Biomimicry in the Context of Stabilised Porous Clays
Abstract
1. The Philosophy
2. The Biomimetic Approach
2.1. The Problem
2.2. The Natural System
2.3. The Abstraction
3. Materials and Methods
3.1. Materials
3.2. Setups
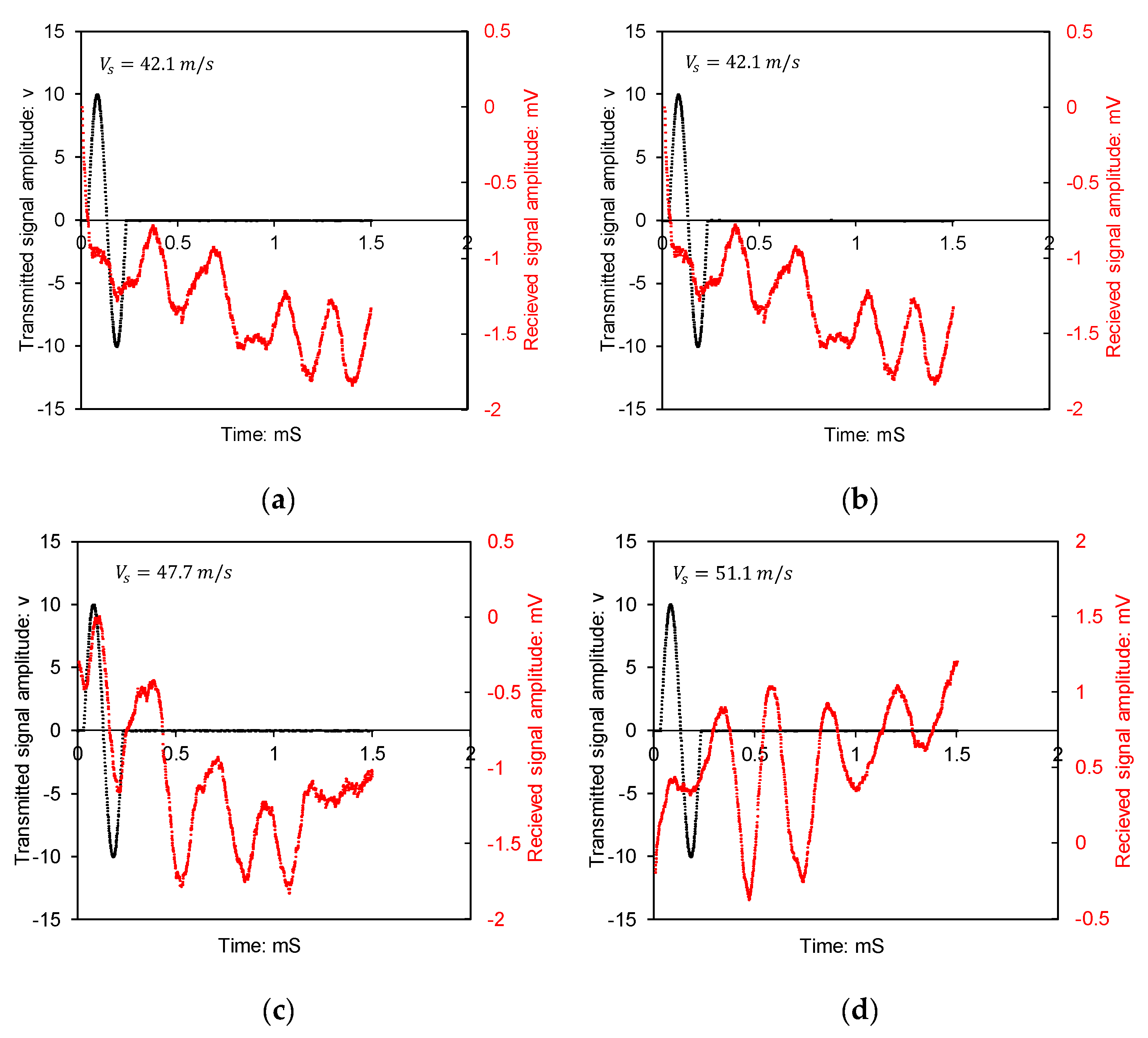
4. Results
5. Conclusions
Funding
Institutional Review Board Statement
Informed Consent Statement
Data Availability Statement
Conflicts of Interest
Abbreviations
| BE | Bender Element |
| Shear Wave Velocity | |
| Small-Strain Shear Modulus | |
| PM | Pressmud |
| AM | Arbuscular Mycorrhizal |
References
- Maturana, H.R.; Varela, F.J. Autopoiesis and Cognition: The Realization of the Living; Springer Science & Business Media: Dordrecht, The Netherlands, 1991; Volume 42. [Google Scholar]
- Assadi-Langroudi, A.; Jefferson, I.; O’Hara-Dhand, K.; Smalley, I. Micromechanics of quartz sand breakage in a fractal context. Geomorphology 2014, 211, 1–10. [Google Scholar] [CrossRef]
- Dicks, H. The Biomimicry Revolution: Learning from Nature How to Inhabit the Earth; Columbia University Press: New York, NY, USA, 2023. [Google Scholar]
- Zhou, Y.Y.; Yu, B.; Fan, W.; Dijkstra, T.A.; Wei, Y.N.; Deng, L.S. 3D characterization of localized shear failure in loess subject to triaxial loading. Eng. Geol. 2023, 322, 107174. [Google Scholar] [CrossRef]
- Yao, Z.T.; Ji, X.S.; Sarker, P.K.; Tang, J.H.; Ge, L.Q.; Xia, M.S.; Xi, Y.Q. A comprehensive review on the applications of coal fly ash. Earth-Sci. Rev. 2015, 141, 105–121. [Google Scholar] [CrossRef]
- Wu, Y.; Lu, B.; Bai, T.; Wang, H.; Du, F.; Zhang, Y.; Cai, L.; Jiang, C.; Wang, W. Geopolymer, green alkali activated cementitious material: Synthesis, applications and challenges. Constr. Build. Mater. 2019, 224, 930–949. [Google Scholar] [CrossRef]
- Gökçe, H.S.; Tuyan, M.; Nehdi, M.L. Alkali-activated and geopolymer materials developed using innovative manufacturing techniques: A critical review. Constr. Build. Mater. 2021, 303, 124483. [Google Scholar] [CrossRef]
- Gosling, P.; Hodge, A.; Goodlass, G.; Bending, G.D. Arbuscular mycorrhizal fungi and organic farming. Agric. Ecosyst. Environ. 2006, 113, 17–35. [Google Scholar] [CrossRef]
- Zhang, X.; Huang, T.; Ge, Z.; Man, T.; Huppert, H.E. Infiltration characteristics of slurries in porous media based on the coupled Lattice-Boltzmann discrete element method. Comput. Geotech 2025, 177, 106865. [Google Scholar] [CrossRef]
- Rillig, M.C.; Wright, S.F.; Nichols, K.A.; Schmidt, W.F.; Torn, M.S. Large contributions of arbuscular mycorrhizal fungi to soil carbon pools in tropical forest soils. Plant Soil 2001, 233, 167–177. [Google Scholar] [CrossRef]
- Young, I.M.; Crawford, J.W. Interactions and self-organization in the soil-microbe complex. Science 2004, 304, 1634–1637. [Google Scholar] [CrossRef] [PubMed]
- Assadi-Langroudi, A.; Ghadr, S.; Theron, E.; Oderinde, S.A.; Katsipatakis, E.M. Lime cake as an alternative stabiliser for loose clayey loams. Int. J. Geosynth. Ground Eng. 2019, 5, 22. [Google Scholar] [CrossRef]
- Pourakbar, S.; Huat, B.B.; Asadi, A.; Fasihnikoutalab, M.H. Model study of alkali-activated waste binder for soil stabilization. Int. J. Geosynth. Ground Eng. 2016, 2, 35. [Google Scholar] [CrossRef]
- Assadi-Langroudi, A.; Theron, E.; Ghadr, S. Sequestration of carbon in pedogenic carbonates and silicates from construction and demolition wastes. Constr. Build. Mater. 2021, 286, 122658. [Google Scholar] [CrossRef]
- Dyvik, R.; Madshus, C. Lab measurements of Gmax using bender element. In Advances in the Art of Testing Soils Under Cyclic Conditions; Khosla, V., Ed.; ASCE: New York, NY, USA, 1985; pp. 186–196. [Google Scholar]
- Gu, X.; Yang, J.; Huang, M.; Gao, G. Bender element tests in dry and saturated sand: Signal interpretation and result comparison. Soils Found. 2015, 55, 951–962. [Google Scholar] [CrossRef]
- White, J.R.F. A Laboratory Investigation into the Behaviour of Sand at Low Confining Stresses. Ph.D. Thesis, University of Oxford, Oxford, UK, 2020. [Google Scholar]






| ID | PM wt.% | A/PM † | e | S | A |
|---|---|---|---|---|---|
| base | 0 | - | 0.5 | 0.55 | 0.15 |
| A15 | 25 | 0.22 | 0.5 | 0.55 | 0.15 |
| A19 | 25 | 0.22 | 0.7 | 0.55 | 0.19 |
| A21 | 25 | 0.22 | 0.7 | 0.5 | 0.21 |
| A25 | 25 | 0.22 | 0.7 | 0.4 | 0.25 |
| A29 | 25 | 0.22 | 0.7 | 0.3 | 0.29 |
| A33 | 25 | 0.22 | 0.7 | 0.2 | 0.33 |
| A35 | 25 | 0.22 | 0.7 | 0.15 | 0.35 |
Disclaimer/Publisher’s Note: The statements, opinions and data contained in all publications are solely those of the individual author(s) and contributor(s) and not of MDPI and/or the editor(s). MDPI and/or the editor(s) disclaim responsibility for any injury to people or property resulting from any ideas, methods, instructions or products referred to in the content. |
© 2025 by the author. Licensee MDPI, Basel, Switzerland. This article is an open access article distributed under the terms and conditions of the Creative Commons Attribution (CC BY) license (https://creativecommons.org/licenses/by/4.0/).
Share and Cite
Assadi-Langroudi, A. Biomimicry in the Context of Stabilised Porous Clays. Biomimetics 2025, 10, 290. https://doi.org/10.3390/biomimetics10050290
Assadi-Langroudi A. Biomimicry in the Context of Stabilised Porous Clays. Biomimetics. 2025; 10(5):290. https://doi.org/10.3390/biomimetics10050290
Chicago/Turabian StyleAssadi-Langroudi, Arya. 2025. "Biomimicry in the Context of Stabilised Porous Clays" Biomimetics 10, no. 5: 290. https://doi.org/10.3390/biomimetics10050290
APA StyleAssadi-Langroudi, A. (2025). Biomimicry in the Context of Stabilised Porous Clays. Biomimetics, 10(5), 290. https://doi.org/10.3390/biomimetics10050290
