects models for SKJ with an AIC of −2607 and −2613 (Table 5). From left to right, for each row of figures: standardized Pearson residuals versus fitted values; quantile–quantile plot of the residuals; quantile–quantile plot of the vessel random effects; and quantile–quantile plot of the trip random effects. “r.e.”: random effects; “Q-Q”: quantile–quantile. The blue line in the upper left panel is loess smooth (span = 0.75, degree = 1). To aid with visualization of departures from normality, the red lines indicate a theoretical normal quantile–quantile relationship (passing through the first and third quartiles of the data).
Figure 10. Diagnostic plots for mixed-effects models for SKJ with an AIC of −2607 and −2613 (Table 5). From left to right, for each row of figures: standardized Pearson residuals versus fitted values; quantile–quantile plot of the residuals; quantile–quantile plot of the vessel random effects; and quantile–quantile plot of the trip random effects. “r.e.”: random effects; “Q-Q”: quantile–quantile. The blue line in the upper left panel is loess smooth (span = 0.75, degree = 1). To aid with visualization of departures from normality, the red lines indicate a theoretical normal quantile–quantile relationship (passing through the first and third quartiles of the data).
Fishes 10 00494 g010
Figure 11. Sensitivity analysis results for the BET model with AIC = 458 (Table 5 and Table 6). The black curves are the frequency distribution for each coefficient (Box–Cox scale), based on 5000 simulation runs (see text for details). The red dashed lines indicated the coefficient estimate based on the full data set (Table 6).
Figure 11. Sensitivity analysis results for the BET model with AIC = 458 (Table 5 and Table 6). The black curves are the frequency distribution for each coefficient (Box–Cox scale), based on 5000 simulation runs (see text for details). The red dashed lines indicated the coefficient estimate based on the full data set (Table 6).
Fishes 10 00494 g011
Table 1. Covariates used for the fixed-effects component of the mixed-effects models.
Table 1. Covariates used for the fixed-effects component of the mixed-effects models.
VariableDescriptionLevelType
Observer sea daysCumulative number of days at sea for each observerOverall Numerical
Brailer capacityCapacity (metric tons) of the brailer used to load fish from within the purse-seine net onto the vesselVesselNumerical
Double meshPresence/absence of double mesh on the brailerVesselCategorical
HopperPresence/absence of a hopper used to sort catch on the deck prior to loading into the wellsVesselCategorical
Vessel flagCountry of vessel registryVesselCategorical
Unload trimesterTrimester unloading started: January–April (1), May–August (2), and September–December (3)TripCategorical
Unload yearCatch was unloaded during the years 2023 and 2024TripCategorical
Catch areaLocation of sets associated with the well catch (west of 110° W, 95°–110° W, and east of 95° W)WellCategorical
Table 2. Number of trips sampled per vessel.
Table 2. Number of trips sampled per vessel.
Trips per vessel1234567810121314
Number of vessels8110253111111
Table 3. Contingency table of wells (2023 and 2024 combined), according to whether the estimated proportion of BET in the well was greater than zero (EMP > 0; OBS > 0) or equal to zero (EMP = 0; OBS = 0).
Table 3. Contingency table of wells (2023 and 2024 combined), according to whether the estimated proportion of BET in the well was greater than zero (EMP > 0; OBS > 0) or equal to zero (EMP = 0; OBS = 0).
Number of WellsOBS > 0OBS = 0Total
BET
EMP > 0831143974
EMP = 0186785
Total8492101059
YFT
EMP > 0960991059
EMP = 0000
Total960991059
SKJ
EMP > 0105901059
EMP = 0000
Total105901059
Table 4. Distribution of values in the data set for categorical and discrete-valued covariates (Table 1).
Table 4. Distribution of values in the data set for categorical and discrete-valued covariates (Table 1).
Brailer capacity (t)678910
Number of vessels291542
Number of wells10382454106107
Double-mesh brailerNoYes
Number of vessels1319
Number of wells360699
HopperNoYes
Number of vessels1418
Number of wells343716
Vessel flagEcuadorEuropean UnionPanamaOther (vessels registered to Nicaragua, El Salvador, or the United States)
Number of vessels16484
Number of wells6259725483
Trimester123
Number of wells253444362
Year20232024
Number of wells505554
AreaEast of 95° W95°–110° WWest of 110° W
Number of wells60140859
Table 5. Mixed-effect models fitted to the data for which the OBS proportion of the species was greater than zero. EMP_p_spp: EMP proportion of the species in the well; OBS_p_spp: OBS proportion of the species in the well. For covariates that are factors, the AIC for the main effect and main effect with interaction are separated by a semicolon. In the model formulae, ‘*’ indicates main effect and interaction, and “~1|” indicates the random effect applies to the intercept. Nested random effects are separated by a comma. ‘ⴕ’ indicates the model for which fitted lines are shown in Figure 6 and estimated coefficients in Table 6, Table 7 and Table 8. Shown in bold are those models with lower AIC values for each species. ‘**’: to fit this interaction term for BET, the four wells with catch from east of 95° W were assigned to 95°–110° W to avoid a rank-deficient model matrix; the four wells corresponded to 2023.
Table 5. Mixed-effect models fitted to the data for which the OBS proportion of the species was greater than zero. EMP_p_spp: EMP proportion of the species in the well; OBS_p_spp: OBS proportion of the species in the well. For covariates that are factors, the AIC for the main effect and main effect with interaction are separated by a semicolon. In the model formulae, ‘*’ indicates main effect and interaction, and “~1|” indicates the random effect applies to the intercept. Nested random effects are separated by a comma. ‘ⴕ’ indicates the model for which fitted lines are shown in Figure 6 and estimated coefficients in Table 6, Table 7 and Table 8. Shown in bold are those models with lower AIC values for each species. ‘**’: to fit this interaction term for BET, the four wells with catch from east of 95° W were assigned to 95°–110° W to avoid a rank-deficient model matrix; the four wells corresponded to 2023.
ModelAIC
Box-Cox(EMP_p_spp) ~ BETYFTSKJ
~1, random = ~1|vesno, ~1|tripno1135907−1337
Box-Cox(OBS_p_spp), random = ~1|vesno, ~1|tripno467267−2607 
Box-Cox(OBS_p_ spp), random = ~Box-Cox(OBS_p_spp)|vesno, ~1|tripno465264−2613
Box-Cox(OBS_p_ spp) + observer sea days, random = ~1|vesno, ~1|tripno474276−2596
Box-Cox(OBS_p_ spp) + brailer size, random = ~1|vesno, ~1|tripno473275−2597
Box-Cox(OBS_p_ spp) + double mesh, random = ~1|vesno, ~1|tripno472; 477272; 278−2598; −2595
Box-Cox(OBS_p_ spp) + hopper, random = ~1|vesno, ~1|tripno471; 462268; 267 −2605; −2602
Box-Cox(OBS_p_ spp) + vessel flag, random = ~1|vesno, ~1|tripno485; 492287; 302−2571: −2555
Box-Cox(OBS_p_ spp) + trimester, random = ~1|vesno, ~1|tripno475; 482277: 283−2596: −2584
Box-Cox(OBS_p_ spp) + year, random = ~1|vesno, ~1|tripno461; 466273; 269−2600: −2599
Box-Cox(OBS_p_ spp) + area, random = ~1|vesno, ~1|tripno474; 478277; 270−2589; −2581
Box-Cox(OBS_p_ spp) + hopper + year, random = ~1|vesno, ~1|tripno465279−2597
Box-Cox(OBS_p_ spp) + hopper * year, random = ~1|vesno, ~1|tripno466279−2590
Box-Cox(OBS_p_ spp) * hopper + year, random = ~1|vesno, ~1|tripno458 272−2595
Box-Cox(OBS_p_ spp) * year + hopper, random = ~1|vesno, ~1|tripno470270−2597
Box-Cox(OBS_p_ spp) * hopper * year, random = ~1|vesno, ~1|tripno469273−2583
Box-Cox(OBS_p_ spp) + observer sea days * year, random = ~1|vesno, ~1|tripno505286−2581
Box-Cox(OBS_p_ spp) + brailer size * year, random = ~1|vesno, ~1|tripno473287−2581
Box-Cox(OBS_p_ spp) + double mesh * year, random = ~1|vesno, ~1|tripno471278−2585
Box-Cox(OBS_p_ spp) + vessel flag * year, random = ~1|vesno, ~1|tripno485299−2537
Box-Cox(OBS_p_ spp) + trimester * year, random = ~1|vesno, ~1|tripno476276−2582
Box-Cox(OBS_p_ spp) + area * year, random = ~1|vesno, ~1|tripno468 **290−2570
Table 6. Estimated fixed-effects coefficients, standard errors, and p-values for a test of Ho: coefficient = 0, for the two models with lowest AIC shown in Table 5 for BET. Also shown are the approximate 95% confidence interval (CI) bounds and estimates for the standard deviations (s.d.) of the vessel and trip random effects distributions and that of the within-group error. All estimated coefficients and their standard errors are on the scale of the Box–Cox transformation. The fitted lines of the model indicated with a ‘ⴕ’ symbol are shown in Figure 6.
Table 6. Estimated fixed-effects coefficients, standard errors, and p-values for a test of Ho: coefficient = 0, for the two models with lowest AIC shown in Table 5 for BET. Also shown are the approximate 95% confidence interval (CI) bounds and estimates for the standard deviations (s.d.) of the vessel and trip random effects distributions and that of the within-group error. All estimated coefficients and their standard errors are on the scale of the Box–Cox transformation. The fitted lines of the model indicated with a ‘ⴕ’ symbol are shown in Figure 6.
BET Model with AIC = 458 ⴕ
Fixed effectsEstimateStd. Errorp-value
Intercept−0.36120.096430.0002
OBS slope0.75170.05033<0.0001
Hopper extra intercept0.23420.115160.0519
Year effect (2024)−0.13580.041450.0015
Hopper extra slope 0.21100.060370.0005
Random-effect distribution s.d.Lower CIEstimateUpper CI
Vessel0.079160.133930.22660
Trip, within vessel0.156690.189670.22958
Within-group 0.262890.277030.29192
BET model with AIC = 461
Fixed effectsEstimateStd. Errorp-value
Intercept−0.18150.054440.0009
OBS slope0.89830.02778<0.0001
Year effect (2024)−0.15240.041620.0004
Random-effect distribution s.d.Lower CIEstimateUpper CI
Vessel0.069310.120220.21155
Trip, within vessel0.159800.193080.23328
Within-group 0.265020.279250.23328
Table 7. Estimated fixed-effects coefficients, standard errors, and p-values for a test of Ho: coefficient = 0, for two models with lower AIC shown in Table 5 for YFT. Also shown are the approximate 95% confidence interval (CI) bounds and estimates for the standard deviations (s.d.) of the vessel and trip random effects distributions and that of the within-group error. All estimated coefficients and their standard errors are on the scale of the Box–Cox transformation. The fitted lines of the model indicated with a ‘ⴕ’ symbol are shown in Figure 6.
Table 7. Estimated fixed-effects coefficients, standard errors, and p-values for a test of Ho: coefficient = 0, for two models with lower AIC shown in Table 5 for YFT. Also shown are the approximate 95% confidence interval (CI) bounds and estimates for the standard deviations (s.d.) of the vessel and trip random effects distributions and that of the within-group error. All estimated coefficients and their standard errors are on the scale of the Box–Cox transformation. The fitted lines of the model indicated with a ‘ⴕ’ symbol are shown in Figure 6.
YFT Model with AIC = 264
Fixed effectsValueStd. Errorp-value
Intercept−0.36990.05946<0.0001
OBS slope0.78230.03511<0.0001
Random-effect distribution s.d.Lower CIEstimateUpper CI
Vessel, intercept0.131750.220260.36823
Vessel, slope0.068710.124700.22629
Trip, within vessel0.124630.151480.18411
Within-group 0.234350.246370.25901
YFT model with AIC = 267 
Fixed effectsValueStd. Errorp-value
Intercept−0.43920.06662<0.0001
OBS slope0.69100.03939<0.0001
Hopper, extra intercept0.09630.087090.2778
Hopper, extra slope0.13490.051040.0084
Random-effect distribution s.d.Lower CIEstimateUpper CI
Vessel0.025070.063860.16269
Trip, within vessel0.123400.149930.18217
Within-group 0.237130.249050.26158
Table 8. Estimated fixed-effects coefficients, standard errors, and p-values for a test of Ho: coefficient = 0, for the two models with the lowest AIC shown in Table 5 for SKJ. Also shown are the approximate 95% confidence interval (CI) bounds and estimates for the standard deviations (s.d.) of the vessel and trip random effects distributions and that of the within-group error. All estimated coefficients and their standard errors are on the scale of the Box–Cox transformation. The fitted line of the model indicated with a ‘ⴕ’ symbol is shown in Figure 6.
Table 8. Estimated fixed-effects coefficients, standard errors, and p-values for a test of Ho: coefficient = 0, for the two models with the lowest AIC shown in Table 5 for SKJ. Also shown are the approximate 95% confidence interval (CI) bounds and estimates for the standard deviations (s.d.) of the vessel and trip random effects distributions and that of the within-group error. All estimated coefficients and their standard errors are on the scale of the Box–Cox transformation. The fitted line of the model indicated with a ‘ⴕ’ symbol is shown in Figure 6.
SKJ model with AIC = −2613
Fixed effectsValueStd. Errorp-value
Intercept−0.02250.005720.0001
OBS slope0.85720.02464<0.0001
Random-effect distribution s.d.Lower CIEstimateUpper CI
Vessel, intercept0.002050.011300.06236
Vessel, slope0.051630.092980.16745
Trip, within vessel0.033660.040180.04796
Within-group 0.058260.061080.06403
SKJ model with AIC = −2607 
Fixed effectsValueStd. Errorp-value
Intercept−0.02200.006430.0006
OBS slope0.86460.01698<0.0001
Random-effect distribution s.d.Lower CIEstimateUpper CI
Vessel0.008750.018060.03725
Trip, within vessel0.034000.040460.04819
Within-group 0.059100.061900.06482
Table 9. Estimated fixed-effect coefficients from the lowest AIC model for BET (AIC = 458, Table 5), fitted separately to each year (without the year effect). For 2023, there were 432 wells of 28 vessels and 66 trips. For 2024, there were 398 wells of 22 vessels and 61 trips. The intercept and slope coefficients shown in the first two rows for each year correspond to hopper = No. All estimated coefficients (‘Value’) and their standard errors (‘Std. Error’) are on the scale of the Box–Cox transformation.
Table 9. Estimated fixed-effect coefficients from the lowest AIC model for BET (AIC = 458, Table 5), fitted separately to each year (without the year effect). For 2023, there were 432 wells of 28 vessels and 66 trips. For 2024, there were 398 wells of 22 vessels and 61 trips. The intercept and slope coefficients shown in the first two rows for each year correspond to hopper = No. All estimated coefficients (‘Value’) and their standard errors (‘Std. Error’) are on the scale of the Box–Cox transformation.
2023ValueStd. Errorp-Value
Intercept−0.26350.121260.0304
OBS slope0.7751 0.06775<0.0001
Hopper, extra intercept0.09020.14313 0.5339
Hopper, extra slope0.17110.080360.0340
2024
Intercept−0.5585 0.13259<0.0001
OBS slope0.7604 0.07460<0.0001
Hopper, extra intercept0.4115 0.165960.0222
Hopper, extra slope0.2386 0.090600.0089
Table 10. AIC values for the two components of the hurdle model fitted for BET to the data of wells for which OBS = 0 (210 wells, Table 3). For those models with the lowest AIC value (indicated by ‘*’), the p-value for the covariate was BET presence/absence, p-value < 0.001; BET positives, p-value = 0.014.
Table 10. AIC values for the two components of the hurdle model fitted for BET to the data of wells for which OBS = 0 (210 wells, Table 3). For those models with the lowest AIC value (indicated by ‘*’), the p-value for the covariate was BET presence/absence, p-value < 0.001; BET positives, p-value = 0.014.
CovariateBET Presence/AbsenceBET Positives
Vessel257 593
Vessel flag262 584
Unload trimester268 580
Unload year265 573 *
Area229 * 581
Disclaimer/Publisher’s Note: The statements, opinions and data contained in all publications are solely those of the individual author(s) and contributor(s) and not of MDPI and/or the editor(s). MDPI and/or the editor(s) disclaim responsibility for any injury to people or property resulting from any ideas, methods, instructions or products referred to in the content.

Share and Cite

MDPI and ACS Style

Lennert-Cody, C.E.; De La Cadena, C.; Chompoy, L.; Maunder, M.N.; Fuller, D.W.; Altamirano Nieto, E.; Minami, M.; Aires-da-Silva, A. Bias-Adjusting Observer Species Composition Estimates of Tuna Caught by Purse-Seiners Using Port-Sampling Data: A Mixed-Effects Modeling Approach Based on Paired Well-Level Data. Fishes 2025, 10, 494. https://doi.org/10.3390/fishes10100494

AMA Style

Lennert-Cody CE, De La Cadena C, Chompoy L, Maunder MN, Fuller DW, Altamirano Nieto E, Minami M, Aires-da-Silva A. Bias-Adjusting Observer Species Composition Estimates of Tuna Caught by Purse-Seiners Using Port-Sampling Data: A Mixed-Effects Modeling Approach Based on Paired Well-Level Data. Fishes. 2025; 10(10):494. https://doi.org/10.3390/fishes10100494

Chicago/Turabian Style

Lennert-Cody, Cleridy E., Cristina De La Cadena, Luis Chompoy, Mark N. Maunder, Daniel W. Fuller, Ernesto Altamirano Nieto, Mihoko Minami, and Alexandre Aires-da-Silva. 2025. "Bias-Adjusting Observer Species Composition Estimates of Tuna Caught by Purse-Seiners Using Port-Sampling Data: A Mixed-Effects Modeling Approach Based on Paired Well-Level Data" Fishes 10, no. 10: 494. https://doi.org/10.3390/fishes10100494

APA Style

Lennert-Cody, C. E., De La Cadena, C., Chompoy, L., Maunder, M. N., Fuller, D. W., Altamirano Nieto, E., Minami, M., & Aires-da-Silva, A. (2025). Bias-Adjusting Observer Species Composition Estimates of Tuna Caught by Purse-Seiners Using Port-Sampling Data: A Mixed-Effects Modeling Approach Based on Paired Well-Level Data. Fishes, 10(10), 494. https://doi.org/10.3390/fishes10100494

Article Metrics

Back to TopTop