Characterization of Gelatin-Polycaprolactone Membranes by Electrospinning
Abstract
1. Introduction
2. Materials and Methods
2.1. Materials
2.2. Membrane Manufacturing
2.2.1. Preparation of Solutions
2.2.2. Electrospinning Process
2.3. Solution Characterization
2.3.1. Physical Properties
2.3.2. Rheological Properties
2.4. Membranes Characterization
2.4.1. Contact Angle Measurements
2.4.2. Thermogravimetric Analysis (TGA)
2.4.3. Scanning Electron Microscopy (SEM)
2.4.4. Tensile Test
2.4.5. Statistical Analysis
3. Results and Discussion
3.1. Solution Characterization
3.2. Membrane Characterization
3.2.1. Contact Angle
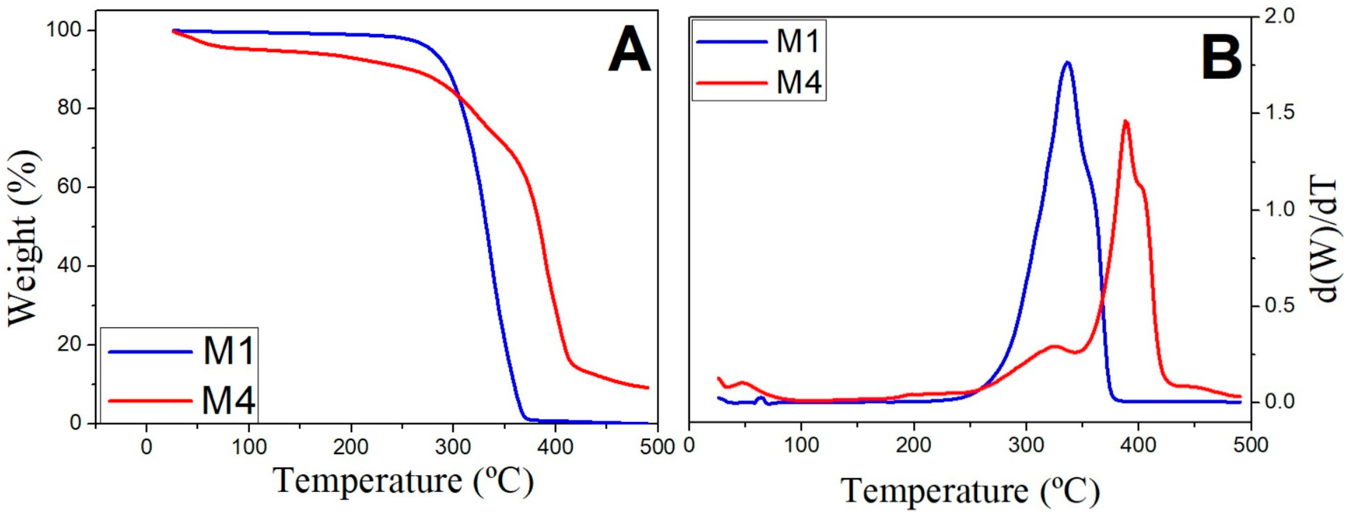
3.2.2. TGA
3.2.3. SEM
3.2.4. Tensile Tests
4. Conclusions
Author Contributions
Funding
Institutional Review Board Statement
Data Availability Statement
Acknowledgments
Conflicts of Interest
References
- Oh, S.H.; Park, I.K.; Kim, J.M.; Lee, J.H. In Vitro and in Vivo Characteristics of PCL Scaffolds with Pore Size Gradient Fabricated by a Centrifugation Method. Biomaterials 2007, 28, 1664–1671. [Google Scholar] [CrossRef] [PubMed]
- Wang, L.; Abedalwafa, M.; Wang, F.; Li, C. Biodegradable Poly-Epsilon-Caprolactone (PCL) for Tissue Engineering Applications: A Review. Rev. Adv. Mater. Sci. 2013, 34, 123–140. [Google Scholar]
- Siddiqui, N.; Asawa, S.; Birru, B.; Baadhe, R.; Rao, S. PCL-Based Composite Scaffold Matrices for Tissue Engineering Applications. Mol. Biotechnol. 2018, 60, 506–532. [Google Scholar] [CrossRef]
- Hamlehkhan, A.; Mozafari, M.; Nezafati, N.; Azami, M.; Samadikuchaksaraei, A. Novel Bioactive Poly(ε-Caprolactone)-Gelatin-Hydroxyapatite Nanocomposite Scaffolds for Bone Regeneration. Key Eng. Mater. 2011, 493–494, 909–915. [Google Scholar] [CrossRef]
- Wang, X.; Wu, P.; Hu, X.; You, C.; Guo, R.; Shi, H.; Guo, S.; Zhou, H.; Chaoheng, Y.; Zhang, Y.; et al. Polyurethane Membrane/Knitted Mesh-Reinforced Collagen–Chitosan Bilayer Dermal Substitute for the Repair of Full-Thickness Skin Defects via a Two-Step Procedure. J. Mech. Behav. Biomed. Mater. 2016, 56, 120–133. [Google Scholar] [CrossRef]
- Gautam, S.; Dinda, A.K.; Mishra, N.C. Fabrication and Characterization of PCL/Gelatin Composite Nanofibrous Scaffold for Tissue Engineering Applications by Electrospinning Method. Mater. Sci. Eng. C 2013, 33, 1228–1235. [Google Scholar] [CrossRef]
- Sharif, S.; Ai, J.; Azami, M.; Verdi, J.; Atlasi, M.A.; Shirian, S.; Samadikuchaksaraei, A. Collagen-coated Nano-electrospun PCL Seeded with Human Endometrial Stem Cells for Skin Tissue Engineering Applications. J. Biomed. Mater. Res. B Appl. Biomater. 2018, 106, 1578–1586. [Google Scholar] [CrossRef]
- Chan, B.P.; Leong, K.W. Scaffolding in Tissue Engineering: General Approaches and Tissue-Specific Considerations. Eur. Spine J. 2008, 17, 467–479. [Google Scholar] [CrossRef]
- Felix, M.; Romero, A.; Guerrero, A. Collagen as a Potential Biopolymer for the Production of Porous Matrices (Scaffolds) with Application in Tissue Engineering. Mater. Biomed. Eng. Absorbable Polym. 2019, 8, 217–244. [Google Scholar] [CrossRef]
- Perez-Puyana, V.; Jiménez-Rosado, M.; Romero, A.; Guerrero, A. Polymer-Based Scaffolds for Soft-Tissue Engineering. Polymers 2020, 12, 1566. [Google Scholar] [CrossRef]
- Okamoto, M. The Role of Scaffolds in Tissue Engineering. In Handbook of Tissue Engineering Scaffolds: Volume One; Elsevier: Amsterdam, The Netherlands, 2019; pp. 23–49. [Google Scholar]
- Burdick, J.A.; Mauck, R.L. Biomaterials for Tissue Engineering Applications; Burdick, J.A., Mauck, R.L., Eds.; Springer: Vienna, Austria, 2011; ISBN 978-3-7091-0384-5. [Google Scholar]
- Van Vlierberghe, S.; Dubruel, P.; Schacht, E. Biopolymer-Based Hydrogels As Scaffolds for Tissue Engineering Applications: A Review. Biomacromolecules 2011, 12, 1387–1408. [Google Scholar] [CrossRef]
- Regí, M.V.; Munuera, L. Biomateriales Aquí y Ahora; Editorial Dykinson: Madrid, Spain, 2000. [Google Scholar]
- Ramakrishna, S.; Ramalingam, M.; Kumar, T.S.S.; Soboyejo, W.O. Biomaterials: A Nano Approach; CRC Press: Boca Raton, FL, USA, 2010. [Google Scholar]
- Baranski, J.D.; Chaturvedi, R.R.; Stevens, K.R.; Eyckmans, J.; Carvalho, B.; Solorzano, R.D.; Yang, M.T.; Miller, J.S.; Bhatia, S.N.; Chen, C.S. Geometric Control of Vascular Networks to Enhance Engineered Tissue Integration and Function. Proc. Natl. Acad. Sci. USA 2013, 110, 7586–7591. [Google Scholar] [CrossRef]
- Sasaki, K.; Akagi, T.; Asaoka, T.; Eguchi, H.; Fukuda, Y.; Iwagami, Y.; Yamada, D.; Noda, T.; Wada, H.; Gotoh, K.; et al. Construction of Three-Dimensional Vascularized Functional Human Liver Tissue Using a Layer-by-Layer Cell Coating Technique. Biomaterials 2017, 133, 263–274. [Google Scholar] [CrossRef] [PubMed]
- Gungor-Ozkerim, P.S.; Inci, I.; Zhang, Y.S.; Khademhosseini, A.; Dokmeci, M.R. Bioinks for 3D Bioprinting: An Overview. Biomater. Sci. 2018, 6, 915–946. [Google Scholar] [CrossRef]
- Motamedian, S.R. Smart Scaffolds in Bone Tissue Engineering: A Systematic Review of Literature. World J. Stem Cells 2015, 7, 657. [Google Scholar] [CrossRef] [PubMed]
- Annabi, N.; Fathi, A.; Mithieux, S.M.; Weiss, A.S.; Dehghani, F. Fabrication of Porous PCL/Elastin Composite Scaffolds for Tissue Engineering Applications. J. Supercrit. Fluids 2011, 59, 157–167. [Google Scholar] [CrossRef]
- Park, S.H.; Park, D.S.; Shin, J.W.; Kang, Y.G.; Kim, H.K.; Yoon, T.R.; Shin, J.-W. Scaffolds for Bone Tissue Engineering Fabricated from Two Different Materials by the Rapid Prototyping Technique: PCL versus PLGA. J. Mater. Sci. Mater. Med. 2012, 23, 2671–2678. [Google Scholar] [CrossRef]
- Locarno, S.; Eleta-Lopez, A.; Lupo, M.G.; Gelmi, M.L.; Clerici, F.; Bittner, A.M. Electrospinning of Pyrazole-Isothiazole Derivatives: Nanofibers from Small Molecules. RSC Adv. 2019, 9, 20565–20572. [Google Scholar] [CrossRef] [PubMed]
- Lannutti, J.; Reneker, D.; Ma, T.; Tomasko, D.; Farson, D. Electrospinning for Tissue Engineering Scaffolds. Mater. Sci. Eng. C 2007, 27, 504–509. [Google Scholar] [CrossRef]
- Pillay, V.; Dott, C.; Choonara, Y.E.; Tyagi, C.; Tomar, L.; Kumar, P.; du Toit, L.C.; Ndesendo, V.M.K. A Review of the Effect of Processing Variables on the Fabrication of Electrospun Nanofibers for Drug Delivery Applications. J. Nanomater. 2013, 2013, 789289. [Google Scholar] [CrossRef]
- Sill, T.J.; von Recum, H.A. Electrospinning: Applications in Drug Delivery and Tissue Engineering. Biomaterials 2008, 29, 1989–2006. [Google Scholar] [CrossRef]
- Kolbuk, D.; Guimond-Lischer, S.; Sajkiewicz, P.; Maniura-Weber, K.; Fortunato, G. The Effect of Selected Electrospinning Parameters on Molecular Structure of Polycaprolactone Nanofibers. Int. J. Polym. Mater. Polym. Biomater. 2015, 64, 365–377. [Google Scholar] [CrossRef]
- Ahmed, F.E.; Lalia, B.S.; Hashaikeh, R. A Review on Electrospinning for Membrane Fabrication: Challenges and Applications. Desalination 2015, 356, 15–30. [Google Scholar] [CrossRef]
- Gil-Castell, O.; Badia, J.D.; Ribes-Greus, A. Tailored Electrospun Nanofibrous Polycaprolactone/Gelatin Scaffolds into an Acid Hydrolytic Solvent System. Eur. Polym. J. 2018, 101, 273–281. [Google Scholar] [CrossRef]
- Polonio-alcalá, E.; Rabionet, M.; Ruiz-martínez, S.; Palomeras, S.; Porta, R.; Vásquez-Dongo, C.; Bosch-barrera, J.; Puig, T.; Ciurana, J. Polycaprolactone Electrospun Scaffolds Produce an Enrichment of Lung Cancer Stem Cells in Sensitive and Resistant EGFRm Lung Adenocarcinoma. Cancers 2021, 13, 5320. [Google Scholar] [CrossRef]
- Howard, C.J.; Paul, A.; Duruanyanwu, J.; Sackho, K.; Campagnolo, P.; Stolojan, V. The Manufacturing Conditions for the Direct and Reproducible Formation of Electrospun PCL/Gelatine 3D Structures for Tissue Regeneration. Nanomaterials 2023, 13, 3107. [Google Scholar] [CrossRef]
- Alexeev, D.; Goedecke, N.; Snedeker, J.; Ferguson, S. Mechanical Evaluation of Electrospun Poly(ε-Caprolactone) Single Fibers. Mater. Today Commun. 2020, 24, 101211. [Google Scholar] [CrossRef]
- Himmler, M.; Garreis, F.; Paulsen, F.; Schubert, D.W.; Fuchsluger, T.A. Optimization of Polycaprolactone—Based Nanofiber Matrices for the Cultivation of Corneal Endothelial Cells. Sci. Rep. 2021, 11, 18858. [Google Scholar] [CrossRef] [PubMed]
- Jirkovec, R.; Erben, J.; Sajdl, P.; Chaloupek, J.; Chvojka, J. The Effect of Material and Process Parameters on the Surface Energy of Polycaprolactone Fibre Layers. Mater. Des. 2021, 205, 109748. [Google Scholar] [CrossRef]
- Elkhouly, H.; Mamdouh, W.; El-Korashy, D.I. Electrospun Nano-Fibrous Bilayer Scaffold Prepared from Polycaprolactone/Gelatin and Bioactive Glass for Bone Tissue Engineering. J. Mater. Sci. Mater. Med. 2021, 32, 111. [Google Scholar] [CrossRef] [PubMed]
- Alexeev, D.; Tschopp, M.; Helgason, B.; Ferguson, S.J. Electrospun Biodegradable Poly(Ε-caprolactone) Membranes for Annulus Fibrosus Repair: Long-term Material Stability and Mechanical Competence. JOR Spine 2021, 4, e1130. [Google Scholar] [CrossRef]
- Jana, S.; Bhagia, A.; Lerman, A. Optimization of Polycaprolactone Fibrous Scaffold for Heart Valve Tissue Engineering. Biomed. Mater. 2019, 14, 65014. [Google Scholar] [CrossRef]
- Yoshimoto, H.; Shin, Y.M.; Terai, H.; Vacanti, J.P. A Biodegradable Nanofiber Scaffold by Electrospinning and Its Potential for Bone Tissue Engineering. Biomaterials 2003, 24, 2077–2082. [Google Scholar] [CrossRef]
- Alves da Silva, M.L.; Martins, A.; Costa-Pinto, A.R.; Costa, P.; Faria, S.; Gomes, M.; Reis, R.L.; Neves, N.M. Cartilage Tissue Engineering Using Electrospun PCL Nanofiber Meshes and MSCs. Biomacromolecules 2010, 11, 3228–3236. [Google Scholar] [CrossRef]
- Fadil, F.; Affandi, N.D.N.; Ibrahim, N.A.; Misnon, M.I.; Harun, A.M.; Alam, M.K. Advanced Application of Electrospun Polycaprolactone Fibers for Seed Germination Activity. Adv. Polym. Technol. 2021, 2021, 5912156. [Google Scholar] [CrossRef]
- Mancipe, J.M.A.; Dias, M.L.; Thiré, R.M. da S.M. Avaliação Morfológica de Fibras Eletrofiadas de Policaprolactona Em Função Do Tipo de Solvente. Matéria 2019, 24, e12400. [Google Scholar] [CrossRef]
- Gkouti, E.; Czekanski, A.; AlAttar, A. Simulating and Predicting the Mechanical Behavior of Electrospun Scaffolds for Cardiac Patches Fabrication. Materials 2023, 16, 7095. [Google Scholar] [CrossRef]
- Rose, J.B.; Sidney, L.E.; Patient, J.; White, L.J.; Dua, H.S.; El Haj, A.J.; Hopkinson, A.; Rose, F.R.A.J. In Vitro Evaluation of Electrospun Blends of Gelatin and PCL for Application as a Partial Thickness Corneal Graft. J. Biomed. Mater. Res. A 2019, 107, 828–838. [Google Scholar] [CrossRef]
- Baskapan, B.; Callanan, A. Electrospinning Fabrication Methods to Incorporate Laminin in Polycaprolactone for Kidney Tissue Engineering. Tissue Eng. Regen. Med. 2022, 19, 73–82. [Google Scholar] [CrossRef]
- Bazzolo, B.; Sieni, E.; Zamuner, A.; Roso, M.; Russo, T.; Gloria, A.; Dettin, M.; Conconi, M.T. Breast Cancer Cell Cultures on Electrospun Poly(ε-Caprolactone) as a Potential Tool for Preclinical Studies on Anticancer Treatments. Bioengineering 2020, 8, 1. [Google Scholar] [CrossRef] [PubMed]
- Perez-Puyana, V.; Wieringa, P.; Yuste, Y.; de la Portilla, F.; Guererro, A.; Romero, A.; Moroni, L. Fabrication of Hybrid Scaffolds Obtained from Combinations of PCL with Gelatin or Collagen via Electrospinning for Skeletal Muscle Tissue Engineering. J. Biomed. Mater. Res. A 2021, 109, 1600–1612. [Google Scholar] [CrossRef] [PubMed]
- Lim, W.L.; Chowdhury, S.R.; Ng, M.H.; Law, J.X. Physicochemical Properties and Biocompatibility of Electrospun Polycaprolactone/Gelatin Nanofibers. Int. J. Environ. Res. Public. Health 2021, 18, 4764. [Google Scholar] [CrossRef] [PubMed]
- Semitela, Â.; Girão, A.F.; Fernandes, C.; Ramalho, G.; Bdikin, I.; Completo, A.; Marques, P.A.A.P. Electrospinning of Bioactive Polycaprolactone-Gelatin Nanofibres with Increased Pore Size for Cartilage Tissue Engineering Applications. J. Biomater. Appl. 2020, 35, 471–484. [Google Scholar] [CrossRef]
- Salehi, M.; Niyakan, M.; Ehterami, A.; Haghi-Daredeh, S.; Nazarnezhad, S.; Abbaszadeh-Goudarzi, G.; Vaez, A.; Hashemi, S.F.; Rezaei, N.; Mousavi, S.R. Porous Electrospun Poly(ε-Caprolactone)/Gelatin Nanofibrous Mat Containing Cinnamon for Wound Healing Application: In Vitro and In Vivo Study. Biomed. Eng. Lett. 2020, 10, 149–161. [Google Scholar] [CrossRef] [PubMed]
- Kalantary, S.; Golbabaei, F.; Latifi, M.; Shokrgozar, M.A.; Yaseri, M. Evaluation Resistance Levels of the PCL/Gt Nanofiber Mats during Exposure to PAHs for Use in the Occupational Setting. SN Appl. Sci. 2019, 1, 1042. [Google Scholar] [CrossRef]
- Chong, L.H.; Lim, M.M.; Sultana, N. Fabrication and Evaluation of Polycaprolactone/Gelatin-Based Electrospun Nanofibers with Antibacterial Properties. J. Nanomater. 2015, 2015, 970542. [Google Scholar] [CrossRef]
- Fu, W.; Liu, Z.; Feng, B.; Hu, R.; He, X.; Wang, H.; Yin, M.; Huang, H.; Zhang, H.; Wang, W. Electrospun Gelatin/PCL and Collagen/PLCL Scaffolds for Vascular Tissue Engineering. Int. J. Nanomedicine 2014, 9, 2335–2344. [Google Scholar] [CrossRef]
- Kim, G.-M.; Le, K.H.T.; Giannitelli, S.M.; Lee, Y.J.; Rainer, A.; Trombetta, M. Electrospinning of PCL/PVP Blends for Tissue Engineering Scaffolds. J. Mater. Sci. Mater. Med. 2013, 24, 1425–1442. [Google Scholar] [CrossRef]
- UNE-EN ISO 527-3:2019; Plásticos. Determinación de Las Propiedades En Tracción. Parte 3: Condiciones de Ensayo Para Películas y Hojas. AENOR: Madrid, Spain, 2019.
- Sinz, A. Chemical Cross-linking and Mass Spectrometry to Map Three-dimensional Protein Structures and Protein–Protein Interactions. Mass. Spectrom. Rev. 2006, 25, 663–682. [Google Scholar] [CrossRef] [PubMed]
- Kitsara, M.; Agbulut, O.; Kontziampasis, D.; Chen, Y.; Menasché, P. Fibers for Hearts: A Critical Review on Electrospinning for Cardiac Tissue Engineering. Acta Biomater. 2017, 48, 20–40. [Google Scholar] [CrossRef] [PubMed]
- Quigley, A.F.; Wagner, K.; Kita, M.; Gilmore, K.J.; Higgins, M.J.; Breukers, R.D.; Moulton, S.E.; Clark, G.M.; Penington, A.J.; Wallace, G.G.; et al. In Vitro Growth and Differentiation of Primary Myoblasts on Thiophene Based Conducting Polymers. Biomater. Sci. 2013, 1, 983. [Google Scholar] [CrossRef]
- Dowling, D.P.; Miller, I.S.; Ardhaoui, M.; Gallagher, W.M. Effect of Surface Wettability and Topography on the Adhesion of Osteosarcoma Cells on Plasma-Modified Polystyrene. J. Biomater. Appl. 2011, 26, 327–347. [Google Scholar] [CrossRef]
- Lewandowska, K. Miscibility and Thermal Stability of Poly(Vinyl Alcohol)/Chitosan Mixtures. Thermochim. Acta 2009, 493, 42–48. [Google Scholar] [CrossRef]
- Beltrame, J.M.; Guindani, C.; Novy, M.G.; Felipe, K.B.; Sayer, C.; Pedrosa, R.C.; Hermes de Araújo, P.H. Covalently Bonded N-Acetylcysteine-Polyester Loaded in PCL Scaffolds for Enhanced Interactions with Fibroblasts. ACS Appl. Bio Mater. 2021, 4, 1552–1562. [Google Scholar] [CrossRef] [PubMed]
- Zhang, S.; Yan, D.; Zhao, L.; Lin, J. Composite Fibrous Membrane Comprising PLA and PCL Fibers for Biomedical Application. Compos. Commun. 2022, 34, 101268. [Google Scholar] [CrossRef]
- Ren, K.; Wang, Y.; Sun, T.; Yue, W.; Zhang, H. Electrospun PCL/Gelatin Composite Nanofiber Structures for Effective Guided Bone Regeneration Membranes. Mater. Sci. Eng. C 2017, 78, 324–332. [Google Scholar] [CrossRef]
- Jenkins, T.L.; Little, D. Synthetic Scaffolds for Musculoskeletal Tissue Engineering: Cellular Responses to Fiber Parameters. NPJ Regen. Med. 2019, 4, 15. [Google Scholar] [CrossRef]






| Solvents | PCL Molecular Weight (kDa) | PCL Concentration (%) | Voltage (kV) | Needle-Collector Distance (cm) | Flow Rate (mL/h) | Needle Diameter (mm) | Reference |
|---|---|---|---|---|---|---|---|
| Acetic acid/Formic acid 1:1 | 85 | 15 | 25 | 15 | 1 | 0.5 | [28] |
| Acetic acid/Formic acid 1:1 | 80 | 10 | 9 | 10 | 6 | 0.8 | [29] |
| Acetic acid/Formic acid 1:1 | 80 | 15 | 7 | 10 | 6 | 0.8 | [29] |
| Acetic acid/Formic acid 1:1 | 80 | 14 | 12; 16; 20 | 10; 15; 20 | 0.5; 1.25; 2 | 0.8 | [30] |
| Acetic acid/Formic acid 1:1 | 80 | 18 | 20; 12; 16 | 15; 20; 16 | 0.5; 1.25; 2 | 0.8 | [30] |
| Acetic acid/Formic acid 1:1 | 80 | 22 | 16; 20; 12 | 20; 10; 15 | 0.5; 1.25; 2 | 0.8 | [30] |
| Acetic acid/Formic acid 1:1 | 80 | 26 | 20 | 25 | 10 | 0.8 | [30] |
| Acetic acid/Formic acid 1:9 | 80 | 22 | 16–20 | 17.5 | 1.56 | 0.8 | [31] |
| Acetic acid/Formic acid 3:7 | 80 | 12 | 15 | 17 | 0.2 | - | [32] |
| Acetic acid/Formic acid/acetone 1:1:1 | 80 | 8; 10; 12 | 50 | 17 | - | - | [33] |
| Acetic acid/Formic acid/acetone 1:1:1 | 45 | 14; 16; 18 | 50 | 17 | - | - | [33] |
| Formic acid | 80 | 14 | 17 | 13 | 0.5 | 0.82 | [34] |
| Chloroform | 80 | 12 | 24 | 19 | 1.56 | 0.8 | [35] |
| Chloroform | 80 | 14; 16; 18 | 8 | 15 | 0.5 | - | [36] |
| Chloroform | 80 | 10 | 13 | - | 6 | 1 | [37] |
| Chloroform/dimethylformamide 7:3 | 80 | 17 | 9 | 20 | 1 | 0.8 | [38] |
| Chloroform/ethanol 7:3 | 80 | 12 | 20 | 22 | 1 | - | [32] |
| Chloroform/ethanol 8:2 | 80 | 8; 10;12 | 50 | 17 | - | - | [33] |
| Chloroform/ethanol 8:2 | 45 | 14; 16; 18 | 50 | 17 | - | - | [33] |
| Chloroform/ethanol/acetic acid 8:1:1 | 80 | 8; 10; 12 | 50 | 17 | - | - | [33] |
| Chloroform/ethanol/acetic acid 8:1:1 | 45 | 14; 16; 18 | 50 | 17 | - | - | [33] |
| Chloroform/methanol 12:1 | 80 | 12 | 16–20 | 17.5 | 1.56 | 0.8 | [31] |
| Chloroform/methanol 24:1 | 80 | 12 | 16–20 | 17.5 | 1.56 | 0.8 | [31] |
| Chloroform/methanol 6:1 | 80 | 12 | 16 | 19 | 1.62 | 0.6 | [35] |
| Chloroform/methanol 6:1 | 80 | 8; 12 | 16–20 | 17.5 | 1.56 | 0.8 | [31] |
| Chloroform/methanol 7,3:1 | 80 | 12 | 24 | 19 | 1.56 | 0.8 | [35] |
| Dichloromethane | 80 | 10 | 15 | 10 | 0.05; 0.1; 0.15; 0.2 | 0.4 | [39] |
| Dichloromethane/methanol 4:1 | 80 | 16 | 12 | 20 | 5 | 0.5 | [28] |
| Dimethylformamide/dichloromethane 7:3 | 55.6 | 10 | 15; 17; 20 | 15 | 0.5 | 0.3 | [40] |
| Dimethylformamide/dichloromethane 1:1 | 80 | 15 | 17.5 | 15 | 1 | 0.9 | [41] |
| Hexafluoroisopropanol | 80 | 8 | 20 | 20 | 0.8 | 0.84 | [42] |
| Hexafluoroisopropanol | 80 | 14 | 14 | 22 | 1 | 0.8 | [43] |
| Hexafluoroisopropanol | 60 | 13 | 20 | 22 | 0.2 | 0.2 | [44] |
| Hexafluoroisopropanol | 45 | 16 | 14 | 14 | 0.4 | 0.5 | [45] |
| Trifluoroethanol | - | 6 | 5 | 20 | 0.05 | - | [46] |
| Trifluoroethanol | 80 | 10 | 20 | 15 | 1 | - | [39] |
| Trifluoroethanol/dimethylformamide 3:1 | 80 | 10 | 27 | - | 1.5 | 0.8 | [47] |
| Scheme | PCL Molecular Weight (kDa) | PCL Concentration (%) | Gelatin Concentration (%) | Gel Type | Voltage (kV) | Needle-Collector Distance (cm) | Flow Rate (mL/h) | Needle Diameter (mm) | Ref. |
|---|---|---|---|---|---|---|---|---|---|
| Acetic acid | 80 | 8 | 40 | A | 15 | 15 | 0.2 | - | [32] |
| Acetic acid | 48–90 | 10 | 10 | B | 20 | 15 | 0.8 | 0.8 | [48] |
| Acetic acid/formic acid 1:1 | 85 | 13.5; 12; 10.5; 9; 7.5; 6; 4.5; 3 | 1.5; 3; 4.5; 6; 7.5; 9; 10.5; 12 | A | 25 | 15 | 1 | 0.5 | [28] |
| Acetic acid/formic acid 1:1 | 80 | 19.2 | 4.8 | - | 22 | 15 | 1.5 | 0.8 | [30] |
| Acetic acid/formic acid 9:1 | 80 | 13.5; 12; 10.5; 9; 7.5; 6; 4.5; 3; 1.5 | 1.5; 3; 4.5; 6; 7.5; 9; 10.5; 12; 13.5 | A | 10 | 15 | 0.6 | 0.34 | [49] |
| Formic acid | 80 | 14 | 4; 2 | A | 25 | 13 | 1 | 0.82 | [34] |
| Formic acid | 70–80 | 10 | 2; 4; 6 | - | 18 | 10 | 0.5 | - | [50] |
| Hexafluoroisopropanol | 45 | 16 | 2; 4 | B | 14 | 14 | 0.4 | 0.5 | [45] |
| Hexafluoroisopropanol | 80 | 8 | 2; 4 | A | 15 | 15 | 0.8 | 0.84 | [42] |
| Trifluoroethanol | - | 6 | 10 | - | 5 | 20 | 0,05 | - | [46] |
| Trifluoroethanol | 80 | 10 | 10 | A | 10 | 13 | 2 | - | [51] |
| Trifluoroethanol/acetic acid 1000:2 | 80 | 10 | 10 | - | 27 | - | 1.5 | 0.8 | [47] |
| Solvents | Molecular Weight PCL (kDa) | Mixture Concentration (%) | PCL Concentration (%) | Gelatin Concentration (%) | |
|---|---|---|---|---|---|
| M1 | AA/FA (1:1) | 80 | 12 | 12 | 0 |
| M2 | AA | 80 | 20 | 12 | 8 |
| M3 | AA/FA (3:2) | 80 | 20 | 12 | 8 |
| M4 | AA/FA (1:1) | 80 | 20 | 12 | 8 |
| M5 | AA/FA (2:3) | 80 | 20 | 12 | 8 |
| M6 | FA | 80 | 20 | 12 | 8 |
| M7 | AA/FA (1:1) | 80 | 20 | 20 | 0 |
| Systems | Viscosity (Pa·s) | Density (g/cm3) | Conductivity (μS/cm) | |
|---|---|---|---|---|
| M1 | PCL 12% + AA/FA (1:1) | 0.094 ± 0.001 a | 1.123 ± 0.001 A | 18.17 ± 0.65 β |
| M2 | PCL 12%/GE 8%+ AA | - | - | - |
| M3 | PCL 12%/GE 8% + AA/FA (3:2) | 0.857 ± 0.022 e | 1.145 ± 0.006 C | 407.67 ± 3.51 γ |
| M4 | PCL 12%/GE 8% + AA/FA (1:1) | 0.463 ± 0.002 c | 1.143 ± 0.001 C | 573.67 ± 2.08 δ |
| M5 | PCL 12%/GE 8% + AA/FA (2:3) | 0.632 ± 0.005 d | 1.158 ± 0.001 D | 783.33 ± 5.51 ε |
| M6 | PCL 12%/GE 8% + FA | 0.116 ± 0.004 b | 1.212 ± 0.001 E | 2.84 ± 0.03 α |
| M7 | PCL 20% + AC/FA (1:1) | 0.682 ± 0.002 d | 1.131 ± 0.001 B | 12.81 ± 1.30 β |
| Systems | Fiber Size (nm) | Porosity (%) | Size of Beads (μm) | |
|---|---|---|---|---|
| M1 | PCL 12% + AA/FA (1:1) | 111 ± 34 b | 47.0 ± 0.8 c | 1.05 ± 0.38 |
| M2 | PCL 12%/GE 8% + AA | - | - | - |
| M3 | PCL 12%/GE 8% + AA/FA (3:2) | 451 ± 80 d | 36.2 ± 2.3 b | - |
| M4 | PCL 12%/GE 8% + AA/FA (1:1) | 289 ± 82 c | 56.2 ± 2.3 d | - |
| M5 | PCL 12%/GE 8% + AA/FA (2:3) | 237 ± 72 c | 33.9 ± 34 b | - |
| M6 | PCL 12%/GE 8% + FA | 70 ± 24 a | 44.2 ± 1.6 c | 0.56 ± 0.39 |
| M7 | PCL 20% + AA/FA (1:1) | 247 ± 81c | 27.7 ± 1.1 a | - |
| Systems | εmax (%) | σmax (kPa) | E (kPa) | |
|---|---|---|---|---|
| M1 | PCL 12% + AA/FA (1:1) | 38.0 ± 3.3 | 82.5 ± 3.3 | 22.6 ± 1.8 |
| M4 | PCL 12%/GE 8% + AA/FA (1:1) | 5.5 ± 0.2 | 40.6 ± 12.0 | 66.6 ± 7.8 |
| M7 | PCL 20% + AC/FA (1:1) | 21.5 ± 2.0 | 181.0 ± 9.1 | 89.6 ± 0.65 |
Disclaimer/Publisher’s Note: The statements, opinions and data contained in all publications are solely those of the individual author(s) and contributor(s) and not of MDPI and/or the editor(s). MDPI and/or the editor(s) disclaim responsibility for any injury to people or property resulting from any ideas, methods, instructions or products referred to in the content. |
© 2024 by the authors. Licensee MDPI, Basel, Switzerland. This article is an open access article distributed under the terms and conditions of the Creative Commons Attribution (CC BY) license (https://creativecommons.org/licenses/by/4.0/).
Share and Cite
Rodríguez-Martín, M.; Aguilar, J.M.; Castro-Criado, D.; Romero, A. Characterization of Gelatin-Polycaprolactone Membranes by Electrospinning. Biomimetics 2024, 9, 70. https://doi.org/10.3390/biomimetics9020070
Rodríguez-Martín M, Aguilar JM, Castro-Criado D, Romero A. Characterization of Gelatin-Polycaprolactone Membranes by Electrospinning. Biomimetics. 2024; 9(2):70. https://doi.org/10.3390/biomimetics9020070
Chicago/Turabian StyleRodríguez-Martín, Manuel, José Manuel Aguilar, Daniel Castro-Criado, and Alberto Romero. 2024. "Characterization of Gelatin-Polycaprolactone Membranes by Electrospinning" Biomimetics 9, no. 2: 70. https://doi.org/10.3390/biomimetics9020070
APA StyleRodríguez-Martín, M., Aguilar, J. M., Castro-Criado, D., & Romero, A. (2024). Characterization of Gelatin-Polycaprolactone Membranes by Electrospinning. Biomimetics, 9(2), 70. https://doi.org/10.3390/biomimetics9020070

