Next Article in Journal
Expanding the Fine-Kinney Methodology Using Fuzzy Logic: A Case Study in an Energy Linemen Workshop
Previous Article in Journal
Effect of a Short-Term Training Program on Knowledge of Rip Currents: A Study with University Students
Previous Article in Special Issue
Investigation of Cyclist’s Distraction Due to External Auditory and Visual Stimuli
 
 
Font Type:
Arial Georgia Verdana
Font Size:
Aa Aa Aa
Line Spacing:
Column Width:
Background:
Article

Identifying a Framework for Implementing Vision Zero Approach to Road Safety in Low- and Middle-Income Countries: A Qualitative Perspective

1
School of Computing, Engineering and the Built Environment, Edinburgh Napier University, 10 Colinton Road, Edinburgh EH10 5DT, UK
2
School of Rural and Surveying Engineering, Aristotle University of Thessaloniki, 54124 Thessaloniki, Greece
*
Author to whom correspondence should be addressed.
Safety 2025, 11(4), 93; https://doi.org/10.3390/safety11040093
Submission received: 10 June 2025 / Revised: 31 August 2025 / Accepted: 11 September 2025 / Published: 2 October 2025
(This article belongs to the Special Issue Traffic Safety Culture)

Abstract

Road traffic fatalities in low- and middle-income countries (LMICs) are continuing to rise, posing significant socio-economic and public health challenges. To prevent these road deaths and avoid the corresponding costs, the World Health Organization (WHO) has recommended implementing the vision zero approach to road safety. Vision Zero aims to eliminate road deaths and reduce serious injuries. It has been adopted by many developed countries, however LMICs have faced difficulties implementing this approach due to a lack of guidance. This study aims to develop a framework for implementing vision zero in LMICs by examining the processes in India and Sweden. A qualitative research approach with a multiple-case study design was utilized, selecting 16 participants through purposive and snowball sampling. Data was collected via semi-structured interviews and analyzed using the Grounded Theory method based on Strauss and Corbin’s approach. The study identified five core implementation steps such as agenda setting, approval, planning, monitoring and evaluation, and continuous improvement. Also, a set of influencing conditions such as preconditions, objectives, strategies, intervening factors and contextual conditions were identified. Furthermore, 38 implementation proposals were suggested in the framework to guide policymakers. The proposed framework provides a road map for LMICs that is intended to act as a guide for policymakers and road safety practitioners to enhance road safety performance in LMICs.

1. Introduction

The World Health Organization estimates that 1.19 million people lose their lives annually due to road traffic crashes, which is roughly 15 deaths per 100,000 individuals [1,2]. The burden is overwhelmingly concentrated in low- and middle-income countries (LMICs), which together account for over 92% of global fatalities. Specifically, upper-middle-income countries contribute 35%, lower-middle-income countries 44%, and low-income countries 13%, while high-income countries (HICs) represent only 8% of the total [1]. This disparity becomes even more pronounced when viewed in relation to vehicle ownership and infrastructure. Low-income countries have just 9% of the global population, less than 1% of powered vehicles and minimal road infrastructure but account for 13% of global road deaths while HICs, which comprise 16% of the global population, possess 28% of the world’s motor vehicles and 88% of paved inter-urban roads report only 8% of road traffic deaths [1]. Figure 1 illustrates these disparities.
Regionally, the South-East Asia Region bears the heaviest toll, with an estimated 330,222 fatalities, representing 28% of the global burden [1]. India, as the largest country in this region, accounts for approximately 153,972 of these fatalities [1]. The country’s road safety crisis is influenced by rapid socio-economic transformation, urbanization and motorization. As of 2021, the country’s population exceeded 1.4 billion. The number of registered vehicles increased to 326 million [3]. India also possesses one of the largest road networks, with the total paved road spanning 4 million kilometers, yet road safety infrastructure and policy have struggled to keep pace. This mismatch has contributed to the alarming traffic fatalities. Haryana, a northern Indian state, is among the key contributors to the country’s high road traffic fatality rates. The state has a population of 2.53 crore as per the 2011 Census, which is approximately 2.9% of India’s total. By October 2018, Haryana had over 8.8 million registered vehicles and more than 3.5 million issued driving licenses [4]. As of March 2016, 2482 km of National Highways passed through the state, accounting for 6.4% of India’s total national highway length. Despite its relatively small population share, Haryana recorded 2.2% of all road crashes and 3.3% of traffic fatalities nationwide [5]. 2015 data on the state burden of RTIs showed that Haryana was one of the states ten with a significantly high road traffic fatality rate of 19.9 deaths per 100,000 population. In an effort to reverse this trend, Haryana became the first Indian state to formally adopt the Vision Zero approach in 2017. The initial phase targeted the 10 most vulnerable districts. Within the first year of implementation 4160 km of road had been inspected, 760 crash investigations done and 78 blackspots audited. These efforts led to a 26% reduction in traffic fatalities, prompting the expansion of the program to all 22 districts in Phase II [5]. Despite its impact, the initiative faced challenges in expanding to other states.
In contrast to the South-East Asia Region, which bears the highest global burden of road traffic fatalities, the European Region reports the lowest fatality rate, averaging 7 deaths per 100,000 population [1]. Within this region, Sweden stands out as a global leader in road safety performance. The country is classified as an HIC by the World Bank with a gross domestic product (GDP) per capita of USD 52,056 [6]. As of 2022, the paved road network was approximately 79,900 km, and the total number of registered vehicles as of 2021 was 6.5 million, most of which were four wheelers [3]. Sweden’s population was estimated at 10.4 million in 2021, and the country reported approximately 220 road traffic fatalities that year, translating to a fatality rate of roughly 2.1 per 100,000 population [3]. This low fatality rate is the outcome of a long history of road safety activities dating back to the 1960s [7]. Road traffic deaths peaked in the mid-1960s at over 1300 annually, prompting a series of innovative safety measures focused on vehicle inspections, infrastructure upgrades and user behavior. The 1967 shift from left- to right-hand traffic catalyzed widespread system changes, including road reconstruction and public education. A dedicated road safety office was established in 1968 to coordinate national efforts.
Between 1970 and 1980, road safety measures focused on speed management and enforcement of road safety rules, particularly on helmets, seat belts and speed limits [8]. These measures, along with public campaigns and stricter penalties, led to a significant drop in fatalities from 1200 in 1975 to 700 by 1983 [9]. However, economic growth in the 1980s spurred motorization, causing fatalities to rise again, prompting further interventions such as reduced speed limits and stricter drink-driving laws. In the 1990s, Sweden formalized its road safety goals through national programs and institutional restructuring, placing overall responsibility with the Swedish National Road Administration (SNRA). A pivotal moment came in 1995 with the conceptualization of Vision Zero [10].

1.1. The Vision Zero Approach

Vision Zero is a long-term strategy for eliminating all deaths and serious injuries resulting from road traffic collisions [11,12,13]. The strategy is based on an ethical imperative that it is morally unacceptable for individuals to be killed or seriously harmed while using the road transport system [10,11,12,13]. The vision zero approach is based on four principles: human beings are fallible, human beings are vulnerable to injury, no death or serious injury is acceptable and shared responsibility. These foundation principles serve as guiding tenets for a road safety measure that include designing traffic environments that anticipate human error and prevent exposure to kinetic forces beyond human tolerance, enhancing vehicle safety features, and speed management, as well as supportive strategies such as public awareness campaigns, regulatory enforcement, training, and post-crash care. Responsibility for road safety is shared between road system designers who are accountable for constructing and maintaining safe infrastructure, and road users who are expected to comply with established guidelines [13,14,15].
The vision zero approach is based on four operational strategies:
  • Political commitment to prioritize safety over mobility
  • Speed management to reduce crash severity
  • Vehicle design and safety technologies that protect all road users
  • Shared responsibility between system designers and road users
Since its adoption in 1997, Vision Zero has significantly reduced road traffic fatalities in Sweden. Fatality rates dropped from approximately 6 per 100,000 inhabitants in 1997 to 2.6 by 2015 [14]. Between 1990 and 2016, the country saw a 65% decrease in road traffic fatalities and a 17% reduction in serious injuries [6]. The success of the strategy inspired similar road safety initiatives at the national and city levels, across both HICs and LMICs. These include the United Kingdom’s Tomorrow’s Roads: Safer for Everyone strategy (2000–2010), the Safe Streets for London initiative, the Towards Zero Deaths (TZD) campaign launched by the U.S. Department of Transportation in 2015 and the Australasian Safe System approach implemented in Australia and New Zealand [11,15]. In LMICs, Vision Zero principles have informed emerging frameworks such as Mexico City’s Integrated Road Safety Plan (2017), Bogotá’s locally adapted Vision Zero strategy, São Paulo’s Life Protection Program, and the Haryana Vision Zero initiative in India [16].

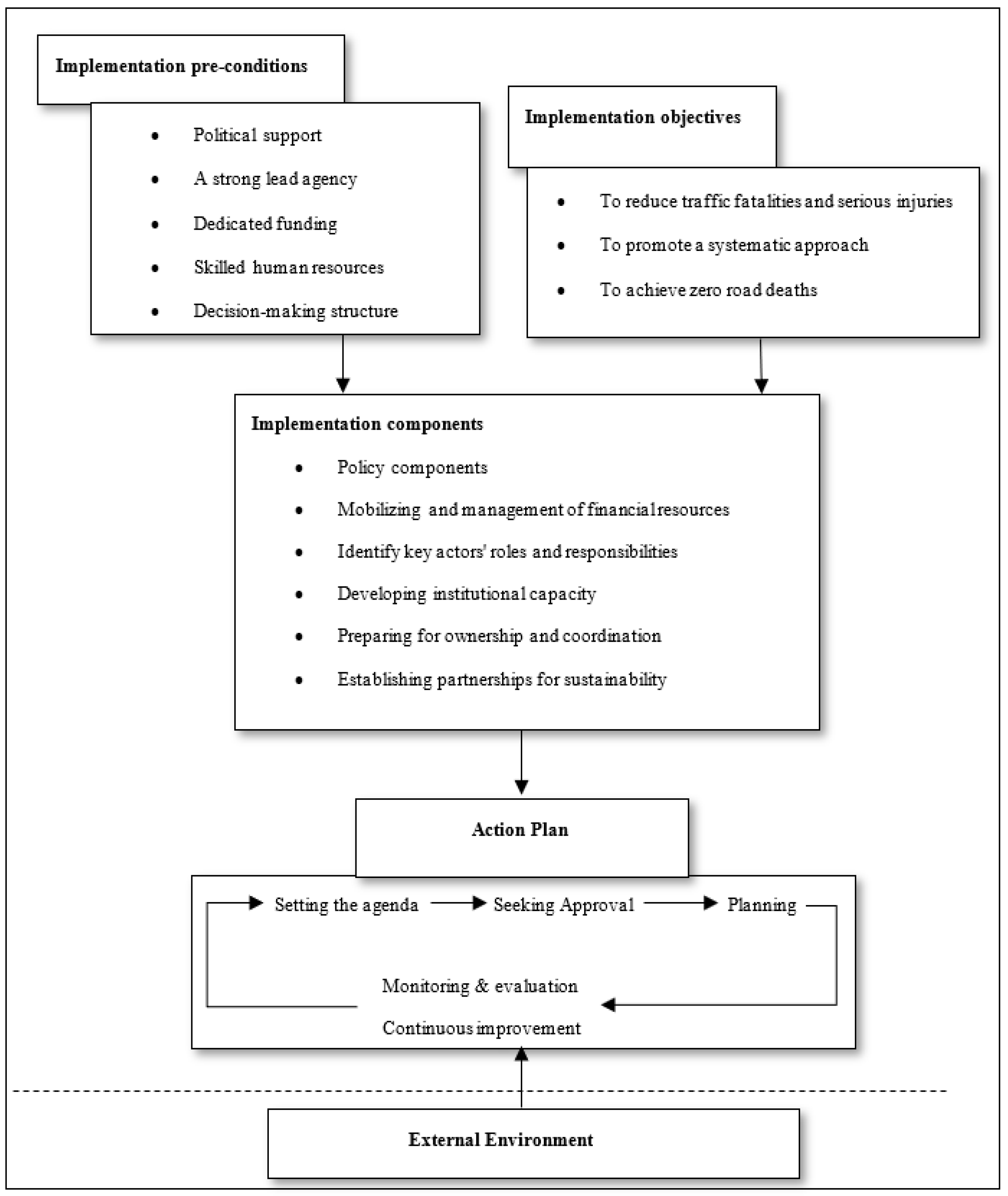
1.2. Conditions for Implementing Vision Zero Approach

The Organization for Economic Co-operation and Development/International Transport Forum (OECD/ITF) reviewed safe systems from countries where the approach had already been adopted and identified three critical factors that influence the adoption and implementation of a safe system approach to road safety: (1) creating a sense of urgency, (2) convincing stakeholders, and (3) political commitment. A sense of urgency is initiated through setting ambitious road safety targets, conducting in-depth studies of road crashes, and benchmarking. To convince all stakeholders to adopt a safe system approach, it is important to raise awareness among all the stakeholders, including central and local government officials, legislators, road safety professionals, public members, educators, police, schools, local businesses, NGO (Non-governmental organization) and other road safety advocates. Once all stakeholders are convinced regarding the potential benefits of a safe system approach, public demand will increase, and subsequently, politicians, policy makers and system designers can be engaged [17].
WHO made six recommendations to support the successful adoption of a safe system approach; (1) identifying a lead agency in government to guide the national road-safety effort, (2) assessing the problem, (3) preparing a national road safety strategy and plan of action, (4) allocating financial and human resources to address the problem, (5) implementing specific actions to prevent road crashes, minimise injuries and their consequences, and evaluate the impact of these actions, and (6) supporting the development of institutional capacity and international cooperation [18].
May et al. conducted a study to identify and define the key dimensions of transport policy in relation to its implementation. A desk review showed six key dimensions including: (1) objectives that define the direction to be taken by the policy, (2) policy instruments which are the means by which policymakers use to influence the process, (3) barriers or the factors that limit the policy implementation process, (4) actors or the organisations involved in policy implementation and the relationships between them, (5) decision-making structures, and (6) decision-making and implementation processes [19].

1.3. Road Safety Strategy Implementation Frameworks

After reviewing guidelines and recommendations for road safety management, Varhelyi recommended a 12-step approach towards the implementation of a safe system approach. (1) define the burden and nature of road casualties, (2) gain commitment and support from decision-makers, (3) establish road safety policy, (4) define institutional roles and responsibilities, (5) identify road safety problems, (6) set road safety targets, (7) formulate a strategy, (8) allocate responsibility for measures, (9) ensure funding, (10) apply measures with known effectiveness, (11) monitor performance and (12) stimulate research and capacity building [20]. According to the model presented by Muhlrad et al., road safety policymaking is a cyclical series of tasks beginning with agenda setting, then to policy formulation, policy adaption, policy implementation and finally, policy evaluation [21].
OECD reviewed road safety programmes that had been evaluated in OECD countries and identified five steps in the development of road safety programmes: (1) formulating road safety visions and targets, (2) developing comprehensive road safety plans and programmes that are focused on outcomes, (3) developing road safety measures directed at roads and environment, vehicles, and human behaviour, (4) defining organisational roles and coordination of activities, and (5) monitoring and evaluating road safety measures. The OECD recommended steps would aid in the development of effective road safety plans [22].
While models proposed by OECD, WHO, Muhlrad and Varhelyi offer sequences for planning, coordination, and evaluation, they are fragmented and not aligned with structures in resource constrained settings.

1.4. Factors Influencing Implementation of the Vision Zero Approach

A wide body of research revealed that effective implementation of road safety strategies is influenced by a combination of structural, institutional and behavioral factors.

1.4.1. Quantified Targets and Strategic Planning

Studies consistently show that countries adopting quantified and ambitious road safety targets tend to achieve better performance outcomes. Elvik and Wong et al. found that such targets correlate with reductions in accident rates and fatalities [23,24]. However, Elvik et al. pointed out that many countries had yet to set targets or to implement corresponding safety programs, making it difficult to isolate the effects of target-setting alone [25]. Similarly, while strategic planning tools, such as black-spot analysis and road safety audits are widely promoted, Elvik found their impact inconclusive due to methodological limitations and small sample sizes [26].

1.4.2. Governance and Institutional Capacity

Strong institutional frameworks are repeatedly cited as foundational to successful implementation. Muhlrad et al. and Papadimitriou et al. emphasized the importance of a lead agency, clearly defined responsibilities and robust monitoring and evaluation mechanisms [21,27]. Johnston distilled these insights into the “4Cs”: constituency, commitment, cooperation, and coordination, arguing that political will and cultural alignment are critical success factors [28]. Yet, in transitional contexts such as those examined in the ROSEE project [29], implementation is often hindered by fragmented responsibilities, lack of dedicated budgets and poor coordination across governance levels.
These challenges were echoed across LMICs, where absence of a lead agency was repeatedly cited in Iran, India, Brazil, and several low-income countries as a critical barrier to strategic oversight and accountability [30,31,32]. Similarly, poor interagency coordination in Mexico, Brazil, and Nairobi undermined the coherence of road safety efforts and led to duplication or neglect of key responsibilities [31,33,34]. Compounding these structural issues was a persistent lack of political commitment in BRIC countries and LMICs more broadly, where road safety often competes with other development priorities and lacks sustained policy attention [35].

1.4.3. Road Safety Measures

A growing body of evidence challenges the assumption that road safety hinges primarily on individual behavior. Wundersitz et al. found that system failures, particularly in rural, high-speed contexts were more likely to result in fatal crashes than extreme road user behavior. This aligns with the vision zero approach, which prioritizes infrastructure design, vehicle safety and speed management over behavioral interventions [36].
Findings from LMICs further underscored the system failures. Studies from India, Mexico, and multiple LMICs consistently cite poor road engineering and design including inadequate separation of road users and unsafe intersections as key contributors to crash risk [33,37]. In India and across LICs, non-standardized vehicle safety driven by income disparities and a wide mix of vehicle types complicates enforcement and increases vulnerability [32]. Moreover, inadequate post-crash response systems, including limited emergency care, further exacerbate fatality rates [33].
These gaps are often filled by improvised, reactive measures that are implemented in the wake of fatal collisions. As documented by Shafie et al., such interventions, like the rapid installation of speed bumps at the Shahbag intersection in Dhaka, can inadvertently create new hazards like secondary collisions. Using the Impromap methodology, the study revealed how such interventions often emerge from fragmented decision-making, poor inter-agency coordination, lack of planning and limited data integration [38].

1.4.4. Data and Research

Robust data management systems and local research are essential to the implementation of road safety frameworks as they inform priority-setting, guide resource allocation and enable adaptive learning. Yet, research output remains disproportionately skewed. Haghani et al. found that fewer than 10% of road safety publications focus on LMIC contexts, despite these regions accounting for over 90% of global road traffic deaths [39]. Underreporting and data omissions remain widespread, where crash statistics frequently exclude vulnerable road users, informal transport modes, and nonfatal injuries [32,40]. Equally troubling is the lack of data on disability outcomes and economic burden [32].
This imbalance and gaps reflect funding disparities, a lack of capacity for data and research and overreliance on traditional investigation methods that focus narrowly on lower system-level contributors such as driver error or vehicle malfunction but fail to capture the complex, multi-layered factors that contribute to road traffic crashes. In contrast, tools such as Accimap and network analysis, as demonstrated by Hamim and Ukkusuri, enable comprehensive mapping of crash causation across system hierarchies [41]. These methods reveal both operational failures such as delayed emergency response and poor signage and strategic-level gaps including weak supervision and inefficient fund allocation. Such analyses would support the design of interventions that span sectors including transport, urban planning, law enforcement, and public health. Momin et al. advanced this conversation by proposing a hybrid framework that combines Systems-Theoretic Accident Model and Processes (STAMP-STPA) with Design with Intent (DwI) to analyze road traffic collisions in low-income settings. This tool enables identification of control and feedback failures across system levels while also engaging stakeholders in designing context-sensitive solutions [42].
Model-centered approaches such as those explored by Borghetti et al. offer potential for identifying high-risk road segments and guiding targeted interventions. However, the authors note that the uptake of such advanced analytical tools remain limited in LMICs due to deficits in the analytic and institutional capacity of local authorities. Their study underscored the need for scalable decision-support tools that can be adopted with minimal modeling proficiency [43]. However, Heydari et al. argue that without investments in data systems, analytic training and inter-agency coordination, even the most adaptable methodologies risk remaining underutilized [32].

1.4.5. Monitoring and Evaluation

Effective implementation requires not only strategic planning but also mechanisms for learning and adaptation. Muhlrad et al. and Papadimitriou et al. advocate for timelines, evaluation frameworks, and results-focused structures [21,27]. However, in many LMICs, including Brazil and other BRIC countries there remains a notable absence of robust monitoring and evaluation systems [31,32]. This gap limits the ability to track progress, assess impact and recalibrate interventions in real time.

1.4.6. Cultural Factors

Road safety outcomes are heavily influenced by cultural norms and public attitudes. In many LMICs, low safety culture and ‘luck’ culture contributed to public disengagement and limited demand for systemic reform [30,32]. This was compounded by noncompliance and blaming individual road users [34,37]. However, some LMICs began to challenge these cultural constraints through community-led enforcement and education campaigns. In Iran and Mexico, locally driven initiatives fostered public engagement and helped shift road user behavior [30,44].

1.4.7. Contextual Relevance

The literature emphasized that road safety interventions must be tailored to local conditions. Risk factors, compliance levels, and institutional capacities vary widely across regions, making standardized approaches insufficient [9]. Shaw et al., for instance, found that cyclist crash risks in Australia were perceived to stem more from infrastructure and road user behavior than vehicle safety, suggesting that user-led insights can guide context-sensitive interventions [45]. A study by McIlroy et al. revealed that while some pedestrian behavioral categories were consistent across six culturally and economically diverse countries, others were found to have low internal reliability, highlighting the limitations of standardized behavioral tools and the importance of context-sensitive measures [46]. Additionally, the DaCoTA project revealed that similar safety outcomes can emerge from different road safety management systems, complicating efforts to identify a universal “best practice” model. Gitelman and Doveh addressed this complexity by identifying clusters of good practice elements such as strong lead agencies, quantified targets and systematic data collection that correlate with higher safety performance, even when implementation pathways differ [47].
Although the Vision Zero approach has gained global recognition as a transformative strategy for road safety, its adoption across LMICs remains limited. In many cases, implementation is confined to city- or state-level initiatives, with few examples of successful national-scale integration. This fragmented uptake points to persistent barriers to scaling, key among them, the absence of a unified implementation framework tailored to LMIC contexts. While international bodies such as the OECD and WHO have proposed guidelines outlining steps and conditions for effective road safety programming, these documents are dispersed across sources and primarily reflect the experiences of high-income countries with stable governance systems. As a result, they offer limited operational guidance for settings grappling with institutional fragility, resource constraints, and cross-sectoral misalignment. This gap underscores the urgent need for a comprehensive implementation framework, one that draws from global best practices but responsive to local realities. Such a framework would provide a roadmap for scaling Vision Zero in India and offer transferable insights for similar contexts.
The rest of the paper is organized into four main sections. The materials and methods section present the study design, data collection and analysis procedures and addresses trustworthiness. The results are presented in three parts: (1) implementation processes in India and Sweden, (2) a cross-case analysis, and (3) the resulting framework for implementing the Vision Zero approach in India. The discussion interprets these findings in relation to existing literature, and the conclusion summarizes the study’s key contributions.

2. Materials and Methods

2.1. Study Design

This study employs a multiple-case study design to examine the implementation of the Vision Zero approach in two contrasting contexts LMICs and HICs as proposed by Yin [48]. India and Sweden were selected to represent these contexts. India is classified as a LMIC and is located in the South-East Asia Region. It is the world’s second most populous country, with an estimated population of 1.4 billion in 2021 [3]. It is also one of the fastest-growing economies. The 1991 economic reforms accelerating industrialization, income growth and vehicle ownership [49]. However, road safety reforms have not kept pace, resulting in a persistent and escalating road safety crisis. Over the past decade, more than one million people have died due to road traffic crashes, accounting for over 10% of global fatalities [5]. India has taken several strides towards reforms including its commitment to the Brasilia Decla-ration-2015 [50], amendments to the Motor Vehicles Act (MVAA) in 2016 and 2019 re-enactment of the Act under the guidance of the World Bank Group [51] and the adoption of Vision Zero in select states [5]. Sweden is classified as a HIC and is located in the European Region. The country had an estimated population of 10.4 million in 2021 and reported approximately 220 road traffic fatalities that year, translating to a fatality rate of 2.1 per 100,000 population [3]. This low fatality rate is a reflection of a long history of coordinated road safety activities dating back to the 1960s [7]. A pivotal moment came in 1995 with the conceptualization of Vision Zero, which was formally adopted in 1997. Since then, Sweden has achieved a significant reduction in traffic fatalities, from ap-proximately 6 per 100,000 inhabitants in 1997 to 2.6 by 2015 [14]. Between 1990 and 2016, the country saw a 65% decrease in fatalities and a 17% reduction in serious injuries [6]. By selecting these two cases, the study captures both ends of the road safety spectrum, India’s urgent need for reform and Sweden’s mature implementation history. This contrast enables an exploration of Sweden’s Vision Zero implementation processes, with the aim of identifying best practices, enabling conditions and strategies that may inform the design and scaling of the approach in LMICs. Insights from the study are used to develop a comprehensive framework for adapting Vision Zero in LMIC settings.

2.2. Data Collection

Data was collected by conducting semi structured interviews with experts in the vision zero approach including government officials, academic experts and independent researchers. The participants were selected utilizing purposive and snowball sampling techniques. In Sweden, a sample was drawn from policy experts identified from an internet search. These were people who had either been involved in introducing, establishing, and implementing the vision zero approach in Sweden or had published extensively on the topic. They included government officials from the Swedish Transport Administration, scholars and independent researchers affiliated with national institutions such as Chalmers University of Technology. The researcher sent emails to introduce and explain the aim and purpose of the study to targeted participants and to suggest the mode of interviewing: either face-to-face or via Skype. The initial participants were asked to propose potential participants. In total, seven participants agreed to take part in a face-to-face interview. These included 2 academic and independent researchers, 2 government officials, 2 government officials and academics, and 1 independent researcher. Table 1 shows the participant list, their profession, role and the rationale for selection.
Participant identification and selection in India were based on knowledge and experience in implementing vision zero. Independent researchers who had been involved in the Haryana vision zero implementation and had written articles and research reports were selected from the World Resources Institute (WRI)-India website. Two academics who had expertise in road safety, had been involved with road safety training, and had extensive knowledge of the safe system approach were selected to give an independent view on vision zero implementation in India. Government officials were selected based on their role and responsibility in implementing vision zero. Participants in India who had chaired the implementation meeting of vision zero and who had access to full information on the implementation of vision zero were selected. The initial participants were asked for leads. Nine participants agreed to participate in a face-to-face interview in India. Table 2 shows the participant list, their profession, role and the rationale for selection.
A total of 16 participants agreed to participate in the face-to-face interview comprising 7 from Sweden and 9 from India. The participants were informed about the purpose of the study and given the opportunity to ask questions. The informed consent form was read aloud, and individuals were given the freedom to sign voluntarily. Each participant was reminded that they could withdraw from the interview process at any time without consequence. Each interview lasted approximately 45 min and was audio-recorded with participant consent.

2.3. Data Analysis

The aim of this study was to develop a new framework for implementing the Vision Zero approach, based on the perspectives and experiences of the interview participants. To achieve this, the researcher used the grounded theory methodology, based on Strauss and Corbin’s approach. This approach was selected because it allows researchers to identify concepts, their relationships and development of theory directly from the data, rather than using predetermined codes [52]. The data analysis approach involved five steps: (1) data preparation, (2) familiarization with the data, (3) assigning initial codes and grouping into categories, (4) establishing the relationships between these categories, (5) selecting categories.
In the first step, interview recordings were transcribed using a digital transcription tool. The researcher reviewed and manually edited each transcript to correct errors and clarify inaudible sections. Transcripts were anonymized and imported into NVivo for analysis. In the second step, the researcher read and reread each transcript to gain a deep understanding of participants’ accounts in their full context. The initial impressions were captured in a memo. In step 3, the researcher systematically read each transcript to identify data segments that were relevant to the research objective. These segments were then assigned initial codes. During the coding process, the researcher compared codes within and across transcripts to identify recurring concepts. These concepts were grouped into categories. In the fourth step, the researcher began to examine the relationship between the categories. In the last step, categories and sub-categories representing distinct implementation processes were selected.
After selecting the categories representing the implementation processes, a comparative analysis [48] was conducted following three steps: (1) data tabulation, (2) cross-case comparison of sub-categories, (3) proposal development. Initially, data on the sub-categories from both case studies was organized into a comparative table. In the second step, the similarities and differences in each sub-category were examined. Themes occurring across both contexts such as political commitment were identified as universally relevant factors. These were flagged as essential for implementation in both LMICs and HICs. Unique components present in Sweden but absent in India, were assessed for its adaptability in LMIC contexts. To assess adaptability, the analysis considered financial and operational feasibility. Iterative refinement was done to ensure these components were well-supported by evidence from both countries. In the last step, implementation proposals were developed that could be applied to LMIC contexts.

2.4. Trustworthiness

Trustworthiness was established using four key measures: credibility, transferability, dependability, and confirmability [53]. Member checking and triangulation were used to establish credibility. The researcher shared the interview transcripts with participants to confirm that their views were accurately captured. After the initial analysis, participants were invited to review the emergent concepts and confirm the accuracy of interpretations. This ensured that the findings remained grounded in their experiences. Data collected from document analysis, semi-structured interviews, and observations were fact checked.
Transferability was ensured by developing detailed descriptions of participants’ experiences supported by verbatim quotes from semi-structured interviews [54]. Dependability was achieved by maintaining an audit trail of all research procedures, including problem formulation, case study protocol, participant selection, field notes, interview transcripts, and peer reviews. The researcher involved the supervisor in auditing to ensure proper procedures were followed. Confirmability was ensured by maintaining supervisory audits, a reflexive journal and field notes throughout the study to ensure that the findings were shaped by the data rather than researcher bias.

3. Results

The results are presented in three stages: grounded theory findings from India, grounded theory findings from Sweden and a comparative analysis that synthesizes cross-case insights. Verbatim quotations were included to support analytic claims. The participants were referenced using anonymized codes (e.g., IP16), where ‘IP’ refers to ‘Interview Participant’, followed by a unique identifier.

3.1. Vision Zero Implementation Processes in India

The grounded theory analysis resulted in the development of a process-oriented framework that captures the implementation logic of Vision Zero in India. The core category, steps in implementing the Vision Zero approach, describes the sequence of actions undertaken by implementers. These actions were influenced by a set of interrelated conditions. Causal conditions were factors that, in participants view, would need to be in place to create a favorable environment for implementation. Contextual factors influenced how actors engaged with the initiative. Intervening conditions undermined implementation efforts. In response, implementers employed a range of adaptive and structural strategies to navigate constraints and operationalize road safety measures. These strategies, in turn, influenced the consequences of implementation, including reductions in road fatalities. Figure 2 illustrates the implementation processes in India.

3.1.1. Core Category: Steps in Implementing Vision Zero Approach

Vision Zero implementation process steps were identified as the core category, as participants consistently spoke about the steps taken during implementation and described how various contextual institutional and operational factors influenced that process. The implementation process consisted of five steps. In the first step, WRI-India organized a national-level workshop in September 2016, to address road safety issues, challenge the traditional victim-blaming approach and introduce Vision Zero as a systemic alternative. During the workshop, Haryana showed interest in adopting vision zero approach. As one participant recalled. “We organized a national-level workshop in Bhuvneshvar, India, in September 2016 to create a platform called India Vision Zero.” [IP11]
The second step focused on securing political endorsement. WRI-India held targeted meetings with bureaucrats and policymakers to present the Vision Zero philosophy and its potential to reduce road fatalities. These efforts culminated in a formal proposal to the Chief Minister of Haryana, who approved the initiative. In the third step, ten districts identified as having the worst road safety profile were selected to become pilot sites for intervention. Road safety associates were hired, trained, and assigned to the selected districts to lead localized safety interventions, coordinate enforcement efforts, and conduct scientific crash analyses. “We hired one person for each of the 10 districts and 4 people for state-level coordination. We prioritized hiring civil engineers, architects, and urban planners.” [IP13]
In step 4, a one-year action plan was developed in consultation with the senior bureaucracy of Haryana at the state and district levels. Each district developed a plan and tailored interventions to local safety challenges while adhering to vision zero’s core components. The action plan emphasized engineering and enforcement, with less focus on education and emergency response. High-risk locations were mapped and the road safety associated issued recommendations to relevant departments. Funds were then allocated to implement approved measures.
In the final step, regular meetings were held with the HOD at the state and district levels to review implementation progress. Regular informal updates were provided via a WhatsApp group. Before and after comparisons were made to assess the impact of the vision zero approach on road safety.

3.1.2. Causal Conditions

The participants identified five preconditions as essential for the successful implementation of the vision zero approach: political support, a lead agency, adequate financial and human resources, a decision-making structure and an action plan. Political support emerged as the most critical precondition as it influences decisions across allocation of financial resources, setting up a lead agency, establishing a decision-making structure and convincing decision-makers about the vision zero approach. “Political support influences all bureaucratic decisions related to implementation.” [IP16]
The presence of dedicated funding was seen as essential for enhancing sustainability. Participants emphasized the need for a clear financial strategy prior to implementation. The plan should outline funding sources, allocation mechanisms and expenditure plans. Equally important is the availability of highly skilled human resources. The participants recommended that a structured training program is established to ensure implementers fully understand key principles and components of the approach.
A lead agency was identified as necessary to coordinate efforts and streamline implementation. The presence of a decision-making structure was seen as necessary to enhance accountability and ownership. Participants emphasized that the structure should be developed prior to implementation to delineate the roles and responsibilities. Finally, an action plan with measurable targets ensures structured progress tracking, task completion and accountability. “We had weekly and monthly action plans with specific targets assigned to each implementer.” [IP11]
Participants identified three objectives for implementation of vision zero in India. The first and most urgent objective was to reduce traffic fatalities and serious injuries. India was experiencing increasingly high fatality rate due to rapid economic growth, urbanization, motorization and the lack of government prioritization. As one participant noted. “10% of worldwide rural road traffic fatalities happen in India. Still, it’s not a priority and not one of the big agendas of any state government.” [IP13]
The second objective was to shift from a traditional, victim-blaming approach to a systematic approach. Historically, road safety in India placed responsibility on individual road users. Vision Zero emphasized a focus on the underlying issues such as road design, enforcement and vehicle safety standards. “We wanted to move from this to a more holistic approach to road safety.” [IP11]
The third objective was to choose a model state for other states to follow. Haryana was chosen due to its high fatality rate, strong commitment from key decision-makers, proximity to the capital, Delhi and a strong institutional relationship between WRI-India and key decision-makers.

3.1.3. Intervening Conditions

Participants identified a set of structural and operational constraints that mediated the implementation of Vision Zero in India including financial constraints, human resource limitations, inadequate technological infrastructure, weak research capacity, a lack of coordination, bureaucracy, regulatory inefficiencies, logistical challenges and poor emergency response. The participants identified financial constraints as a significant barrier to the effective implementation of Vision Zero strategies. Although government allocations for road safety were described as relatively high, delayed allocation impeded the timely rollout of infrastructure projects, enforcement mechanisms and public awareness campaigns. Private-sector funding was more reliably timed but remained insufficient.
Human resource limitations were a persistent challenge. Road safety agencies faced staffing shortages, high turnover rates and a lack of specialized training. The absence of formal degree programs in road safety contributed to a lack of skilled personnel. Technological deficits constrained enforcement and surveillance efforts. Participants described limited access to speed cameras and an overreliance on manual processes, which weakened the ability to monitor compliance and respond effectively to violations. Compounding these challenges was weak research capacity, particularly in the area of crash data management. Accident records were often poorly maintained and available data was incomplete or inconsistent. This compromised the reliability of road safety databases, impeded data-driven decision-making and affected the quality of action plans. “Crash investigation is not carried out thoroughly, and the data that is input into the form is also very poorly recorded, and the personnel don’t record all the information from the crash.” [IP15]
Participants highlighted the lack of coordination between road safety institutions, such as the police and hospitals. This resulted in inconsistent data-sharing practices and siloed operations that led to fragmented safety strategies and hindered comprehensive crash investigations. The lack of well-equipped ambulances and inadequate emergency care infrastructure compromised post-crash survival rates. Participants described ambulances as poorly maintained and unequipped to provide life-saving support during transit.

3.1.4. Actions or Interaction Strategies

The participants discussed a range of adaptive strategies used by implementers to navigate operational challenges including capacity building, collaborations and adopting technology. One of the most immediate responses was workforce development. In the absence of formally trained road safety professionals, candidates were recruited from related disciplines such as civil engineering, architecture, and urban planning. These individuals underwent training programs that emphasized both technical competencies, including crash analysis and non-technical skills such as public communication. As a long-term measure, the implementers initiated collaborations with universities to develop specialized road safety courses. These partnerships aimed to build a sustainable pipeline of qualified professionals.
Strengthening research capacity was another key strategy. Agencies adopted advanced technologies for crash investigations, improving the accuracy and depth of data collection. These tools enabled more nuanced analysis of crash dynamics, which in turn informed the design of targeted interventions. Finally, data from crash investigations was systematically compiled into centralized databases, which became critical tools for monitoring implementation progress. “Whenever a crash happens and a Police Inspector goes to the crash site, then they must send their WhatsApp location to the road safety associates. By doing this, we can now geolocate all the crashes in Haryana, and we can better plan rectification for black spots.” [IP9]
Participants discussed several structural strategies used by implementers to execute Vision Zero in India, including the formation of multi-sector partnerships, the establishment of a hierarchical coordination structure, stakeholder engagement, enforcement, education programs. The implementation model involved government agencies, non-governmental organizations and private sector actors. The Transport Department of Haryana represented the state government and was the lead agency. WRI India contributed technical expertise and strategic guidance, while the Raahgiri Foundation led on-the-ground implementation. Private sector partners including NASSCOM Foundation, Honda Two-Wheeler and Nagarro provided funding and capacity-building support. “There were three major partners in the Vision Zero program, and three signatories of the MoU. The lead was the Transport Department of the Haryana Government.” [IP15]
To manage this complexity, implementers established a hierarchical coordination structure that enabled vertical integration of decision-making. At the top was an Apex Committee composed of representatives from each partner organization, including government, technical, enforcement and support entities. The Project Director reported to this committee and oversaw two program managers and a team of 23 road safety associates deployed across districts. This tiered structure facilitated role clarity, accountability, and efficient dissemination of directives. These structural strategies enabled Vision Zero to move from concept to action. Stakeholders were consulted throughout all phases of implementation. This participatory approach fostered buy-in and commitment and ensured that road safety measures were relevant to local needs.
The modelling of Vision Zero at both state and district levels generated valuable data and insights, which informed evidence-based decision making and supported program expansion. As one participant explained.
“In the first year, we saw a 5% decline in road traffic fatalities in first 10 districts of implementation. The remaining 13 districts of Haryana where vision zero was not implemented saw a 5% increase in road traffic fatalities in the same year. Therefore, the vision zero project was expanded to all 23 districts of Haryana.” [IP11]
Police departments played a central role in enforcing traffic regulations, monitoring high-risk zones and collaborating on public education and awareness campaigns. Road safety workshops and public campaigns were organized in partnership with police and other implementation partners. These initiatives aim to shift road user behavior and cultivate a culture of safety.

3.1.5. Contextual Conditions

Participants identified several cultural factors that affected the implementation of Vision Zero in India. Corruption within enforcement agencies was described as pervasive, with routine bribery enabling road users to bypass licensing procedures and safety regulations. Low literacy levels among the general population posed significant challenges to public awareness campaigns and the dissemination of Vision Zero principles, limiting community engagement and the change in road user behaviors. The intervention faced resistance. Traditional road safety professionals and implementers were reluctant because of the traditional mentality that the road user is responsible for road safety and should be educated. Stakeholders were reluctant to accept speed limits, and the general public was opposed to the enforcement of road safety rules and regulations. “Traditional road safety professionals used to say that this is not the right approach. Many stakeholders were opposed to the idea of reducing speed.” [IP8]
Compounding these issues was a cultural belief in luck as a determinant of road safety outcomes, which discouraged proactive intervention and weakened the perceived necessity of preventive measures. “Police and other road safety authorities say that accidents happen as a matter of bad luck and don’t look at the factors which caused the accident to happen.” [IP11]
The political environment enabled and constrained progress. Participants described strong political support in Haryana from the outset, with decision-makers embracing Vision Zero as a politically attractive initiative. This support was translated into the formal launch of the project and the allocation of government funding. However, some state governments were reluctant to allocate adequate funding for road safety, hindering the expansion of Vision Zero measures. “After Haryana, we expanded vision zero to Punjab for a year, but arranging funding was a challenge, and the Punjab government was not passionate about the project and didn’t take much interest.” [IP10]

3.2. Vision Zero Implementation Process Steps in Sweden

This section presents the grounded theory analysis of Sweden’s Vision Zero implementation, organized around the core category: steps in implementing the Vision Zero approach. The implementation process and its outcomes were influenced by a set of interrelated factors: causal conditions, contextual factors, intervening conditions and structural strategies. Causal conditions were the necessary preconditions such as political commitment, for successful implementation. Contextual factors, including Sweden’s road safety culture and structural strategies like multi-sectoral partnerships, stakeholder engagement and coordinated governance contributed to measurable outcomes like reduction in road fatalities. However, intervening conditions, including resistance from professional communities such as engineers, economists and behavioral scientists and shifting political priorities, complicated the process. Figure 3 illustrates the implementation processes in Sweden.

3.2.1. Core Category: Steps in Implementing Vision Zero Approach

The Vision Zero implementation process in Sweden consisted of five core steps. The first step involved the ideation of Vision Zero by the Director of the Swedish Road Administration (SRA) in 1995, followed by the preparation of a formal report and its presentation to the Ministry of Transport. Through collaborative engagement with stakeholders, an official proposal was developed and subsequently approved by parliamentary committees in 1997. “The idea of vision zero came from Claes Tingvall, the Director of SRA. Then, a presentation was given to the Minister of Transport, Iness Uusmann, along with a report prepared by the SRA.” [IP4]
The second step focused on allocation of resources. Financial resources were sourced from national and local government budgets, private sector entities, non-governmental organizations and car manufacturers. A cost-to-benefit analysis was conducted to enhance cost efficiency. Funds were then allocated to facilitate the recruitment of a highly qualified and motivated team of experts in road safety. Favorable working conditions, such as competitive pay, training and research opportunities, and promotion packages, were created to retain the team.
In the third step, stakeholders mapped high-risk areas and collaboratively developed interventions. These early efforts were experimental with departments and stakeholder groups testing various strategies and assessing their effectiveness. Lessons learned from these interventions laid the foundation for Sweden’s first formal action plan: the 11-point program, launched in 1999. “100 most dangerous roads were identified and there was discussion among key departments of how to resolve the issues…Slowly and gradually action plan was made for implementation. And it continuously changed and improved as time progressed.” [IP5]
In step four, Sweden established a robust monitoring and evaluation framework to track implementation progress, assess impact, and guide strategic refinement. The framework included clearly defined objectives, quantified indicators, and targeted outcomes, enabling stakeholders to evaluate performance against measurable benchmarks. Regular monthly, quarterly, and annual review meetings created structured opportunities for stakeholders to share knowledge, compare fatality and injury trends and adjust interventions accordingly. A dedicated unit of ten professionals within the SRA oversaw this process, ensuring continuity and institutional focus. “Key performance indicators became very important to show progress, and their effect on road crashes.” [IP3]
This data-driven approach yielded measurable results: between 1990 and 2016, Sweden achieved a 65% reduction in road traffic fatalities and a 17% decrease in traffic injuries. Monitoring data was not only used to evaluate past performance but also to inform future planning, with annual action plans developed through collaborative review of injury data, intervention effectiveness and emerging challenges.

3.2.2. Causal Conditions

Participants identified five key preconditions that enabled the successful implementation of Vision Zero in Sweden: political support, a motivated lead agency, adequate human and financial resources, a structured decision-making process, and a reliable road safety database. Political support was described as a critical precondition in convincing decision-makers to adopt the vision zero approach, identifying a motivated and ambitious lead agency to coordinate all actions, ensuring availability of funding and developing a decision-making structure. In Sweden, the Director of the SRA and the Minister of Transport were proactive in promoting the vision zero concept leading to buy-in and commitment from politicians at the national and local levels. As one participant emphasized. “First and foremost was the political will. If there is no political will, then it’s absolutely not possible to implement Vision Zero.” [IP1]
The presence of a committed and ambitious lead agency was equally critical in ensuring coordinated action and taking lead in decision-making. Dedicated funding was viewed as essential for implementing road safety measures and recruiting and retaining staff. Participants stressed the importance of timely resource allocation, noting that delays could undermine life-saving interventions. Vision zero requires highly qualified, motivated, and committed personnel trained in its core principles to ensure effective implementation. A well-structured and quick decision-making process supports implementation by allowing for timely approvals. Finally, access to reliable road safety data from hospitals and police departments was seen as vital for evidence-based planning and intervention. Participants emphasized the need for accessible accident data from hospitals and police to guide safety measures.
Participants identified three core objectives that guided the implementation of Vision Zero in Sweden. The key objective was to reduce road deaths and serious injuries and uphold the ethical responsibility to protect human life. Vision zero also became a political priority, driving innovation in road safety strategies. The second objective was to adopt a systematic approach to road safety. Stakeholders aimed to move away from victim-blaming and recognize shared responsibility for road safety. The third objective was to involve professional organizations with large fleet of cars such as taxi companies to improve fleet safety, driver training, and worker protection, ensuring greater impact.

3.2.3. Intervening Conditions

Participants identified financial constraints and shifting political priorities as key intervening conditions that mediated the implementation of Vision Zero in Sweden. Although the initiative was supported by multiple funding streams, including national and local government budgets, private sector contributions, and NGO support, many participants emphasized the absence of a dedicated budget specifically earmarked for Vision Zero activities. This lack of targeted funding limited the scope of implementation and diluted the initiative’s focus on saving lives. As one participant explained. “To provide training it cost money, and for everything else we need human resources—and that also costs money.” [IP1]
Attempts to integrate Vision Zero with broader agendas such as mobility and environmental planning were seen as cost-saving measures that inadvertently weakened the initiative’s core mission. Political transitions further compounded these challenges, with funding levels fluctuating based on the priorities of the ruling government. Between 2002 and 2010, for example, reduced financial support forced the Swedish Road Administration (SRA) to become more selective and cost-efficient in its safety measures.
Initially, the initiative benefited from a dedicated team of road safety professionals. However, the introduction of an integrated working concept, which merged responsibilities across mobility, transport and safety led to the formation of multi-functional teams and a significant reduction in human resources. This raised concerns about diminished focus and capacity. Further reforms within the police sector led to a reconstitution of priorities, shifting focus away from road safety toward other domains such as crime prevention. This institutional shift coupled with insufficient speed cameras weakened the enforcement efforts and allowed unsafe driving behaviors to persist. As one participant noted. “Speeding continued where there was no camera presence.” [IP3]
Participants also described varying commitments across departments and stakeholders, with some failing to attend review meetings or contribute meaningfully to implementation efforts. This lack of engagement led to inter-departmental conflicts, as more active units, such as traffic safety teams, struggled to collaborate with less invested counterparts. Some stakeholders expressed frustration with the pace of change and sought immediate results. This impatience occasionally led to diminished political commitment and reduced institutional focus. As one participant contextualized. “It took Sweden 50 years to be where they are now in terms of road safety.” [IP1]

3.2.4. Actions or Interaction Strategies

Participants described a set of strategies employed to operationalize Vision Zero in Sweden, with a strong emphasis on resource mobilization and cost-efficient infrastructure. Funding was sourced from national and local government budgets, private sector partners and non-governmental organizations, enabling the recruitment of qualified personnel and the execution of key projects. “There was never lack of money for doing good things, sufficient funding available to carry out the implementation of Vision Zero.” [IP2]
To ensure optimal use of resources, cost-to-benefit analyses were conducted to guide investment decisions, prioritizing interventions that offered both safety and mobility gains. The construction of two-plus-one roads, for instance, emerged as an affordable alternative to motorways that significantly reduced head-on collisions while improving traffic flow. “Most cost-efficient ways of reducing road deaths were chosen and cost-to-benefit analysis was done for new investments.” [IP7]
A central strategy in Sweden’s implementation of Vision Zero was the recruitment and retention of highly qualified, motivated, and technically skilled professionals. From the outset, the initiative benefited from access to road safety experts who possessed deep knowledge of Vision Zero principles and were committed to translating them into practice. “Highly educated people who understood Vision Zero inside out took the lead in implementing it on the ground.” [IP2]
To build and sustain this capacity, implementers provided targeted training opportunities that deepened technical knowledge. Favorable working conditions, including competitive pay, promotion pathways, and research opportunities, were structured to retain staff and cultivate long-term commitment.
A defining feature of Sweden’s Vision Zero implementation was its strong research capacity, which enabled evidence-based planning, continuous learning, and adaptive intervention design. The SRA conducted in-depth investigations of all fatal crashes, analyzing injury severity, system failures, and contextual factors to inform future action. “Each accident which resulted in road death was thoroughly investigated and presented to the core team for planning.” [IP5]
Sweden also benefited from comprehensive and reliable data systems, with police and hospital databases providing detailed records on fatalities and serious injuries. These datasets were central to designing interventions and ensuring that safety measures were grounded in real-world patterns and risk profiles. “All Vision Zero implementation interventions were planned based on data.” [IP4]
In addition to research efforts, the SRA collaborated with car manufacturers to integrate safety technologies such as event recorders, seatbelt reminders, and electronic stability control. These tools generated valuable data on crash severity thresholds and informed both vehicle design and speed limit policies. Collaboration with universities and research institutions further strengthened this capacity, fostering innovation and policy refinement. The establishment of a Vision Zero Academy created a dedicated platform for knowledge exchange, research dissemination, and global engagement.
Sweden’s Vision Zero implementation promoted safe road user behavior through public awareness campaigns, targeted enforcement and infrastructure design. Awareness creation played a pivotal role in securing public buy-in, with efforts focused on educating road users about safety rules and the rationale behind interventions. “We try to educate the road user, they understood the purpose of speed camera being there as an information source and not as a money-making thing.” [IP5]
Initially, manual enforcement by police supported compliance with seatbelt and helmet laws, but this approach was not viewed as sustainable. Over time, manual efforts shifted toward technological solutions, such as speed cameras and organizational accountability, with employers taking responsibility for fleet safety. That said, engineering, and not enforcement, was the major focus of the vision zero in Sweden. Infrastructure reforms included the construction of two-plus-one roads, installation of roundabouts in place of signalized intersections, speed bumps and segregation of vulnerable road users to minimize conflict and injury. “Roundabouts were preferred, as roundabouts are proven to be safer.” [IP3]
Vision Zero’s implementation in Sweden was characterized by multi-sectoral collaboration, engaging actors across government agencies, private-sector institutions, universities, research bodies, and non-governmental organizations. Stakeholders were involved from the earliest stages of policy development, beginning with consultations between the SRA and the Ministry of Transport. The Ministry prepared its own report and distributed it widely for institutional feedback, ensuring that diverse voices shaped the official proposal submitted to parliament. During implementation, stakeholder groups convened to discuss road safety challenges and identify potential interventions, with each group expected to develop goals and plans aligned with Vision Zero’s objectives.
The SRA served as the lead agency, coordinating stakeholder engagement and road safety activities at the national level. This networked model of implementation fostered shared ownership, distributed responsibility and sustained commitment across sectors. Initially, overlapping responsibilities between the SRA and the Swedish Transport Agency (STA) created confusion and blurred lines of accountability. However, roles and responsibilities were later clarified, restoring coherence and enhancing implementation effectiveness. “Everyone was involved to play their part. In the beginning there was no clear structure. Things developed over time.” [IP4]
Parliament debates and approval helped promote democratic processes and justified the scale-up of the vision zero approach to other development sectors. Participant 1 highlighted that. “If you see in other countries, you might see that vision zero exists, but the Swedish vision zero is adopted by the Swedish parliament. It’s something extremely important from a democracy point of view. It’s not just an expert thing; it’s a political decision.” [IP1]

3.2.5. Contextual Conditions

Participants described Sweden’s road safety culture as enabling Vision Zero implementation. It was characterized by strong public adherence to road safety rules, value for human life and a professional ethos of open dialogue. There was a widespread cultural inclination to follow road safety rules and regulations. Compliance was reinforced by leaders who modeled responsible behavior and inspired public trust. High literacy rates contributed to public understanding of Vision Zero principles and buy-in, particularly around safer speed limits and human-centric design. Sweden’s visible safety infrastructure and collective discipline inspired visitors to adjust their road user behavior. The societal value placed on human life further strengthened support for the initiative. Despite this culturally supportive foundation, Vision Zero encountered resistance from the public, some professional communities and institutional actors. A culture of speeding, particularly among commercial transport operators and fleet vehicles, posed a significant challenge to speed management efforts.
The shift from traditional to systematic approaches disrupted established work cultures, particularly among road engineers and system designers, who resisted changes to infrastructure preferring conventional projects like motorways. Similarly, behavior modification specialists opposed the systematic approach in favor of interventions focused on changing individual road user behavior. This misunderstanding was addressed by others who clarified that Vision Zero does, in fact, support behavioral change through design. “The whole system is designed to support the road user to make the right decision.” [IP2]
Resistance also emerged from economists and cost–benefit analysts, who questioned the feasibility of achieving zero deaths and viewed the approach as financially impractical. Initial opposition from car manufacturers and research institutes further reflected skepticism about safety standards and cost implications, though some actors gradually embraced the initiative as public awareness and institutional commitment grew.
Participants described the political environment surrounding Vision Zero in Sweden as highly supportive, particularly during its inception and early implementation since it was a politically attractive idea and a political ambition. The support was demonstrated by parliamentary approval. Advocacy from influential people within the political circles helped to convince decision-makers to adopt vision zero approach. The participants said that Claes Tingvall, the then Director of SRA, brought a medical ethics lens to road safety, advocating for best practices and in-depth crash investigations to identify system failures. “You must use best practice as people’s life is in your hands.” [IP2]
The Minister of Transport was also very passionate about vision zero. She championed Vision Zero through seminars, media engagement and direct outreach to political leaders. Her advocacy work contributed to buy-in from the politicians and parliament approval. The initiative’s timing also contributed to its appeal. Some participants said that the vision zero approach was politically attractive because it was introduced at a time when Sweden was experiencing a plateau in terms of road safety results, and they needed to come up with a new strategy to reduce road deaths. “We had to come up with something new, more innovative. And vision of having zero road deaths was very attractive from political point of view.” [IP1]
Participants explained that implementers faced challenges in sustaining this political support. Over time, political interference and changing government priorities complicated the implementation process. Political leaders sought to influence technical decisions, particularly around speed limits undermining the authority of road safety experts. The level of commitment to Vision Zero also varied across political administrations. Social Democratic governments were described as proactive and passionate about the initiative, while other parties prioritized different development agendas. “They were not against Vision Zero, but they were not proactive about it,” [IP1] explained, reflecting a more passive stance during certain periods.

3.3. Comparative Analysis of the Implementation Processes in Sweden and India

This section presents a comparative analysis of vision zero implementation processes in India and Sweden. It examines the implementation processes adopted in each case, identifying common components that cut across both contexts while highlighting elements unique to HICs. The analysis assessed the potential for adapting HIC-specific strategies to LMIC settings. The insights were used to develop the proposals that are consolidated in Table A1 (Appendix A), for their integration into road safety strategies tailored to resource-constrained environments.

3.3.1. Steps in Implementing Vision Zero Approach

The implementation process in both Sweden and India followed five core steps: agenda setting, seeking approval, resource planning and allocation, developing an action plan, monitoring and ongoing improvement. The agenda setting phase involved national-level dialogue on road safety issues, generating innovative solutions and raising awareness of Vision Zero. During the approval phase, advocacy efforts targeted key decision-makers, parliament in Sweden and senior bureaucrats and ministers in India to secure formal endorsement. Once approved, the planning phase focused on action plan development, resource allocation, and recruitment. India piloted the approach in a model state to build proof of concept. Both countries emphasized the need for qualified personnel and provided training, though India faced challenges in staff retention due to limited career pathways. Monitoring and evaluation were conducted through regular review meetings, with Sweden employing a more formalized framework that included safety performance indicators and published reports. In both cases, data from monitoring informed ongoing improvement.
Proposals for LMICs:
  • Develop the road safety agenda;
  • Seek approval from the Parliament and other relevant authorities;
  • Develop a flexible and phased action plan;
  • Resource planning and allocation;
  • Establish a monitoring and evaluation framework;
  • Use monitoring data to inform continuous improvements.

3.3.2. Preconditions

Across both cases, political support emerged as a critical precondition for effective implementation, as it ensures that the road safety agenda is prioritized and influences bureaucratic decision-making. A lead agency was consistently identified as essential for coordinating stakeholders and making strategic decisions at the national level. To function effectively, such an agency requires adequate and dedicated funding, ideally supported by a financial plan that identifies sources and budgetary allocations. Both Sweden and India emphasized the importance of a committed implementation team, with participants underscoring the need for training in Vision Zero’s core principles and components. Views on decision-making structures varied: while some participants favored consensus-based approaches, others advocated for quicker decision-making to accelerate life-saving interventions.
Proposals for LMICs:
  • Mobilize political support;
  • Develop a financial plan identifying sources and ensuring dedicated funding;
  • Assess and strengthen the availability of highly qualified human resources;
  • Constitute a lead agency with clear authority and coordination mandate;
  • Establish a decision-making structure that balances consensus and urgency.

3.3.3. Objectives

After ensuring that the preconditions were met, the next step was to formulate objectives. The key objective behind the vision zero implementation process in both cases was to reduce the number of casualties on the road by moving from a traditional approach to a safe system approach.
Proposals for LMICs:
  • Adopt the vision zero initiative with the primary goal of reducing road deaths and serious injuries;
  • Transition from traditional road safety methods to a systematic approach.

3.3.4. Intervening Conditions

Resources, both financial and human, emerged as critical intervening conditions that affected continuity and scalability of Vision Zero implementation. While the initiative was supported by multiple funding streams in both cases, each faced distinct constraints. India struggled with long-term sustainability due to its heavy reliance on private-sector funding, which limited the scope of implementation and hindered expansion. Sweden experienced constraints linked to shifting political priorities and the integration of Vision Zero into broader agendas such as mobility and environmental planning. These integrations, often framed as cost-saving measures, inadvertently diluted the initiative’s core mission and reduced targeted investment.
Human resource challenges were also evident in both contexts. Sweden benefited from access to highly qualified, motivated personnel and a professional environment that supported retention through competitive pay and career advancement. However, the introduction of an integrated working concept, which merged responsibilities across mobility, transport, and safety led to the formation of multi-functional teams and a significant reduction in dedicated road safety staff. This raised concerns about diminished focus and institutional capacity. India, meanwhile, faced persistent challenges in recruiting and retaining skilled staff. Despite offering training in technical and non-technical competencies, many implementers exited the program due to limited career pathways and unclear prospects within the road safety sector. These resource-related constraints underscore the need for targeted investment and strategic workforce planning.
Proposals for LMICs:
  • Diversify funding sources and develop a long-term financial sustainability plan;
  • Ensure there is cost efficiency;
  • Recruit highly qualified staff to support the implementation process;
  • Provide structured training in both technical and non-technical competencies;
  • Develop retention incentives.
Technological limitations constrained enforcement and surveillance efforts in both Sweden and India. In India, participants described limited access to speed cameras and an overreliance on manual processes, which weakened the ability to monitor compliance and respond effectively to violations. Sweden, while more technologically equipped overall, faced initial challenges due to insufficient deployment of speed cameras. This gap allowed unsafe driving behaviors to persist and limited the reach of early enforcement efforts.
Proposals for LMICs:
  • Assess existing technological infrastructure for enforcement and surveillance;
  • Reduce reliance on manual enforcement by integrating automated systems.
Research capacity played a pivotal role in shaping the quality and responsiveness of Vision Zero implementation, though with stark contrasts between Sweden and India. In India, weak research infrastructure, particularly in crash data management, constrained evidence-based planning. Accident records were often incomplete or inconsistently maintained, compromising the reliability of road safety databases and impeding the development of targeted action plans. Participants also noted poor coordination between key institutions such as police and hospitals, resulting in fragmented data-sharing practices and siloed operations that hindered comprehensive crash investigations.
In contrast, Sweden’s implementation was underpinned by strong research capacity and robust data systems. The SRA conducted in-depth investigations of all fatal crashes, analyzing injury severity and system failures to inform future interventions. Police and hospital databases provided detailed, interoperable records on fatalities and serious injuries, enabling interventions grounded in real-world risk profiles. Sweden also leveraged partnerships with car manufacturers to integrate safety technologies, such as event recorders and electronic stability control that generated valuable crash data and informed both vehicle design and speed limit policies. Collaboration with universities and research institutions further strengthened this capacity, culminating in the establishment of the Vision Zero Academy as a platform for knowledge exchange, research dissemination and global engagement.
Proposals for LMICs:
  • Strengthen research capacity to support evidence-based planning;
  • Promote cross-sectoral collaboration in crash investigation and data sharing;
  • Foster partnerships with academic institutions and industry to support innovation.

3.3.5. Actions or Interaction Strategies

Both India and Sweden employed similar strategies to promote safe road user behavior, including public education and enforcement. In India, enforcement was largely manual, with police departments monitoring high-risk zones and collaborating on awareness campaigns and road safety workshops. Sweden began with manual enforcement but gradually transitioned to technological solutions such as speed cameras and organizational accountability, including employer responsibility for fleet safety. Notably, engineering not enforcement was the dominant strategy. Infrastructure reforms included the construction of two-plus-one roads, installation of roundabouts in place of signalized intersections, speed bumps, and the segregation of vulnerable road users to minimize conflict and injury.
Proposals for LMICs:
  • Integrate public education campaigns to shift road user behavior and build safety culture;
  • Transition from manual enforcement to technology-supported systems;
  • Prioritize infrastructure design that protects vulnerable road users and reduces crash zones.
Phased implementation emerged as a critical strategy for generating actionable insights and supporting evidence-based decision-making in India. Vision Zero was modeled at both state and district levels, allowing implementers to test interventions, gather localized data and refine approaches, ultimately informing the expansion of the program across Haryana.
Proposals for LMICs:
  • Pilot Vision Zero at subnational levels to test feasibility and generate localized insights.
Multi-sector partnerships and coordinating structures played a pivotal role in translating Vision Zero from concept to action in both India and Sweden, though the models differed. In India, implementation relied on a hierarchical coordination structure that enabled vertical integration of decision-making across actors. The Transport Department of Haryana served as the lead agency, supported by technical, implementation and funding partners. The model fostered role clarity, accountability and efficient dissemination of directives, while stakeholder engagement throughout all phases ensured relevance and local buy-in.
Sweden also involved multiple sectors but adopted a networked structure where stakeholders were engaged from the outset of policy development. The SRA served as the lead agency, coordinating national-level activities and fostering shared ownership. While initial overlaps between the SRA and the STA created confusion, subsequent role clarification restored coherence and strengthened implementation.
Proposals for LMICs:
  • Establish multi-sector partnerships that include government, NGOs, academia and private-sector actors;
  • Design a coordinating structure that enables vertical integration and role clarity;
  • Constitute a lead agency.
Both Sweden and India employed adaptive strategies to navigate operational constraints and sustain Vision Zero implementation. In Sweden, cost–benefit analysis was used to justify investments and prioritize high impact but low-cost interventions in response to financial constraints. In India, one of the most immediate strategies was workforce development. In the absence of formally trained road safety professionals, candidates were recruited from adjacent disciplines such as civil engineering, architecture, and urban planning. These individuals underwent training programs that emphasized both technical competencies such as crash analysis and non-technical skills.
To build long-term capacity, implementers partnered with universities to develop specialized road safety courses, creating a sustainable pipeline of qualified professionals. Strengthening research capacity was another key strategy. Agencies adopted advanced technologies for crash investigations, improving the accuracy and depth of data collection. Data from crash investigations was systematically compiled into centralized databases, which became critical tools for monitoring progress and guiding adaptive planning.
Proposals for LMICs:
  • Use cost–benefit analysis to prioritize interventions and justify resource allocation;
  • Partner with academic institutions to develop specialized road safety curricula.

3.3.6. Contextual Conditions

The cultural environments in India and Sweden presented sharply contrasting foundations for Vision Zero implementation. In India, participants described a road safety culture marked by corruption, low compliance and limited public trust. Routine bribery within enforcement agencies enabled road users to bypass licensing procedures and safety regulations, undermining accountability. Low literacy levels posed challenges to public awareness campaigns and limited the dissemination of Vision Zero principles. A fatalistic belief in luck as a determinant of road safety outcomes further discouraged proactive intervention and weakened the perceived necessity of preventive measures.
By contrast, Sweden’s road safety culture was characterized by high public compliance, strong institutional trust and a societal value placed on human life. Leaders modeled responsible behavior, reinforcing norms and inspiring public buy-in. High literacy rates supported understanding of Vision Zero principles and visible safety infrastructure cultivated a collective discipline that influenced even visitors’ behavior. This culturally supportive foundation enabled systemic reform and sustained commitment.
Despite these differences, both countries encountered resistance to Vision Zero, particularly from professional communities and institutional actors. In India, traditional road safety professionals resisted systemic approaches, favoring education-focused interventions that placed responsibility solely on road users. In Sweden, engineers and system designers opposed infrastructure changes, preferring conventional projects like motorways. Behavior modification specialists misunderstood Vision Zero’s design-based behavioral strategies, while economists and car manufacturers questioned its feasibility and cost implications.
Proposals for LMICs:
  • Promote leadership modeling of safe behavior to build public trust;
  • Challenge fatalistic narratives through community education and evidence-based messaging;
  • Tailor public awareness campaigns to literacy levels and cultural beliefs;
  • Address corruption in enforcement agencies through accountability mechanisms and oversight;
  • Anticipate institutional resistance;
  • Engage resistant professional groups through dialogue and capacity-building.
The political environment served as both an enabler and a constraint across contexts. In India, strong political support in Haryana led to the formal launch of Vision Zero and secured initial government funding. Decision-makers embraced the initiative as politically attractive, aligning it with public safety and development goals. However, this support was uneven across states. Some governments were reluctant to allocate adequate funding for road safety, limiting the expansion and institutionalization of Vision Zero measures.
Sweden’s political environment was similarly supportive during the inception and early implementation phases. Parliamentary approval was secured through strategic advocacy by influential figures. The initiative’s timing, introduced during a plateau in road safety outcomes further enhanced its appeal. Yet sustaining political support proved challenging. Over time, shifting government priorities and political interference complicated implementation. Technical decisions, particularly around speed limits, were politicized, undermining the authority of road safety experts. Commitment to Vision Zero varied across administrations, with Social Democratic governments described as more proactive, while others prioritized competing agendas.
Proposals for LMICs:
  • Secure high-level political endorsement to launch and legitimize Vision Zero;
  • Advocate through influential champions to build cross-sectoral political support;
  • Institutionalize funding commitments to reduce dependence on political cycles;
  • Monitor political engagement and adapt advocacy strategies to shifting priorities.

3.4. Framework for Implementing the Vision Zero Approach in LMICs

Comparative analysis identified common strategies within each implementation process, essential for successful adoption in both LMICs and HICs. Additionally, it highlighted components unique to each case. Elements that were effective in Sweden but were absent in India were assessed for adaptability. Proposals were made on how LMICs can integrate these practices into their road safety frameworks. The implementation processes and implementation proposals were used to develop the framework for implementing the vision zero approach in LMICs illustrated in Figure 4 and Table A2 (Appendix B). Member checking was conducted with select participants familiar with road safety implementation in LMIC contexts including independent researchers, academicians and government officials to ensure that the policy proposals and recommendations were validated. The framework would guide policy makers, key decision makers and road safety practitioners in designing and implementing the vision zero approach and contribute to achieving the national road safety objectives.

4. Discussion

Implementing the vision zero approach follows five core steps: setting a road safety agenda, gaining approval, planning, monitoring and evaluation and continuous improvement. The agenda-setting phase involves initiating national-level dialogue, generating awareness about road safety issues and proposing innovative solutions such as the vision zero approach. A model state to pilot the approach may be selected at this phase. During the approval phase, advocacy efforts are directed toward securing buy-in from key decision-makers. These efforts may include a series of high-level presentations to bureaucrats and ministers, culminating in formal approval from the relevant authorities including parliament.
Once approval is granted, planning for on-the-ground implementation begins. This includes developing action plans to ensure that the five core components of vision zero are incorporated, prioritizing high-risk districts and mobilizing human and financial resources. Monitoring and evaluation are essential to track progress, assess impact and refine interventions. A robust system of performance indicators and quantified targets, regular review meetings, and before-and-after comparisons help determine whether objectives are being met and where adjustments are needed. These practices reflect Elmore’s call for clearly defined performance criteria [55] and align with OECD/ITF guidelines for continuous monitoring [22]. The implementation process is iterative and adaptive, using feedback loops to improve policy design, scale successful interventions and respond to emerging challenges.
Successful implementation of the Vision Zero approach requires five preconditions: political support, establishment of a lead agency, allocation of financial resources, assignment of human resources and a clear decision-making process. These elements form the enabling environment within which policy formulation and execution can take root. Political will is crucial as it influences all the decisions made by bureaucratic actors and the prioritization of road safety within national agendas. As Varhelyi aptly notes, “no action can really be implemented without political will and commitment [20]”. These actions include securing sustainable funding and establishing a lead agency [21]. The lead agency plays a central role in coordinating stakeholders, managing implementation activities, and maintaining accountability. To perform these tasks effectively, the agency requires adequate funding and skilled human resources. Effective implementation of Vision Zero requires a decision-making structure that balances inclusivity with urgency. On one hand, consensus-based approaches promote stakeholder engagement, transparency and shared ownership but delay decision-making. On the other hand, road safety interventions often demand timely, decisive action, particularly when lives are at stake.
Following the fulfillment of key preconditions, the next step is to formulate clear objectives. The key objective behind implementing the Vision Zero approach is to reduce road deaths and serious injuries by transitioning from a traditional approach to a systematic one. This shift reflects a broader reorientation in road safety thinking, from attributing crashes solely to individual error and instead emphasizing the design of systems that anticipate human fallibility and mitigate its consequences [10,11,12,13].
A key strategy in the implementation of Vision Zero is the formation of multi-sector partnerships. These actors typically include government agencies, private-sector actors, institutions of higher learning, research organizations, and non-governmental organizations. Their effectiveness depends not only on who is involved, but on how roles are structured, interests are aligned, and authority is distributed. Clearly defined roles and responsibilities facilitate smoother coordination and accountability, while overlap, ambiguity, or unclear mandates can lead to confusion and inefficiency. Equally important is the alignment of stakeholder interests. When the goals of Vision Zero resonate with political ambitions or institutional priorities, stakeholder ownership tends to be strong. Conversely, misalignment, such as when systemic approaches challenge established professional norms, can generate resistance. For example, road safety professionals trained in behavior-focused models may perceive Vision Zero’s systemic framing as a departure from their core practices. This dynamic is consistent with Walt’s assertion that the degree of alignment between policy intentions and stakeholder interests significantly influences implementation outcomes [56].
Establishing an appropriate coordinating structure is essential for the effective implementation of Vision Zero. Whether hierarchical or networked, the structure must support clear decision-making, facilitate stakeholder engagement and ensure accountability across implementation levels. A hierarchical model, comprising an implementation committee, project director, program managers, and road safety associates, can offer clarity and efficiency, particularly in contexts where institutional capacity is still emerging. Conversely, networked models that emphasize shared decision-making may be more suitable in mature systems with strong inter-agency collaboration.
Enforcement and education programs are important in shaping road user behavior. Enforcement mechanisms such as speed cameras, helmet laws, and seatbelt mandates play a critical role in deterring risky behavior. However, their effectiveness depends on institutional capacity, public legitimacy, and consistency of application. In many LMIC contexts, enforcement is undermined by weak infrastructure, limited personnel, and low public trust in law enforcement agencies [16,37,40,57]. Educational initiatives range from public awareness campaigns to driver training. Effective education programs are culturally attuned and designed to resonate with literacy levels. While enforcement and education programs have traditionally played a prominent role in road safety efforts, engineering interventions should be the central focus of implementation, as they offer the most direct and sustainable means of reducing crash risk and mitigating injury severity.
The implementation of Vision Zero is mediated by institutional capacity, reflected in the availability and stability of human, financial, technological resources and research capacity. Financial instability remains a pervasive challenge in LMIC contexts. Funding mechanisms are often fragmented, short-term and vulnerable to political and economic shifts. This undermines the ability to plan long-term, recruit skilled personnel and invest in infrastructure or monitoring systems. A wide body of literature has documented this constraint, noting that many LMICs lack institutionalized funding streams and rely heavily on ad hoc private sector contributions [16,31,35,40,57].
Without stable funding, it becomes difficult to attract and retain qualified professionals, build technical capacity, or offer meaningful career pathways in road safety. Even when training is provided, retention is often low due to limited incentives and unclear professional trajectories, especially in emerging systems where road safety is not yet institutionalized. To navigate resource constraints, cost–benefit analyses may be conducted to prioritize high-impact interventions, a practice aligned with Breen et al.’s recommendation for evidence-based funding allocation at national and local levels [58]. However, road safety decisions often involve considerations that are difficult to quantify in monetary terms. In such cases, multi-criteria analysis (MCA) offers a valuable complement to cost–benefit approaches. Integrating MCA into the planning process can enable decision-makers to assess trade-offs across multiple dimensions such as accident reduction, severity mitigation and cost efficiency [59].
Technological and research capacity are equally critical. Robust data systems and local research are essential for priority-setting, resource allocation, and adaptive learning. Yet, LMICs face persistent gaps in crash investigation, data quality, and inter-agency coordination. Underreporting and omissions are widespread, particularly for vulnerable road users, informal transport modes, and nonfatal injuries [32,40]. The lack of integrated databases and analytic infrastructure limits the ability to monitor outcomes, evaluate interventions, or justify policy decisions.
Finally, the political, cultural and legal environment should be assessed and managed as they influence stakeholder engagement and public compliance. Political commitment is consistently cited as a key determinant of policy success [34,37,60], and can be mobilized through sustained advocacy, strategic framing, and the presence of strong Vision Zero champions. Equally important is conducting a cultural audit to understand prevailing norms, values and potential sources of resistance. Cultural perspectives on mobility, risk and enforcement influence how policies are received and whether behavioral change is possible. Finally, legal frameworks must be robust enough to support enforcement, enable data sharing and uphold institutional accountability.
This study proposes a structured framework for implementing Vision Zero, comprising five key steps: agenda setting, approval, planning, monitoring and evaluation, and continuous improvement alongside conditions influencing successful implementation. These include preconditions, objectives, strategies, intervening factors and causal conditions that shape how the framework unfolds. Table A2 (Appendix B) includes key performance indicators (KPIs) that offer a more quantitative lens through which LMICs can assess readiness, track progress, and guide improvement. While the framework draws on India’s implementation experience, its effectiveness is contingent on contextual factors including governance structures, institutional capacity, resource availability and stability, research infrastructure, coordination mechanisms, and public attitudes toward risk, mobility, and enforcement. As such, the conditions, steps, and strategies outlined in this study should be understood as guiding components to be adapted to local realities.

5. Conclusions

The proposed five-step implementation model, agenda setting, seeking approval, planning, monitoring and evaluation, and continuous improvement, provides an entry point for LMICs seeking to adopt Vision Zero. However, its effectiveness hinges on the presence of enabling conditions: sustainable funding, skilled personnel, robust data systems and political commitment. Engineering interventions should be prioritized as the core of systemic reform, with enforcement and education serving as complementary tools.
Beyond these core components, successful implementation requires multi-sector partnerships, where stakeholder roles are clearly defined, interests are aligned, and authority is distributed in ways that foster ownership and accountability. Coordinating structures must be tailored to the governance context, whether hierarchical or networked, and supported by mechanisms that balance consensus-building with timely decision-making. The study also highlights the importance of intervening conditions, particularly institutional capacity. Resource constraints, weak research infrastructure, fragmented data systems, and limited analytic capacity can undermine even the most well-designed interventions. Finally, implementation must be contextualized. Political, cultural and legal environments affect the feasibility of interventions and influence public engagement and compliance.
Ultimately, the study contributes a roadmap for Vision Zero implementation, one that is intended to act as a guide for policymakers and road safety practitioners and should be adapted to local conditions.

Author Contributions

Conceptualization, M.U.B., W.S. and G.F.; methodology, M.U.B., W.S. and G.F.; validation, M.U.B., W.S. and G.F.; formal analysis, M.U.B.; investigation, M.U.B.; data curation, M.U.B.; writing—original draft preparation, M.U.B.; writing—review and editing, M.U.B., W.S. and G.F.; visualization, M.U.B., W.S. and G.F.; supervision, W.S. and G.F. All authors have read and agreed to the published version of the manuscript.

Funding

This research received no external funding.

Institutional Review Board Statement

The study was conducted in accordance with the Declaration of Helsinki and approved by the Ethics Committee of Edinburgh Napier University (approval AS/170919).

Informed Consent Statement

Informed consent was obtained from all subjects involved in the study.

Data Availability Statement

The data presented in this study are available upon request from the corresponding author.

Acknowledgments

During the preparation of this study, the author(s) have reviewed and edited the output and take full responsibility for the content of this publication.

Conflicts of Interest

The authors declare no conflicts of interest.

Appendix A

Table A1. Comparative analysis of the implementation processes in India and Sweden.
Table A1. Comparative analysis of the implementation processes in India and Sweden.
Vision Zero Implementation ProcessesSub-ComponentsComponents Present in the Indian ContextComponents Present in the Sweden ContextProposals for LMICs
Implementation pre-conditionsPolitical commitmentPolitical commitment is crucial, as it directly influences bureaucratic decision-makingPolitical support should be mobilized from the outset to ensure early buy-in and adoptionMobilize political support early to ensure buy-in and accelerate adoption
×Engagement should involve both national and local politicians to make the approach a priority at multiple governanceEnsure coordination across governance levels
Adequate
financial
resources
Availability of dedicated funding to ensure stabilityFunding should be adequate to cover all costsEstablish dedicated funding streams within national budgets
Financial plan identifying sources of funds and allocationFunds must be allocated in a timely mannerDevelop clear financial plans to ensure timely disbursement
×Obstacles in quick funding disbursements should be removedSimplify funding mechanisms to prevent delays
Skilled and trained human resourcesHuman resources should be skilled and trained in the core principles and components of vision zero.Human resources should be highly qualified
Personnel should be highly motivated and demonstrate a high level of commitment to road safety.
Comprehensive training on the principles and key components of vision zero policy should be provided
Enhance technical expertise through training programs on vision zero principles
Prioritize motivation and commitment
Human resources should be sufficient to effectively implement vision zero×Ensure sufficient human resources
Lead agencyCrucial for leading vision zero implementation and coordinating all actionsAbsolutely necessary to coordinate all implementation actionsEstablish a lead agency to provide oversight and coordination
×Needs to be highly motivated and ambitious Establish mechanisms for commitment
Clearly defined decision-making structureClearly defined structure so everyone knows their roles and responsibilitiesDecision making needed to be quick, otherwise the purpose of saving lives would have been wasted.Establish a decision-making structure to enhance efficiency and accountability
Implementation objectivesTo reduce road deaths and serious injuries The primary objective was to reduce road deaths and serious injuries motivated by the rising number of fatalities and severe accidentsThe primary objective was to reduce road deaths and serious injuries motivated by the rising number of fatalities and severe accidents
To promote a systematic approach to road safety Move away from a traditional user-focused approach to a systematic approachMove away from a traditional user-focused approach to a systematic approachEncourage a holistic approach that incorporates speed, roads, vehicles and users rather than focusing only on user behaviour
Implementation process stepsNational-level workshopEngage stakeholders from multiple sectors at the national and local level to introduce vision zero×Leverage national-level workshops to build awareness and stakeholder commitment
Parliament approval×Prepare a proposal in consultation with the relevant government agencies
Present the final proposal to parliament for approval
Seeking parliamentary approval to institutionalize vision zero policy and promote stability and continuity
Approval from the Chief Minister Presentations made to top bureaucrats and Transport minister on how vision zero could reduce road deaths×Engage high-ranking government officials through policy presentations to get political commitment
Submit proposal to chief minister for approval×Establish approval processes within the executive leadership to strengthen policy legitimacy
Choosing districts and assigning road safety associates Selecting 10 districts with the worst road safety record for intervention×Prioritize high-risk districts for intervention
Recruiting, training and assigning road safety associates to their respective districts Recruit and train road safety associates to improve localized efforts
Resource planning and allocation×Sourcing funds from the national and local government budget, private sector organizations, non-governmental organizations, and car manufacturers.Diversifying funding sources (government funds, private sector, NGOs)
Allocating funds to facilitate the recruitment of a highly qualified and motivated team of experts in road safety.Prioritize recruitment of experts while considering cost-effective capacity-building programs
Developing an action plan and allocating resourcesDeveloping state and district-specific program tailored to local prioritiesAn action plan was gradually developed by incorporating emerging insightsDesign flexible plans that allow for adjustment based on real-time insights
Mapping high-risk areas to strategically focus on the interventionsMapping high-risk areas to strategically focus on the interventionsPrioritize high risk areas
The road safety associates gave recommendations and funds were allocated to implement improvementsStakeholders proposed interventions and set individual goalsEngage multi-sector stakeholders in developing interventions
Continuous review process to ensure that the implementation evolved based on best practices and lessons learnedEstablish a continuous improvement process
Monitoring and evaluationMonthly and quarterly review meetings to track progress and follow on strategiesMonthly and quarterly review meetings to monitor progress and implementation measuresAdopt a periodic review framework to assess implementation effectiveness
Implementation resourcesFinancial resources
availability of fundsReceived funds from the national and state government, and the private sector.Received funding from the national and local governments, the private sector, and NGOsDiversify funding sources by engaging public and private entities to ensure financial sustainability
cost efficiency×Cost-to-benefit analysis was done to optimize use of fundsImplement a cost-to-benefit analysis to ensure efficient allocation of funds
unsustainable fundingFunds were subject to external conditions, for instance, the private-sector funds were withdrawn during the COVID-19Funding fluctuated based on government prioritiesestablishing a dedicated fund to ensure consistency.
Diversify funding to mitigate financial uncertainty.
Establish financial contingency plans
Human resources
Highly qualified staffStruggled to find people qualified in road safetyAccess to highly qualified, and motivated human resourcesEnhance capacity-building initiatives through specialized road safety education programs
Collaborate with universities and research institutions to create training programs
Employee retentionExperienced high retention due to training, research opportunities and growth opportunities, and the competitive pay (Despite the high retention rate, the introduction of the integrated working concept led to staff attrition and a shift in focus from saving lives)Struggled to retain staff due to a lack of perceived growth opportunities in the road safetyPromote road safety as a viable career with structured incentives and growth opportunities
Implementation monitoringMonitoring system (objectives, KPIs, targets, indicators, reporting)×Quantified targets for all vision zero components
Strategies developed to achieve the specified targets
KPIs established to measure impact
Develop a structured monitoring framework with clearly defined targets
Develop quantified KPIs to track progress, assess effectiveness
Ensure continuous evaluation to refine strategies based on performance data
Regular review meetingsTwo monthly meetings with the head of state and district departments were held to track progress in the implementation of road safety projectsMonthly meetings were held to review performance and implementation progress
Quarterly forums were organized by the national group for corporations to discuss progress, address problems, and share knowledge
An annual conference was organized for all the key stakeholders to review performance by measuring and comparing key performance indicators from the previous year
Host regular review meetings with various stakeholders for continuous monitoring and to refine strategies based on performance data
Dedicated team×Established a dedicated team of 10 to monitor and evaluate the implementation of the vision zero projectsCreate dedicated teams responsible for overseeing monitoring and ensure continuous assessment and improvement of road safety initiatives
Key actors’ responsibilities and ownershipRoles and responsibilitiesClear structure from the onset with the transport department leading in implementing the vision zero approach. Initial confusion about whether the SRA or STA would take lead. Eventually, the role was assigned to STA Establish clear leadership roles at the beginning to avoid confusion
Varied commitment levelsStrong support from the politicians. Approval from the chief minister encouraged all other state agencies to support vision zeroStrong political support with the minister of transport taking the lead in promoting vision zero
Media coverage played a role in creating awareness about vision zero by writing articles
Mobilize political support to ensure vision zero adoption and sustained implementation
Leverage media campaigns to enhance public awareness
Opposition came from traditional road safety expertsFaced opposition from road engineers, cost–benefit analysis people and economists.Establish a stakeholder engagement strategy to address any concerns and het buy-in
CoordinationCoordinating structureHierarchical coordinating structure led by the APEX committee.
The committee had representatives from all six partners and was a decision-making body. The committee was followed by the Project Director who was the lead coordinator between knowledge partners and government departments
Networked environment where all stakeholders were involved. The lead agency coordinated activities between the stakeholder groupsEstablish coordination structures suited to institutional capacity to ensure efficiency
Establish a lead agency to oversee activities at the national level
“×” indicates that the corresponding component was absent in that case.

Appendix B

Table A2. Framework for implementing vision zero in LMICs.
Table A2. Framework for implementing vision zero in LMICs.
Implementation Components Implementation ProposalsJustification
1T.1. Assess implementation preconditions
KPIs

Political support
The existence of a strong lead agency
Highly qualified human resources
Dedicated funding
A decision-making structure
T.1.1 Determine the budget for financial resources requiredAdequate and dedicated funding should be available to cover all costs and allocated in a timely manner. Funding sources include government funds, private-sector funds and NGOs.
T.1.2 Determine the existence of highly qualified human resourcesSufficient and highly qualified human resources are required to implement the vision zero approach. Training should be provided to give implementers full knowledge of the core principles of vision zero and its core components.
T.1.3 Mobilize political support Political support is crucial in the implementation of the vision zero approach as it ensures that the road safety agenda is prioritized and that adequate funding is set aside to facilitate the implementation of road safety measures.
T.1.4 Constitute a lead agency Establishing a strong lead agency is to coordinate actions between the key departments and organizations, take the lead in decision-making, and follow up on actions.
T.1.5 Establish if there is well-structured decision-making to support the processA decision-making process should be developed to define roles and responsibilities clearly. Since the primary goal of the vision zero approach is to save lives, the structure should facilitate quick decision-making.
2T.2 Formulate the implementation objectives

KPIs
Long-term vision
Ambitious, measurable, and achievable road safety targets
T.2.1 To reduce road deaths and serious injuries The vision zero initiative will be adopted with the primary aim of reducing road deaths and serious injuries. This will involve adopting a systematic approach.
T.2.2 To promote a systematic approach Transition from traditional road safety methods to a systematic approach. This will involve strategies focusing on safer roads, safe road users, safe speed, safe vehicles and post-crash care.
3National-level meetings
Model project
Advocacy plans (workshops and seminars)
Action plans
Adequate and trained human resources
Adequate financial resources
Progress review meetings
Monitoring and evaluation framework
T.3.1 Develop the road safety agenda In the initial phase of developing the road safety agenda, preliminary activities will be undertaken to discuss road safety issues and promote the vision zero approach. This includes national-level discussions: workshops, conferences, and forums to engage policymakers, government officials, NGOs, and other key stakeholders.
Select a model state to pilot the vision zero approach, produce and apply knowledge that can be used to scale up the policy nationally.
T.3.2 Seek approval of the Parliament and other governing structuresAdvocacy work is done to convince key stakeholders to adopt the vision zero approach and approval is sought from the relevant authorities. This may involve presenting proposals to policymakers, relevant government ministries, and key decision makers.
T.3.3 Resource planning and allocationFinancial resources are critical to the vision zero implementation process and may be sourced from the national and local government, private sector and non-governmental organisations.
Highly qualified human resources are recruited, trained and assigned to their respective areas. Employee retention programs should also be supported to encourage the staff to grow within the profession.
T.3.5 Develop an action plan Develop action plans and focus on mapping high-risk locations, consulting with stakeholders to identify innovative interventions and developing actions based on the vision zero principles and components. The implementation process and outcomes should be continuously reviewed so that the best practices and lessons learned are fed into the development of a formal action plan.
T.3.6 Monitoring and continuous improvementRegular meetings should be held to review progress towards the achievement of the objectives. There should be a team dedicated to monitoring vision zero.
4T.4 Policy components
KPIs
Public educational programs
Road safety awareness activities (roadside events, posters, leaflets, etc.)
Measures to enforce road safety rules and regulations
Programs to redesign road infrastructure to include pathways designated to vulnerable users and calming measures
Adequate speed cameras
Vehicles fitted with safety features, e.g., intelligent speed assistance
T.4.1 PrinciplesBased the vision zero policy on the four guiding principles of safety first, a forgiving system, shared responsibility and coordinated action.
T.4.2 Core vision zero componentsPolicy components should incorporate five core components of vision zero such as safe roads, safe vehicles, safe speed, safe road users and post-crash response.
5T.5 Management of resources targeted for implementation

KPIs
Dedicated funding
Highly qualified and trained human resources
T.5.1 Mobilize for sufficient financial resources The project must ensure that sufficient funds are available for the activities. There are several levels to mobilize funds including national and state government, the private sector and Non-Governmental Organizations.
T.5.2 Plan for sustainable fundingA contingency plan should be in place to mitigate expected and unforeseen challenges like the COVID-19 pandemic, and changes in government priorities.
T.5.3 Ensure there is cost efficiencyCost-to-benefit analysis should be done to ensure funds are utilized efficiently.
T.5.4 Recruit highly qualified staff to support the implementation processVision zero project should be supported by highly qualified and motivated human resources.
T.5.5 Establish a system for employee retentionProvide training, research and growth opportunities, and the right pay to motivate and retain the staff.
6T.6 Identify key actors’ roles and responsibilities

KPIs
Clearly defined roles and responsibilities
Key actors’ analysis (support and opposition)
T.6.1 Identify and engage multi-sectoral actors.Vision zero approach will involve actors from different sectors to leverage their unique expertise and resources. This includes government agencies, the private-sector, non-governmental organizations, academic and research institutions.
Establish clear roles and responsibilities for each stakeholder group to enhance coordination and accountability.
T.6.2 Develop well-structured engagements between stakeholdersThe involvement of stakeholders in the implementation of the vision zero approach should be well-structured to enhance commitment. Voices of reason should include a larger professional community including road engineers, cost-benefit analysis people and economists.
7T.7 Develop institutional capacity

KPIs
Capacity-building activities
Collaborations with academic and research institutions
Good coordination among agencies
Research studies
Reliable database
Adequate technology
Adequate funding
T.7.1 Road safety educationCreate and run public education and awareness programs in partnership with key stakeholders such as the police departments and other implementation partners. The programs will include roadside events in partnership with the police, annual road safety week, educational outreach in schools and colleges and media campaigns.
T.7.2 Organize training and capacity-building activitiesTo support the vision zero initiative, a capacity-building strategy will be undertaken, focusing on: identifying and addressing gaps in road safety skills and providing targeted training programs to develop these essential skills within the workforce.
T.7.3 Provide for research and development in road safetyStrengthening research capacity by collaborating with academic and research institutions to foster innovation and introduce best practices in road safety, conducting in-depth studies on road crashes to understand their causes and effects and developing a reliable database to support the making of evidence-based decisions and policy interventions. Collaborating with the car industry and technology providers to collect data from advanced vehicle technologies, such as event recorders, seatbelt reminders, and electronic stability control systems. Using this data to develop and implement better road safety interventions.
T.7.4 Promotion of vision zero implementationPromote vision zero by engaging and involving political leaders, decision makers, NGOs and key stakeholders at both national and local levels. Appoint a dedicated leader, such as the minister of transport, to take a leading role in promoting vision zero. Launch national and regional public awareness campaigns to educate the public and stakeholders about vision zero. Use media platforms to ensure widespread dissemination of vision zero principles.
8T.8 Preparing for ownership and coordination

KPIs
Appropriate coordinating structure (Hierarchical or networked)
T.8.1 Establish a coordination structureEstablish an effective coordination structure for the successful implementation of the vision zero approach. The following levels would be appropriate for a hierarchical coordination structure;
  • APEX committee to serve as the highest decision-making body
  • Project Director is responsible for the day-to-day management and operational oversight of the implementation process.
  • Program managers to oversee the planning, execution and completion of specific road safety measures within their assigned areas.
  • Road safety associates to assist in the on-the-ground implementation of road safety measures
T.8.2 Constitute a lead agencyDesignate a lead agency to coordinate implementation activities between the core group and the stakeholders on the ground. The stakeholders will hold meetings regularly to review performance and discuss each stakeholder’s contribution toward the agreed-upon road safety indicators.
9T.9 Planning for Monitoring and Evaluation

KPIs
Monitoring and evaluation framework
Regular progress review meetings
Published reports
T.9.1 Develop a monitoring and evaluation frameworkMonitoring should be conducted to determine whether the implementation is as per the plan and to assess progress towards the achievement of the set objectives. It is therefore imperative to develop a monitoring and evaluation plan to aid through the process.
T.9.2 Hold regular review meetings with the implementing teamHold monthly and quarterly meetings to review progress in the implementation of road safety projects. Organize annual conferences for all the key stakeholders to review performance by measuring and comparing key performance indicators from the previous year.
T.9.3 Procure a monitoring system with a layout of the objectives, KPIs, targets, indicators, reporting, and planning of the vision zero projectEstablish a monitoring system to support data gathering and assess the implementation progress. The system will include clear, quantified targets for all vision zero components, key performance indicators to track progress and identify areas for improvement, regular reporting to review performance and a feedback mechanism to incorporate insights from the system into ongoing and future road safety strategies.
10T.10 Establishing partnership and collaboration opportunities with stakeholders for sustainabilityT.10.1 Develop a relationship with the national and local governmentsFoster strong relationships with national and local government organs to ensure the vision zero approach is sustainable.
T.10.2 Develop a relationship with the private sectorCollaborate with the private sector, especially institutions involved in road safety. These will include car manufacturers and insurance companies. Their support will contribute to the adaptability of vision zero approach and thereby make it more sustainable.
T.10.3 Develop a relationship with the police departmentPartner with the police to ensure effective enforcement of road safety rules such as wearing seat belts, using mobile phones, and controlling speeding.
T.10.4 Develop a relationship with the mediaPartner with the media to ensure widespread awareness and support for vision zero.
T.10.5 Develop a relationship with Non-Governmental Organizations (NGOs)Form strategic partnerships with non-governmental organizations (NGOs) that provide advocacy, skills, and funding.
11T.11
Assess and manage the external environment

KPIs
Audits of the cultural, political and legal environment
T.11.1 Assess the cultural environmentConduct comprehensive assessments of the cultural environment to understand and manage the beliefs, values, and behaviors that impact road safety.
T.11.2 Assess the political environmentConduct comprehensive assessments of the political environment to understand the dynamics, political interests and influences that impact road safety policies.
T.11.3 Assess the legal environmentConduct comprehensive assessments of the legal environment to identify and manage existing laws, regulations and legal frameworks that impact road safety.

References

  1. World Health Organization. Global Status Report on Road Safety 2023; World Health Organization: Geneva, Switzerland, 2023. [Google Scholar]
  2. Global Road Safety Facility. Annual Report 2024; World Bank: Washington, DC, USA, 2024. [Google Scholar]
  3. World Health Organization. Global Status Report on Road Safety 2023: Country and Territory Profiles; World Health Organization: Geneva, Switzerland, 2023. [Google Scholar]
  4. Government of Haryana Transport Department. Haryana Road Safety Action Plan; Government of Haryana Transport Department: Haryana, India, 2018. [Google Scholar]
  5. WRI-India. Haryana Vision Zero; WRI-India: Haryana, India, 2016. [Google Scholar]
  6. OECD/ITF. Road Safety Annual Report; OECD Publishing: Paris, France, 2021. [Google Scholar]
  7. McDonald, K.M. Shifting Out of Neutral: A New Approach to Global Road Safety. Vand. J. Transnat’l L. 2005, 38, 743–770. [Google Scholar]
  8. Nilsson, G. Traffic Safety Dimensions and the Power Model to Describe the Effect of Speed on Safety. Ph.D. Dissertation, Lund University, Lund, Sweden, 2004. [Google Scholar]
  9. Koornstra, M.J. Prediction of traffic fatalities and prospects for mobility becoming sustainable-safe. Sadhana 2007, 32, 365–395. [Google Scholar] [CrossRef]
  10. Johansson, R. Vision zero–Implementing a policy for traffic safety. Saf. Sci. 2009, 47, 826–831. [Google Scholar] [CrossRef]
  11. Shoukrallah, R. Road Safety in Five Leading Countries; ACT Department of Territory and Municipal Services: Canberra, Australia, 2008. [Google Scholar]
  12. Kim, E.; Muennig, P.; Rosen, Z. Vision zero: A toolkit for road safety in the modern era. Inj. Epidemiol. 2017, 4, 1. [Google Scholar] [CrossRef] [PubMed]
  13. Belin, M.; Tillgren, P.; Vedung, E. Vision zero–a road safety policy innovation. Int. J. Inj. Control Safe. Promot. 2012, 19, 171–179. [Google Scholar] [CrossRef] [PubMed]
  14. Lie, A.; Strandroth, J.; Krafft, M. Government Status Report, Sweden 2017; Swedish Transport Administration: Borlänge, Sweden, 2017. [Google Scholar]
  15. Mendoza, A.; Wybourn, C.; Mendoza, M.; Cruz, M.; Juillard, C.; Dicker, R. The Worldwide Approach to vision zero: Implementing Road Safety Strategies to Eliminate Traffic-Related Fatalities. Curr. Trauma Rep. 2017, 3, 104–110. [Google Scholar] [CrossRef]
  16. WRI. Sustainable & Safe: A Vision and Guidance for Zero Road Deaths; WRI.org: Washington, DC, USA, 2018. [Google Scholar]
  17. OECD/ITF. Road Safety Annual Report; OECD Publishing: Paris, France, 2016. [Google Scholar]
  18. Peden, M.M.; World Health Organization. World Report on Road Traffic Injury Prevention; World Health Organization: Geneva, Switzerland, 2004. [Google Scholar]
  19. May, P.J. Policy Design and Implementation. In Handbook of Public Administration; Peters, B.G., Pierre, J., Eds.; Sage Publications: London, UK; Thousand Oaks, CA, USA; New Delhi, India, 2003; pp. 223–233. [Google Scholar]
  20. Varhelyi, A. Road Safety Management—The Need for a Systematic Approach. Open Transp. J. 2016, 10, 137–155. [Google Scholar] [CrossRef]
  21. Muhlrad, N.; Gitelman, V.I.B. Road Safety Management Investigation Model and Questionnaire; Deliverable 1.2 of the EC FP7 project DaCoTA; IFSTTAR: Champs-sur-Marne, France, 2011. [Google Scholar]
  22. OECD. Safety on Roads: What’s the Vision; OECD: Paris, France, 2002. [Google Scholar]
  23. Elvik, R. Quantified road safety targets: A useful tool for policymaking? Accid. Anal. Prev. 1993, 25, 569–583. [Google Scholar] [CrossRef]
  24. Wong, S.C.; Sze, N.N.; Yip, H.F. Association between Setting Quantified Road Safety Targets and Road Fatality Reduction. Accid. Anal. Prev. 2006, 38, 997–1005. [Google Scholar] [CrossRef]
  25. Elvik, R.; Høye, A.; Vaa, T.; Sørensen, M. The Handbook of Road Safety Measures, 2nd ed.; Emerald Group Publishing: Bingley, UK, 2009. [Google Scholar]
  26. Elvik, R. Does the Use of Formal Tools for Road Safety Management Improve Safety Performance? Transp. Res. Rec. 2012, 2318, 1–6. [Google Scholar] [CrossRef]
  27. Papadimitriou, E.; Yannis, G.; Muhlrad, N.; Gitelman, V.; Butler, I.; Dupont, E. (Eds.) Analysis of Road Safety Management in the European Countries; Deliverable 1.5 Vol. II of the EC FP7 Project DaCoTA; National Technical University of Athens: Athens, Greece, 2012. [Google Scholar]
  28. Johnston, I. Beyond ‘best practice’ road safety thinking and systems management–a case for culture change research. Saf. Sci. 2010, 48, 1175–1181. [Google Scholar] [CrossRef]
  29. Yannis, G.; Vasiljevic, J.; Milotti, A. Significance of the ROSEE Project–Road Safety in South East European Regions. In Proceedings of the 8th International Conference on Road Safety in the Local Community, Valjevo, Serbia, 18–20 April 2013. [Google Scholar]
  30. Khorasani-Zavreh, D.; Mohammadi, R.; Khankeh, H.; Laflamme, L.; Bikmoradi, A.; Haglund, B. The requirements and challenges in preventing of road traffic injury in Iran: A qualitative study. BMC Public Health 2009, 9, 486. [Google Scholar] [CrossRef]
  31. World Bank. Federative Republic of Brazil: National Road Safety Capacity Review; World Bank: Washington, DC, USA, 2015. [Google Scholar]
  32. Heydari, S.; Hickford, A.; Mcllroy, R.; Turner, J.; Bachani, A. Road Safety in Low-Income Countries: State of Knowledge and Future Directions. Sustainability 2019, 11, 6249. [Google Scholar] [CrossRef]
  33. ODI/WRI. The Political Economy of Road Safety; ODI: London, UK, 2017. [Google Scholar]
  34. ODI/WRI. Securing Safe Roads; ODI: London, UK, 2018. [Google Scholar]
  35. Hyder, A.; Vecino-Ortiz, A. BRICS: Opportunities to improve road safety. Bull. World Health Organ. 2014, 92, 423–428. [Google Scholar] [CrossRef]
  36. Wundersitz, L.; Baldock, M.R.J.; Raftery, S.J. The relative contribution of system failures and extreme behaviour in South Australian crashes. Accid. Anal. Prev. 2014, 73, 163–169. [Google Scholar] [CrossRef] [PubMed]
  37. Tetali, S.; Josyula, L.; Gupta, S. Qualitative study to explore stakeholder perceptions related to road safety in Hyderabad, India. Injury 2013, 44, 17–23. [Google Scholar] [CrossRef]
  38. Shafie, I.K.; Rahman, M. Predicting entry speed of traffic-calmed roads: Regression versus artificial neural network approach. Adv. Transp. Stud. 2023, 59, 45–56. [Google Scholar]
  39. Haghani, M.; Behnood, A.; Oviedo-Trespalacios, O. Road safety research in the context of low-and middle-income countries: Macro-scale literature analyses, trends, knowledge gaps and challenges. Saf. Sci. 2022, 146, 105–513. [Google Scholar] [CrossRef]
  40. Perez-Nunez, R.; Híjar, M.; Alfredo, C.; Hidalgo-Solórzano, E. Road traffic injuries in Mexico: Evidences to strengthen the Mexican road safety strategy. Rep. Public Health. 2014, 30, 911–925. [Google Scholar]
  41. Hamim, O.F.; Ukkusuri, S.V. Towards safer streets: A framework for unveiling pedestrians’ perceived road safety using street view imagery. Accid. Anal. Prev. 2023, 195, 107400. [Google Scholar] [CrossRef]
  42. Momin, K.A.; Hamim, O.F.; Hoque, M.S.; McIlroy, R.C. Integrating design and system approaches for analyzing road traffic collisions in low-income settings. Accid. Anal. Prev. 2025, 194, 107965. [Google Scholar] [CrossRef] [PubMed]
  43. Borghetti, F.; Marchionni, G.; De Bianchi, M.; Barabino, B.; Bonera, M.; Caballini, C. A new methodology for accidents analysis: The case of the State Road 36 in Italy. Int. J. Transp. Dev. Integr. 2021, 5, 278–290. [Google Scholar] [CrossRef]
  44. Mojarro, F.; Solorzano, E.; Monreal, M. Challenges that hinder the application of the road safety regulation: A local law enforcement (LLE) officer’s perspective in Mexico. Inj. Prev. 2018, 24 (Suppl. S2), A65.2-A65. [Google Scholar] [CrossRef]
  45. Shaw, L.; Poulos, R.; Rissel, C.; Hatfield, J. Exploring the Application of the Safe System Approach to a Set of Self-Reported Cycling Crashes. In Proceedings of the Australasian College of Road Safety Conference, Sydney, NSW, Australia, 9–10 August 2012. Exploring the Safe System approach to cycling (ACRS). [Google Scholar]
  46. McIlroy, R.C.; Plant, K.A.; Jikyong, U.; Nam, V.H.; Bunyasi, B.; Kokwaro, G.O.; Wu, J.; Hoque, M.S.; Preston, J.M.; Stanton, N.A. Vulnerable Road users in low-, middle-, and high-income countries: Validation of a Pedestrian Behaviour Questionnaire. Accid. Anal. Prev. 2019, 131, 80–94. [Google Scholar] [CrossRef] [PubMed]
  47. Gitelman, V.; Doveh, E. Investigating road safety management systems in the European countries: Patterns and particularities. J. Transp. Technol. 2016, 6, 378–404. [Google Scholar] [CrossRef]
  48. Yin, R. Case Study Research and Applications: Design and Methods, 6th ed.; Yin, R.K., Ed.; SAGE Publications: Thousand Oaks, CA, USA, 2018; pp. 185–209. [Google Scholar]
  49. Dhar, S.; Shukla, P.R. Low carbon scenarios for transport in India: Co-benefits analysis. Energy Policy 2015, 81, 186–198. [Google Scholar] [CrossRef]
  50. Prasad, T.K. National Road Safety Plan; Bureau of Police Research and Development: New Delhi, India, 2020. [Google Scholar]
  51. Bandyopadhyay, A.; Nora, J.E.; Bose, D.; Srinivasan, K.; Woodrooffe, J.H.F.; Surie, N.; Bliss, A.G. Delivering Road Safety in India: Leadership Priorities and Initiatives to 2030; World Bank Publications: Washington, DC, USA, 2020. [Google Scholar]
  52. Corbin, J.; Strauss, A. Basics of Qualitative Research: Techniques and Procedures for Developing Grounded Theory, 3rd ed.; Corbin, J., Strauss, A., Eds.; SAGE Publications: Thousand Oaks, CA, USA, 2014; pp. 45–75. [Google Scholar]
  53. Guba, E.; Lincoln, Y. Competing paradigms in qualitative research. In Handbook of Qualitative Research, 2nd ed.; Denzin, N.K., Lincoln, Y.S., Eds.; SAGE Publications: Thousand Oaks, CA, USA, 1994; pp. 105–117. [Google Scholar]
  54. Bryman, A. Social Research Methods, 5th ed.; Oxford University Press: London, UK, 2012; pp. 134–156. [Google Scholar]
  55. Elmore, R.F. Backward mapping: Implementation research and policy decisions. Polit. Sci. Q. 1979, 94, 601–616. [Google Scholar] [CrossRef]
  56. Walt, J.; Gilson, L. Reforming the health sector in developing countries: The central role of policy analysis. HPP 1994, 9, 353–370. [Google Scholar] [CrossRef]
  57. IEG/World Bank. Making Roads Safer: Learning from the World Bank’s Experience; World Bank Publications: Washington, DC, USA, 2014. [Google Scholar]
  58. Breen, J.; Howard, E.; Bliss, T. An Independent Review of Road Safety in Sweden; Swedish Road Administration: Sweden, Borlänge, 2008. [Google Scholar]
  59. Augeri, M.G.; Colombrita, R.; Lo Certo, A.; Greco, S.; Matarazzo, B. Multi-criteria analysis to evaluate road safety measures and allocate available budget. In Proceedings of the SIIV 2005 International Conference, Bari, Italy, 22–23 September 2005. [Google Scholar]
  60. Safarpour, H.; Khorasani-Zavareh, D.; Soori, H.; Ghomian, Z.; Bagheri-Lankarani, K.; Mohammadi, R. The Challenges of vision zero Implementation in Iran: A Qualitative Study. Front. Future Transp. 2022, 3, 884930. [Google Scholar] [CrossRef]
Figure 1. Proportion of population, road traffic fatalities, registered vehicles and paved roads by country income category, 2021. Source: [1].
Figure 1. Proportion of population, road traffic fatalities, registered vehicles and paved roads by country income category, 2021. Source: [1].
Safety 11 00093 g001
Figure 2. Vision Zero implementation processes in India (Arrows represent the sequence of actions in implementing the Vision Zero process and the directional influence of causal conditions, strategies, contextual factors and intervening conditions. The arrows from intervening conditions are bidirectional, indicating a feedback loop and adaptive responses).
Figure 2. Vision Zero implementation processes in India (Arrows represent the sequence of actions in implementing the Vision Zero process and the directional influence of causal conditions, strategies, contextual factors and intervening conditions. The arrows from intervening conditions are bidirectional, indicating a feedback loop and adaptive responses).
Safety 11 00093 g002
Figure 3. Vision Zero implementation processes in Sweden (Arrows represent the sequence of implementation steps in the Vision Zero process and the directional influence of causal conditions, strategies, contextual factors and intervening conditions. The arrows from intervening conditions are bidirectional, indicating a feedback loop and adaptive responses).
Figure 3. Vision Zero implementation processes in Sweden (Arrows represent the sequence of implementation steps in the Vision Zero process and the directional influence of causal conditions, strategies, contextual factors and intervening conditions. The arrows from intervening conditions are bidirectional, indicating a feedback loop and adaptive responses).
Safety 11 00093 g003
Figure 4. Framework for Implementing Vision Zero Approach in LMICs.
Figure 4. Framework for Implementing Vision Zero Approach in LMICs.
Safety 11 00093 g004
Table 1. Sweden Participant’s List.
Table 1. Sweden Participant’s List.
CategoryRole and OrganizationThe Rationale for Participant Selection
IP1Independent researcher and academicProfessor at the Chalmers University of Technology and a Senior Consultant at ÅF Consult.One of the main architects of vision zero and Former Director of road safety at the Swedish National Road Administration. Introduced vision zero in Sweden and was involved in the development of vision zero since the beginning.
IP2Government officialSenior Policy Advisor at Swedish Transport Administration (Trafikverket)Safe system expert. He has seen vision zero established and flourished in Sweden since the beginning. Experience of 26 years with vision zero. Also, responsible for the development of vision zero academy.
IP3Government official and academicSenior Advisor at Swedish Transport Administration (Trafikverket)Safe system expert. Written numerous research reports and articles on vision zero. Involved in the development of vision zero since the beginning.
IP4Government official and academicAssociate Professor and Director of Sustainability and Traffic Safety at the Swedish Transport Administration (Trafikverket)Involved with the development of vision zero since day one. Written numerous research reports and articles on vision zero.
IP5Independent researcherAssociate Professor at Chalmers University of Technology, SwedenAn active researcher in the safe system approach in Sweden
IP6Academic and independent researcherProfessor at the Chalmers University of TechnologyA researcher in the safe system approach. Written numerous research reports and articles on the vision zero approach.
IP7Government officialSenior Policy Advisor at Swedish Transport Administration (Trafikverket)Safe system expert. Over 20 years of experience with vision zero policy.
Table 2. India participants list.
Table 2. India participants list.
CategoryRole and OrganizationThe Rationale for Participant Selection
IP8Independent researcherDirector Integrated Urban Transport—WRI IndiaOverall responsibility of road safety section of WRI—India. Organised training for Road safety associates of Haryana vision zero. Involved in all meetings of Haryana vision zero. Written articles about Haryana vision zero.
IP9Independent researcherManager Sustainable cities—WRI IndiaCurrently working on the Indian state of Haryana—vision zero program
IP10Independent researcherProject Associate—WRI IndiaCurrently working on Road safety projects in India
IP11Independent researcherManager Road Safety—WRI IndiaWorking on Road safety
IP12Independent researcher—GlobalDeputy Director WRI GlobalRoad safety expert and written articles and published reports on vision zero. Works on global strategy for addressing road safety issues (May have potential contacts in India)
IP13Academic and independent researcherProfessor at the Indian Institute of TechnologyExpert in the safe system approach. Over 18 years of experience working closely with state governments to support road safety policies
IP14Academic and independent researcherProfessor at the Indian Institute of TechnologySafe system expert. Experience in capacity building on road safety.
IP15Government officialSenior Policy Advisor Involved in the development of Haryana Vision Zero. Written numerous research reports and articles on vision zero.
IP16Government officialSenior Policy Advisor Safe system expert. Written research articles and reports on the vision zero approach.
Disclaimer/Publisher’s Note: The statements, opinions and data contained in all publications are solely those of the individual author(s) and contributor(s) and not of MDPI and/or the editor(s). MDPI and/or the editor(s) disclaim responsibility for any injury to people or property resulting from any ideas, methods, instructions or products referred to in the content.

Share and Cite

MDPI and ACS Style

Bajwa, M.U.; Saleh, W.; Fountas, G. Identifying a Framework for Implementing Vision Zero Approach to Road Safety in Low- and Middle-Income Countries: A Qualitative Perspective. Safety 2025, 11, 93. https://doi.org/10.3390/safety11040093

AMA Style

Bajwa MU, Saleh W, Fountas G. Identifying a Framework for Implementing Vision Zero Approach to Road Safety in Low- and Middle-Income Countries: A Qualitative Perspective. Safety. 2025; 11(4):93. https://doi.org/10.3390/safety11040093

Chicago/Turabian Style

Bajwa, Mahfooz Ulhaq, Wafaa Saleh, and Grigorios Fountas. 2025. "Identifying a Framework for Implementing Vision Zero Approach to Road Safety in Low- and Middle-Income Countries: A Qualitative Perspective" Safety 11, no. 4: 93. https://doi.org/10.3390/safety11040093

APA Style

Bajwa, M. U., Saleh, W., & Fountas, G. (2025). Identifying a Framework for Implementing Vision Zero Approach to Road Safety in Low- and Middle-Income Countries: A Qualitative Perspective. Safety, 11(4), 93. https://doi.org/10.3390/safety11040093

Note that from the first issue of 2016, this journal uses article numbers instead of page numbers. See further details here.

Article Metrics

Back to TopTop