Next Article in Journal
Construction of a Mathematical Model of the Irregular Plantar and Complex Morphology of Mallard Foot and the Bionic Design of a High-Traction Wheel Grouser
Next Article in Special Issue
A Bionic Knee Exoskeleton Design with Variable Stiffness via Rope-Based Artificial Muscle Actuation
Previous Article in Journal
An Enhanced Snow Geese Optimizer Integrating Multiple Strategies for Numerical Optimization
Previous Article in Special Issue
Research on the Hydrodynamic Performance of Manta Rays Using a 2D CFD Model
 
 
Font Type:
Arial Georgia Verdana
Font Size:
Aa Aa Aa
Line Spacing:
Column Width:
Background:
Article

Bio-Inspired Compliant Joints and Economic MPC Co-Design for Energy-Efficient, High-Speed Locomotion in Snake-like Robots

1
College of Mechanical and Vehicle Engineering, Changsha University of Science and Technology, Changsha 410114, China
2
International College of Engineering, Changsha University of Science and Technology, Changsha 410114, China
*
Author to whom correspondence should be addressed.
Biomimetics 2025, 10(6), 389; https://doi.org/10.3390/biomimetics10060389
Submission received: 23 April 2025 / Revised: 9 June 2025 / Accepted: 9 June 2025 / Published: 11 June 2025
(This article belongs to the Special Issue Biorobotics: Challenges and Opportunities)

Abstract

Snake-like robots face critical challenges in energy-efficient locomotion and smooth gait transitions, limiting their real-world deployment. This study introduces a bio-inspired compliant joint design integrated with a hierarchical neural oscillator network and an energy-optimized control framework. The joint mimics biological skeletal flexibility using specialized wheeled mechanisms and adaptive parallel linkages, while the control network enables adaptive gait generation and seamless transitions through a phase-smoothing algorithm. Critically, this work adopts a synergistic design philosophy where mechanical components and control parameters are co-optimized through shared dynamic modeling. The proposed predictive control strategy optimizes locomotion speed while minimizing energy consumption. Experimental simulations demonstrate that the method achieves an 18% higher average forward speed (0.0563 m/s vs. 0.0478 m/s) with 7% lower energy use (0.1952 J vs. 0.2107 J) compared to conventional approaches. Physical prototype testing confirms these improvements under real-world conditions, showing a 12.9% speed increase (0.0531 m/s vs. 0.0470 m/s) and 7.3% energy reduction (0.2147 J vs. 0.2317 J). By unifying mechanical flexibility and adaptive control parameter tuning, this work bridges dynamic performance and energy efficiency, offering a robust solution for unstructured environments.

1. Introduction

Snake-like robots have attracted significant attention due to their limbless, elongated body structure and exceptional flexibility, which equips them with the capacity to navigate complex terrains, move through narrow spaces, and surmount obstacles [1]. These capabilities make them highly suitable for applications such as search and rescue, inspection, and environmental monitoring [2,3,4]. However, despite their potential, the practical deployment of snake-like robots faces two critical challenges: energy-efficient locomotion and smooth gait transitions [5]. Addressing these issues is crucial for improving their operational efficiency and adaptability in real-world scenarios.

1.1. Challenges in Snake-like Robot Design and Control

The primary challenge lies in balancing energy consumption and locomotion speed, particularly in environments with limited continuous power supply. Traditional control methods often focus on optimizing either energy efficiency [6] or speed, neglecting the trade-off between the two. This shortcoming severely curtails the robot’s operational lifespan and functionality in practical settings. Additionally, snake-like robots have limited carrying capacity, and lower locomotion efficiency. Furthermore, they have restricted sensor integration, which makes it difficult to implement adaptive control and sense complex terrains [7,8].
Another critical issue is the lack of smooth gait transitions. Although current snake-like robots are capable of executing various locomotion gaits, they often struggle with seamless transitions between these gaits. Snake-like robots are composed of multiple modular joints connected in series, forming a highly redundant dynamic system. The movement of adjacent joints is strongly coupled through rigid connecting rods, resulting in nonlinear sudden changes in the inertial force and binding force between the joints during gait switching, which is prone to cause mechanical vibration or even instability. The traditional single-chain CPG network generates gait signals through Hopf oscillators but lacks the smooth processing of parameter transitions. Directly switching the phase difference parameters will lead to discontinuous control signals. Moreover, their ability to select the most appropriate gaits for diverse environments remains underdeveloped, further limiting their adaptability.

1.2. Advances in Joint Design and Gait Control

Inspired by the skeletal flexibility of biological snakes, researchers have explored various joint designs to enhance the adaptability of snake-like robots [9,10]. Early developments, such as Hirose’s ACM-III robot, featured single-degree-of-freedom (DOF) joints for basic locomotion [11]. Subsequent innovations, such as the ACM-R4 and ACM-R5 robots, incorporated passive and active wheels to improve mobility [12]. More recently, Shammas et al. designed a three-DOF joint for hyper-redundant robots, enabling 120° motion on a spherical surface and significantly improving environmental adaptability [13]. These advancements emphasize the importance of mechanical design in enhancing robot performance.
Gait control is another key area of research. Traditional methods, such as Serpenoid curve-based control, generate joint reference angles by adjusting parameters like amplitude, frequency, and phase difference [14]. While effective, this approach requires real-time parameter estimation and optimization, increasing computational burden and limiting adaptability to dynamic environments [15]. In recent years, significant progress has been made in the research of bionic technology based on complex system theory. Arena and other scholars successfully simulated the central pattern generator (CPG) of insect movement through a cellular nonlinear network (CNN) architecture, verifying the feasibility of generating global rhythms through self-organization using local connection units [16].
Central pattern generator (CPG)-based control, inspired by biological neural networks, offers a more robust solution [17]. For instance, Liu et al. proposed a unified CPG model using Hopf oscillators to achieve diverse locomotion gaits [18], while Barron-Zambrano et al. developed configurable CPG networks for hexapod robots, albeit with resource constraints [19,20]. Despite these advancements, challenges such as reliance on feedback modules and limited adaptability remain [21].

1.3. Optimization of Energy Efficiency and Performance

Efforts to optimize locomotion in snake-like robots have traditionally focused on either energy consumption or speed, rarely addressing both simultaneously. For example, Yamano et al. explored efficient rolling motion via center-of-gravity shifts but encountered energy consumption issues [22]. Recent studies have introduced advanced optimization algorithms to bridge this gap. Liu et al. combined energy criteria with stability constraints for bipedal robots [23], while Bauer et al. integrated linear torsion springs to reduce energy consumption [24]. Other approaches, such as evolutionary algorithms [25] and improved quantum-inspired optimization [26], have also demonstrated success in balancing energy efficiency with performance. Notably, Rebolledo et al. proposed a co-evolutionary framework to optimize both robot morphology and controller parameters, achieving a balance between speed and energy consumption [27]. Similarly, Chen et al. constructed a low-cost underactuated adaptive robotic hand (UARH) with a linkage–spring telescopic rod–slide mechanism, achieving excellent adaptability and cost-effectiveness in grasping tasks [28]. Fabris et al. proposed a three-degree-of-freedom parallel robot optimization strategy. Taking task placement, execution time, and the lower-arm length into account, their strategy minimizes energy use in high-speed picking and placing operations. This achieves a favorable balance between robot productivity and energy efficiency [29].

1.4. Contribution of This Study

This study addresses the aforementioned challenges through three key contributions:
Compliant Joint Design: A bio-inspired actively driven compliant joint structure, combining Mecanum wheels and parallel mechanisms with three motor drive units, is proposed to mimic biological flexibility. The joint’s three degrees of freedom (pitching, steering, telescoping) are actively controlled by motors, enabling precise motion generation while maintaining skeletal-like compliance.
Dual-Chain CPG Network: Enhanced with a linear smoothing algorithm, this network generates adaptive gait patterns and ensures smooth transitions between locomotion modes.
Economic MPC Algorithm: This algorithm optimizes locomotion speed while minimizing energy consumption, bridging the gap between dynamic performance and energy efficiency.
Additionally, the compliant joint design (Section 2) and the control algorithms (Section 3 and Section 4) are not independently developed but jointly optimized through their shared dynamic model. Specifically, mechanical parameters (e.g., joint linkage lengths l1,l2,l3, mass m, and friction coefficients cn, ct) are calibrated to match the CPG-generated gait patterns (e.g., lateral undulation frequency ω), phase difference (ϕ), and MPC optimization objectives (speed–energy trade-off). Control parameters (e.g., CPG amplitude αh, MPC prediction horizon Np, and weight factor ε are tuned based on the joint’s physical constraints. This co-design process ensures that structural compliance enhances control efficiency, while adaptive control algorithms fully exploit the mechanical design’s mobility potential.
Simulations and prototype experiments demonstrate the efficacy of the proposed approach. Experimental simulations demonstrate that the method achieves an 18% higher average forward speed (0.0563 m/s vs. 0.0478 m/s) with 7% lower energy use (0.1952 J vs. 0.2107 J) compared to conventional approaches. Physical prototype testing confirms these improvements under real-world conditions, showing a 12.9% speed increase (0.0531 m/s vs. 0.0470 m/s) and 7.3% energy reduction (0.2147 J vs. 0.2317 J). These results validate the robustness of the solution for real-world applications, such as rescue and exploration tasks.

2. Compliant Joint Design

To enhance the adaptability of snake-like robots to complex environments and enable multimodal motion similar to biological snakes, this paper proposes a three-degree-of-freedom (DOF) compliant joint design. This design aims to mimic the skeletal flexibility of biological snakes, as shown in Figure 1. When the length of the constraint chain and the bionic spine remains unchanged, the pitching motion of the snake-like robot can be achieved by controlling the two bionic ribs chains to extend and retract the same amount. Conversely, steering is realized by controlling the two bionic ribs chains to extend and retract different amounts. When all three chains undergo simultaneous extension and contraction, the overall expansion and contraction motion of the joints is realized. As shown in Figure 1, extension and contraction achieve movement in the X-axis direction, steering achieves rotation along the Y-axis, and pitch achieves rotation along the Z-axis direction, achieving a total of three degrees of freedom.
The joint structure integrates Mecanum wheels with parallel mechanisms, providing the necessary flexibility for diverse locomotion modes. The Mecanum wheel adopts a radial roller structure, supporting compound movement in both longitudinal and transverse directions. It can achieve gait such as lateral fluctuation without the need for the fuselage to turn, breaking through the limitations of traditional wheel systems. Its structure decouples the degrees of freedom of motion, mimics the flexibility of snake-like ribs, actively controls the rolling direction through the UPS mechanism, and optimizes energy transfer with anisotropic friction characteristics, thereby enhancing the propulsion efficiency. These are precisely the capabilities that conventional rigid wheels, omniwheels, or passive rollers are inherently incapable of achieving. Kinematic and dynamic models were developed to study the forces involved and to characterize the robot’s motion, ensuring the design can be optimized for efficient locomotion in a variety of terrain types.
The snake-like robot features a modular structure with identical joints. As shown in Figure 2, three motor drive units are arranged along three linear struts, enabling the joints to perform three distinct motions: pitching, steering, and telescoping. This decentralized design not only strengthens the overall structure but also enhances load capacity.
As illustrated in Figure 3, we analyzed the kinematic mechanism of the designed flexible joint. This mechanism mimics the rib array distribution and musculoskeletal dynamics found in snakes, achieved through the synergistic configuration of the mobile platform and the prismatic joint. The joint structure consists of two symmetric Hooke’s hinge–cylindrical pair–ball joint mechanisms, which simulate the ribs. Here, U represents Hooke’s hinge, S denotes the ball joint, and P stands for the cylindrical pair. Two symmetric prismatic legs are attached to the ball joint, which effectively counteract the torque perpendicular to the kinematic platform. Additionally, a third strut simulates the bionic spine, providing essential core support. The decoupled control of yaw and pitch motions is facilitated by a specially designed Hooke’s hinge cross-axis system, ensuring smooth motion transfer while maintaining joint length stability.
Within the UPS mechanism, Ui and Si (I = 1, 2) denote the centers of the Hooke hinge and ball joints, respectively. The constraint center of the constrained-Hooke hinge mechanism is O, and the center of the Hooke hinge is U3. The moving platform is represented by triangle S1S2U3, while S 1 U 3 = S 2 U 3 defines the stationary platforms, and ∆U1U2O forms the stationary structure, where U 1 O = U 2 O .
A global coordinate system O-XYZ is established with O as the origin, where X U 1 U 2 , Z U 1 U 2 , and Y Δ U 1 U 2 O . A moving coordinate system is then defined on the moving platform, U3-XYZ’, where XZ’ refers to the direction of the two axes along the Hooke hinge, respectively.
According to spiral theory, any spatial motion can be decomposed into a rigid body rotation around a specific axis and a translation along another axis. The spinor system of motion for joint chain U1P1S1 can then be expressed in global coordinate system O-XYZ as
S l 1 = S 11 = ( 1 0 0 0 0 0 ) T S 12 = ( 0 sin θ 1 cos θ 1 r b sin θ 1 r a cos θ 1 r a sin θ 1 ) T S 13 = ( 0 0 0 sin φ 1 cos φ 1 cos θ 1 cos φ 1 sin θ 1 ) T S 14 = ( 1 0 0 r b + l 1 cos φ 1 sin θ 1 l 1 cos φ 1 cos θ 1 l 1 sin φ 1 ) T S 15 = ( 0 1 0 r b l 1 cos φ 1 sin θ 1 0 l 1 sin φ 1 r a ) T S 16 = ( 0 0 1 l 1 cos φ 1 cos θ 1 l 1 sin φ 1 + r a 0 ) T
As illustrated in Figure 4, let S11 and S12 represent the rotations of the two rotating pairs in the Hooke hinge, S13 denote the rotations of the cylindrical moving pair, and Sa1, Sa2, and Sa3 represent the rotations of the three rotating pairs in the ball joint. θ1 and φ1 denote the rotation angles of the two rotating pairs of the Hooke hinge, respectively, while l1 represents the length of U1S1.
Since the first spin of Sl1 is the empty set (i.e., it does not constrain the moving platform), another articulated chain U2P2S2 undergoes the same kinematic analysis as the first chain.
In the global coordinate system O-XYZ, the position of U3 is denoted as (0, l3, 0), where l3 is the length of OU3. The rotational quantity of the motion of the Hooke hinge in the OU3 chain can be expressed as
S l 3 = S 31 = 1 0 0 0 0 l 3 T S 32 = 0 sin β cos β l 3 cos β 0 0 T
where β is the angle of rotation around the X’ axis in Hooke hinge joint U3.
Since the two UPS chains do not impose constraints on the moving platform ∆S1S2U3, as shown in Figure 5, the motion of the moving platform follows the same rotational behavior as described by Equation (2). Consequently, the moving platform boasts two rotational degrees of freedom, with its center of rotation coinciding with the Hooke hinge U3 center.
The reciprocal rotation of the moving platform relative to S13 and the fixed platform can be expressed as
S r = S 1 r = 1 0 0 0 0 l 3 T S 2 r = 0 1 0 0 0 0 T S 3 r = 0 0 1 l 3 0 0 T S 4 r = 0 0 0 0 cos β sin β T
From Equation (3), it is evident that the S 1 r ,   S 2 r ,   S 3 r rotation of the OU3 chain intersects with the motion rotations S31 and S32 at point U3, while S 4 r is perpendicular to both S31 and S32. The OU3 chain generates constraints in the X’, Y’, and Z’ directions, as well as a rotational constraint around the Z’ axis. However, the two UPS chains do not impose any movement constraints on the platform. This indicates that the primary constraints arise from the OU3 chain, which aligns with the movement constraints of the spine in biological snakes.
The snake-like compliant joint movable platform exhibits the same two rotational degrees of freedom as the Hooke hinge, specifically the pitching and steering degrees of freedom. In this study, P1 and P2 of the UPS chain (the bionic ribs), as shown in Figure 6, were selected as the two driving elements to actuate the motion rotations S13 and S23 of the moving platform.
Hirose’s study [10] suggests that biological snakes achieve locomotion by twisting their bodies, and their trajectory can be modeled as a trigonometric curve. The direction of movement corresponds to the change in the angular axis of the sine function, as illustrated in Figure 7.
The motion trajectory can be described as
x ( s ) = 0 s cos ( τ ) d σ y ( s ) = 0 s sin ( τ ) d σ τ = a cos ( b s ) + c σ
In this case, a, b, and c represent the parameters of the snake’s motion curve, and s represents the arc length in the forward direction. Equation (4) presents a continuous curve; however, to ensure effective motion control of the snake-like robot, the curve equation necessitates further refinement.
To attain control of the snake-like robot, the continuous control angles of the rotating joints need to be ascertained:
φ i = α cos ( ω t + i β ) + γ
Let φi represent the control angle of the first segment, and a sin β n , β = b n , γ = c n . When b = 2π, the robot completes one full motion cycle, and the control angle can be expressed as φi = θi+1θi, where θi is the angle between the joint and the X-axis.
Angle θ1 can be derived when the snake-like robot completes one full gait cycle:
θ 1 = 1 2 k n π i = 1 k / 2 φ i k = n n   i s   a n   e v e n   n u m b e r k = n 1 n   i s   a n   o d d   n u m b e r
where K is the cycle parameter determined by the number of joint modules in the snake-like robot. The amplitude and wavelength of the robot’s motion can then be calculated as
A = 1 2 i = 1 n | sin ( θ i ) | λ = 2 l i = 1 n cos ( θ i )
Here, l denotes the half-length of the joint, A is the maximum theoretical amplitude of the snake-like robot, and the robot’s actual motion should follow the trajectory of its center of mass.
By analyzing the motion control of individual joints, the linear actuator angle control equations for each supple joint of the snake-like robot can be derived:
l i = a 2 2 + l 0 2 a a 2 4 + l 0 2 cos arctan 2 l 0 a + φ i l 2 = a 2 2 + l 0 2 a a 2 4 + l 0 2 cos arctan 2 l 0 a φ i
where l 1 i and l 2 i are the lengths of the two rods connected to the i-th joint, l0 is the initial length of the rods, φi is the horizontal deflection angle of the i-th joint, and a is the distance between the two rods inside the joint. The pitch angle of the joint is controlled as
l 1 i = l 2 i = 3 a 2 2 + l 0 2 3 a cos arctan 2 3 l 0 3 a δ i a 2 2 + l 0 2
where δi is the pitch angle of the i-th joint.
According to the equations of motion, controlling the extension and retraction lengths of the three rods of the flexible joints allows for the realization of expansion, contraction, steering, and pitching movements of a single joint. Specifically, when the length of the constraint chain OU3 remains unchanged, the pitching motion of the snake-like robot can be achieved by controlling the two UPS chains to extend and retract the same amount. Conversely, steering is realized by controlling the two UPS chains to extend and retract different amounts. When all three chains extend and contract simultaneously, the joint undergoes overall expansion or contraction.
The simulated angles during the motion of the snake-like robot can be obtained through Equations (8) and (9), and were compared with the desired sinusoidal fluctuation motion trajectory. As shown in Figure 8, it can be observed that the steering simulation angles of the robot joints are closely aligned with the desired results and are distributed very uniformly. However, as shown in Figure 8b, with the increase in the pitch angle, the contact distance between the simulated angle and the actual expected angle becomes larger, and the resulting error becomes more obvious.

3. Adaptive Gait Control via CPG Network

3.1. Dual-Chain CPG Architecture

Central pattern generator (CPG) networks, which utilize specialized neural oscillators to generate gait signals for snake-like robots, offer significant advantages in environmental adaptability through their built-in feedback mechanisms. However, designing these models and adjusting their parameters remain challenging tasks.
To address these challenges, we propose a novel dual-chain CPG architecture based on Hopf neural oscillators. This design takes advantage of the periodic nature of serpentine locomotion to achieve three key benefits:
1. Multimodal Gait Generation: The network generates a variety of locomotion patterns while reducing the dimensionality of control parameters, a limitation in single-chain models where high-dimensional outputs require complex parameter tuning. A small set of state variables can govern high-dimensional joint motions, contrasting with traditional single-chain models that often rely on the independent adjustment of each joint.
2. Enhanced Dynamical Properties: The use of natural rhythmic signals for joint motion control, mimicking biological neural dynamics and avoiding the discontinuous signals of non-oscillatory models’ faster convergence rates to stable gaits, significantly reduces the convergence time compared to single-chain Hopf networks. This simplified parameter transitions via diffusive coupling, whereas a traditional single-chain CPG suffers from abrupt changes in control signals during gait switching.
3. Implementation Efficiency: The dual-chain architecture significantly reduces computational complexity during gait parameter optimization, making it more efficient in real-time computation than single-chain models with equivalent performance. This efficiency addresses the computational bottleneck of traditional high-dimensional CPG networks.
The kinetic equation for the Hopf neural oscillator is given by
F h ( a , b ) = γ f ( a ) 2 + f ( b ) 2 r x 2 ζ f ( a ) + τ ( t ) f ( b ) τ ( t ) f ( a ) γ f ( a ) 2 + f ( b ) 2 r x 2 ζ f ( b ) f ( a ) = a a c f ( b ) = b b c
Among them, x = (a,b)T, rx is the radius of the limit circle range, v is the convergence speed that affects the output value to converge to the limit circle, ac and bc determine the center position within the limit circle range, ε is the bifurcation parameter of the neuron, and ζ = 1 is set in this paper.
Here, axi is the output value of the neural oscillator, and ai and bi offsets are determined by ac,i and bc,i, respectively. ac,i and bc,i are the core control parameters, which are the offset parameters of the horizontal and vertical centers, respectively, determining the reference position of the oscillator on the horizontal axis (A-axis) and the vertical axis (B-axis). The output value of Hopf’s neural oscillator can be stabilized to converge to the a-b plane, where a and b are sinusoidal curves after the stabilization of the output value.
In order to realize the three-dimensional motion control of the snake-like robot in this study, a two-chain Hopf neural oscillator network was designed based on the Hopf neural oscillator network of reference [30]. The dynamics equation of its first i oscillator is expressed as
x ˙ i = F h ( x i ) α j ω i , j x i A x i A x j R ( ϕ i j ) x j y ˙ i = F h ( y i ) β y i A x i A x j R ( ϕ y x ) x i R ( φ ) = cos φ i j sin φ i j sin φ i j cos φ i j
where xi = [axi,bxi]T and yi = [ayi,byi]T are the outputs of the oscillator in the horizontal and vertical directions, respectively, and axi and bxi represent the serpenoid composite curves of the control signals for the i-th steering joint and the i-th pitch joint, respectively.
The structure of the dual-chain Hopf neural oscillatory network is shown in Figure 9. The left green chain and right red chain of Hopf oscillators generate reference curves for horizontal and vertical joint motions, respectively. Here, a, b, c, and d are the weights between neighboring neurons, and δ represents the phase difference between adjacent neurons, which varies depending on the specific motion being executed.
The dual-chain CPG neural oscillatory network is composed of 2n Hopf oscillators. The left CPG chain is numbered 1 to n, controlling the joint movement in the horizontal direction of the snake body, and the right chain is numbered from n + 1 to 2n, controlling the joint movement in the vertical direction of the snake body. All oscillators are connected via diffusive coupling. Various gaits of the snake-like robot can be achieved by adjusting the phase difference in the CPG network. In this study, the lateral undulating gait was simulated using the parameters in Table 1. Figure 10 illustrates how the output signals of the four CPG oscillators change when the phase difference ϕh,ij = π/3.
To explore the relationship between the parameters and the CPG output signals, we examined the effects of the phase difference ϕh,ij and the amplitude αh using the step-switching method. Figure 11 shows the simulation results of phase difference ϕh,ij at t = 5 s, with a change from π/4 to π/2. Similarly, Figure 12 displays the simulation results of amplitude αh at t = 5 s, with a change from π/6 to π/3.
From Figure 11 and Figure 12, it can be observed that the CPG output exhibits abrupt and discontinuous curves when the parameters are varied. Such aberrant or discontinuous control signals can lead to uncoordinated motion in the motors of the snake-like robot, potentially causing damage to both the motors and the joint structure. To prevent this issue, we investigated methods to achieve the smooth switching of gait parameters within the CPG network.

3.2. Gait Transition Smoothing

Evaluating curve continuity and smoothness mainly depends on parametric continuity (Cn) and geometric continuity (Gn); Cn and Gn denote the n-th order parametric continuities. Geometric continuity ensures geometric consistency, while parametric continuity demands underlying parameter continuity [31]. In this study, it was essential to guarantee that the smoothness of the snake-like robot’s motion was at least (C2) and (G2).
To analyze the C1 order continuity of the robot’s motion, we simplified the CPG network to a single-phase oscillator model, which is mathematically represented as follows:
θ ˙ i = 2 π ν i + ω i j sin ( θ j θ i )
where θi is the phase of the i-th oscillator, θj is the phase of the j-th oscillator, υi is the intrinsic frequency of the oscillator, and ωij represents the coupling weight between neighboring oscillators. According to [32], for smooth output signals in a phase oscillator model, it is crucial that ωij exceeds υi.
Thus, the oscillation model in Equation (12) is enhanced by introducing a parameter (τ), which simultaneously controls both ωij and υi, as follows:
τ θ ˙ i = 2 π ν i + ω i j sin θ j θ i ϕ i j
where ϕij is the phase difference. To ensure effective control of the CPG output, the value of τ should remain less than 1. If τ > 1, the output performance is compromised. By adjusting τ, smooth output can be achieved while maintaining the stability of υi and ωij.
The output of a single oscillator is defined as
x i = A cos ( θ i )
where xi represents the output signal (i.e., the joint angle), and A is the amplitude.
As per the two-chain CPG network in the previous section, all oscillators operate with an identical phase parameter ϕ to create symmetric joint motions for the snake-like robot. The total phase difference is set as (−ϕ) for downward motion and ϕ for upward motion.
ϕ a = n ϕ
Representing the total driven joints of the robot, n is subject to a total phase difference of 2π. Accordingly, the total joint movements, N, of the snake-like robot can be presented as
N = n ϕ 2 π
By varying the phase difference ϕ, different gaits of the snake-like robot can be realized, which is mathematically represented by
ϕ = 2 π n N
The first-order continuity C1 of the CPG network output can be derived from Equation (13) and expressed as
τ θ ¨ i = ω i j [ θ ˙ i cos ( θ j θ i ϕ i j ) ]
Deriving Equation (18) again yields the parametric continuity evaluation C2, with the following expression:
τ θ ¨ i = ω i j θ ˙ i 2 cos ( θ j θ i ϕ i j ) θ ¨ i cos ( θ j θ i ϕ i j )
However, for Equations (18) and (19), in assuming that the phase transition occurs from ϕij = ϕ1 to ϕij = ϕ2, neither equation proves to satisfy parametric continuity C1 and C2. As shown in Figure 11, there is a noticeable discontinuity in the CPG network’s output curve when the phase difference parameter is switched, which also fails to demonstrate the geometric continuity of the switching process.
To achieve smooth gait transitions, Qiao et al. [33] designed a double-chain CPG network to generate the control signals for the snake-like robot and proposed a method based on linear segmented functions for gait smoothing. In this paper, we propose an improved linear function algorithm for gait smoothing conversion, introducing a linear bipolar function as the activation function. This modification ensures that the output signal changes linearly during the phase difference switching process. Figure 13 illustrates the variation in phase difference ϕ over the time interval t1 to t2.
As an example of ϕ reduction, the phase difference ϕ as a function of time t is described by a linear bipolar function:
ϕ = ϕ 1 , t t 1 ϕ 1 a ( t 1 t ) , t 1 < t < t 2 ϕ 2 , t t 2
where a = ϕ 1 N 2 N 1 1 N 1 N 2 t 2 t 1 , N1 and N2 represent the number of movements of the joints, ϕ2 and N2 are pre-determined values, (t2t1) is the switching time for the phase difference from ϕ1 to ϕ2, and t1 is the moment when the phase difference begins to change.
With the substitution of Equation (20) into Equations (18) and (19), it is straightforward to show that the output curves exhibit C1 and C2 continuity of the parameters around (t = t1) and (t = t2), meaning that the parameter smoothing is improved.
To validate the effect of geometric smoothness, simulation experiments were conducted to evaluate the output signal of the linear smoothing switching algorithm applied to the CPG network. In this experiment, the phase difference of neighboring joints ϕij is used as the adjustment parameter. The initial and final phase differences were set to ϕ1 = π/4 and ϕ2 = π/2, respectively, with (n = 8) joints. The switching time, (t2t1), was set to 1 s.
The output signal of the CPG network using the linear smoothing switching algorithm is shown in Figure 14. When compared to Figure 11, it is evident that the smoothness of the output signal xi over time is significantly improved during the transition period between (t1 = 5 s) and (t2 = 6 s).

4. Economic MPC for Locomotion Optimization

4.1. Formulation of Economic MPC

Traditional methods for enhancing snake-like robot locomotion typically prioritize minimizing energy consumption, often at the expense of other performance metrics, such as speed. This limitation hinders their practical applicability. To overcome this challenge, we propose an Economic Model Predictive Control (MPC) framework that optimizes both energy efficiency and locomotion speed simultaneously.
MPC addresses a finite-horizon optimal control problem at each sampling time point, enabling real-time gait parameter optimization. Conventional approaches often involve exhaustive searches over combinations of amplitude and frequency, which can be computationally expensive and lack precision. In contrast, our MPC-based approach efficiently determines the optimal gait parameters, maximizing the robot’s forward speed while minimizing energy consumption, even in complex, dynamic environments.
For simplification, the snake-like robot is modeled as having Nl − 1 moving joints linked to Nl rods of uniform mass m and length 2l. The center of mass of each rod is located at its midpoint. The robot’s motion is driven by Nl − 1 actuators, as shown in Figure 15.
The connection between the joints of the robot must satisfy three complete kinematic constraints, which can be expressed as
A = 1 1                         1 1 R ( N i 1 ) × N i D = 1 1                         1 1 R ( N i 1 ) × N i e = 1 1 R N i , e ¯ = 1 1 R N i 1 D ¯ = D D D 1 R N l × ( N l 1 )
Matrices A and D correspond to the addition and subtraction of adjacent elements in a vector. The snake-like robot can advance forward via anisotropic viscous ground friction. Specifically, the ground friction perpendicular to the linkage surpasses the ground friction parallel to the linkage.
Therefore, using cn ϵ R > 0 for the normal friction coefficient and ct ϵ R > 0 for the tangential friction coefficient, the push factor is defined as follows.
Matrices A and D are utilized to represent the addition and subtraction of neighboring elements in a vector.
The snake-like robot’s forward movement is facilitated by anisotropic viscous ground friction, where the perpendicular friction exceeds the parallel friction relative to the linkage. We define the push factor using the following friction coefficients: cn ϵ R > 0 for the normal friction coefficient, and ct ϵ R > 0 for the tangential friction coefficient.
c p = c n c t 2 l
A prediction model, incorporating both the robot’s state and the surrounding environment, is constructed using the control method proposed in [34]. This model allows for the computation of optimal control parameters at each sampling time Ts. Since the snake-like robot has (N + 2) degrees of freedom, the state vector, which includes the robot’s position and velocity, has a dimension of (2N + 4). The system state vector can be expressed as
x = ϕ T , θ , p x , p y , v ϕ T , v θ , v t , v n T R 2 N + 4
Thus, the complete model of the snake-like robot can be expressed as
ϕ ( t + 1 ) = ϕ ( t ) T s v ϕ ( t ) θ ( t + 1 ) = θ ( t ) + T s v θ ( t ) p x ( t + 1 ) = p x ( t ) + T s v t ( t ) cos ( θ ( t ) ) v n ( t ) sin ( θ ( t ) ) p y ( t + 1 ) = p y ( t ) + T s v t ( t ) sin ( θ ( t ) ) + v n ( t ) cos ( θ ( t ) ) v ϕ ( t + 1 ) = v ϕ ( t ) + T s u ( t )
v θ ( t + 1 ) = v θ ( t ) + T s λ 1 v θ ( t ) + λ 2 N i 1 v t ( t ) e T ϕ ( t )   v t ( t + 1 ) = v t ( t ) + T s c t m v t ( t ) + 2 c p N i m v n ( t ) e T ϕ ( t ) c p N i m ϕ T ( t ) D ¯ v ϕ ( t )   v n ( t + 1 ) = v n ( t ) + T s c n m v n ( t ) + 2 c p N i m v t ( t ) e T ϕ ( t )
Parameters ϕ(t) and υϕ(t) correspond to the joint displacements and velocities of the snake-like robot. (Px(t), Py(t)) indicates the robot’s center of mass position in the global coordinate system, while υt(t) and υn(t) are associated with the tangential and normal velocities of the center of mass in the local frame. θ(t) represents the orientation angle, and υθ(t) is the rotational velocity of the robot. Moreover, λ1 and λ2 are empirical constants that describe the system’s rotational dynamics.
Owing to the mechanical limitations of the snake-like robot, the model holds true solely for smaller joint distances ϕ(t). Therefore, restrictions on the joint displacements ϕ(t), velocities υϕ(t), and inputs are necessary to guarantee practical operation. These limitations are outlined as follows:
X = x ( t ) R 2 N l + 4 ϕ i ( t ) ϕ max , ϕ max , v ϕ , i ( t ) v ϕ , max , v ϕ , max , i 1 , N l 1 U = u ( t ) R N l 1 u i ( t ) u max , u max , i 1 , N l 1
Thus, it can be concluded that
x ( t ) = ϕ ( t ) , θ ( t ) , p x ( t ) , p y ( t ) , v ϕ ( t ) , v θ ( t ) , v t ( t ) , v n ( t ) T
And ϕ max > 0 , v ϕ , max > 0 , and u max > 0 .
The lateral fluctuation gait control model is assumed to be
ϕ i , r e f = a sin ( ω t + ( i 1 ) δ ) + ϕ 0
Then, the controller for the lateral fluctuating motion is
u ( t ) = u ref ( t ) + k d v ϕ , ref ( t ) v ϕ ( t ) + k p ϕ ref ( t ) ϕ ( t )
Among others, v ϕ , ref , i ( t ) = d d t ϕ ref , i ( t ) , μ ref , i ( t ) = d 2 d t 2 ϕ ref , i ( t ) .
The objective of this section is to maximize the forward speed of the snake-like robot while maintaining low energy consumption. To achieve this, a cost function is formulated that is both simple and physically intuitive. Thus, −υ(t) is introduced as the optimization objective for the Model Predictive Control (MPC) problem, seeking to minimize the cost. This forms the basis of the economical MPC-based motion control algorithm for snake-like robots proposed in this paper. Given an initial state x(t) at each time step (t), the economical MPC during the discrete sampling interval is defined as follows:
min u ( t ) U N J ( x ( t ) , u ( t ) ) = k = 0 N v t ( k | t ) x ( 0 | t ) = x ( t ) x ( k + 1 | t ) = f ( x ( k | t ) , u ( k | t ) ) u ( k | t ) U R N l 1 , k = 0 , , N 1 x ( k | t ) X R 2 N l + 4 , k = 0 , , N
In particular, the dynamic model f(x(k|t), u(k|t)) and the state vector x(k|t) of the snake-like robot in discrete time are given by Equation (26). Here, input u(k|t) denotes the angular acceleration of the joints, −vt(k|t) represents the terminal cost, and U and X denote the input and state constraints, respectively. The predicted optimal input at time t, based on the time-series prediction, is given by
u * ( t ) = u * ( 0 | t ) , , u * ( N 1 | t )
The corresponding optimal prediction trajectory can be expressed as
x * ( t ) = x * ( 0 | t ) , , x * ( N | t )
where u*(t) and x*(t) represent the optimal input and state trajectories, respectively. At each time step t, employing the first element of the optimal input sequence allows the control input to be written as
u MPC ( t ) = u * ( 0 | t )

4.2. Experimental Validation

4.2.1. Simulation Results

This section presents numerical simulations and simulation models used to validate the effectiveness of the economical Model Predictive Control (MPC) method in the practical application of snake-like robots.
The robot was modeled as a chain of nine identical joints, each with a mass m = 1 kg, joint length l = 0.14 m, and rotational inertia I = 0.0093 kg m2; the joints were connected through Hooke hinges (without considering the influence of reactive torque on the Hooke hinge, which is regarded as a rigid link and an ideal connection without elasticity in the simulation) and prismatic joints, ignoring the microscopic elastic deformation of the flexible hinges. The Mecanum wheels were treated as rigid cylinders, where r = 0.03 m, normal friction coefficient cn = 3, and tangential friction coefficient ct = 1, and the rolling direction was controlled through UPS parallel mechanism. The ground was simulated as a rigid plane, and the roughness variation was ignored.
The setup time was t0 = 0 s, and the initial motion states of the robot were υϕ = 0 m/s, υn = 0 m/s, and υt = 0 m/s. The sampling time was Ts = 0.05 s, and the prediction horizon was Np = 20, which corresponded to a total time of 1 s. For comparison purposes, a lateral fluctuation controller was introduced with the following parameters: amplitude (ɑ = 0.05 m), frequency ω = 120 rad/s, phase difference δ = 40°, and joint spacing D0 = 0 m.
The cost function for designing the economical MPC is given by the energy expended during the considered movement. The average energy consumption is computed based on Equation (33):
F ( x ( t ) , u ( t ) ) = k = 0 N p v t ( k | t ) + ε u T ( k | t ) u ( k | t )
where ε u T ( k | t ) u ( k | t ) denotes the energy expended during the considered movement.
The average energy consumption is based on the following equation:
E ¯ = t = 100 200 u T ( t ) u ( t ) 100
The average asymptotic velocity is
v ¯ = t = 100 200 v t ( t ) 100
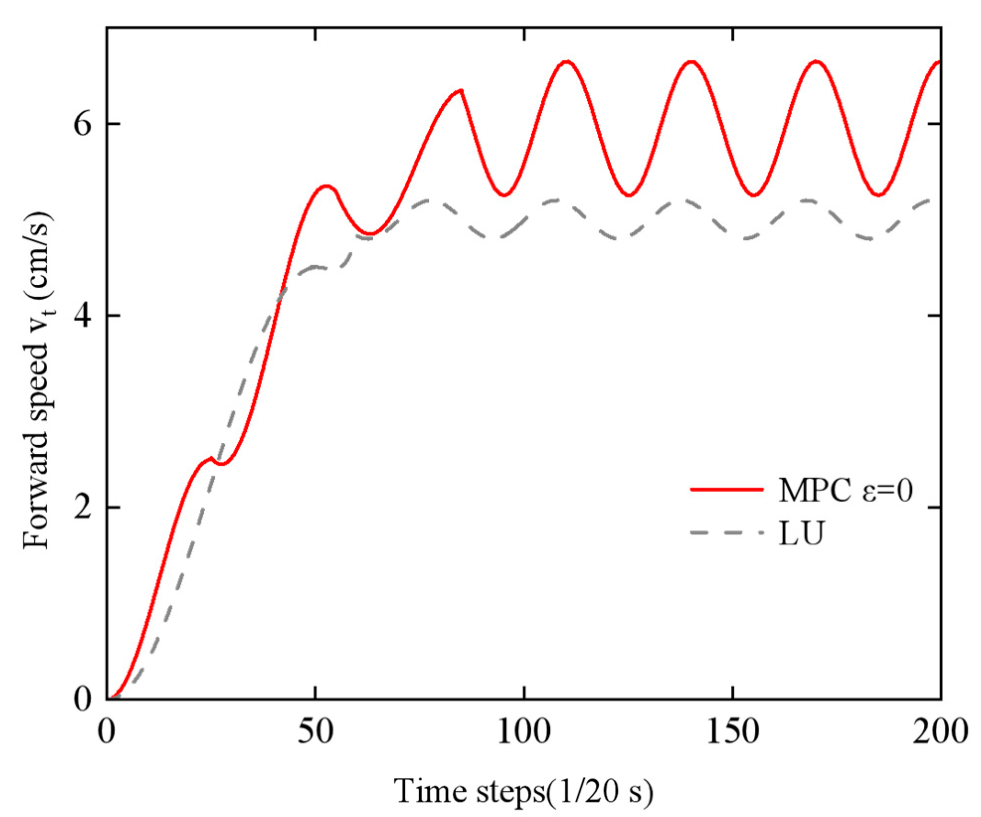
In this study, the performance differences between two control strategies—Economic Model Predictive Control (EMPC) and lateral undulation (LU)—were compared and analyzed for the motion control of the snake-like robot. To provide a comprehensive evaluation of the control performance, the experiments were carried out in two dimensions: motion speed and energy consumption. Figure 16 presents a comparison of the periodic motion speeds achieved by the two controllers (economic MPC with ε = 0 and lateral undulation controller) after a 100-step transition phase, while Figure 17 shows the comparison of periodic motion speeds when the remaining conditions are the same but ε = 0.2 (economic MPC with ε = 0.2 and lateral undulation controller).
The selection of ε = 0.2 reflects a multi-objective optimization strategy, analogous to the Pareto frontier-based framework proposed by Zhou et al. [35], who addressed energy–efficiency trade-offs in hybrid powertrain design. By systematically varying ε, we constructed a solution set where improvements in speed and energy consumption are non-dominated, with ε = 0.2 representing a practical compromise that aligns with biological locomotion efficiency.
The experimental results (Figure 16) indicate that the snake-like robot under EMPC demonstrates a significant speed advantage, with an asymptotic average speed increase of 28% compared to the LU controller. Further analysis reveals that, traditionally, speed enhancement is often accompanied by an increase in energy consumption. However, this study achieves a breakthrough by incorporating an energy optimization strategy. As shown in Table 2, while the standard EMPC scheme increases energy consumption by 22% during periodic steady motion, the improved EMPC scheme not only further increases the asymptotic mean speed by 18% but also reduces energy consumption by 7% when combined with parameter optimization adjustments.
To further quantify the energy–speed trade-off, the Cost of Transport (CoT), defined as the ratio of energy consumption to locomotion speed (J·s/m), is introduced. As shown in Table 2, the optimized EMPC scheme (ε = 0.2) achieves a 17.4% reduction in the CoT compared to the standard EMPC (ε = 0) (3.47 J·s/m vs. 4.20 J·s/m), demonstrating improved energy efficiency.
Specific quantitative indicators reveal that the average energy consumption, calculated using Equation (33) during a stable motion cycle of 100 time steps, shows that the optimized EMPC scheme improves the ratio of the CoT by 17.4%. This improvement is attributed to the adaptive capabilities of the EMPC framework, which can dynamically adjust the motion gait parameters based on real-time environmental conditions. Furthermore, energy consumption is substantially decreased through the improved design of the energy term, while preserving high mobility efficiency.
This study demonstrates that the economical MPC method overcomes the traditional linear trade-off between speed and energy consumption by introducing an energy optimization mechanism. It provides a novel control paradigm for snake-like robots, balancing both motion efficiency and energy economy.

4.2.2. Prototype Testing

To verify the overall performance of the Economic Model Predictive Control (EMPC) algorithm in practical settings, this study conducted lateral undulation motion control experiments using a physical prototype of a snake-like robot (Figure 18). The experimental design adhered to a dual validation principle: first, ensuring that all control parameters matched those used in the simulation environment, thereby providing a basis for comparable algorithm verification; and second, systematically evaluating the actual effectiveness of the control strategy in optimizing the trade-off between energy consumption and locomotion speed through a parameter space exploration experiment.
Three control schemes were tested: the standard EMPC, the optimized EMPC, and a lateral undulation (LU) controller. Each scheme underwent nine repeated trials to mitigate the impact of random errors. In the optimized EMPC scheme, dynamic energy management was achieved through the online adjustment of the objective function weights. Figure 19 presents the comparative data of the robot’s center-of-mass forward velocity under the three control strategies, while Table 3 quantifies the corresponding energy consumption metrics.
The experimental results indicate that the standard EMPC scheme increases the average speed by 27.2% compared to the LU controller (0.0598 m/s vs. 0.0470 m/s). The optimized EMPC scheme maintains a speed of 0.0531 m/s, representing an 11.2% reduction from the standard EMPC but a 12.9% increase over the LU controller, while reducing energy consumption by 7.3% (0.2147 J vs. 0.2317 J). Notably, the Cost of Transport (CoT) improved by 18% under the optimized EMPC (4.04 J·s/m vs. 4.93 J·s/m), demonstrating the dynamic parameter adjustment mechanism’s effectiveness.
Physical testing highlighted non-negligible deviations from simulation predictions, primarily attributed to thermal effects on motor efficiency and terrain-induced friction variations. While the absolute performance metrics were affected, the adaptive control framework maintained functional viability under real-world conditions. These insights provide a clear direction for the future optimization of the electromechanical system. This strategy enables up to an 18% extension in operational endurance without compromising the minimum speed requirement, which holds substantial engineering significance for energy-constrained field-deployable robotic systems.

5. Conclusions

This study presents a comprehensive approach to enhancing the performance of snake-like robots in complex exploration and rescue missions, with three key contributions:
(1) Bio-inspired Compliant Mechanism: A novel hybrid joint design combining compliant mechanisms and Mecanum wheels was developed. Supported by screw theory-based kinematics and Newton–Euler dynamics modeling, this design significantly improves terrain adaptability and mobility.
(2) Smooth Multimodal Gait Control: A dual-chain central pattern generator (CPG) network, integrated with linear smoothing algorithms, was proposed to enable seamless gait transitions. This approach addresses the signal discontinuity issues commonly encountered in conventional methods.
(3) Energy–Speed Co-optimization: An economic Model Predictive Control (MPC) framework was established to overcome the limitations of traditional single-objective optimization strategies. In simulations, this framework achieved a 7% reduction in energy consumption (0.1952 J vs. 0.2107 J) and an 18% increase in average forward speed (0.0563 m/s vs. 0.0478 m/s) compared to traditional controllers. Prototype experiments demonstrated a 12.9% speed improvement and 7.3% energy reduction, validating the approach’s practical efficacy.
Collectively, these innovations—spanning bio-inspired compliant joints, adaptive gait control, and energy–speed co-optimization—significantly advance the operational efficacy and deployment readiness of snake-like robots in unstructured environments. However, the precise energy-saving mechanisms underlying this synergy remain partially unresolved. Specifically, the distinct roles of mechanical compliance (e.g., anisotropic friction via Mecanum wheels) versus control intelligence (e.g., MPC-driven trajectory optimization) in enhancing energy conversion efficiency require deeper mechanistic validation. While the Cost of Transport (CoT) metric (Table 2 and Table 3) indirectly supports improved efficiency, direct quantification through power flow analysis—such as correlating motor input power with net forward propulsion—is absent.
To bridge these gaps, future work will prioritize the following:
(1) Decoupling mechanical and control contributions via ablation studies (e.g., rigid-joint variants) to isolate MPC-driven energy savings;
(2) Developing a dynamic power model that quantifies energy transfer pathways by integrating bionic mechanics (e.g., spinal elasticity) with adaptive control (e.g., phase-smoothing);
(3) Validating synergistic principles through multiphysics co-simulations (e.g., ADAMS-CoppeliaSim) to uncover governing laws of structure–control co-optimization.
These initiatives will establish a foundational theory for energy-aware bio-inspired robotics, enabling the robust design of high-efficiency systems in complex terrains.

Author Contributions

Conceptualization: G.C.; data curation: J.L. and B.L.; formal analysis: S.Z. and P.X.; funding acquisition: G.C.; investigation: J.L. and B.L.; methodology: N.Y.; project administration: S.Z.; resources: G.C.; software: M.G. and J.L.; supervision: G.C.; validation: S.Z. and M.G.; visualization: P.X.; writing—original draft: N.Y.; writing—review and editing: S.Z. and G.C. All authors have read and agreed to the published version of the manuscript.

Funding

This research was funded by the National Natural Science Foundation of China grant number No. 52175003; the Science and Technology Innovation Program of Hunan Province grant number No. 2024RC1054; and the Hunan Provincial Natural Science Foundation of China grant number No. 2025JJ70123. And The APC was funded by the National Natural Science Foundation of China.

Institutional Review Board Statement

Not applicable.

Informed Consent Statement

Not applicable.

Data Availability Statement

Data will be made available on request.

Conflicts of Interest

The authors declare no conflicts of interest.

References

  1. Fu, Q.; Li, C. Robotic modelling of snake traversing large, smooth obstacles reveals stability benefits of body compliance. R. Soc. Open Sci. 2020, 7, 191192. [Google Scholar] [CrossRef] [PubMed]
  2. Li, W.; Shen, M.; Gao, A.; Yang, G.-Z.; Lo, B. Towards a snake-like flexible robot for endoscopic submucosal dissection. IEEE Trans. Med. Robot. Bionics 2021, 3, 257–260. [Google Scholar] [CrossRef]
  3. Fukuoka, Y.; Otaka, K.; Takeuchi, R.; Shigemori, K.; Inoue, K. Mechanical designs for field undulatory locomotion by a wheeled snake-like robot with decoupled neural oscillators. IEEE Trans. Robot. 2023, 39, 987–1002. [Google Scholar] [CrossRef]
  4. Tanev, I.; Ray, T.; Buller, A. Automated evolutionary design, robustness, and adaptation of sidewinding locomotion of a simulated snake-like robot. IEEE Trans. Robot. 2005, 21, 632–645. [Google Scholar] [CrossRef]
  5. Liu, J.; Tong, Y.; Liu, J. Review of snake robots in constrained environments. Robot. Auton. Syst. 2021, 143, 103842. [Google Scholar] [CrossRef]
  6. Ariizumi, R.; Matsuno, F. Dynamic analysis of three snake robot gaits. IEEE Trans. Robot. 2017, 33, 1075–1087. [Google Scholar] [CrossRef]
  7. Cao, Z.; Zhang, D.; Zhou, M.C. Direction control and adaptive path following of 3-D snake-like robot motion. Trans. Cybern. 2021, 52, 10980–10987. [Google Scholar] [CrossRef]
  8. Chang, A.H.; Vela, P.A. Shape-centric modeling for control of traveling wave rectilinear locomotion on snake-like robots. Robot. Auton. Syst. 2019, 123, 103320. [Google Scholar] [CrossRef]
  9. Fang, P.; Liu, C.; Li, S.; Li, Y.; Yang, F.; Liu, Y.; Shao, L.; Chen, Z.; Yu, M. Design and Implementation of a 3-DOF Modular High-Rise Façade-Cleaning Robot with an XYZ Motion Module. Machines 2025, 13, 294. [Google Scholar] [CrossRef]
  10. Hu, B.; Bai, P. Research on the Conditions and Optimization of 3-UPU Parallel Manipulators That Naturally Realize Three Translational Degrees of Freedom. Machines 2025, 13, 265. [Google Scholar] [CrossRef]
  11. Hirose, B.S. Biologically Inspired Robots: Snake-Like Locomotors and Manipulators; Oxford University Press: Oxford, UK, 1993. [Google Scholar]
  12. Hirose, S.; Umetani, Y. Kinematic control of active cord mechanism with tactile sensors. In Proceedings of the Second CISM/IFTOMM International Symposium on the Theory and Practice of Robots and Manipulators, Warsaw, Poland, 14–17 September 1976; pp. 241–252. [Google Scholar] [CrossRef]
  13. Shammas, E.; Wolf, A.; Choset, H. Three degrees-of-freedom joint for spatial hyper-redundant robots. Mech. Mach. Theory 2006, 41, 170–190. [Google Scholar] [CrossRef]
  14. Wang, C.; Peng, Y.; Li, D.; Pan, Z.; Deng, H.; Li, D.; Li, B. Turning strategy of snake-like robot based on serpenoid curve under cloud assisted smart conditions. Clust. Comput. 2017, 20, 13041–13053. [Google Scholar] [CrossRef]
  15. Li, D.; Pan, Z.; Deng, H.; Hu, L. Adaptive path following controller of a multi-joint snake robot (MSR) based on the improved Serpenoid curve. IEEE Trans. Ind. Electron. 2021, 69, 3831–3842. [Google Scholar] [CrossRef]
  16. Arena, P.; Bucolo, M.; Buscarino, A.; Fortuna, L.; Frasca, M. Reviewing bioinspired technologies for future trends: A complex systems point of view. Front. Phys. 2021, 9, 750090. [Google Scholar] [CrossRef]
  17. Yang, C.; Pu, C.; Zou, Y.; Wei, T.; Wang, C.; Li, Z. Bio-inspired neural networks with central pattern generators for learning multi-skill locomotion. Sci. Rep. 2025, 15, 10165. [Google Scholar] [CrossRef]
  18. Liu, X.; Zang, Y.; Gao, Z.; Liao, M. Locomotion gait control of snake robots based on a novel unified CPG network model composed of Hopf oscillators. Robot. Auton. Syst. 2024, 179, 104746. [Google Scholar] [CrossRef]
  19. Barron-Zambrano, J.H.; Torres-Huitzil, C.; Girau, B. Configurable embedded CPG-based control for robot locomotion. Int. J. Adv. Robot. Syst. 2012, 9, 1–12. [Google Scholar] [CrossRef]
  20. Barron-Zambrano, J.H.; Torres-Huitzil, C.; Girau, B. Perception-driven adaptive CPG-based locomotion for hexapod robots. Neurocomputing 2015, 170, 63–78. [Google Scholar] [CrossRef]
  21. Akkawutvanich, C.; Knudsen, F.I.; Riis, A.F.; Larsen, J.C.; Manoonpong, P. Adaptive parallel reflex- and decoupled CPG-based control for complex bipedal locomotion. Robot. Auton. Syst. 2020, 134, 103663. [Google Scholar] [CrossRef]
  22. Yamano, A.; Ikeda, Y.; Imai, K.; Chiba, M. Efficient rolling motion for snake-like robots utilizing center of gravity shift. Mechatronics 2023, 94, 103024. [Google Scholar] [CrossRef]
  23. Liu, Z.; Wang, L.; Zeng, X.; Zhang, Y.; Chen, C.L.P.; Wang, Y. Energy-efficiency-based gait control system architecture and algorithm for biped robots. IEEE Trans. Syst. Man Cybern. 2012, 42, 926–934. [Google Scholar] [CrossRef]
  24. Bauer, F.; Romer, U.; Fidlin, A.; Seemann, W. Optimization of energy efficiency of walking bipedal robots by use of elastic couplings in the form of mechanical springs. Nonlinear Dyn. 2015, 83, 127–147. [Google Scholar] [CrossRef]
  25. Gu, Y.; Wang, Z.; Feng, S.; Sun, H.; Lu, H.; Pan, J.; Wan, F.; Song, C. Computational design towards energy efficient optimization in overconstrained robotic limbs. J. Bionic Eng. 2023, 20, 987–1001. [Google Scholar] [CrossRef]
  26. Xu, B.; Jiao, M.; Zhang, X.; Zhang, D. Path tracking of an underwater snake robot and locomotion efficiency optimization based on improved pigeon-inspired algorithm. J. Mar. Sci. Eng. 2022, 10, 47. [Google Scholar] [CrossRef]
  27. Rebolledo, M.; Zeeuwe, D.; Bartz-Beielstein, T.; Eiben, A.E. Co-optimizing for task performance and energy efficiency in evolvable robots. Eng. Appl. Artif. Intell. 2023, 126, 106852. [Google Scholar] [CrossRef]
  28. Chen, G.; Wang, H.; Yin, L. Design, modeling and validation of a low-cost linkage-spring telescopic rod-slide underactuated adaptive robotic hand. Bioinspir. Biomim. 2024, 20, 016026. [Google Scholar] [CrossRef]
  29. Fabris, G.; Scalera, L.; Gasparetto, A. Dynamic modelling and energy-efficiency optimization in a 3-DOF parallel robot. J. Intell. Robot. Syst. 2024, 117, 12. [Google Scholar] [CrossRef]
  30. Wang, Z.; Gao, Q.; Zhao, H. CPG-inspired locomotion control for a snake robot basing on nonlinear oscillators. J. Intell. Robot. Syst. 2017, 85, 209–227. [Google Scholar] [CrossRef]
  31. Rogers, D.F. An Introduction to NURBS: With Historical Perspective; Elsevier: Amsterdam, The Netherlands, 2000. [Google Scholar]
  32. Nor, N.M.; Ma, S. A simplified CPGs network with phase oscillator model for locomotion control of a snake-like robot. J. Intell. Robot. Syst. 2014, 75, 71–86. [Google Scholar] [CrossRef]
  33. Qiao, G.; Wen, X.; Lin, J.; Wang, D.; Wei, Z. Sigmoid transition approach of the central pattern generator-based controller for the snake-like robot. Int. J. Adv. Robot. Syst. 2017, 14, 1729881417705289. [Google Scholar] [CrossRef]
  34. Sanfilippo, F.; Azpiazu, J.; Marafioti, G.; Transeth, A.A.; Stavdahl, Ø.; Liljebäck, P. Perception-driven obstacle-aided locomotion for snake robots: The state of the art, challenges and possibilities. Appl. Sci. 2017, 7, 336. [Google Scholar] [CrossRef]
  35. Zhou, X.; Qin, D.; Yao, M.; Xie, Z. Representation, generation, and optimization methodology of hybrid electric vehicle powertrain architectures. J. Clean. Prod. 2020, 256, 120711. [Google Scholar] [CrossRef]
Figure 1. Three-degree-of-freedom compliant joint model.
Figure 1. Three-degree-of-freedom compliant joint model.
Biomimetics 10 00389 g001
Figure 2. The three motions: pitching, steering, and telescoping.
Figure 2. The three motions: pitching, steering, and telescoping.
Biomimetics 10 00389 g002
Figure 3. Sketch of compliant joint structure.
Figure 3. Sketch of compliant joint structure.
Biomimetics 10 00389 g003
Figure 4. Bionic ribs of U1S1.
Figure 4. Bionic ribs of U1S1.
Biomimetics 10 00389 g004
Figure 5. Moving platform ∆S1S2U3.
Figure 5. Moving platform ∆S1S2U3.
Biomimetics 10 00389 g005
Figure 6. Bionic ribs.
Figure 6. Bionic ribs.
Biomimetics 10 00389 g006
Figure 7. Diagram of the movement trajectory of a biosnake.
Figure 7. Diagram of the movement trajectory of a biosnake.
Biomimetics 10 00389 g007
Figure 8. Simulation angle vs. desired angle.
Figure 8. Simulation angle vs. desired angle.
Biomimetics 10 00389 g008
Figure 9. Structure of double-chained Hopf neural oscillatory network. (a) Weighting factors between neighboring neurons; (b) uniform phase difference among adjacent neurons; (c) special CPG architecture with uniform phase difference among neighboring neurons.
Figure 9. Structure of double-chained Hopf neural oscillatory network. (a) Weighting factors between neighboring neurons; (b) uniform phase difference among adjacent neurons; (c) special CPG architecture with uniform phase difference among neighboring neurons.
Biomimetics 10 00389 g009
Figure 10. Steering joint control signal generated by the CPG network.
Figure 10. Steering joint control signal generated by the CPG network.
Biomimetics 10 00389 g010
Figure 11. Effect of varying the phase difference ϕh,ij parameter on the output of the CPG network.
Figure 11. Effect of varying the phase difference ϕh,ij parameter on the output of the CPG network.
Biomimetics 10 00389 g011
Figure 12. Effect of varying the amplitude αh parameter on the output of the CPG network.
Figure 12. Effect of varying the amplitude αh parameter on the output of the CPG network.
Biomimetics 10 00389 g012
Figure 13. Linear variation in the phase difference ϕ. (a) Increase in ϕ; (b) decrease in ϕ.
Figure 13. Linear variation in the phase difference ϕ. (a) Increase in ϕ; (b) decrease in ϕ.
Biomimetics 10 00389 g013
Figure 14. CPG output signal with phase difference adjusted by applying linear smoothing switching algorithm.
Figure 14. CPG output signal with phase difference adjusted by applying linear smoothing switching algorithm.
Biomimetics 10 00389 g014
Figure 15. Simplified connecting rod system.
Figure 15. Simplified connecting rod system.
Biomimetics 10 00389 g015
Figure 16. Comparison of forward speed of economy MPC with lateral swing controller for ε = 0.
Figure 16. Comparison of forward speed of economy MPC with lateral swing controller for ε = 0.
Biomimetics 10 00389 g016
Figure 17. Comparison of forward speed of the economical MPC with lateral fluctuation controller for ε = 0.2.
Figure 17. Comparison of forward speed of the economical MPC with lateral fluctuation controller for ε = 0.2.
Biomimetics 10 00389 g017
Figure 18. Snake-like robot prototype.
Figure 18. Snake-like robot prototype.
Biomimetics 10 00389 g018
Figure 19. Average forward speed of the center of mass of the snake-like robot prototype under different schemes in three sets of experiments.
Figure 19. Average forward speed of the center of mass of the snake-like robot prototype under different schemes in three sets of experiments.
Biomimetics 10 00389 g019
Table 1. CPG parameters for generating serpentine gait movements.
Table 1. CPG parameters for generating serpentine gait movements.
Horizontal Chain (Steering)Vertical Chain (Pitching)
NotationParameter ValueNotationParameter Value
a c 0 b c 0
ϕ h , i j 1 3 π ψ h , y x 1 2 π
a H 1 ω h 1 5 π
r x 1
Table 2. Simulation results: comparison of energy consumption, speed, and Cost of Transport (CoT) for MPC and lateral undulation controllers.
Table 2. Simulation results: comparison of energy consumption, speed, and Cost of Transport (CoT) for MPC and lateral undulation controllers.
Control MethodsAsymptotic Average Speed (m/s)Specific ValueAverage Energy Consumption (J)Specific ValueCoT
(J·s/m)
Specific Value
MPC|ε = 00.0612128%0.2573122%4.2095.24%
MPC|ε = 0.20.0563118%0.195292.64%3.4778.68%
Transverse Fluctuation Controller0.0478100%0.2107100%4.41100%
Table 3. Experimental results: comparison of energy consumption, speed, and Cost of Transport (CoT) for MPC and lateral undulation controllers.
Table 3. Experimental results: comparison of energy consumption, speed, and Cost of Transport (CoT) for MPC and lateral undulation controllers.
The Average Forward Speed for the Three Sets of ExperimentsThe Average Energy Expenditure of the Three Sets of Experiments
Control MethodsAverage Forward Speed (m/s)Specific ValueAverage Energy Consumption (J)Specific ValueCoT
(J·s/m)
Specific Value
MPC|ε = 00.0598125.4%0.2830122%4.7395.94%
MPC|ε = 0.20.0531112.9%0.214792.7%4.0481.95%
Transverse Fluctuation Controller0.0470100%0.2317100%4.93100%
Disclaimer/Publisher’s Note: The statements, opinions and data contained in all publications are solely those of the individual author(s) and contributor(s) and not of MDPI and/or the editor(s). MDPI and/or the editor(s) disclaim responsibility for any injury to people or property resulting from any ideas, methods, instructions or products referred to in the content.

Share and Cite

MDPI and ACS Style

Zhou, S.; Chen, G.; Gong, M.; Liu, J.; Xu, P.; Liu, B.; Yin, N. Bio-Inspired Compliant Joints and Economic MPC Co-Design for Energy-Efficient, High-Speed Locomotion in Snake-like Robots. Biomimetics 2025, 10, 389. https://doi.org/10.3390/biomimetics10060389

AMA Style

Zhou S, Chen G, Gong M, Liu J, Xu P, Liu B, Yin N. Bio-Inspired Compliant Joints and Economic MPC Co-Design for Energy-Efficient, High-Speed Locomotion in Snake-like Robots. Biomimetics. 2025; 10(6):389. https://doi.org/10.3390/biomimetics10060389

Chicago/Turabian Style

Zhou, Shuai, Gengbiao Chen, Mingyu Gong, Jing Liu, Peng Xu, Binshuo Liu, and Nian Yin. 2025. "Bio-Inspired Compliant Joints and Economic MPC Co-Design for Energy-Efficient, High-Speed Locomotion in Snake-like Robots" Biomimetics 10, no. 6: 389. https://doi.org/10.3390/biomimetics10060389

APA Style

Zhou, S., Chen, G., Gong, M., Liu, J., Xu, P., Liu, B., & Yin, N. (2025). Bio-Inspired Compliant Joints and Economic MPC Co-Design for Energy-Efficient, High-Speed Locomotion in Snake-like Robots. Biomimetics, 10(6), 389. https://doi.org/10.3390/biomimetics10060389

Article Metrics

Back to TopTop