Development and Characterisation of a Four-Plex Assay to Measure Streptococcus pyogenes Antigen-Specific IgG in Human Sera
Abstract
:1. Introduction
2. Materials and Methods
2.1. Antigens Preparation and Coupling
2.2. Quantification of Total Human IgG to Slo, SpyAD, SpyCEP and GAC
2.3. Assay Specificity
2.4. Limits of Standard Curve Accuracy and Lower Limits of Quantification
2.5. Precision
2.6. Linearity
2.7. Determination of Total Antigen Specific IgG in Individual Human Sera
3. Results
3.1. Setup of Standard Curve
3.2. Determination of Standard Curve Accuracy and Limit of Quantification of the Assay
3.3. Specificity
3.4. Precision
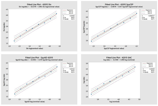
3.5. Linearity
3.6. Quantification of IgG Titres in Human Serum
4. Discussion
Author Contributions
Funding
Institutional Review Board Statement
Informed Consent Statement
Data Availability Statement
Acknowledgments
Conflicts of Interest
Appendix A
| Antigen | Name | Coupling Concentration (μg per 1.25 × 106 Million Beads) | MagPlex Bead Region |
|---|---|---|---|
| Slo | Streptolysin O | 10 | 30 |
| SpyCEP | S. pyogenes cell envelope protein | 10 | 20 |
| SpyAD | S. pyogenes adhesion and division protein | 20 | 12 |
| GAC | Group A carbohydrate | 10 (20 μg of streptavidin) | 25 |




References
- Carapetis, J.R.; Steer, A.C.; Mulholland, E.K.; Weber, M. The global burden of group A streptococcal diseases. Lancet Infect. Dis. 2005, 5, 685–694. [Google Scholar] [CrossRef]
- Watkins, D.A.; Johnson, C.O.; Colquhoun, S.M.; Karthikeyan, G.; Beaton, A.; Bukhman, G.; Forouzanfar, M.H.; Longenecker, C.T.; Mayosi, B.M.; Mensah, G.A.; et al. Global, Regional, and National Burden of Rheumatic Heart Disease, 1990–2015. N. Engl. J. Med. 2017, 377, 713–722. [Google Scholar] [CrossRef] [PubMed]
- Macleod, C.K.; Bright, P.; Steer, A.C.; Kim, J.; Mabey, D.; Parks, T. Neglecting the neglected: The objective evidence of underfunding in rheumatic heart disease. Trans. R. Soc. Trop. Med. Hyg. 2019, 113, 287–290. [Google Scholar] [CrossRef] [PubMed] [Green Version]
- Vekemans, J.; Gouvea-Reis, F.; Kim, J.H.; Excler, J.-L.; Smeesters, P.R.; O’Brien, K.L.; Van Beneden, C.A.; Steer, A.C.; Carapetis, J.R.; Kaslow, D.C. The Path to Group A Streptococcus Vaccines: World Health Organization Research and Development Technology Roadmap and Preferred Product Characteristics. Clin. Infect. Dis. 2019, 69, 877–883. [Google Scholar] [CrossRef] [PubMed] [Green Version]
- Bensi, G.; Mora, M.; Tuscano, G.; Biagini, M.; Chiarot, E.; Bombaci, M.; Capo, S.; Falugi, F.; Manetti, A.G.; Donato, P.; et al. Multi high-throughput approach for highly selective identification of vaccine candidates: The Group A Streptococcus case. Mol. Cell. Proteom. 2012, 11, M111.015693. [Google Scholar] [CrossRef] [PubMed] [Green Version]
- Di Benedetto, R.; Mancini, F.; Carducci, M.; Gasperini, G.; Moriel, D.G.; Saul, A.; Necchi, F.; Rappuoli, R.; Micoli, F. Rational Design of a Glycoconjugate Vaccine against Group A Streptococcus. Int. J. Mol. Sci. 2020, 21, 8558. [Google Scholar] [CrossRef] [PubMed]
- Davies, M.R.; McIntyre, L.; Mutreja, A.; Lacey, J.A.; Lees, J.A.; Towers, R.J.; Duchêne, S.; Smeesters, P.R.; Frost, H.R.; Price, D.J.; et al. Atlas of group A streptococcal vaccine candidates compiled using large-scale comparative genomics. Nat. Genet. 2019, 51, 1035–1043. [Google Scholar] [CrossRef] [PubMed] [Green Version]
- Tsoi, S.K.; Smeesters, P.R.; Frost, H.R.C.; Licciardi, P.; Steer, A.C. Correlates of Protection for M Protein-Based Vaccines against Group A Streptococcus. J. Immunol. Res. 2015, 2015, 167089. [Google Scholar] [CrossRef] [PubMed] [Green Version]
- Campbell, P.T.; Frost, H.; Smeesters, P.R.; Kado, J.; Good, M.F.; Batzloff, M.; Geard, N.; McVernon, J.; Steer, A. Investigation of group A Streptococcus immune responses in an endemic setting, with a particular focus on J8. Vaccine 2018, 36, 7618–7624. [Google Scholar] [CrossRef] [PubMed]
- Whitcombe, A.L.; Hanson-Manful, P.; Jack, S.; Upton, A.; Carr, P.A.; Williamson, D.A.; Baker, M.G.; Proft, T.; Moreland, N.J. Development and Evaluation of a New Triplex Immunoassay That Detects Group A Streptococcus Antibodies for the Diagnosis of Rheumatic Fever. J. Clin. Microbiol. 2020, 58, e00300–e00320. [Google Scholar] [CrossRef] [PubMed]
- Whitcombe, A.L.; Han, F.; McAlister, S.M.; Kirkham, L.S.; Young, P.; Ritchie, S.; Carr, P.A.; Proft, T.; Moreland, N.J. An eight-plex immunoassay for Group A streptococcus serology and vaccine development. J. Immunol. Methods 2021, 500, 113194. [Google Scholar] [CrossRef] [PubMed]
- Gallotta, M.; Gancitano, G.; Pietrocola, G.; Mora, M.; Pezzicoli, A.; Tuscano, G.; Chiarot, E.; Nardi-Dei, V.; Taddei, A.R.; Rindi, S.; et al. SpyAD, a Moonlighting Protein of Group A Streptococcus Contributing to Bacterial Division and Host Cell Adhesion. Infect. Immun. 2014, 82, 2890. [Google Scholar] [CrossRef] [PubMed] [Green Version]
- Abate, F.; Malito, E.; Falugi, F.; Ros, I.M.Y.; Bottomley, M.J. Cloning, expression, purification, crystallization and preliminary X-ray diffraction analysis of SpyCEP, a candidate antigen for a vaccine against Streptococcus pyogenes. Acta Crystallogr. Sect. F Struct. Biol. Cryst. Commun. 2013, 69 Pt 10, 1103–1106. [Google Scholar] [CrossRef] [PubMed] [Green Version]
- Angeloni, S.; Corders, R.; Dunbar, S.; Garcia, C.; Gibson, G.; Martin, C.; Stone, V. Carbodiimide Coupling Protocol for Antibodies and Proteins. In xMAP Cookbook, 5th ed.; Luminex: Austin, TX, USA, 2022; Chapter 4.2.1; p. 20. [Google Scholar]
- Lindsey, B.B.; Jagne, Y.J.; Armitage, E.P.; Singanayagam, A.; Sallah, H.J.; Drammeh, S.; Senghore, E.; Mohammed, N.I.; Jeffries, D.; Höschler, K.; et al. Effect of a Russian-backbone live-attenuated influenza vaccine with an updated pandemic H1N1 strain on shedding and immunogenicity among children in The Gambia: An open-label, observational, phase 4 study. Lancet Respir. Med. 2019, 7, 665–676. [Google Scholar] [CrossRef] [Green Version]
- Cannon, J.W.; Bowen, A.C. An update on the burden of group A streptococcal diseases in Australia and vaccine development. Med. J. Aust. 2021, 215, 27–28. [Google Scholar] [CrossRef]
- Strep A Vaccine Global Consortium (SAVAC). Mission Statement. Available online: https://savac.ivi.int/about (accessed on 26 May 2022).
- Osowicki, J.; Vekemans, J.; Kaslow, D.C.; Friede, M.H.; Kim, J.H.; Steer, A.C. WHO/IVI global stakeholder consultation on group A Streptococcus vaccine development: Report from a meeting held on 12–13 December 2016. Vaccine 2018, 36, 3397–3405. [Google Scholar] [CrossRef]
- Steer, A.C.; Carapetis, J.R.; Dale, J.B.; Fraser, J.D.; Good, M.F.; Guilherme, L.; Moreland, N.J.; Mulholland, E.K.; Schodel, F.; Smeesters, P.R. Status of research and development of vaccines for Streptococcus pyogenes. Vaccine 2016, 34, 2953–2958. [Google Scholar] [CrossRef] [PubMed]
- Sanyahumbi, A.S.; Colquhoun, S.; Wyber, R.; Carapetis, J.R. Global Disease Burden of group A Streptococcus. 2016 Feb 10. In Streptococcus pyogenes: Basic Biology to Clinical Manifestations; Ferretti, J.J., Stevens, D.L., Fischetti, V.A., Eds.; University of Oklahoma Health Sciences Center: Oklahoma City, OK, USA, 2016. Available online: https://www.ncbi.nlm.nih.gov/books/NBK333415/ (accessed on 26 May 2022).
- Whitcombe, A.L.; McGregor, R.; Bennett, J.; Gurney, J.K.; Williamson, D.A.; Baker, M.G.; Moreland, N.J. Increased breadth of Group A Streptococcus antibody responses in children with Acute Rheumatic Fever compared to precursor pharyngitis and skin infections. J. Infect. Dis. 2022, jiac043. [Google Scholar] [CrossRef] [PubMed]




| Antigen | LLSCA (RLU/mL) | ULSCA (RLU/mL) | LLOQ (RLU/mL) |
|---|---|---|---|
| Slo | 0.04 | 4.84 | 12 |
| SpyCEP | 0.12 | 45.4 | 36 |
| SpyAD | 0.07 | 16.85 | 21 |
| GAC | 0.33 | 43.05 | 99 |
| Antigen | Repeatability CV (%) | Intermediate Precision CV (%) |
|---|---|---|
| Slo | 5.2 | 20.8 |
| SpyCEP | 4.8 | 17.7 |
| SpyAD | 5.2 | 18.9 |
| GAC | 5.7 | 18.6 |
Publisher’s Note: MDPI stays neutral with regard to jurisdictional claims in published maps and institutional affiliations. |
© 2022 by the authors. Licensee MDPI, Basel, Switzerland. This article is an open access article distributed under the terms and conditions of the Creative Commons Attribution (CC BY) license (https://creativecommons.org/licenses/by/4.0/).
Share and Cite
Keeley, A.J.; Carducci, M.; Massai, L.; Pizza, M.; de Silva, T.I.; G. Moriel, D.; Rossi, O. Development and Characterisation of a Four-Plex Assay to Measure Streptococcus pyogenes Antigen-Specific IgG in Human Sera. Methods Protoc. 2022, 5, 55. https://doi.org/10.3390/mps5040055
Keeley AJ, Carducci M, Massai L, Pizza M, de Silva TI, G. Moriel D, Rossi O. Development and Characterisation of a Four-Plex Assay to Measure Streptococcus pyogenes Antigen-Specific IgG in Human Sera. Methods and Protocols. 2022; 5(4):55. https://doi.org/10.3390/mps5040055
Chicago/Turabian StyleKeeley, Alexander J., Martina Carducci, Luisa Massai, Mariagrazia Pizza, Thushan I. de Silva, Danilo G. Moriel, and Omar Rossi. 2022. "Development and Characterisation of a Four-Plex Assay to Measure Streptococcus pyogenes Antigen-Specific IgG in Human Sera" Methods and Protocols 5, no. 4: 55. https://doi.org/10.3390/mps5040055
APA StyleKeeley, A. J., Carducci, M., Massai, L., Pizza, M., de Silva, T. I., G. Moriel, D., & Rossi, O. (2022). Development and Characterisation of a Four-Plex Assay to Measure Streptococcus pyogenes Antigen-Specific IgG in Human Sera. Methods and Protocols, 5(4), 55. https://doi.org/10.3390/mps5040055

