Quasi-Static Mechanical Biomimetics Evaluation of Car Crash Dummy Skin
Abstract
1. Introduction
2. Materials and Methods
2.1. Preparation of Porcine Soft Tissue and Dummy Skin Specimens
2.2. Compression Test Protocol
2.3. Finite Element Analysis
3. Results
3.1. Hyperelastic Mechanical Properties of Soft Tissue and Dummy Skin
3.2. Finite Element Analysis of Dummy Skin Specimen Under Compression
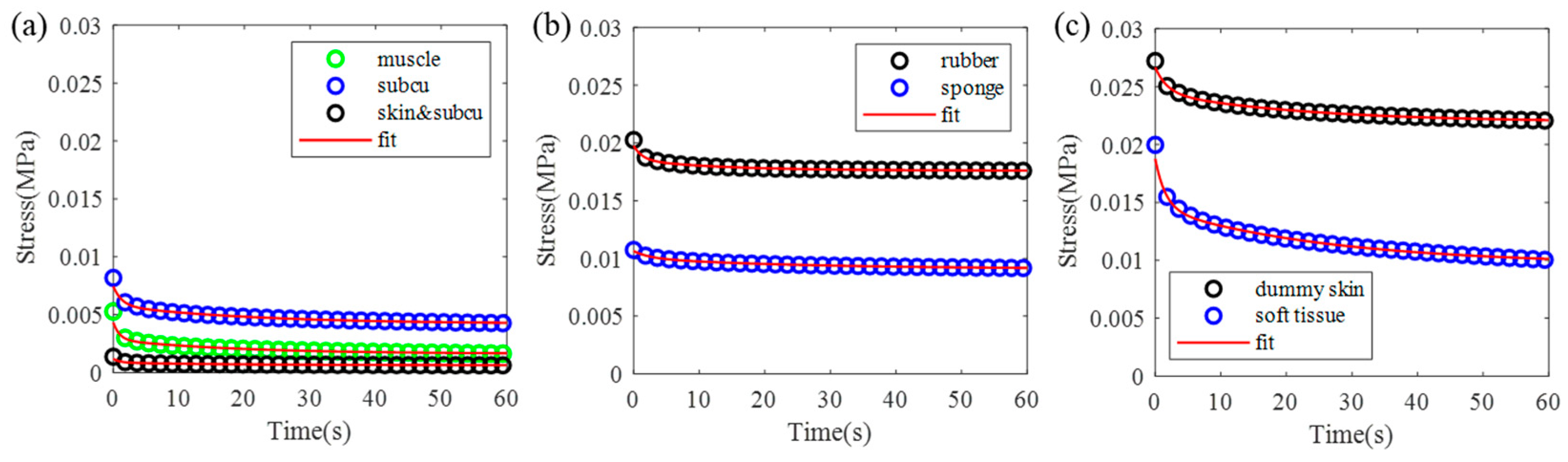
3.3. Viscoelasticity Comparison Between Soft Tissue and Dummy Skin
4. Discussion
5. Conclusions
Author Contributions
Funding
Institutional Review Board Statement
Data Availability Statement
Conflicts of Interest
References
- Sharabi, M. Structural Mechanisms in Soft Fibrous Tissues: A Review. Front. Mater. 2022, 8, 793647. [Google Scholar] [CrossRef]
- Zhong, J.; Huang, W.; Zhou, H. Multifunctionality in Nature: Structure–Function Relationships in Biological Materials. Biomimetics 2023, 8, 284. [Google Scholar] [CrossRef] [PubMed]
- Lynch, B.; Pageon, H.; Le Blay, H.; Brizion, S.; Bastien, P.; Bornschlögl, T.; Domanov, Y. A mechanistic view on the aging human skin through ex vivo layer-by-layer analysis of mechanics and microstructure of facial and mammary dermis. Sci. Rep. 2022, 12, 849. [Google Scholar] [CrossRef] [PubMed]
- Jamaleddin, M.Y.S.; Javad, B. Mechanical modeling and characterization of human skin: A review. J. Biomech. 2022, 130, 110864. [Google Scholar]
- Joodaki, H.; Panzer, M.B. Skin mechanical properties and modeling: A review. Proc. Inst. Mech. Eng. H 2018, 232, 323–343. [Google Scholar] [CrossRef]
- Shoham, N.; Gefen, A. The Biomechanics of Fat: From Tissue to a Cell Scale. In Structure-Based Mechanics of Tissues and Organs; Kassab, G.S., Sacks, M.S., Eds.; Springer: Boston, MA, USA, 2016; pp. 79–92. [Google Scholar]
- Aude, L.; Philippe, P.; Bensamoun, S.F.; Daniel, G.; Simon, C. Multiscale Mechanical Modeling of Skeletal Muscle: A Systemic Review of the Literature. J. Med. Biol. Eng. 2024, 44, 337–356. [Google Scholar]
- Shergold, O.A.; Fleck, N.A.; Radford, D. The uniaxial stress versus strain response of pig skin and silicone rubber at low and high strain rates. Int. J. Impact Eng. 2004, 32, 1384–1402. [Google Scholar] [CrossRef]
- Wu, J.Z.; Dong, R.G.; Smutz, W.P.; Schopper, A.W. Nonlinear and viscoelastic characteristics of skin under compression: Experiment and analysis. Biomed. Mater. Eng. 2003, 13, 373–385. [Google Scholar]
- Shin, H.; Han, D.; Kim, S.; Rhim, S. Calibration of Visco-Hyperelastic Model for Tensile Behavior of Porcine Skin. Arch. Metall. Mater. 2023, 64, 819–822. [Google Scholar] [CrossRef]
- Comley, K.; Fleck, N. The compressive response of porcine adipose tissue from low to high strain rate. Int. J. Impact Eng. 2012, 46, 1–10. [Google Scholar] [CrossRef]
- Sun, Z.; Gepner, B.D.; Cottler, P.S.; Lee, S.H.; Kerrigan, J.R. In Vitro Mechanical Characterization and Modeling of Subcutaneous Adipose Tissue: A Comprehensive Review. J. Biomech. Eng. 2021, 143, 070803. [Google Scholar] [CrossRef] [PubMed]
- Calvo-Gallego, J.L.; Domínguez, J.; Cía, T.G.; Ciriza, G.G.; Martínez-Reina, J. Comparison of different constitutive models to characterize the viscoelastic properties of human abdominal adipose tissue. A pilot study. J. Mech. Behav. Biomed. Mater. 2018, 80, 293–302. [Google Scholar] [CrossRef] [PubMed]
- Walter, H. Skeletal muscle mechanics: Questions, problems and possible solutions. J. Neuroeng. Rehabil. 2017, 14, 98. [Google Scholar]
- Rothwell, J.C. Mechanical Properties of Muscles. In Control of Human Voluntary Movement; Springer: Boston, MA, USA, 1987; pp. 6–30. [Google Scholar]
- Mo, F.; Zheng, Z.; Zhang, H.; Li, G.; Yang, Z.; Sun, D. In vitro compressive properties of skeletal muscles and inverse finite element analysis: Comparison of human versus animals. J. Biomech. 2020, 109, 109916. [Google Scholar] [CrossRef] [PubMed]
- Van Loocke, M.; Lyons, C.G.; Simms, C.K. A validated model of passive muscle in compression. J. Biomech. 2006, 39, 2999–3009. [Google Scholar] [CrossRef]
- Lohr, M.J.; Sugerman, G.P.; Kakaletsis, S.; Lejeune, E.; Rausch, M.K. An introduction to the Ogden model in biomechanics: Benefits, implementation tools and limitations. Philos. Trans. R. Soc. A 2022, 380, 20210365. [Google Scholar] [CrossRef] [PubMed]
- Wei, K.; Peng, X.; Yanxian, Y.; Lizhen, W.; Yubo, F. Difference analysis of phenomenological models with two variable forms for soft tissue quasi-static mechanical characterization. Comput. Biol. Med. 2022, 150, 106150. [Google Scholar]
- Parker, K.J.; Szabo, T.; Holm, S. Towards a consensus on rheological models for elastography in soft tissues. Phys. Med. Biol. 2019, 64, 215012. [Google Scholar] [CrossRef] [PubMed]
- Poul, S.S.; Ormachea, J.; Ge, G.R.; Parker, K.J. Comprehensive experimental assessments of rheological models’ performance in elastography of soft tissues. Acta Biomater. 2022, 146, 259–273. [Google Scholar] [CrossRef]
- Ogden, R.W.; Hill, R. Large deformation isotropic elasticity: On the correlation of theory and experiment for compressible rubberlike solids. Proc. R. Soc. Lond. A Math. Phys. Sci. 1997, 328, 567–583. [Google Scholar] [CrossRef]
- Tao, X.; Xiaoming, S.; Tianyi, Z.; Huan, L.; Xiao, L.; Ao, D. Development and Validation of Dummies and Human Models Used in Crash Test. Appl. Bionics Biomech. 2018, 2018, 3832850. [Google Scholar]
- Ogden, R.W.; Sternberg, E. Nonlinear Elastic Deformations. J. Appl. Mech. 1985, 52, 740–741. [Google Scholar] [CrossRef]
- Mao, H. Chapter 12—Modeling the Head for Impact Scenarios. In Basic Finite Element Method as Applied to Injury Biomechanics; Yang, K.-H., Ed.; Academic Press: Cambridge, MA, USA, 2018; pp. 469–502. [Google Scholar]
- Yin, Y.; Shaohua, C.; Zhuping, H. A generalized Ogden model for the compressibility of rubber-like solids. Philos. Trans. R. Soc. A 2022, 380, 20210320. [Google Scholar]
- Serra-Aguila, A.; Puigoriol-Forcada, J.M.; Reyes, G.; Menacho, J. Viscoelastic models revisited: Characteristics and interconversion formulas for generalized Kelvin–Voigt and Maxwell models. Acta Mech. Sin. 2019, 35, 1191–1209. [Google Scholar] [CrossRef]
- Randhawa, A.; Wakeling, J.M. Multidimensional models for predicting muscle structure and fascicle pennation. J. Theor. Biol. 2015, 382, 57–63. [Google Scholar] [CrossRef] [PubMed]
- Song, B.; Chen, W.; Ge, Y.; Weerasooriya, T. Dynamic and quasi-static compressive response of porcine muscle. J. Biomech. 2007, 40, 2999–3005. [Google Scholar] [CrossRef] [PubMed]
- Pervin, F.; Chen, W.W.; Weerasooriya, T. Dynamic compressive response of bovine liver tissues. J. Mech. Behav. Biomed. Mater. 2011, 4, 76–84. [Google Scholar] [CrossRef] [PubMed]
- ASTM D575-91; Standard Test Methods for Rubber Properties in Compression. ASTM: West Conshohocken, PA, USA, 2018.
- GB5602-85; Method for Multiple Compression Tests of Vulcanized Rubber. Ministry of Transport of the Peolple’s Republic of China: Beijing, China.
- Yang, K.; Hu, X.; Pan, F.; Qiao, C.; Ding, B.; Hu, L.; Hu, X.; He, Z.; Chen, Y. An on-demand tunable energy absorption system to resolve multi-directional impacts. Int. J. Solids Struct. 2023, 271–272, 112257. [Google Scholar] [CrossRef]
- Yang, K.; Rao, L.; Hu, L.; Pan, F.; Yin, Q.; Chen, Y. Flexible, efficient and adaptive modular impact-resistant metamaterials. Int. J. Mech. Sci. 2023, 239, 107893. [Google Scholar] [CrossRef]









| Specimen (Length × Width × Thickness) mm | (kPa) | e | ||
|---|---|---|---|---|
| Soft tissue | Skin (50 × 50 × 7) | 0.159 | 6.552 | 1.552 × 10−7 |
| Subcutaneous tissue (50 × 50 × 3) | 0.049 | 6.421 | 3.984 × 10−7 | |
| Muscle (51 × 51 × 17) | 0.115 | 5.880 | 3.665 × 10−7 | |
| multi-layer (51 × 51 × 35) | 0.763 | 6.395 | 5.919 × 10−7 | |
| Dummy skin | Rubber (47 × 48 × 2) | 2.029 | 5.424 | 9.520 × 10−8 |
| Sponge (46 × 44 × 40) | 10.403 | 1.369 | 9.880 × 10−7 | |
| multi-layer (50 × 53 × 17) | 5.59131 | 4.008 | 1.220 × 10−6 | |
| Specimen | Thickness (mm) | E0 (kPa) | E1 (kPa) | E2 (kPa) | τ1 (s) | τ2 (s) | e |
|---|---|---|---|---|---|---|---|
| Muscle | 10.00 | 1.613 | 1.497 | 1.217 | 0.960 | 19.140 | 4.996 × 10−7 |
| Subcu | 18.50 | 4.195 | 1.686 | 1.579 | 1.285 | 21.660 | 2.140 × 10−7 |
| Skin and subcu | 17.50 | 0.628 | 0.331 | 0.234 | 0.963 | 17.693 | 9.302 × 10−8 |
| Full tissue | 40.06 | 9.618 | 4.248 | 4.909 | 1.559 | 26.317 | 2.053 × 10−8 |
| Rubber | 2.20 | 17.601 | 1.231 | 0.919 | 1.359 | 13.465 | 1.237 × 10−8 |
| Sponge | 40.00 | 9.082 | 0.613 | 0.943 | 2.488 | 26.264 | 1.558 × 10−8 |
| Full dum. skin | 17.00 | 21.922 | 2.188 | 2.559 | 1.816 | 22.743 | 8.890 × 10−8 |
| Skin | Subcutaneous Tissue | Muscle | Rubber | Sponge | Dummy Skin | |
|---|---|---|---|---|---|---|
| σ0 (kPa) | 1.59 | 6.70 | 13.91 | 22.16 | 10.72 | 28.71 |
| σ∞ (kPa) | 0.97 | 4.17 | 5.88 | 19.77 | 9.79 | 24.34 |
| τ (s) | 3.0 | 9.0 | 27.6 | 8.4 | 7.2 | 18 |
| γ (%) | 56.0 | 50.0 | 65.4 | 16.1 | 15.2 | 18.9 |
Disclaimer/Publisher’s Note: The statements, opinions and data contained in all publications are solely those of the individual author(s) and contributor(s) and not of MDPI and/or the editor(s). MDPI and/or the editor(s) disclaim responsibility for any injury to people or property resulting from any ideas, methods, instructions or products referred to in the content. |
© 2024 by the authors. Licensee MDPI, Basel, Switzerland. This article is an open access article distributed under the terms and conditions of the Creative Commons Attribution (CC BY) license (https://creativecommons.org/licenses/by/4.0/).
Share and Cite
Li, Y.; Liu, Z.; Sun, C.; Zheng, X.; Du, G.; Wang, X.; Wang, S.; Liu, W. Quasi-Static Mechanical Biomimetics Evaluation of Car Crash Dummy Skin. Biomimetics 2024, 9, 762. https://doi.org/10.3390/biomimetics9120762
Li Y, Liu Z, Sun C, Zheng X, Du G, Wang X, Wang S, Liu W. Quasi-Static Mechanical Biomimetics Evaluation of Car Crash Dummy Skin. Biomimetics. 2024; 9(12):762. https://doi.org/10.3390/biomimetics9120762
Chicago/Turabian StyleLi, Yurun, Zhixin Liu, Cuiru Sun, Xiaoya Zheng, Guorui Du, Xiaoshuang Wang, Songchen Wang, and Weidong Liu. 2024. "Quasi-Static Mechanical Biomimetics Evaluation of Car Crash Dummy Skin" Biomimetics 9, no. 12: 762. https://doi.org/10.3390/biomimetics9120762
APA StyleLi, Y., Liu, Z., Sun, C., Zheng, X., Du, G., Wang, X., Wang, S., & Liu, W. (2024). Quasi-Static Mechanical Biomimetics Evaluation of Car Crash Dummy Skin. Biomimetics, 9(12), 762. https://doi.org/10.3390/biomimetics9120762

