Role of Tail Dynamics on the Climbing Performance of Gecko-Inspired Robots: A Simulation and Experimental Study
Abstract
1. Introduction
2. Construction of a Climbing Dynamics Simulation System
2.1. Overall Structure of the WCQR-III Robot
2.2. Multibody Dynamics Modeling
2.3. Dynamic Contact Modeling
2.4. Simulation Environment Setup
| Algorithm 1 Dynamic Climbing Algorithm | |
| Input: desired motion trajectory coordinates | |
| Output | |
| 1 | #Inverse Kinematics (IK) calculation to obtain joint angles |
| 2 | for t = 0; t ≤ T; t++ do |
| 3 | |
| 4 | if −10 ≤ y(t) ≤ 0 and z(t) ≤ |
| 5 | Equation (10) |
| 6 | Equation (10) |
| 7 | Equation (20) |
| 8 | break; |
| 9 | else: |
| 10 | |
| 11 | continue |
3. Simulation Results
3.1. Maximum Climbing Angle Simulation
3.2. Performance on Different Slopes
4. Experiments
4.1. Experimental Platform
4.2. Experimental Results
4.2.1. Maximum Climbing Angle Test
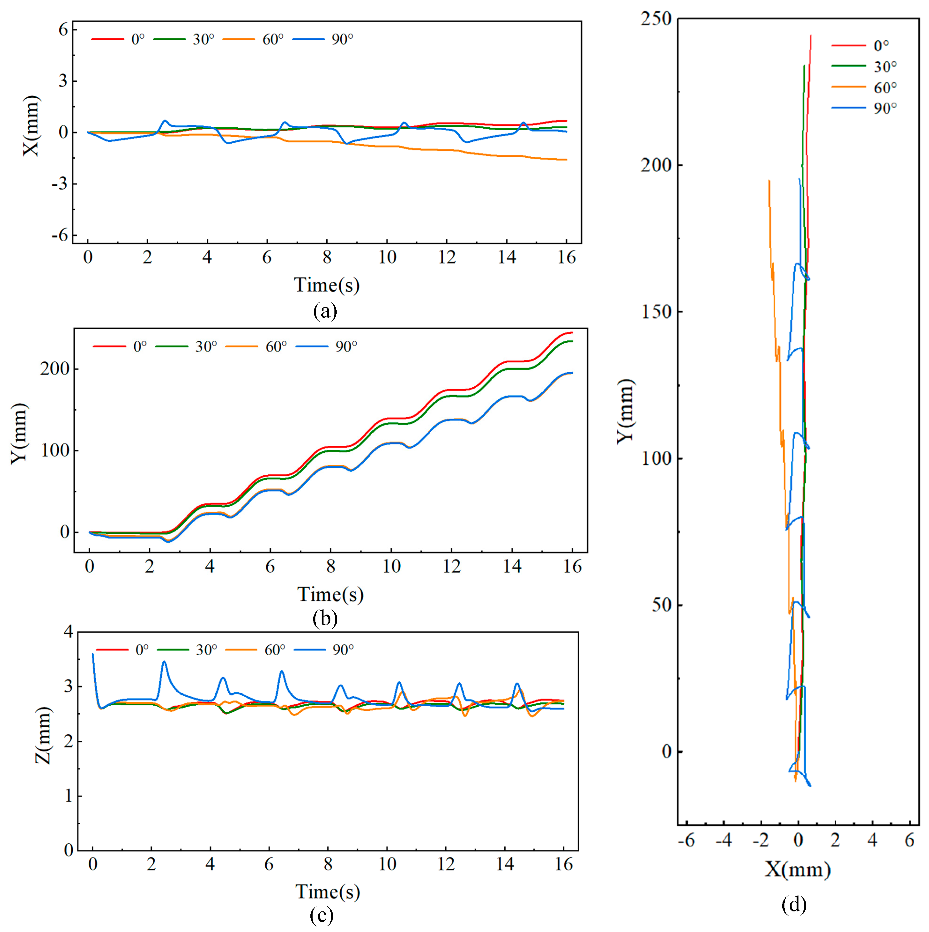
4.2.2. Motion Performance Testing on Different Slopes
5. Discussion and Conclusions
Author Contributions
Funding
Institutional Review Board Statement
Data Availability Statement
Conflicts of Interest
References
- Autumn, K.; Sitti, M.; Liang, Y.A.; Peattie, A.M.; Hansen, W.R.; Sponberg, S.; Kenny, T.W.; Fearing, R.; Israelachvili, J.N.; Full, R.J. Evidence for van der Waals adhesion in gecko setae. Proc. Natl. Acad. Sci. USA 2002, 99, 12252–12256. [Google Scholar] [CrossRef] [PubMed]
- Autumn, K.; Liang, Y.A.; Hsieh, S.T.; Zesch, W.; Chan, W.P.; Kenny, T.W.; Fearing, R.; Full, R.J. Adhesive force of a single gecko foot-hair. Nature 2000, 405, 681–685. [Google Scholar] [CrossRef] [PubMed]
- Unver, O.; Uneri, A.; Aydemir, A.; Sitti, M. Geckobot: A gecko inspired climbing robot using elastomer adhesives. In Proceedings of the 2006 IEEE International Conference on Robotics and Automation, ICRA 2006, Orlando, FL, USA, 15–19 May 2006; pp. 2329–2335. [Google Scholar]
- Kim, S.; Spenko, M.; Trujillo, S.; Heyneman, B.; Mattoli, V.; Cutkosky, M.R. Whole body adhesion: Hierarchical, directional and distributed control of adhesive forces for a climbing robot. In Proceedings of the 2007 IEEE International Conference on Robotics and Automation, Roma, Italy, 10–14 April 2007; pp. 1268–1273. [Google Scholar]
- Hawkes, E.W.; Ulmen, J.; Esparza, N.; Cutkosky, M.R. Scaling walls: Applying dry adhesives to the real world. In Proceedings of the 2011 IEEE/RSJ International Conference on Intelligent Robots and Systems, San Francisco, CA, USA, 25–30 September 2011; pp. 5100–5106. [Google Scholar]
- Li, Z.; Li, Z.; Tam, L.M.; Xu, Q. Design and Development of a Versatile Quadruped Climbing Robot with Obstacle-Overcoming and Manipulation Capabilities. IEEE/ASME Trans. Mechatron. 2022, 28, 1649–1661. [Google Scholar] [CrossRef]
- Hernando, M.; Gambao, E.; Prados, C.; Brito, D.; Brunete, A. ROMERIN: A new concept of a modular autonomous climbing robot. Int. J. Adv. Robot. Syst. 2022, 19, 17298806221123416. [Google Scholar] [CrossRef]
- Zhu, H.; Lu, J.; Gu, S.; Wei, S.; Guan, Y. Planning three-dimensional collision-free optimized climbing path for biped wall-climbing robots. IEEE/ASME Trans. Mechatron. 2020, 26, 2712–2723. [Google Scholar] [CrossRef]
- Zhao, D.; Luo, H.; Tu, Y.; Meng, C.; Lam, T.L. Snail-inspired robotic swarms: A hybrid connector drives collective adaptation in unstructured outdoor environments. Nat. Commun. 2024, 15, 3647. [Google Scholar] [CrossRef]
- Hong, S.; Um, Y.; Park, J.; Park, H.-W. Agile and versatile climbing on ferromagnetic surfaces with a quadrupedal robot. Sci. Robot. 2022, 7, eadd1017. [Google Scholar] [CrossRef]
- Zhang, W.; Zhang, W.; Sun, Z. A reconfigurable soft wall-climbing robot actuated by electromagnet. Int. J. Adv. Robot. Syst. 2021, 18, 1729881421992285. [Google Scholar] [CrossRef]
- Zi, P.; Xu, K.; Chen, J.; Wang, C.; Zhang, T.; Luo, Y.; Tian, Y.; Wen, L.; Ding, X. Intelligent Rock-Climbing Robot Capable of Multimodal Locomotion and Hybrid Bioinspired Attachment. Adv. Sci. 2024, 2024, 2309058. [Google Scholar] [CrossRef]
- Zi, P.; Xu, K.; Tian, Y.; Ding, X. A mechanical adhesive gripper inspired by beetle claw for a rock climbing robot. Mech. Mach. Theory 2023, 181, 105168. [Google Scholar] [CrossRef]
- Xiao, J.; Hao, L.; Xu, H.; Zhang, X.; Li, X.; Li, Z. MST-Q: Micro Suction Tape Quadruped Robot with High Payload Capacity. IEEE Robot. Autom. Lett. 2023, 8, 7304–7311. [Google Scholar] [CrossRef]
- Haomachai, W.; Shao, D.; Wang, W.; Ji, A.; Dai, Z.; Manoonpong, P. Lateral undulation of the bendable body of a gecko-inspired robot for energy-efficient inclined surface climbing. IEEE Robot. Autom. Lett. 2021, 6, 7917–7924. [Google Scholar] [CrossRef]
- Autumn, K.; Dittmore, A.; Santos, D.; Spenko, M.; Cutkosky, M. Frictional adhesion: A new angle on gecko attachment. J. Exp. Biol. 2006, 209, 3569–3579. [Google Scholar] [CrossRef] [PubMed]
- Jusufi, A.; Goldman, D.I.; Revzen, S.; Full, R.J. Active tails enhance arboreal acrobatics in geckos. Proc. Natl. Acad. Sci. USA 2008, 105, 4215–4219. [Google Scholar] [CrossRef] [PubMed]
- Siddall, R.; Byrnes, G.; Full, R.J.; Jusufi, A. Tails stabilize landing of gliding geckos crashing head-first into tree trunks. Commun. Biol. 2021, 4, 1020. [Google Scholar] [CrossRef]
- Schultz, J.T.; Cieri, R.L.; Proost, T.; Pilai, R.; Hodgson, M.; Plum, F.; Clemente, C.J. Tail base deflection but not tail curvature varies with speed in lizards: Results from an automated tracking analysis pipeline. Integr. Comp. Biol. 2021, 61, 1769–1782. [Google Scholar] [CrossRef]
- Wang, W.; Ji, A.; Chen, G.; Ravi, S.; Shen, H.; Gorb, S.N.; Dai, Z. Kinematics of gecko climbing: The lateral undulation pattern. Zoology 2020, 140, 125768. [Google Scholar] [CrossRef]
- Goldman, D.I.; Chen, T.S.; Dudek, D.M.; Full, R.J. Dynamics of rapid vertical climbing in cockroaches reveals a template. J. Exp. Biol. 2006, 209, 2990–3000. [Google Scholar] [CrossRef]
- Ko, W.H.; Chiang, W.H.; Hsu, Y.H.; Yu, M.Y.; Lin, H.S.; Lin, P.C. A model-based two-arm robot with dynamic vertical and lateral climbing behaviors. J. Mech. Robot. 2016, 8, 044503. [Google Scholar] [CrossRef]
- Wang, W.; Li, X.; Wu, S.; Zhu, P.; Zhao, F. Effects of pendular waist on gecko’s climbing: Dynamic gait, analytical model and bio-inspired robot. J. Bionic Eng. 2017, 14, 191–201. [Google Scholar] [CrossRef]
- Fang, S.; Shi, S.; Wu, X.; Wang, X. A walking and climbing quadruped robot capable of ground-wall transition: Design, mobility analysis and gait planning. Intell. Serv. Robot. 2023, 16, 431–451. [Google Scholar] [CrossRef]
- Asbeck, A.T. Compliant Directional Suspensions for Climbing with Spines and Adhesives; Stanford University: Stanford, CA, USA, 2010. [Google Scholar]
- Kane, T.R.; Levinson, D.A. The use of Kane’s dynamical equations in robotics. Int. J. Robot. Res. 1983, 2, 3–21. [Google Scholar] [CrossRef]
- Dickinson, M.H.; Farley, C.T.; Full, R.J.; Koehl, M.A.R.; Kram, R.; Lehman, S. How animals move: An integrative view. Science 2000, 288, 100–106. [Google Scholar] [CrossRef] [PubMed]
- Miller, B.D.; Rivera, P.R.; Dickson, J.D.; Clark, J.E. Running up a wall: The role and challenges of dynamic climbing in enhancing multi-modal legged systems. Bioinspiration Biomim. 2015, 10, 025005. [Google Scholar] [CrossRef] [PubMed]
- Chapple, D.G.; Swain, R. Effect of caudal autotomy on locomotor performance in a viviparous skink, Niveoscincus metallicus. Funct. Ecol. 2002, 2002, 817–825. [Google Scholar] [CrossRef]
- Naya, D.E.; Veloso, C.; Muñoz, J.L.; Bozinovic, F. Some vaguely explored (but not trivial) costs of tail autotomy in lizards. Comp. Biochem. Physiol. Part A Mol. Integr. Physiol. 2007, 146, 189–193. [Google Scholar] [CrossRef]
- Higham, T.E.; Russell, A.P.; Zani, P.A. Integrative biology of tail autotomy in lizards. Physiol. Biochem. Zool. 2013, 86, 603–610. [Google Scholar] [CrossRef]














| Part | Mass (g) | Length (mm) |
|---|---|---|
| Body | 2200 | 288 × 137 |
| Hip | 40.1 | 53 |
| Thigh | 203.5 | 100 |
| Crus | 72.9 | 100 |
| Claw | 231.1 | 100 |
| Tail | 20.3 | 300 |
| Parameter | Value | Parameter | Value |
|---|---|---|---|
| 191 N/m | 0.0015 Nm/radian | ||
| 0.42 Ns/m | 0.02 Ns/m | ||
| 30 mm | 30° | ||
| 0.25 | P | 20% | |
| 90° | 30° |
| Number of Sensors | 3 × 4 |
| Sensors Models | DYDW-005 |
| Measurement Range | ±100 N |
| Individual Sensor Size | 20 cm × 20 cm |
| Measurement Accuracy | 0.2%F.S |
| Sampling Frequency | 90 Hz |
| Rotation Angle | 0~90° |
Disclaimer/Publisher’s Note: The statements, opinions and data contained in all publications are solely those of the individual author(s) and contributor(s) and not of MDPI and/or the editor(s). MDPI and/or the editor(s) disclaim responsibility for any injury to people or property resulting from any ideas, methods, instructions or products referred to in the content. |
© 2024 by the authors. Licensee MDPI, Basel, Switzerland. This article is an open access article distributed under the terms and conditions of the Creative Commons Attribution (CC BY) license (https://creativecommons.org/licenses/by/4.0/).
Share and Cite
Fang, S.; Chen, G.; Liu, T.; Zhou, W.; Wang, Y.; Wang, X. Role of Tail Dynamics on the Climbing Performance of Gecko-Inspired Robots: A Simulation and Experimental Study. Biomimetics 2024, 9, 625. https://doi.org/10.3390/biomimetics9100625
Fang S, Chen G, Liu T, Zhou W, Wang Y, Wang X. Role of Tail Dynamics on the Climbing Performance of Gecko-Inspired Robots: A Simulation and Experimental Study. Biomimetics. 2024; 9(10):625. https://doi.org/10.3390/biomimetics9100625
Chicago/Turabian StyleFang, Shengchang, Guisong Chen, Tong Liu, Weimian Zhou, Yucheng Wang, and Xiaojie Wang. 2024. "Role of Tail Dynamics on the Climbing Performance of Gecko-Inspired Robots: A Simulation and Experimental Study" Biomimetics 9, no. 10: 625. https://doi.org/10.3390/biomimetics9100625
APA StyleFang, S., Chen, G., Liu, T., Zhou, W., Wang, Y., & Wang, X. (2024). Role of Tail Dynamics on the Climbing Performance of Gecko-Inspired Robots: A Simulation and Experimental Study. Biomimetics, 9(10), 625. https://doi.org/10.3390/biomimetics9100625

