Advanced Robust Heading Control for Unmanned Surface Vessels Using Hybrid Metaheuristic-Optimized Variable Universe Fuzzy PID with Enhanced Smith Predictor
Abstract
1. Introduction
2. Theoretical Background
2.1. Basic Concepts of Variable Universe Fuzzy Control
2.1.1. Contraction and Expansion of Basic Domain
2.1.2. Introduction of Scaling Factors
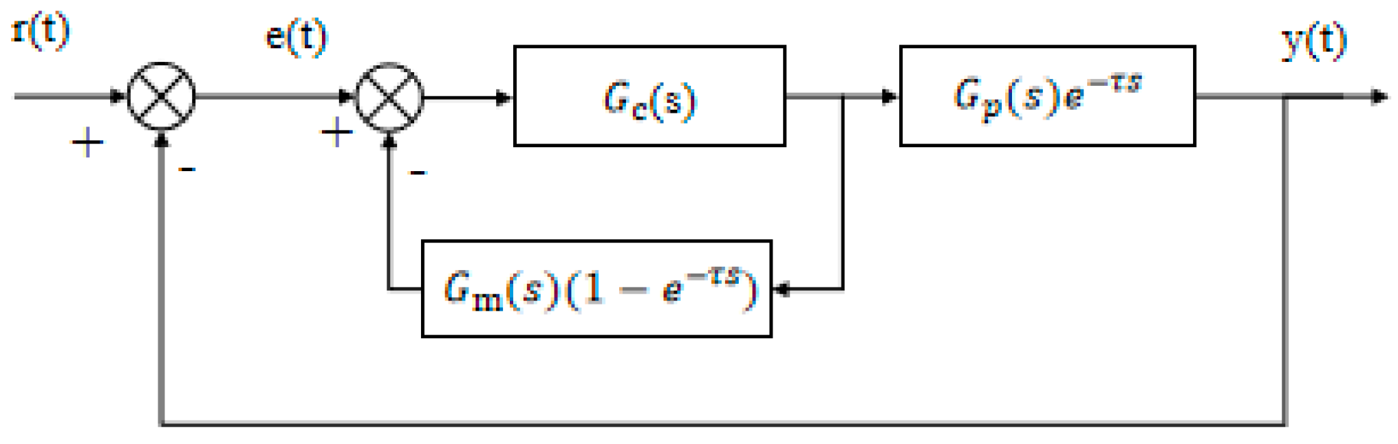
2.2. Principles of Smith Predictor
3. Design and Optimization of Heading Control System
3.1. Basic Principles of the Control System
3.2. Unmanned Ship Model
3.3. Design of Fuzzy Control with Variable Universe
3.3.1. Fuzzy PID Controller Design
3.3.2. Controller Structure
3.3.3. Design and Implementation of Fuzzy Rules
3.4. Improved Design of Smith Predictor
3.5. Lyapunov Stability Analysis
3.5.1. Overview of Stability Analysis
3.5.2. Construction of Lyapunov Function
3.5.3. Derivation of Lyapunov Function
3.5.4. Stability Conditions
3.6. Parameter Optimization Design Based on BAS-HSA-GA Hybrid Optimization Algorithm
3.6.1. The Main Steps of Algorithm Implementation
- Iteration process of BAS algorithm
- 2.
- HAS algorithm operation process
- 3.
- GA subpopulation operation process
3.6.2. Dynamic Upper and Lower Bound Adjustment Mechanism
4. Simulation Analysis of Unmanned Ship Heading Control
4.1. System Response Under Different Time Delay Conditions
4.2. Optimization Effect of Controller
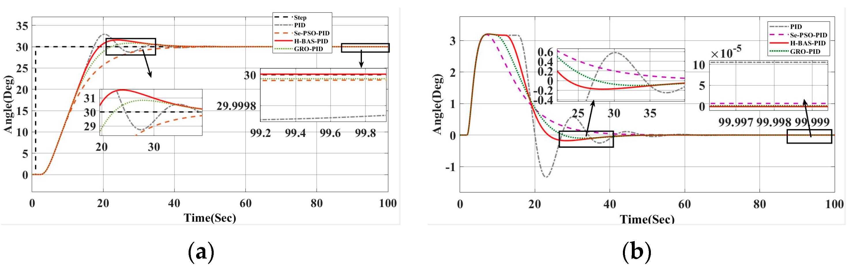
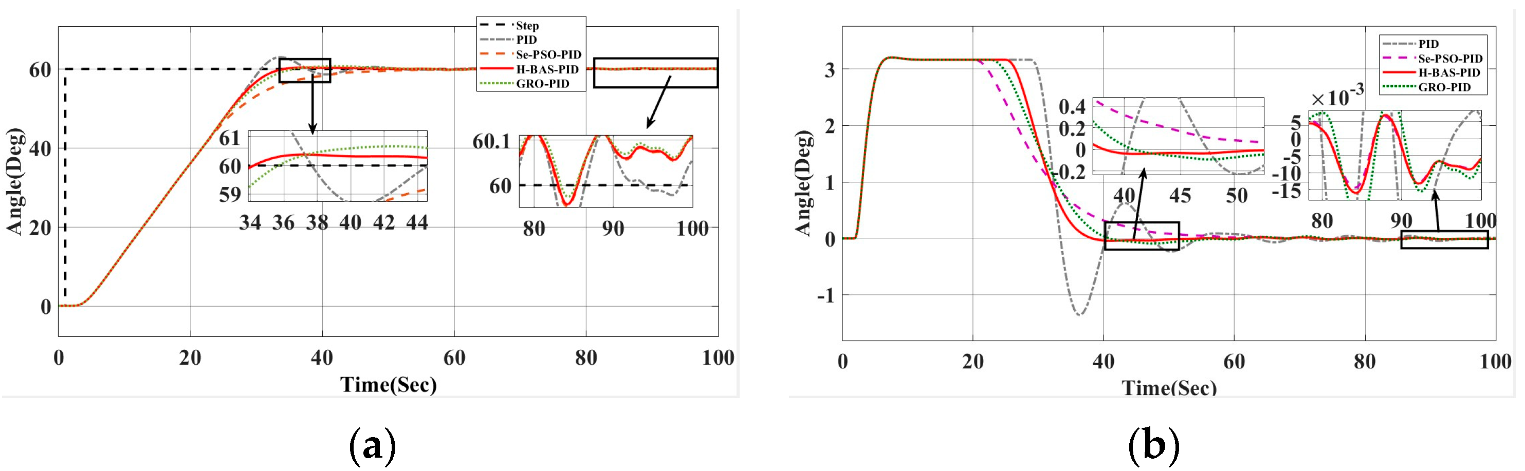
4.2.1. Unmanned Ship Simulation Analysis
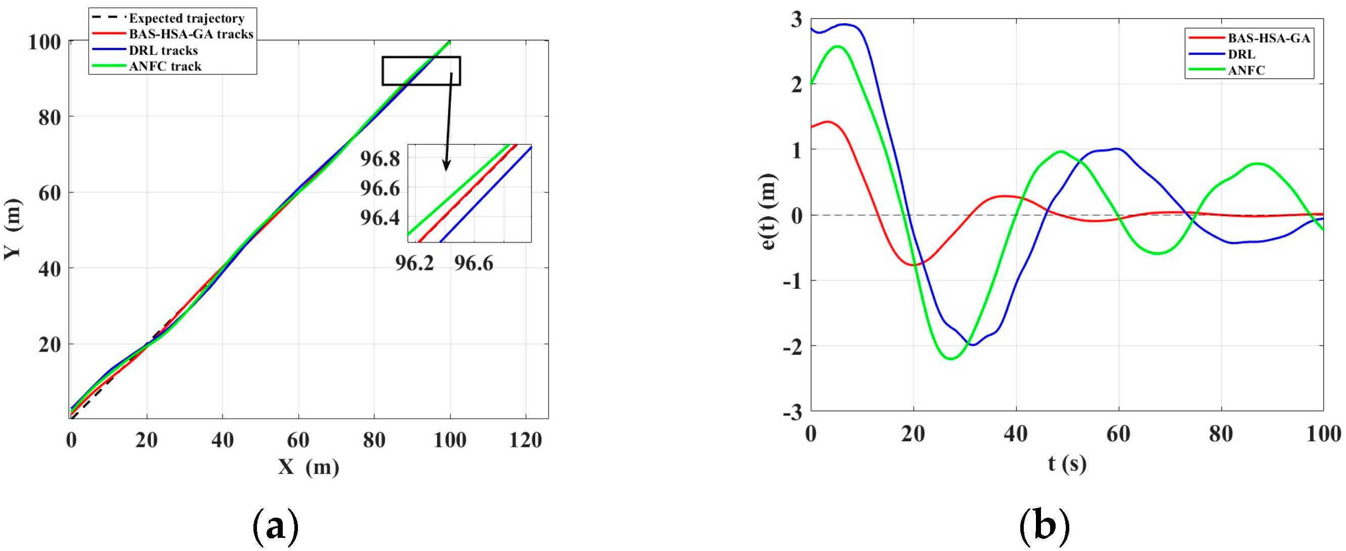
4.2.2. Field Test of Unmanned Surface Vehicle (USV)
5. Conclusions
Author Contributions
Funding
Institutional Review Board Statement
Data Availability Statement
Acknowledgments
Conflicts of Interest
Abbreviations
| Symbol | Description | Unit |
| Derivative of the error | ||
| Initial input universe of discourse | ||
| Initial output universe of discourse | ||
| Dynamic scaling factor for input universe | ||
| Dynamic scaling factor for output universe | ||
| Tuning coefficients for scaling factors | ||
| Exponents for nonlinear transformation | ||
| Maximum error value | ||
| General time-varying scaling factor | ||
| Power exponent for scaling factor | ||
| Transfer function of the controller | ||
| Transfer function of the plant (without delay) | ||
| Transfer function of the estimation model | ||
| Actual time delay of the plant | s | |
| Time delay of the estimation model | s | |
| System input (reference signal) | ||
| System output | ||
| Predicted system output | ||
| Heading transfer function of the USV | ||
| Heading gain | s | |
| Heading time constant | s | |
| Nomoto model gain (identified) | ||
| Nomoto model time constant (identified) | s | |
| Wave disturbance output | ||
| Zero-mean Gaussian white noise | ||
| Second-order wave transfer function | ||
| Wave model gain | ||
| Damping ratio | ||
| Dominant wave frequency | rad/s | |
| Wave intensity coefficient | ||
| Characteristic wave period | s | |
| Significant wave height | m |
References
- Yu, H.; Liu, J.; Liu, L.; Ju, Z.; Liu, Y.; Zhou, D. Intelligent Robotics and Applications 12th International Conference, ICIRA 2019, Shenyang, China, August 8–11, 2019, Proceedings, Part III; Springer: Cham, Switzerland, 2019. [Google Scholar]
- Demir, E.; Gulbudak, O.; Gokdag, M. Performance Evaluation of Three-Phase Grid Connected Inverter with Various Control Methods. Balk. J. Electr. Comput. Eng. 2023, 1, 163–171. [Google Scholar]
- Phan, V.D.; Nguyen, X.H.; Dinh, V.N.; Dang, T.S.; Le, V.C.; Ho, S.P.; Ta, H.C.; Duong, D.T.; Mai, T.A. Development of an Adaptive Fuzzy-Neural Controller for Temperature Control in a Brick Tunnel Kiln. Electronics 2024, 13, 342. [Google Scholar] [CrossRef]
- Li, X.; Zeng, X.; Wang, J.; Li, Q.; Fan, B.; Zeng, Q. Analysis of Unmanned Surface Vehicles Heading KF-Based PI-(1+PI) Controller Using Improved Spider Wasp Optimizer. Drones 2025, 9, 326. [Google Scholar] [CrossRef]
- Guo, L.; Zhu, Y.; Yang, H.; Luo, Y.; Sun, L.; Zheng, X. A k-nearest neighbor query method based on trust and location privacy protection. Concurr. Comput. Pract. Exp. 2020, 34, e5766. [Google Scholar] [CrossRef]
- Sariyildiz, E. Analysis and Synthesis of Disturbance Observer-Based Digital Robust Motion Control Systems in State Space. IEEE Trans. Ind. Electron. 2025, 72, 8376–8385. [Google Scholar] [CrossRef]
- Cao, Z.; Zheng, S. MR-SAS variable universe fuzzy control in steering situation based on wheelbase preview. Optik 2016, 127, 9496–9503. [Google Scholar] [CrossRef]
- Lu, W.; Gao, Y. Variable Universe Fuzzy Adaptive PID Control in the Digital Servo System. In Proceedings of the 2016 8th International Conference on Intelligent Human-Machine Systems and Cybernetics (IHMSC), Hangzhou, China, 27–28 August 2016; pp. 204–207. [Google Scholar]
- Cheng, Y.; Li, P. Research on switched reluctance motor speed control system with variable universe fuzzy PID. In Proceedings of the 2020 IEEE 4th Information Technology, Networking, Electronic and Automation Control Conference (ITNEC), Chongqing, China, 12–14 June 2020; pp. 2285–2289. [Google Scholar]
- Zhao, G.; Wang, J.; Li, W.; Zhu, J. Master and Auxiliary Compound Control for Multi-Channel Confluent Water Supply Switching Control Based on Variable Universe Fuzzy PID. Appl. Sci. 2020, 10, 7983. [Google Scholar] [CrossRef]
- Zhang, H.; Zhao, Z.; Wei, Y.; Liu, Y.; Wu, W. A Self-Tuning Variable Universe Fuzzy PID Control Framework with Hybrid BAS-PSO-SA Optimization for Unmanned Surface Vehicles. J. Mar. Sci. Eng. 2025, 13, 558. [Google Scholar] [CrossRef]
- Wang, Y.; Wei, M.; Hu, X.; Jiang, M.; Zhang, L.; Gawin, D.J. Research on Variable Universe Fuzzy PID Control Strategy of Pipe Lining Induction Heating System. Model. Simul. Eng. 2020, 2020, 9. [Google Scholar] [CrossRef]
- Liu, B.; Li, M.; Yuan, Y.; Liu, J. Unified Paradigm of Start-Up Strategy for Pumped Storage Hydropower Stations: Variable Universe Fuzzy PID Controller and Integrated Operation Optimization. Energies 2024, 17, 3293. [Google Scholar] [CrossRef]
- Liang, H.; Dong, Y.; Cao, D. Research on VSC-HVDC double closed loop controller based on variable universe fuzzy PID control. In Proceedings of the 2017 China International Electrical and Energy Conference (CIEEC), Beijing, China, 25–27 October 2017; pp. 633–638. [Google Scholar]
- Cao, B.; Li, T.-F.; Zhang, C.-Y. Fuzzy Information and Engineering Volume 2; Springer: Berlin/Heidelberg, Germany, 2009. [Google Scholar] [CrossRef]
- Liem, D.T.; Truong, D.Q.; Ahn, K.K. A torque estimator using online tuning grey fuzzy PID for applications to torque-sensorless control of DC motors. Mechatronics 2015, 26, 45–63. [Google Scholar] [CrossRef]
- Zhang, P.; Chen, W.; Wang, H.; Wang, J.; Lu, H.; Cheng, Z. Fuzzy PID control method for damping of electronically controlled air suspension shock absorbers for vehicles. Eng. Res. Express 2022, 4, 045020. [Google Scholar] [CrossRef]
- Deng, Z. Proceedings of 2017 Chinese Intelligent Automation Conference; Springer: Singapore, 2018. [Google Scholar]
- Roy, N.; Sengupta, A.; Sutradhar, A. Evolutionary Smith Predictor for Control of Time-Delay Systems. In Modelling and Simulation in Science, Technology and Engineering Mathematics; Springer: Cham, Switzerland, 2019; pp. 339–349. [Google Scholar]
- Hu, S.; Wang, L.; Li, Y.; Zhang, L. Variable Universe Fuzzy Controller for an Independent Metering System of Construction Machinery. Processes 2023, 11, 901. [Google Scholar] [CrossRef]
- Abe, N.; Yamanaka, K. Smith predictor control and internal model control—A tutorial. In Proceedings of the SICE 2003 Annual Conference (IEEE Cat. No.03TH8734), Fukui, Japan, 4–6 August 2003; Volume 2, pp. 1383–1387. [Google Scholar]
- Jia, Y.; Du, J.; Zhang, W. Proceedings of 2017 Chinese Intelligent Systems Conference: Volume I; Springer Publishing Company, Incorporated: Singapore, 2017. [Google Scholar]
- Liu, J.; Huang, L.; Yu, D.; Xu, L.; He, Y. The control method for ship tracking when navigating through narrow and curved sections. Appl. Ocean Res. 2024, 145, 103943. [Google Scholar] [CrossRef]
- Vilanova, R.; Visioli, A. PID Control in the Third Millennium: Lessons Learned and New Approaches; Springer: London, UK, 2012. [Google Scholar]
- Zhang, Y.; Liu, L.; He, D. Application of Variable Universe Fuzzy PID Controller Based on ISSA in Bridge Crane Control. Electronics 2024, 13, 3534. [Google Scholar] [CrossRef]
- Wu, B. Research on Automatic Steering System of Unmanned Ship Based on Variable Universe Fuzzy PID. Master’s Thesis, Dalian University of Technology, Dalian, China, 2022. [Google Scholar]
- Jia, Y.; Zhang, R.; Lv, X.; Zhang, T.; Fan, Z. Research on Temperature Control of Fuel-Cell Cooling System Based on Variable Domain Fuzzy PID. Processes 2022, 10, 534. [Google Scholar] [CrossRef]
- Tan, Y. Navigation Control of USV Based on Trajectory Linearization Control. Master’s Thesis, Dalian Maritime University, Dalian, China, 2020. [Google Scholar]
- Liang, H.; Wang, H.; Li, Z. A New Adaptive Time Delay Estimation Method Based on Higher Order Cumulants. Syst. Eng. Electron. 2003, 7, 783–786. [Google Scholar]
- Li, C.; Sun, Y.; Li, G.; Jiang, D.; Zhao, H.; Jiang, G. Trajectory tracking of 4-DOF assembly robot based on quantification factor and proportionality factor self-tuning fuzzy PID control. Int. J. Wirel. Mob. Comput. 2020, 18, 361–370. [Google Scholar] [CrossRef]
- Liu, H.-C.; Sung, W.-P.; Yao, W. Information, Computer and Application Engineering: Proceedings of the International Conference on Information Technology and Computer Application Engineering (ITCAE 2014), Hong Kong, China, 10–11 December 2014; CRC Press, Inc.: London, UK, 2015. [Google Scholar]
- Qi, X.; Xu, D.; Wang, J. The Simulation and Design on Control System of Magneto-Rheological Damper Seat. Appl. Mech. Mater. 2013, 278–280, 1639–1643. [Google Scholar] [CrossRef]
- Ji, G.; Li, S.; Feng, G.; Wang, H. Enhanced Variable Universe Fuzzy Control of Vehicle Active Suspension Based on Adaptive Contracting–Expanding Factors. Int. J. Fuzzy Syst. 2023, 25, 2986–3000. [Google Scholar] [CrossRef]
- Lian, L. Main Steam Temperature Control Based on Variable Universe Fuzzy Dynamic Matrix Control. Therm. Eng. 2022, 69, 763–778. [Google Scholar] [CrossRef]
- Li, K.; Fei, M.; Jia, L.; Irwin, G. Life System Modeling and Intelligent Computing: International Conference on Life System Modeling and Simulation, LSMS 2010, and International Conference on Intelligent Computing for Sustainable Energy and Environment, ICSEE 2010, Wuxi, China, September 17–20, 2010, Proceedings, Part II; Springer: Berlin/Heidelberg, Germany, 2010; Volume 6329. [Google Scholar]
- Yeh, Z.-M. A cross-coupled bistage fuzzy controller for biaxis servomechanism control. Fuzzy Sets Syst. 1998, 97, 265–275. [Google Scholar] [CrossRef]
- Ambuj; Machavaram, R. Intelligent path planning for autonomous ground vehicles in dynamic environments utilizing adaptive Neuro-Fuzzy control. Eng. Appl. Artif. Intell. 2025, 144, 110119. [Google Scholar] [CrossRef]
- Roy, N.; Sengupta, A.; Sutradhar, A. An evolutionary optimization-based design of Smith delay compensator for cascade control of MIMO time-delay industrial process. Soft Comput. 2022, 26, 9339–9348. [Google Scholar] [CrossRef]
- Nasution, M.K.M.; Salim Sitompul, O.; Budhiarti Nababan, E. Data Science. J. Phys. Conf. Ser. 2020, 1566, 012034. [Google Scholar] [CrossRef]
- Zhu, D.; Shi, M.; Wang, Y.; Xue, K.; Liao, J.; Xiong, W.; Kuang, F.; Zhang, S. Path tracking control method for automatic navigation rice transplanters based on VUFC and improved BAS algorithm. Robotica 2023, 41, 3116–3136. [Google Scholar] [CrossRef]
- Guan, S.; Wang, Y.; Liu, L.; Gao, J.; Xu, Z.; Kan, S. Ultra-short-term wind power prediction method combining financial technology feature engineering and XGBoost algorithm. Heliyon 2023, 9, e16938. [Google Scholar] [CrossRef]

















| Ref. | Authors (Year) | Question | Workaround |
|---|---|---|---|
| [4] | Li et al., (2025) | The performance is limited in nonlinear, coupled and time-delay systems, resulting in reduced control accuracy and stability. | Propose a method that significantly improves PID (e.g., ITAE/output curve comparison) compared to the same optimizer |
| [5] | Guo et al., (2020) | Under uncertain ocean conditions and external disturbances, the performance of the classic Smith predictor degrades significantly. | Attempts are made to enhance SP adaptability through adaptive or data-driven modifications and integration with intelligent controllers. |
| [6] | Sariyildiz (2025) | The above improved methods are difficult to balance compensation accuracy and real-time robustness in highly dynamic environments. | Introducing a unified state space architecture, compatible with ZO/HO DOb, and supporting HP-DOb, and introducing a unified state space architecture, compatible with ZO/HO DOb, and supporting HP-DOb |
| [7] | Cao et al., (2016) | The domain of traditional fuzzy PID is usually fixed and difficult to adapt to error changes under different working conditions. | Variable universe fuzzy control (VUFC) can adaptively adjust the input and output universe according to the error size. |
| [8] | Lu et al., (2016) | Although VUFC exhibits better dynamic performance in nonlinear and time-varying systems, its parameter adjustment still relies on experience and is difficult to achieve global optimization. | The existing problems of the VUFC method are pointed out, which leads to the motivation of using optimization algorithm for parameter tuning in this paper. |
| Boat Length/m | Boat Width/m | Boat Speed/kn | Full Load Draft/m | Full Load Displacement/m3 | Block Coefficient |
|---|---|---|---|---|---|
| 7.02 | 2.06 | 35 | 0.32 | 2.73 | 0.6976 |
| Control Method | Rise Time/s | Stabilization Time/s | Overshoot | Error/10−6 |
|---|---|---|---|---|
| PID | 20.3 | 45.9 | 9.7% | 3.077 |
| V-fuzzyPID | 22.8 | 43.3 | 2.6% | 24.94 |
| S-fuzzyPID | 26.8 | 38.1 | 0.3% | 119.5 |
| Control Method | Rise Time/s | Stabilization Time/s | Overshoot | Error/10−6 |
|---|---|---|---|---|
| PID | 22.4 | 87.9 | 16.7% | 1278 |
| V-fuzzyPID | 23.6 | 57.1 | 8.5% | 2218 |
| S-fuzzyPID | 28.5 | 37.8 | 0.3% | 83.13 |
| Control Method | Rise Time/s | Stabilization Time/s | Overshoot | Error/10−6 |
|---|---|---|---|---|
| PID | 20.3 | 74.5 | 9.7% | 258.9 |
| H-BAS-PID | 22.9 | 70.5 | 5.7% | 33.71 |
| GRO-PID | 28.2 | 76.5 | 2.1% | 3.319 |
| Se-PSO-PID | 42.2 | 77.7 | 0 | 26.01 |
| Control Method | Rudder Turning Time/s | Stabilization Time/s | Stable Rudder Angle |
|---|---|---|---|
| PID | 15.67 | 56.866 | 0.1109 |
| Se-PSO-PID | 6.866 | 61.137 | 0.03717 |
| H-BAS-PID | 13.042 | 42.573 | 0.04619 |
| GRO-PID | 10.414 | 47.813 | 0.05379 |
| Control Method | Rudder Turning Time/s | Stabilization Time/s | Stable Rudder Angle |
|---|---|---|---|
| PID | 42.214 | 76.183 | 0.1072 |
| Se-PSO-PID | 34.133 | 73.75 | 0.02175 |
| H-BAS-PID | 38.535 | 70.598 | 0.01468 |
| GRO-PID | 36.498 | 73.292 | 0.02872 |
| Control Methods | IEA | ITEA |
|---|---|---|
| BAS-HAS-GA | 271.6276 | 3.1021 |
| DRL | 336.7751 | 3.5838 |
| ANFC | 304.3595 | 3.2522 |
| ACO | 360.4539 | 3.2120 |
| Control Methods | IEA | ITEA |
|---|---|---|
| BAS-HSA-GA | 305.91 | 2254.62 |
| DRL | 359.87 | 3304.06 |
| ANFC | 382.71 | 3564.76 |
| Control Methods | IEA | ITEA | Steady-State Error |
|---|---|---|---|
| BAS-HAS-GA | 38.0956 | 787.3398 | 0.0119 |
| DRL | 100.8489 | 2915.8468 | 0.0343 |
| ANFC | 96.0351 | 3134.4509 | 0.2207 |
| Control Methods | IEA | ITEA | Steady-State Error |
|---|---|---|---|
| BAS-HAS-GA | 2045.94 | 775,911.43 | 0.05 |
| DRL | 2102.06 | 811,113.60 | 0.33 |
| ANFC | 2100.02 | 818,123.40 | 0.46 |
Disclaimer/Publisher’s Note: The statements, opinions and data contained in all publications are solely those of the individual author(s) and contributor(s) and not of MDPI and/or the editor(s). MDPI and/or the editor(s) disclaim responsibility for any injury to people or property resulting from any ideas, methods, instructions or products referred to in the content. |
© 2025 by the authors. Licensee MDPI, Basel, Switzerland. This article is an open access article distributed under the terms and conditions of the Creative Commons Attribution (CC BY) license (https://creativecommons.org/licenses/by/4.0/).
Share and Cite
Zhan, S.; Liu, Q.; Zhao, Z.; Zhang, S.; Xu, Y. Advanced Robust Heading Control for Unmanned Surface Vessels Using Hybrid Metaheuristic-Optimized Variable Universe Fuzzy PID with Enhanced Smith Predictor. Biomimetics 2025, 10, 611. https://doi.org/10.3390/biomimetics10090611
Zhan S, Liu Q, Zhao Z, Zhang S, Xu Y. Advanced Robust Heading Control for Unmanned Surface Vessels Using Hybrid Metaheuristic-Optimized Variable Universe Fuzzy PID with Enhanced Smith Predictor. Biomimetics. 2025; 10(9):611. https://doi.org/10.3390/biomimetics10090611
Chicago/Turabian StyleZhan, Siyu, Qiang Liu, Zhao Zhao, Shen’ao Zhang, and Yaning Xu. 2025. "Advanced Robust Heading Control for Unmanned Surface Vessels Using Hybrid Metaheuristic-Optimized Variable Universe Fuzzy PID with Enhanced Smith Predictor" Biomimetics 10, no. 9: 611. https://doi.org/10.3390/biomimetics10090611
APA StyleZhan, S., Liu, Q., Zhao, Z., Zhang, S., & Xu, Y. (2025). Advanced Robust Heading Control for Unmanned Surface Vessels Using Hybrid Metaheuristic-Optimized Variable Universe Fuzzy PID with Enhanced Smith Predictor. Biomimetics, 10(9), 611. https://doi.org/10.3390/biomimetics10090611
