Super-Resolution Deep Learning Reconstruction Improves Image Quality of Dynamic Myocardial Computed Tomography Perfusion Imaging
Simple Summary
Abstract
1. Introduction
2. Materials and Methods
2.1. Study Population
2.2. Dynamic Myocardial CTP Scan Protocol and Post-Processing of Image Reconstruction
2.3. Qualitative and Quantitative Image Analyses
2.4. CT-Derived MBF Analysis
2.5. Statistical Analysis
3. Results
3.1. Study Population
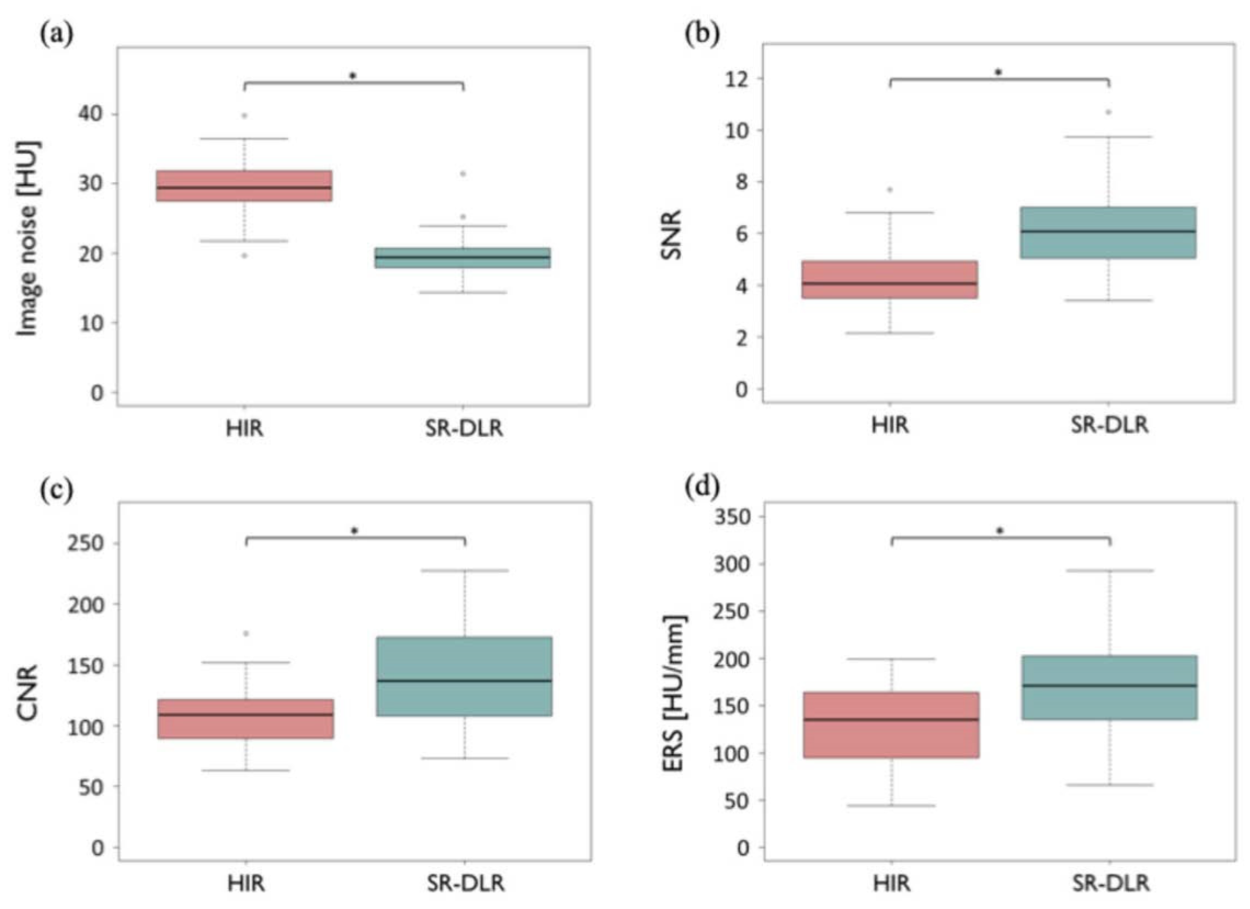
3.2. Qualitative and Quantitative Image Quality
3.3. Equivalences and Variations of Global CT-MBF
4. Discussion
5. Conclusions
Author Contributions
Funding
Institutional Review Board Statement
Informed Consent Statement
Data Availability Statement
Conflicts of Interest
Abbreviations
| CNR | Contrast-To-Noise Ratio |
| CT | Computed Tomography |
| CT-MBF | Computed Tomography-Derived Myocardial Blood Flow |
| CTP | Computed Tomography Perfusion |
| DCNN | Deep Convolutional Neural Network |
| DLR | Deep-Learning Image Reconstruction |
| ERS | Edge Rise Slope |
| HIR | Hybrid Iterative Reconstruction |
| IR | Iterative Reconstruction |
| NR-DLR | Normal-Resolution Deep-Learning Reconstruction |
| rCV | Robust Coefficient of Variation |
| SNR | Signal-To-Noise Ratio |
| SPECT | Single-Photon Emission Computed Tomography |
| SR-DLR | Super-Resolution Deep-Learning Reconstruction |
| UHR-CT | Ultra-High-Resolution Computed Tomography |
References
- George, R.T.; Mehra, V.C.; Chen, M.Y.; Kitagawa, K.; Arbab-Zadeh, A.; Miller, J.M.; Matheson, M.B.; Vavere, A.L.; Kofoed, K.F.; Rochitte, C.E.; et al. Myocardial CT Perfusion Imaging and SPECT for the Diagnosis of Coronary Artery Disease: A Head-to-Head Comparison from the CORE320 Multicenter Diagnostic Performance Study. Radiology 2015, 274, 626. [Google Scholar] [CrossRef] [PubMed]
- Takx, R.A.; Blomberg, B.A.; El Aidi, H.; Habets, J.; de Jong, P.A.; Nagel, E.; Hoffmann, U.; Leiner, T. Diagnostic accuracy of stress myocardial perfusion imaging compared to invasive coronary angiography with fractional flow reserve meta-analysis. Circ. Cardiovasc. Imaging 2015, 8, e002666. [Google Scholar] [CrossRef] [PubMed]
- Rossi, A.; Merkus, D.; Klotz, E.; Mollet, N.; de Feyter, P.J.; Krestin, G.P. Stress myocardial perfusion: Imaging with multidetector CT. Radiology 2014, 270, 25–46. [Google Scholar] [CrossRef] [PubMed]
- Kawaguchi, Y.; Kato, S.; Horita, N.; Utsunomiya, D. Value of dynamic computed tomography myocardial perfusion in CAD: A systematic review and meta-analysis. Eur. Heart J. Cardiovasc. Imaging 2024, 25, 1675–1685. [Google Scholar] [CrossRef]
- Danad, I.; Szymonifka, J.; Schulman-Marcus, J.; Min, J.K. Static and dynamic assessment of myocardial perfusion by computed tomography. Eur. Heart J. Cardiovasc. Imaging 2016, 17, 836–844. [Google Scholar] [CrossRef]
- Fogante, M.; Paolini, E.; Cela, F.; Esposto Pirani, P.; Balardi, L.; Perna, G.P.; Schicchi, N. Feasibility, Added Value, and Radiation Dose of Combined Coronary CT Angiography and Stress Dynamic CT Myocardial Perfusion Imaging in Moderate Coronary Artery Disease: A Real-World Study. J. Cardiovasc. Dev. Dis. 2025, 12, 241. [Google Scholar] [CrossRef]
- Fujita, M.; Kitagawa, K.; Ito, T.; Shiraishi, Y.; Kurobe, Y.; Nagata, M.; Ishida, M.; Sakuma, H. Dose reduction in dynamic CT stress myocardial perfusion imaging: Comparison of 80-kV/370-mAs and 100-kV/300-mAs protocols. Eur. Radiol. 2014, 24, 748–755. [Google Scholar] [CrossRef]
- Kwon, H.; Cho, J.; Oh, J.; Kim, D.; Cho, J.; Kim, S.; Lee, S.; Lee, J. The adaptive statistical iterative reconstruction-V technique for radiation dose reduction in abdominal CT: Comparison with the adaptive statistical iterative reconstruction technique. Br. J. Radiol. 2015, 88, 20150463. [Google Scholar] [CrossRef]
- Bornet, P.A.; Villani, N.; Gillet, R.; Germain, E.; Lombard, C.; Blum, A.; Gondim Teixeira, P.A. Clinical acceptance of deep learning reconstruction for abdominal CT imaging: Objective and subjective image quality and low-contrast detectability assessment. Eur. Radiol. 2022, 32, 3161–3172. [Google Scholar] [CrossRef]
- Koetzier, L.R.; Mastrodicasa, D.; Szczykutowicz, T.P.; van der Werf, N.R.; Wang, A.S.; Sandfort, V.; van der Molen, A.J.; Fleischmann, D.; Willemink, M.J. Deep Learning Image Reconstruction for CT: Technical Principles and Clinical Prospects. Radiology 2023, 306, e221257. [Google Scholar] [CrossRef]
- Tatsugami, F.; Higaki, T.; Kawashita, I.; Fukumoto, W.; Nakamura, Y.; Matsuura, M.; Lee, T.C.; Zhou, J.; Cai, L.; Kitagawa, T.; et al. Improvement of Spatial Resolution on Coronary CT Angiography by Using Super-Resolution Deep Learning Reconstruction. Acad. Radiol. 2023, 30, 2497–2504. [Google Scholar] [CrossRef] [PubMed]
- Sato, H.; Fujimoto, S.; Tomizawa, N.; Inage, H.; Yokota, T.; Kudo, H.; Fan, R.; Kawamoto, K.; Honda, Y.; Kobayashi, T.; et al. Impact of a Deep Learning-based Super-resolution Image Reconstruction Technique on High-contrast Computed Tomography: A Phantom Study. Acad. Radiol. 2023, 30, 2657–2665. [Google Scholar] [CrossRef] [PubMed]
- Takafuji, M.; Kitagawa, K.; Mizutani, S.; Hamaguchi, A.; Kisou, R.; Iio, K.; Ichikawa, K.; Izumi, D.; Sakuma, H. Super-Resolution Deep Learning Reconstruction for Improved Image Quality of Coronary CT Angiography. Radiol. Cardiothorac. Imaging 2023, 5, e230085. [Google Scholar] [CrossRef] [PubMed]
- Nagayama, Y.; Emoto, T.; Hayashi, H.; Kidoh, M.; Oda, S.; Nakaura, T.; Sakabe, D.; Funama, Y.; Tabata, N.; Ishii, M.; et al. Coronary Stent Evaluation by CTA: Image Quality Comparison Between Super-Resolution Deep Learning Reconstruction and Other Reconstruction Algorithms. AJR Am. J. Roentgenol. 2023, 221, 599–610. [Google Scholar] [CrossRef]
- Takafuji, M.; Kitagawa, K.; Mizutani, S.; Hamaguchi, A.; Kisou, R.; Sasaki, K.; Funaki, Y.; Iio, K.; Ichikawa, K.; Izumi, D.; et al. Super-resolution deep learning reconstruction for improved quality of myocardial CT late enhancement. Jpn. J. Radiol. 2025, 43, 1106–1115. [Google Scholar] [CrossRef]
- Kouchi, T.; Tanabe, Y.; Smit, E.J.; Kido, T.; Kurata, A.; Kouchi, Y.; Nishiyama, H.; Uetani, T.; Ikeda, S.; Yamaguchi, O.; et al. Clinical application of four-dimensional noise reduction filtering with a similarity algorithm in dynamic myocardial computed tomography perfusion imaging. Int. J. Cardiovasc. Imaging 2020, 36, 1781–1789. [Google Scholar] [CrossRef]
- Fukumoto, W.; Nagaoka, M.; Higaki, T.; Tatsugami, F.; Nakamura, Y.; Oostveen, L.; Klein, W.; Prokop, M.; Awai, K. Measurement of coronary artery calcium volume using ultra-high-resolution computed tomography: A preliminary phantom and cadaver study. Eur. J. Radiol. Open 2020, 7, 100253. [Google Scholar] [CrossRef]
- Kojima, I.; Kakita, K. Comparative study of robustness of statistical methods for laboratory proficiency testing. Anal. Sci. 2014, 30, 1165–1168. [Google Scholar] [CrossRef][Green Version]
- Lakens, D.; Scheel, A.M.; Isager, P.M. Equivalence Testing for Psychological Research: A Tutorial. Adv. Methods Pract. Psychol. Sci. 2018, 1, 259–269. [Google Scholar] [CrossRef]
- Takafuji, M.; Kitagawa, K.; Ishida, M.; Ichikawa, Y.; Nakamura, S.; Nakamori, S.; Kurita, T.; Dohi, K.; Sakuma, H. Clinical Validation of the Accuracy of Absolute Myocardial Blood Flow Quantification with Dual-Source CT Using (15)O-Water PET. Radiol. Cardiothorac. Imaging 2021, 3, e210060. [Google Scholar] [CrossRef]
- Moller, M.B.; Linde, J.J.; Fuchs, A.; Kober, L.V.; Nordestgaard, B.G.; Kofoed, K.F. Normal values of myocardial blood flow measured with dynamic myocardial computed tomography perfusion. Eur. Heart J. Cardiovasc. Imaging 2024, 25, 986–995. [Google Scholar] [CrossRef] [PubMed]
- Takafuji, M.; Kitagawa, K.; Mizutani, S.; Oka, R.; Kisou, R.; Sakaguchi, S.; Ichikawa, K.; Izumi, D.; Sakuma, H. Deep-learning reconstruction to improve image quality of myocardial dynamic CT perfusion: Comparison with hybrid iterative reconstruction. Clin. Radiol. 2022, 77, e771–e775. [Google Scholar] [CrossRef] [PubMed]
- Kikuchi, Y.; Oyama-Manabe, N.; Naya, M.; Manabe, O.; Tomiyama, Y.; Sasaki, T.; Katoh, C.; Kudo, K.; Tamaki, N.; Shirato, H. Quantification of myocardial blood flow using dynamic 320-row multi-detector CT as compared with (1)(5)O-H(2)O PET. Eur. Radiol. 2014, 24, 1547–1556. [Google Scholar] [CrossRef] [PubMed]
- Zou, L.M.; Xu, C.; Xu, M.; Xu, K.T.; Zhao, Z.C.; Wang, M.; Wang, Y.; Wang, Y.N. Ultra-low-dose coronary CT angiography via super-resolution deep learning reconstruction: Impact on image quality, coronary plaque, and stenosis analysis. Eur. Radiol. 2025, 35, 4674–4684. [Google Scholar] [CrossRef]
- Emoto, T.; Nagayama, Y.; Takada, S.; Sakabe, D.; Shigematsu, S.; Goto, M.; Nakato, K.; Yoshida, R.; Harai, R.; Kidoh, M.; et al. Super-resolution deep-learning reconstruction for cardiac CT: Impact of radiation dose and focal spot size on task-based image quality. Phys. Eng. Sci. Med. 2024, 47, 1001–1014. [Google Scholar] [CrossRef]
- Nakamura, S.; Kitagawa, K.; Goto, Y.; Omori, T.; Kurita, T.; Yamada, A.; Takafuji, M.; Uno, M.; Dohi, K.; Sakuma, H. Incremental Prognostic Value of Myocardial Blood Flow Quantified With Stress Dynamic Computed Tomography Perfusion Imaging. JACC Cardiovasc. Imaging 2019, 12, 1379–1387. [Google Scholar] [CrossRef]
- Linde, J.J.; Sorgaard, M.; Kuhl, J.T.; Hove, J.D.; Kelbaek, H.; Nielsen, W.B.; Kofoed, K.F. Prediction of clinical outcome by myocardial CT perfusion in patients with low-risk unstable angina pectoris. Int. J. Cardiovasc. Imaging 2017, 33, 261–270. [Google Scholar] [CrossRef]
- Bhave, N.M.; Mor-Avi, V.; Kachenoura, N.; Freed, B.H.; Vannier, M.; Dill, K.; Lang, R.M.; Patel, A.R. Analysis of myocardial perfusion from vasodilator stress computed tomography: Does improvement in image quality by iterative reconstruction lead to improved diagnostic accuracy? J. Cardiovasc. Comput. Tomogr. 2014, 8, 238–245. [Google Scholar] [CrossRef]
- Morikawa, T.; Tanabe, Y.; Suekuni, H.; Fukuyama, N.; Toshimori, W.; Toritani, H.; Sawada, S.; Matsuda, T.; Nakano, S.; Kido, T. Influence of deep learning-based super-resolution reconstruction on Agatston score. Eur. Radiol. 2025, 35, 5604–5614. [Google Scholar] [CrossRef]



| Characteristics | |
|---|---|
| Age (years) | 68.5 ± 10.1 |
| Sex, male (% of total) | 23 (66%) |
| Body mass index (kg/m2) | 24.2 ± 3.0 |
| Cardiovascular risk factors | |
| Hypertension | 18 (51%) |
| Dyslipidemia | 19 (54%) |
| Diabetes mellitus | 10 (29%) |
| Smoking habit | 12 (34%) |
| Family history of CAD | 10 (29%) |
| HIR | SR-DLR | * p-Value | |
|---|---|---|---|
| Noise | 2.0 (1.75–2.75) | 4.0 (3.5–4.75) | <0.001 |
| Contrast | 4.0 (3.75–4.5) | 4.0 (4.0–4.5) | 0.0533 |
| Sharpness | 2.5 (2.0–3.0) | 4.5 (4.0–5.0) | <0.001 |
| HIR | SR-DLR | * p-Value | |
|---|---|---|---|
| Image noise (HU) | 29.4 (27.5–31.9) | 19.4 (17.9–20.8) | <0.001 |
| SNR | 4.1 (3.5–5.0) | 6.1 (5.1–7.1) | <0.001 |
| CNR | 10.9 (8.9–12.2) | 13.7 (10.7–17.3) | <0.001 |
| ERS (HU/mm) | 135.1 (94.1–164.0) | 171.0 (129.7–203.8) | <0.001 |
Disclaimer/Publisher’s Note: The statements, opinions and data contained in all publications are solely those of the individual author(s) and contributor(s) and not of MDPI and/or the editor(s). MDPI and/or the editor(s) disclaim responsibility for any injury to people or property resulting from any ideas, methods, instructions or products referred to in the content. |
© 2026 by the authors. Licensee MDPI, Basel, Switzerland. This article is an open access article distributed under the terms and conditions of the Creative Commons Attribution (CC BY) license.
Share and Cite
Kobayashi, Y.; Tanabe, Y.; Morikawa, T.; Yoshida, K.; Ohara, K.; Hosokawa, T.; Kouchi, T.; Nakano, S.; Yamaguchi, O.; Kido, T. Super-Resolution Deep Learning Reconstruction Improves Image Quality of Dynamic Myocardial Computed Tomography Perfusion Imaging. Tomography 2026, 12, 7. https://doi.org/10.3390/tomography12010007
Kobayashi Y, Tanabe Y, Morikawa T, Yoshida K, Ohara K, Hosokawa T, Kouchi T, Nakano S, Yamaguchi O, Kido T. Super-Resolution Deep Learning Reconstruction Improves Image Quality of Dynamic Myocardial Computed Tomography Perfusion Imaging. Tomography. 2026; 12(1):7. https://doi.org/10.3390/tomography12010007
Chicago/Turabian StyleKobayashi, Yusuke, Yuki Tanabe, Tomoro Morikawa, Kazuki Yoshida, Kentaro Ohara, Takaaki Hosokawa, Takanori Kouchi, Shota Nakano, Osamu Yamaguchi, and Teruhito Kido. 2026. "Super-Resolution Deep Learning Reconstruction Improves Image Quality of Dynamic Myocardial Computed Tomography Perfusion Imaging" Tomography 12, no. 1: 7. https://doi.org/10.3390/tomography12010007
APA StyleKobayashi, Y., Tanabe, Y., Morikawa, T., Yoshida, K., Ohara, K., Hosokawa, T., Kouchi, T., Nakano, S., Yamaguchi, O., & Kido, T. (2026). Super-Resolution Deep Learning Reconstruction Improves Image Quality of Dynamic Myocardial Computed Tomography Perfusion Imaging. Tomography, 12(1), 7. https://doi.org/10.3390/tomography12010007

