Assessment of Hounsfield Units and Factors Associated with Fragmentation of Renal Stones by Extracorporeal Shock Wave Lithotripsy: A Computerized Tomography Study
Abstract
1. Introduction
2. Materials and Methods
2.1. CT Renal Protocol
2.2. Statistical Analysis
3. Results
4. Discussion
5. Conclusions
Author Contributions
Funding
Institutional Review Board Statement
Informed Consent Statement
Data Availability Statement
Conflicts of Interest
References
- Lee, H.; Yang, Y.-H.; Lee, Y.-L.; Shen, J.-T.; Jang, M.-Y.; Shih, P.M.-C.; Wu, W.-J.; Chou, Y.; Juan, Y.-S. Noncontrast Computed Tomography Factors That Predict the Renal Stone Outcome after Shock Wave Lithotripsy. Clin. Imaging 2015, 39, 845–850. [Google Scholar] [CrossRef]
- Joseph, P.; Mandal, A.K.; Singh, S.K.; Mandal, P.; Sankhwar, S.N.; Sharma, S.K. Computerized Tomography Attenuation Value of Renal Calculus: Can It Predict Successful Fragmentation of the Calculus by Extracorporeal Shock Wave Lithotripsy? A Preliminary Study. J. Urol. 2002, 167, 1968–1971. [Google Scholar] [CrossRef]
- Chung, D.Y.; Kang, D.H.; Cho, K.S.; Jeong, W.S.; Jung, H.D.; Kwon, J.K.; Lee, S.H.; Lee, J.Y. Comparison of Stone-Free Rates Following Shock Wave Lithotripsy, Percutaneous Nephrolithotomy, and Retrograde Intrarenal Surgery for Treatment of Renal Stones: A Systematic Review and Network Meta-Analysis. PLoS ONE 2019, 14, e0211316. [Google Scholar] [CrossRef]
- Srisubat, A.; Potisat, S.; Lojanapiwat, B.; Setthawong, V.; Laopaiboon, M. Extracorporeal Shock Wave Lithotripsy (ESWL) for Kidney Stones. In Cochrane Database of Systematic Reviews; The Cochrane Collaboration, Ed.; John Wiley & Sons, Ltd.: Chichester, UK, 2008; p. CD007044. [Google Scholar]
- D’Addessi, A.; Vittori, M.; Racioppi, M.; Pinto, F.; Sacco, E.; Bassi, P. Complications of Extracorporeal Shock Wave Lithotripsy for Urinary Stones: To Know and to Manage Them—A Review. Sci. World J. 2012, 2012, 619820. [Google Scholar] [CrossRef]
- Akisato, K.; Nishihara, R.; Okazaki, H.; Masuda, T.; Hironobe, A.; Ishizaki, H.; Shota, K.; Yamaguchi, H.; Funama, Y. Dual-Energy CT of Material Decomposition Analysis for Detection with Bone Marrow Edema in Patients with Vertebral Compression Fractures. Acad. Radiol. 2020, 27, 227–232. [Google Scholar] [CrossRef]
- Li, Z.X.; Jiao, G.L.; Zhou, S.M.; Cheng, Z.Y.; Bashir, S.; Zhou, Y. Evaluation of the chemical composition of nephrolithiasis using dual-energy CT in Southern Chinese gout patients. BMC Nephrol. 2019, 20, 273. [Google Scholar] [CrossRef]
- Sheikhi, M.; Sina, S.; Karimipourfard, M. Dual-energy Computed Tomography (DECT) Scan for Determination of Renal Stone Composition: A Phantom Study. Iran. J. Radiol. 2023, 20, e134455. [Google Scholar] [CrossRef]
- Mehra, S. Role of dual-energy computed tomography in urolithiasis. J. Gastrointest. Abdom. Radiol. 2022, 5, 121–126. [Google Scholar] [CrossRef]
- Lai, S.; Jiao, B.; Jiang, Z.; Liu, J.; Seery, S.; Chen, X.; Jin, B.; Ma, X.; Liu, M.; Wang, J. Comparing different kidney stone scoring systems for predicting percutaneous nephrolithotomy outcomes: A multicenter retrospective cohort study. Int. J. Surg. 2020, 81, 55–60. [Google Scholar] [CrossRef]
- Selmi, V.; Sari, S.; Oztekin, U.; Caniklioglu, M.; Isikay, L. External Validation and Comparison of Nephrolithometric Scoring Systems Predicting Outcomes of Retrograde Intrarenal Surgery. J. Endourol. 2021, 35, 781–788. [Google Scholar] [CrossRef]
- Mahmood, A.; Silbergleit, A.; Olson, R.; Cotant, M. Urolithiasis: The Influence of Stone Size on Management. Nat. Rev. Urol. 2007, 4, 570–573. [Google Scholar] [CrossRef] [PubMed]
- Türk, C.; Petřík, A.; Sarica, K.; Seitz, C.; Skolarikos, A.; Straub, M.; Knoll, T. EAU Guidelines on Diagnosis and Conservative Management of Urolithiasis. Eur. Urol. 2016, 69, 468–474. [Google Scholar] [CrossRef] [PubMed]
- Ouzaid, I.; Al-qahtani, S.; Dominique, S.; Hupertan, V.; Fernandez, P.; Hermieu, J.-F.; Delmas, V.; Ravery, V. A 970 Hounsfield Units (HU) Threshold of Kidney Stone Density on Non-Contrast Computed Tomography (NCCT) Improves Patients’ Selection for Extracorporeal Shockwave Lithotripsy (ESWL): Evidence from a Prospective Study. BJU Int. 2012, 110, E438–E442. [Google Scholar] [CrossRef] [PubMed]
- Weld, K.J.; Montiglio, C.; Morris, M.S.; Bush, A.C.; Cespedes, R.D. Shock Wave Lithotripsy Success for Renal Stones Based on Patient and Stone Computed Tomography Characteristics. Urology 2007, 70, 1043–1046. [Google Scholar] [CrossRef] [PubMed]
- Moorthy, K.; Krishnan, M. Prediction of fragmentation of kidney stones: A statistical approach from NCCT images. Can. Urol. Assoc. J. 2016, 10, E237–E240. [Google Scholar] [CrossRef]
- Pareek, G.; Hedican, S.P.; Lee, F.T.; Nakada, S.Y. Shock wave lithotripsy success determined by skin-to-stone distance on computed tomography. Urology 2005, 66, 941–944. [Google Scholar] [CrossRef] [PubMed]
- Abe, T.; Akakura, K.; Kawaguchi, M.; Ueda, T.; Ichikawa, T.; Ito, H.; Nozumi, K.; Suzuki, K. Outcomes of shockwave lithotripsy for upper urinary-tract stones: A large-scale study at a single institution. J. Endourol. 2005, 19, 768–773. [Google Scholar] [CrossRef]
- Fankhauser, C.D.; Hermanns, T.; Lieger, L.; Diethelm, O.; Umbehr, M.; Luginbühl, T.; Sulser, T.; Müntener, M.; Poyet, C. Extracorporeal shock wave lithotripsy versus flexible ureterorenoscopy in the treatment of untreated renal calculi. Clin. Kidney J. 2018, 11, 364–369. [Google Scholar] [CrossRef]
- Garg, M.; Johnson, H.; Lee, S.M.; Rai, B.P.; Somani, B.; Philip, J. Role of Hounsfield Unit in Predicting Outcomes of Shock Wave Lithotripsy for Renal Calculi: Outcomes of a Systematic Review. Curr. Urol. Rep. 2023, 24, 173–185. [Google Scholar] [CrossRef]
- Müllhaupt, G.; Engeler, D.S.; Schmid, H.P.; Abt, D. How do stone attenuation and skin-to-stone distance in computed tomography influence the performance of shock wave lithotripsy in ureteral stone disease? BMC Urol. 2015, 15, 72. [Google Scholar] [CrossRef][Green Version]
- Pearle, M.S.; Lingeman, J.E.; Leveillee, R.; Kuo, R.; Preminger, G.M.; Nadler, R.B.; Macaluso, J.; Monga, M.; Kumar, U.; Dushinski, J.; et al. Prospective, Randomized trial comparing shock wave lithotripsy and ureteroscopy for lower pole caliceal calculi CM or less. J. Urol. 2005, 173, 2005–2009. [Google Scholar] [CrossRef]
- Psihramis, K.E.; Jewett, M.A.S.; Bombardier, C.; Caron, D.; Ryan, M. The Toronto Lithotripsy Associates Lithostar Extracorporeal Shock Wave Lithotripsy: The First 1000 Patients. J. Urol. 1992, 147, 1006–1009. [Google Scholar] [CrossRef]
- Ozgor, F.; Kucuktopcu, O.; Ucpinar, B.; Gurbuz, Z.G.; Sarilar, O.; Berberoglu, A.Y.; Baykal, M.; Binbay, M. Is There a Difference between Presence of Single Stone and Multiple Stones in Flexible Ureterorenoscopy and Laser Lithotripsy for Renal Stone Burden < 300 mm2? Int. Braz. J. Urol. 2016, 42, 1168–1177. [Google Scholar] [CrossRef]
- Bandi, G.; Meiners, R.J.; Pickhardt, P.J.; Nakada, S.Y. Stone Measurement by Volumetric Three-dimensional Computed Tomography for Predicting the Outcome after Extracorporeal Shock Wave Lithotripsy. BJU Int. 2009, 103, 524–528. [Google Scholar] [CrossRef]
- Nakasato, T.; Morita, J.; Ogawa, Y. Evaluation of Hounsfield Units as a Predictive Factor for the Outcome of Extracorporeal Shock Wave Lithotripsy and Stone Composition. Urolithiasis 2015, 43, 69–75. [Google Scholar] [CrossRef]
- Wang, L.-J.; Wong, Y.-C.; Chuang, C.-K.; Chu, S.-H.; Chen, C.-S.; See, L.-C.; Chiang, Y.-J. Predictions of Outcomes of Renal Stones after Extracorporeal Shock Wave Lithotripsy from Stone Characteristics Determined by Unenhanced Helical Computed Tomography: A Multivariate Analysis. Eur. Radiol. 2005, 15, 2238–2243. [Google Scholar] [CrossRef]
- Park, Y.I.; Yu, J.H.; Sung, L.H.; Noh, C.H.; Chung, J.Y. Evaluation of Possible Predictive Variables for the Outcome of Shock Wave Lithotripsy of Renal Stones. Korean J. Urol. 2010, 51, 713. [Google Scholar] [CrossRef][Green Version]
- Craven, B.L.; Passman, C.; Assimos, D.G. Hypercalcemic States associated with nephrolithiasis. Rev. Urol. 2008, 10, 218–226. [Google Scholar]
- Silva, T.R.; de Lima, M.L. Correlation between Hounsfield Unit Value and Stone Composition in Nephrolithiasis. MedicalExpress 2016, 3, M160303. [Google Scholar] [CrossRef]
- Stechman, M.J.; Loh, N.Y.; Thakker, R.V. Genetics of Hypercalciuric Nephrolithiasis: Renal Stone Disease. Ann. N. Y. Acad. Sci. 2007, 1116, 461–484. [Google Scholar] [CrossRef] [PubMed]
- Wisenbaugh, E.S.; Paden, R.G.; Silva, A.C.; Humphreys, M.R. Dual-Energy vs Conventional Computed Tomography in Determining Stone Composition. Urology 2014, 83, 1243–1247. [Google Scholar] [CrossRef] [PubMed]
- Euler, A.; Wullschleger, S.; Sartoretti, T.; Müller, D.; Keller, E.X.; Lavrek, D.; Donati, O. Dual-energy CT kidney stone characterization-can diagnostic accuracy be achieved at low radiation dose? Eur. Radiol. 2023, 33, 6238–6244. [Google Scholar] [CrossRef] [PubMed]
- Thomas, C.; Krauss, B.; Ketelsen, D.; Tsiflikas, I.; Reimann, A.; Werner, M.; Schilling, D.; Hennenlotter, J.; Claussen, C.D.; Schlemmer, H.P.; et al. Differentiation of urinary calculi with dual energy CT: Effect of spectral shaping by high energy tin filtration. Investig. Radiol. 2010, 45, 393–398. [Google Scholar] [CrossRef] [PubMed]
- Graser, A.; Johnson, T.R.; Bader, M.; Staehler, M.; Haseke, N.; Nikolaou, K.; Reiser, M.F.; Stief, C.G.; Becker, C.R. Dual-energy CT characterization of urinary calculi: Initial in vitro and clinical experience. Investig. Radiol. 2008, 43, 112–119. [Google Scholar] [CrossRef] [PubMed]
- Sancak, E.B.; Resorlu, M.; Akbas, A.; Gulpinar, M.T.; Arslan, M.; Resorlu, B. Do Hypertension, Diabetes Mellitus and Obesity Increase the Risk of Severity of Nephrolithiasis? Pak. J. Med. Sci. 1969, 31, 566. [Google Scholar] [CrossRef]
- Lin, B.; Huang, R.; Lin, B.; Hong, Y.; Lin, M.; He, X. Associations between Nephrolithiasis and Diabetes Mellitus, Hypertension and Gallstones: A Meta-analysis of Cohort Studies. Nephrology 2020, 25, 691–699. [Google Scholar] [CrossRef]
- Krambeck, A.E.; Gettman, M.T.; Rohlinger, A.L.; Lohse, C.M.; Patterson, D.E.; Segura, J.W. Diabetes mellitus and hypertension associated with shock wave lithotripsy of renal and proximal ureteral stones at 19 years of followup. J. Urol. 2006, 175, 1742–1747. [Google Scholar] [CrossRef]
- Assimos, D. Re: Twenty-year prevalence of diabetes mellitus and hypertension in patients receiving shockwave lithotripsy for urolithiasis. J. Urol. 2012, 187, 535. [Google Scholar] [CrossRef]



| Character | Frequency | Percent |
|---|---|---|
| Male | 56 | 83.6 |
| Female | 11 | 16.4 |
| Age groups (years) | ||
| 20–30 | 9 | 13.4 |
| 31–40 | 14 | 20.9 |
| 41–50 | 26 | 38.8 |
| 51–60 | 6 | 9.0 |
| >60 | 12 | 17.9 |
| Mean age = 45.57 ± 13.8 | ||
| Occupation | ||
| employer | 47 | 70.1 |
| non-employer | 20 | 29.9 |
| Diabetes mellitus | ||
| yes | 21 | 31.3 |
| no | 46 | 68.7 |
| Hypertension | ||
| yes | 19 | 28.4 |
| no | 48 | 71.6 |
| Status of Renal Stones | Frequency | Percent % |
|---|---|---|
| single | 45 | 67.2 |
| multiple | 22 | 32.8 |
| Site of stone in the kidney | ||
| calyces of the kidney | 30 | 44.8 |
| upper ureter | 24 | 35.8 |
| lower ureter | 7 | 10.4 |
| mid-ureter | 6 | 9.0 |
| Hydronephrosis | ||
| No hydronephrosis | 16 | 23.9 |
| mild | 35 | 52.2 |
| moderate | 14 | 20.9 |
| severe | 2 | 3.0 |
| Laterality | ||
| right kidney | 25 | 37.3 |
| left kidney | 27 | 40.3 |
| bilateral | 15 | 22.4 |
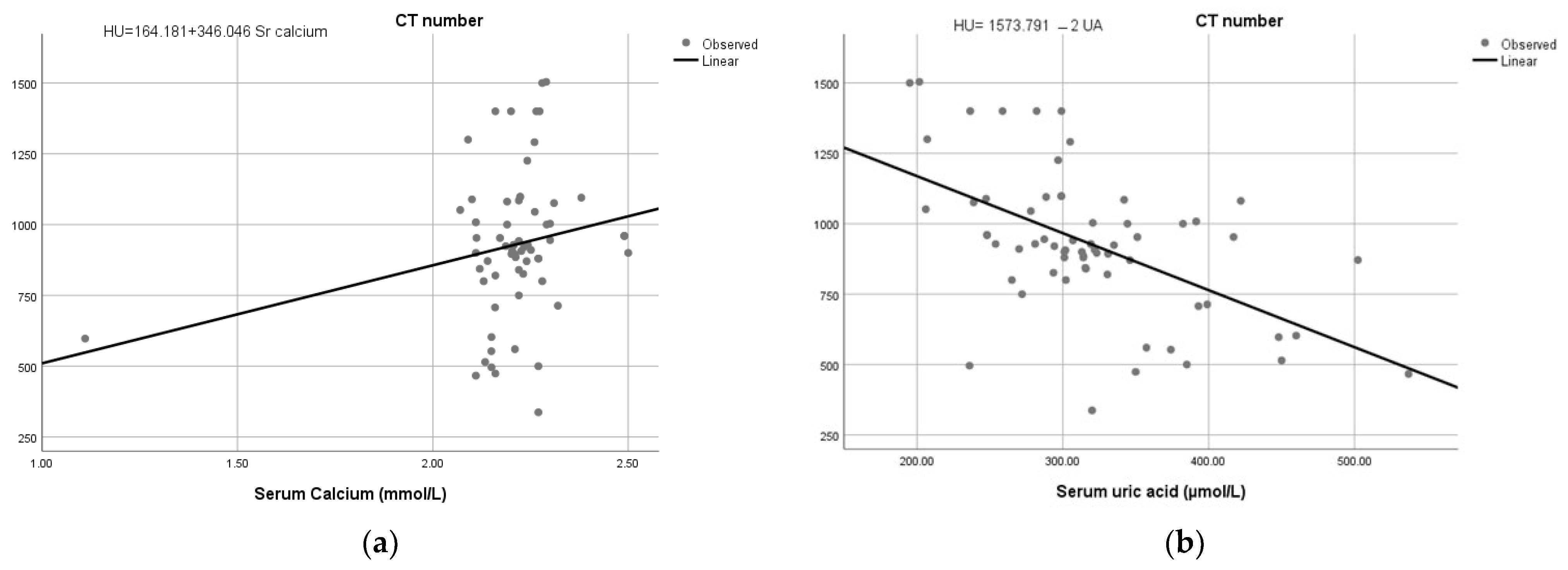
| Characteristic | Statistical Correlation | Serum Calcium (mmol/L) | Serum Uric Acid (µmol/L) | Regression Equation |
|---|---|---|---|---|
| CT number | Pearson’s correlation | 0.28 * | −0.55 ** | uric acid |
| Significant two-tailed | 0.036 | <0.001 |
| Stone Location | Number of Stone | Completely Fragmented | Partially Fragmented |
|---|---|---|---|
| calyces and renal pelvis | 30 | 8 | 22 |
| upper ureter | 24 | 10 | 14 |
| mid-ureter | 6 | 4 | 2 |
| lower ureter | 7 | 3 | 4 |
| laterality | |||
| right kidney | 25 | 6 | 19 |
| left kidney | 27 | 11 | 16 |
| bilateral | 15 | 8 | 7 |
| status of stone | |||
| single | 45 | 18 | 27 |
| multiple | 22 | 7 | 22 |
| Variables | COR (95% CI) | AOR (95% CI) |
|---|---|---|
| Mean age (SD) | 0.993 (0.958–1.029 | * 1.29 (1.0–1.66) |
| Gender (n) | ||
| Males | 2.34 (0.631–8.656) | 6.280 (0.202–195.027) |
| Females | Ref | Ref |
| Clinical history | ||
| Diabetes mellitus | 1.406 (0.489–4.043) | 3.981 (0.343–46.240) |
| Hypertension | 1.8 (0.713–3.208) | 4.354 (0.436–1.488) |
| Laterality | ||
| Right kidney | 3.619 (0.921–14.214) | 8.261 (0.396–172.531) |
| Left kidney | 1.662 (0.466–5.932) | * 22.338 (1.003–497.552) |
| Bilateral | Ref | Ref |
| Site of the stone within the kidney | 0.599 (0.349–1.029) | * 0.24 (0.079–0.731) |
| Mean of HU (SD) | * 1.002(1–1.005) | * 1.003 (1.000–1.006) |
| Status of stone | ||
| Multiple | 1.120 (0.803–1.562) | * 3.516 (0.398–31.036) |
| Single | Ref | - |
| Mean of stone length (SD) | 1.035 (0.980–1.093) | 1.078 (0.973–1.193) |
| Frequency of ESWL treatment sessions | 0.592 (0.293–1.195) | * 0.121(0.023–0.646) |
Disclaimer/Publisher’s Note: The statements, opinions and data contained in all publications are solely those of the individual author(s) and contributor(s) and not of MDPI and/or the editor(s). MDPI and/or the editor(s) disclaim responsibility for any injury to people or property resulting from any ideas, methods, instructions or products referred to in the content. |
© 2024 by the authors. Licensee MDPI, Basel, Switzerland. This article is an open access article distributed under the terms and conditions of the Creative Commons Attribution (CC BY) license (https://creativecommons.org/licenses/by/4.0/).
Share and Cite
Alharbi, A.S.; Gameraddin, M.; Gareeballah, A.; Shrwani, Z.J.; Sindi, M.A.; Alsaedi, H.I.; Qurashi, A.A.; Aloufi, K.M.; Alshamrani, A.F.A.; Alzain, A.F. Assessment of Hounsfield Units and Factors Associated with Fragmentation of Renal Stones by Extracorporeal Shock Wave Lithotripsy: A Computerized Tomography Study. Tomography 2024, 10, 90-100. https://doi.org/10.3390/tomography10010008
Alharbi AS, Gameraddin M, Gareeballah A, Shrwani ZJ, Sindi MA, Alsaedi HI, Qurashi AA, Aloufi KM, Alshamrani AFA, Alzain AF. Assessment of Hounsfield Units and Factors Associated with Fragmentation of Renal Stones by Extracorporeal Shock Wave Lithotripsy: A Computerized Tomography Study. Tomography. 2024; 10(1):90-100. https://doi.org/10.3390/tomography10010008
Chicago/Turabian StyleAlharbi, Abdallah Saud, Moawia Gameraddin, Awadia Gareeballah, Zahra Jibril Shrwani, Moa’ath Abdullah Sindi, Hassan Ibrahim Alsaedi, Abdulaziz A. Qurashi, Khalid M. Aloufi, Abdullah Fahad A. Alshamrani, and Amel F. Alzain. 2024. "Assessment of Hounsfield Units and Factors Associated with Fragmentation of Renal Stones by Extracorporeal Shock Wave Lithotripsy: A Computerized Tomography Study" Tomography 10, no. 1: 90-100. https://doi.org/10.3390/tomography10010008
APA StyleAlharbi, A. S., Gameraddin, M., Gareeballah, A., Shrwani, Z. J., Sindi, M. A., Alsaedi, H. I., Qurashi, A. A., Aloufi, K. M., Alshamrani, A. F. A., & Alzain, A. F. (2024). Assessment of Hounsfield Units and Factors Associated with Fragmentation of Renal Stones by Extracorporeal Shock Wave Lithotripsy: A Computerized Tomography Study. Tomography, 10(1), 90-100. https://doi.org/10.3390/tomography10010008

