Evolution of Occupational Safety and Health Disclosure Practices: Insights from 8 Years in Taiwan’s Construction Industry
Abstract
1. Introduction
2. Materials and Methods
2.1. Study Design and Study Period
2.2. Study Samples and Settings
2.3. Variables
| Aspects and Indicators | Definition | Reference |
|---|---|---|
| 1. Recognitions | ||
| 1.1 Occupational safety and health chapter | The occupational safety and health-related chapters are mentioned in the table of contents or Appendix A, and there are indeed paragraphs within the report discussing occupational safety and health. | [32] |
| 1.2 Material topics | The report mentions the aggregation of stakeholder engagement levels for conducting a significant analysis of major issues. | [32] |
| 1.3 Occupational safety as a material topic | List occupational safety or occupational safety and health as a material topic. | [32] |
| 1.4 Occupational health as a material topic | List occupational health or occupational safety and health as a material topic. | [32] |
| 2. Goals | ||
| 2.1 Occupational safety goals | The report mentions quantitative goals related to occupational safety. | [32] |
| 2.2 Occupational health goals | The report mentions quantitative goals related to occupational health. | [32] |
| 2.3 ESG/SDGs | The report mentions the alignment with ESG principles and/or SDGs. | [32] |
| 3. Measures | ||
| 3.1 Occupational safety education | The report mentions that the company offers education or training regarding occupational safety and accident prevention. | [30] |
| 3.2 Occupational health education | The report mentions that the company provides education or training regarding occupational health and health promotion. | [30] |
| 3.3 Occupational safety and health committee | The report mentions that the company has an occupational safety and health committee or clearly states that the safety and health committee is comprised of an existing labor-management meeting. | [30] |
| 3.4 Occupational health and safety management system | The report mentions that the company has obtained occupational safety and health-related certifications (e.g., ISO 45001, ISO 18001, TOSHMS, or CNS 15506). | [30] |
| 3.5 Mental health support | The report mentions that the company has an EAP and offers psychological counseling services to employees. | [30] |
| 4. Outcomes | ||
| 4.1 Occupational accident-related outcomes | The report contains information such as occupational accidents, work-related injuries, and cases of occupational diseases. | [30] |
| 4.2 Quantitative data on occupational injury and illness | The report shows quantitative data on disabilities, lost workdays, and the number of sick leave instances due to work-related injuries and illnesses. | [30] |
| 4.3 Near miss | The report provides information on near misses, such as their frequency, how they are managed, and the methods used for improvement. | [30] |
2.4. Data Sources, Management, and Bias
2.5. Statistical Analysis
2.6. Ethical Statements
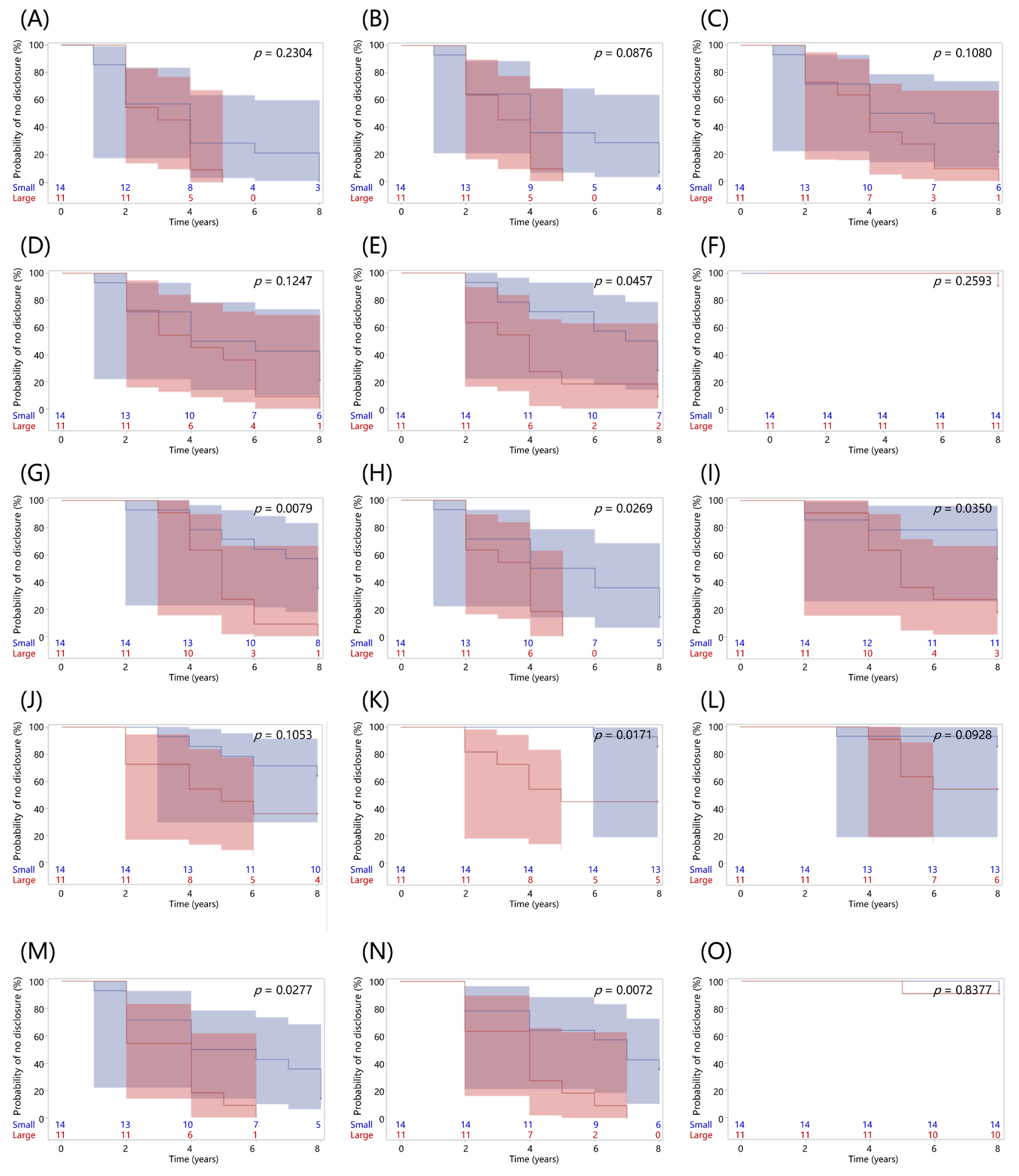
3. Results
4. Discussion
Limitations
5. Conclusions
Author Contributions
Funding
Institutional Review Board Statement
Informed Consent Statement
Data Availability Statement
Acknowledgments
Conflicts of Interest
Appendix A
| Aspects and Indicators | Primary Researcher (Data Collector 1) | Data Collector 2 | Data Collector 3 |
|---|---|---|---|
| 1. Recognitions | |||
| 1.1 Occupational safety and health chapter | 0.98 | 0.94 | 0.81 |
| 1.2 Material topics | 0.98 | 1.00 | 0.91 |
| 1.3 Occupational safety as a material topic | 0.94 | 0.95 | 0.73 |
| 1.4 Occupational health as a material topic | 0.84 | 0.92 | 0.73 |
| 2. Goals | |||
| 2.1 Occupational safety goals | 1.00 | 0.80 | 0.77 |
| 2.2 Occupational health goals | 1.00 | 0.97 | 0.94 |
| 2.3 ESG/SDGs | 0.97 | 0.86 | 0.52 |
| 3. Measures | |||
| 3.1 Occupational safety education | 0.83 | 0.73 | 0.75 |
| 3.2 Occupational health education | 0.91 | 0.78 | 0.80 |
| 3.3 Occupational safety and health committee | 0.91 | 0.91 | 0.78 |
| 3.4 Occupational health and safety management system | 0.97 | 0.94 | 0.89 |
| 3.5 Mental health support | 0.92 | 0.88 | 0.88 |
| 4. Outcomes | |||
| 4.1 Occupational accident-related outcomes | 0.94 | 0.84 | 0.78 |
| 4.2 Quantitative data on occupational injury and illness | 0.94 | 0.81 | 0.81 |
| 4.3 Near miss | 1.00 | 0.93 | 0.97 |

References
- Eurostat. Accidents at Work Statistics. 2022. Available online: https://ec.europa.eu/eurostat/statistics-explained/index.php?title=Accidents_at_work_statistics#Number_of_accidents (accessed on 16 August 2023).
- International Labour Organization. Construction: A Hazardous Work. 2015. Available online: https://www.ilo.org/safework/areasofwork/hazardous-work/WCMS_356576/lang--en/index.htm (accessed on 1 August 2023).
- Andersen, J.H.; Malmros, P.; Ebbehoej, N.E.; Flachs, E.M.; Bengtsen, E.; Bonde, J.P. Systematic literature review on the effects of occupational safety and health (OSH) interventions at the workplace. Scand. J. Work Environ. Health 2019, 45, 103–113. [Google Scholar] [CrossRef] [PubMed]
- Jhang, W.G. The vulnerability of occupational health and safety to deregulation: The weakening of information regulations during the economic crisis in Korea. New Solut 2018, 28, 151–168. [Google Scholar] [CrossRef] [PubMed]
- van der Molen, H.F.; Basnet, P.; Hoonakker, P.L.; Lehtola, M.M.; Lappalainen, J.; Frings-Dresen, M.H.; Verbeek, J.H. Interventions to prevent injuries in construction workers. Cochrane Database Syst. Rev. 2018, 2, CD006251. [Google Scholar] [CrossRef] [PubMed]
- Ministry of Labor, Taiwan. Legislative History of the Occupational Safety and Health Act. 2013. Available online: https://law.moj.gov.tw/ENG/LawClass/LawAll.aspx?pcode=N0060001 (accessed on 1 August 2023).
- Ministry of Labor, Taiwan. Occupational Safety and Health Act (3 July 2013). Available online: https://lis.ly.gov.tw/lglawc/lawsingle?0090486D60D9000000000000000000A000000002000000^01142102061800^00000000000 (accessed on 26 April 2024).
- Occupational Ssfety and Health Administration Ministry of Labor. Ten Years of Occupational Safety and Health Development in Taiwan. 2021. Available online: https://www.osha.gov.tw/48110/48461/48683/48691/58890/ (accessed on 26 April 2024).
- General Explanation of the Amendments to the Occupational Safety and Health Act (3 July 2013). Available online: https://laws.mol.gov.tw/FLAW/FLAWDESC.aspx?id=FL015013&ldate=20130703 (accessed on 25 April 2024).
- Taipei Exchange (TPEx). Securities and Futures Institute of the Republic of China’s Procedures for Information Reporting by Companies Listed on the Over-the-Counter Market (10 January 2024). Available online: https://www.selaw.com.tw/LawArticle.aspx?LawID=G0100797 (accessed on 26 April 2024).
- Taiwan Stock Exchange (TWSE). Taiwan Stock Exchange Corporation’s Procedures for Reporting Information by Listed Companies with Securities and Offshore Fund Institutions with Listed Offshore Index Stock Funds (12 January 2024). Available online: https://www.selaw.com.tw/LawArticle.aspx?LawID=G0100277 (accessed on 26 April 2024).
- Mungroo, S.; Choi, S.D. Ergonomic assessment of work-related musculoskeletal risks among construction roofers in central Trinidad. Int. J. Environ. Res. 2018, 14, 322. [Google Scholar]
- Šolc, M.; Blaško, P.; Girmanová, L.; Kliment, J. The development trend of the occupational health and safety in the context of ISO 45001:2018. Standards 2022, 2, 294–305. [Google Scholar] [CrossRef]
- Yoon, S.J.; Lin, H.K.; Chen, G.; Yi, S.; Choi, J.; Rui, Z. Effect of occupational health and safety management system on work-related accident rate and differences of occupational Health and safety management system awareness between managers in South Korea’s construction industry. Saf. Health Work 2013, 4, 201–209. [Google Scholar] [CrossRef] [PubMed]
- Fuoli, M. Building a trustworthy corporate identity: A corpus-based analysis of stance in annual and corporate social responsibility reports. Appl. Linguist. 2017, 39, 846–885. [Google Scholar] [CrossRef]
- Taipei Exchange (TPEx). Rules Governing the Preparation and Filing of Corporate Social Responsibility Reports by TPEx Listed Companies (4 December 2014). Available online: https://www.selaw.com.tw/SFIWebSeLaw/Chinese/RegulatoryInformationResult/Article?__RequestVerificationToken=CfDJ8NlUpwR1d9lKo5uiSM8ZBKfbwjABUx6tbQXYcvl7I0NbG6pRcPHFsx3G96GE_R-Mn83vEMhjzV3rRI3CicWwI8uRgTIuzxFXaM3FjMO0ZZPmeVoYqJvMKILlahlkQ43O5vt4s7H1cX2_sxr8Rw6siSc&lawId=195410 (accessed on 26 April 2024).
- Taipei Exchange (TPEx). Rules Governing the Preparation and Filing of Sustainability Reports by TPEx Listed Companies (31 January 2024). Available online: https://www.selaw.com.tw/SFIWebSeLaw/Chinese/RegulatoryInformationResult?lawId=306995 (accessed on 26 April 2024).
- Taiwan Stock Exchange (TWSE). Rules Governing the Preparation and Filing of Corporate Social Responsibility Reports by TWSE Listed Companies (26 November 2014). Available online: https://www.selaw.com.tw/SFIWebSeLaw/Chinese/RegulatoryInformationResult/Article?__RequestVerificationToken=CfDJ8NlUpwR1d9lKo5uiSM8ZBKd2NW2fD4jNefibf16cd8bSb_1xyjkYNnDbm9I-afUIQ1a-U2wq0DSXuFxsaxB4fYDnIIl_kQrFh2c6o8mfWpFEaYt7EqszRKkmA77YSrT1qmMlm_aN7yF9We6rXHy37YU&lawId=195475 (accessed on 26 April 2024).
- Taiwan Stock Exchange (TWSE). Rules Governing the Preparation and Filing of Sustainability Reports by TWSE Listed Companies (26 January 2024). Available online: https://www.selaw.com.tw/SFIWebSeLaw/Chinese/RegulatoryInformationResult/History?__RequestVerificationToken=CfDJ8NlUpwR1d9lKo5uiSM8ZBKci17niY_lIyJf4F1XLpLlwKGvl5gs9b53R_mGRyEm3EQZgKWNZtdd15HiFgaGU7v-kT2XDvUQmlsS0GUSE4P_Qk0Kvgwkj7Kb7bud0-w0fNo-vBP2xt_BjnVUlw-91Djg&lawId=306959 (accessed on 26 April 2024).
- Global Reporting Initiative (GRI). Global Reporting Initiative Standard. 2021. Available online: https://www.globalreporting.org/standards/ (accessed on 11 October 2023).
- Tokyo Stock Exchange. Japan’s Corporate Governance Code 2021. Available online: https://www.jpx.co.jp/english/ (accessed on 22 April 2024).
- eXtensible Business Reporting Language (XBRL). South Korea Delays ESG Disclosure Mandates. 2021. Available online: https://insights.slaughterandmay.com/apac-esg-south-korea/index.html (accessed on 22 April 2024).
- Korea Exchange. ESG Disclosure Guideline 2021. Available online: https://esg.krx.co.kr/contents/04/04010000/ESG04010000.jsp (accessed on 22 April 2024).
- Financial Supervisory Commisson, Taiwan. The Financial Supervisory Commission Issued the “Sustainability Action Plan for Listed Companies. 2023. Available online: https://www.fsc.gov.tw/ch/home.jsp?id=96&parentpath=0,2&mcustomize=news_view.jsp&dataserno=202303280001&dtable=News (accessed on 22 April 2024).
- Alsayegh, M.F.; Abdul Rahman, R.; Homayoun, S. Corporate economic, environmental, and social sustainability performance transformation through ESG disclosure. Sustain. Sci. 2020, 12, 3910. [Google Scholar] [CrossRef]
- Siddiqui, F.; YuSheng, K.; Tajeddini, K. The role of corporate governance and reputation in the disclosure of corporate social responsibility and firm performance. Heliyon 2023, 9, e16055. [Google Scholar] [CrossRef]
- Akram, A.; Tang, Y.; Tariq, J. Unveiling the effectiveness of agency cost and firms’ size as moderators between CSR disclosure and firms’ growth. Front. Psychol. 2020, 11, 1624. [Google Scholar] [CrossRef]
- Malik, M.S.; Kanwal, L. Impact of corporate social responsibility disclosure on financial performance: Case study of listed pharmaceutical firms of pakistan. J. Bus. Ethics 2018, 150, 69–78. [Google Scholar] [CrossRef]
- Market Observation Post System. Corporate ESG Related Information. Available online: https://mops.twse.com.tw/mops/web/t100sb11# (accessed on 10 July 2023).
- Global Reporting Initiative (GRI). Global Reporting Initiative 403: Occupational Health and Safety. Available online: https://www.globalreporting.org/how-to-use-the-gri-standards/gri-standards-english-language/ (accessed on 15 September 2023).
- Occupational Safety and Health Administration; Ministry of Labor, Taiwan. Major Occupational Accident Disclosure. Available online: https://pacs.osha.gov.tw/2875/ (accessed on 1 March 2024).
- Global Reporting Initiative (GRI). Global Reporting Initiative 103: Management Approach. Available online: https://www.globalreporting.org/standards/media/1038/gri-103-management-approach-2016.pdf (accessed on 15 September 2023).
- Market Observation Post System. Annual Reports and Shareholder Meeting Materials (Including Information on Depositary Receipts). Available online: https://mops.twse.com.tw/mops/web/t57sb01_q5 (accessed on 1 March 2024).
- de Oliveira, B.H.; Nadanovsky, P. Psychometric properties of the brazilian version of the oral health impact profile–short form. Commun. Dent. Oral Epidemiol. 2005, 33, 307–314. [Google Scholar] [CrossRef] [PubMed]
- Radovanovic, C.A.; Alexandre, N.M. Validation of an instrument for patient handling assessment. Appl. Ergon. 2004, 35, 321–328. [Google Scholar] [CrossRef] [PubMed]
- Hee, O.C. Validity and reliability of the customer-oriented behaviour scale in the health tourism hospitals in Malaysia. Int. J. Caring Sci. 2014, 7, 771–775. [Google Scholar]
- Polgar, S.; Thomas, S.A. Introduction to Research in the Health Sciences e-Book; Elsevier Health Sciences: Amsterdam, The Netherlands, 2011. [Google Scholar]
- Landis, J.R.; Koch, G.G. The measurement of observer agreement for categorical data. Biometrics 1977, 33, 159–174. [Google Scholar] [CrossRef] [PubMed]
- Ministry of Labor, Taiwan. Occupational Safety and Health Management Regulations (5 January 2022). Available online: https://law.moj.gov.tw/LawClass/LawAll.aspx?pcode=N0060027 (accessed on 26 April 2024).
- Ministry of Labor, Taiwan. Construction Industry Act (19 June 2019). Available online: https://law.moj.gov.tw/LawClass/LawAll.aspx?pcode=D0070110 (accessed on 26 April 2024).
- Ministry of Labor, Taiwan. Construction Safety and Health Facility Standard (26 June 2014). Available online: https://law.moj.gov.tw/LawClass/LawOldVer.aspx?pcode=N0060014&lnndate=20140626&lser=001 (accessed on 26 April 2024).
- Dewi, A.A.; Saraswati, E.; Rahman, A.F.; Atmini, S. Materiality, stakeholder engagement disclosure, and corporate governance: Critical elements for the quality of sustainability reporting. Cogent Bus. 2023, 10, 2175437. [Google Scholar] [CrossRef]
- Koskela, M. Occupational health and safety in corporate social responsibility reports. Saf. Sci. 2014, 68, 294–308. [Google Scholar] [CrossRef]
- Ali, W.; Faisal Alsayegh, M.; Ahmad, Z.; Mahmood, Z.; Iqbal, J. The relationship between social visibility and CSR disclosure. Sustain. Sci. 2018, 10, 866. [Google Scholar] [CrossRef]
- Taylor, A.W.; Pilkington, R.; Montgomerie, A.; Feist, H. The role of business size in assessing the uptake of health promoting workplace initiatives in Australia. BMC Public Health 2016, 16, 1–8. [Google Scholar] [CrossRef]
- Salguero-Caparrós, F.; Pardo-Ferreira, M.D.C.; Martínez-Rojas, M.; Rubio-Romero, J.C. Management of legal compliance in occupational health and safety. A literature review. Saf. Sci. 2020, 121, 111–118. [Google Scholar] [CrossRef]
- Fernández-Muñiz, B.; Montes-Peón, J.M.; Vázquez-Ordás, C.J. Occupational risk management under the OHSAS 18001 standard: Analysis of perceptions and attitudes of certified firms. J. Clean. Prod. 2012, 24, 36–47. [Google Scholar] [CrossRef]
- Yusri, Y.; Amran, A. The Importance of Workplace Disclosure: Perspectives of Management and Employees. Bus. Manag. J. 2015, 1, 34–50. [Google Scholar]
- Ministry of Economic Affairs. The Number of Currently Registered Companies. Available online: https://dmz26.moea.gov.tw/GA/common/Common.aspx?code=F&no=1 (accessed on 25 April 2024).
| Aspects and Indicators | 2013 (N = 2) | 2014 (N = 10) | 2015 (N = 11) | 2016 (N = 19) | 2017 (N = 20) | 2018 (N = 21) | 2019 (N = 21) | 2020 (N = 24) |
|---|---|---|---|---|---|---|---|---|
| 1. Recognitions | ||||||||
| 1.1 Occupational safety and health chapter | 2 (100%) | 9 (90%) | 10 (91%) | 18 (95%) | 18 (90%) | 19 (90%) | 20 (95%) | 23 (96%) |
| 1.2 Material topics | 1 (50%) | 8 (80%) | 10 (91%) | 18 (95%) | 19 (95%) | 20 (95%) | 20 (95%) | 23 (96%) |
| 1.3 Occupational safety as a material topic | 1 (50%) | 6 (60%) | 4 (36%) | 13 (68%) | 14 (70%) | 15 (71%) | 15 (71%) | 21 (88%) |
| 1.4 Occupational health as a material topic | 1 (50%) | 6 (60%) | 5 (45%) | 12 (63%) | 12 (60%) | 14 (67%) | 15 (71%) | 20 (83%) |
| 2. Goals | ||||||||
| 2.1 Occupational safety goals | 0 (0%) | 5 (50%) | 6 (55%) | 11 (58%) | 12 (60%) | 13 (62%) | 15 (71%) | 18 (75%) |
| 2.2 Occupational health goals | 0 (0%) | 0 (0%) | 0 (0%) | 0 (0%) | 0 (0%) | 0 (%) | 0 (0%) | 1 (4%) |
| 2.3 ESG/SDGs | 0 (0%) | 1 (10%) | 2 (18%) | 7 (37%) | 12 (60%) | 15 (71%) | 16 (76%) | 20 (83%) |
| 3. Measures | ||||||||
| 3.1 Occupational safety education | 1 (50%) | 7 (70%) | 7 (64%) | 14 (74%) | 17 (85%) | 18 (86%) | 18 (86%) | 21 (88%) |
| 3.2 Occupational health education | 0 (0%) | 3 (30%) | 3 (29%) | 7 (37%) | 7 (35%) | 8 (38%) | 7 (33%) | 13 (54%) |
| 3.3 Occupational safety and health committee | 0 (0%) | 3 (30%) | 3 (27%) | 7 (37%) | 7 (35%) | 8 (38%) | 8 (38%) | 9 (38%) |
| 3.4 Occupational health and safety management system | 0 (0%) | 2 (20%) | 3 (27%) | 5 (26%) | 6 (30%) | 7 (33%) | 7 (33%) | 8 (33%) |
| 3.5 Mental health support | 0 (0%) | 0 (0%) | 1 (9%) | 0 (0%) | 3 (15%) | 3 (14%) | 2 (10%) | 4 (17%) |
| 4. Outcomes | ||||||||
| 4.1 Occupational accident-related outcomes | 1 (50%) | 8 (80%) | 8 (73%) | 15 (79%) | 15 (75%) | 17 (81%) | 18 (86%) | 21 (88%) |
| 4.2 Quantitative data on occupational injury and illness | 0 (0%) | 7 (70%) | 6 (55%) | 12 (63%) | 13 (65%) | 14 (67%) | 17 (81%) | 14 (58%) |
| 4.3 Near miss | 0 (0%) | 0 (0%) | 0 (0%) | 0 (0%) | 1 (5%) | 1 (5%) | 1 (5%) | 2 (8%) |
| Aspects and Indicators | Total | Company Size | ||
|---|---|---|---|---|
| Small | Large | p Value | ||
| 1. Recognitions | ||||
| 1.1 Occupational safety and health chapter | 3.60 (0.42) | 4.00 (0.69) | 3.09 (0.34) | 0.230 |
| 1.2 Material topics | 3.92 (0.43) | 4.50 (0.70) | 3.18 (0.33) | 0.088 |
| 1.3 Occupational safety as a material topic | 4.76 (0.49) | 5.21 (0.75) | 4.18 (0.58) | 0.108 |
| 1.4 Occupational health as a material topic | 4.80 (0.50) | 5.21 (0.75) | 4.27 (0.62) | 0.125 |
| 2. Goals | ||||
| 2.1 Occupational safety goals | 5.24 (0.50) | 6.21 (0.61) | 4.00 (0.68) | 0.046 |
| 2.2 Occupational health goals | 8.00 a (*) | 8.00 b (*) | 8.00 a (*) | 0.259 |
| 2.3 ESG/SDGs | 5.88 (0.38) | 6.57 (0.55) | 5.00 (0.40) | 0.008 |
| 3. Measures | ||||
| 3.1 Occupational safety education | 4.32 (0.56) | 5.07 (0.72) | 3.36 (0.36) | 0.027 |
| 3.2 Occupational health education | 6.20 (0.46) | 6.86 (0.65) | 5.36 (0.60) | 0.035 |
| 3.3 Occupational safety and health committee | 6.20 (0.47) | 7.00 (0.51) | 4.54 (0.54) | 0.105 |
| 3.4 Occupational health and safety management system | 6.80 (0.44) | 7.86 (0.19) | 4.09 (0.38) | 0.017 |
| 3.5 Mental health support | 7.20 (0.32) | 7.64 (0.49) | 5.55 (0.22) | 0.093 |
| 4. Outcomes | ||||
| 4.1 Occupational accident-related outcomes | 4.36 (0.48) | 5.14 (0.73) | 3.36 (0.43) | 0.028 |
| 4.2 Quantitative data on occupational injury and illness | 4.96 (0.48) | 5.86 (0.68) | 3.82 (0.52) | 0.007 |
| 4.3 Near miss | 7.88 (0.17) | 8.00 a (*) | 5.00 (*) | 0.838 |
| Company ID | Year | Affiliation Status | Number of Major Occupational Accidents | Disclosure of Major Occupational Accidents | Detailed Explanation of the Occurrence of Major Occupational Accidents | Disclosure of Reviews and Preventive Measures |
|---|---|---|---|---|---|---|
| 1 | 2017 | Business owner | 1 | No | No | No |
| 2 | 2017 | Business owner | 1 | No | No | No |
| 3 | 2018 | Business owner | 1 | No | No | No |
| 4 | 2018 | Public institutions | 1 | Yes | No | Yes |
| 5 | 2018 | Business owner | 1 | Yes | No | Yes |
| 6 | 2018 | Public institutions | 1 | Yes | No | No |
| 7 | 2019 | Public institutions | 4 | Yes | No | No |
| 8 | 2019 | Business owner | 1 | Yes | No | Yes |
| 9 | 2019 | Public institutions | 1 | Yes | No | Yes |
| 10 | 2019 | Business owner | 1 | No | No | No |
| 11 | 2019 | Business owner | 1 | No | No | No |
Disclaimer/Publisher’s Note: The statements, opinions and data contained in all publications are solely those of the individual author(s) and contributor(s) and not of MDPI and/or the editor(s). MDPI and/or the editor(s) disclaim responsibility for any injury to people or property resulting from any ideas, methods, instructions or products referred to in the content. |
© 2024 by the authors. Licensee MDPI, Basel, Switzerland. This article is an open access article distributed under the terms and conditions of the Creative Commons Attribution (CC BY) license (https://creativecommons.org/licenses/by/4.0/).
Share and Cite
Chang, C.-W.; Nagata, T.; Anthony, L.E.; Lin, R.-T. Evolution of Occupational Safety and Health Disclosure Practices: Insights from 8 Years in Taiwan’s Construction Industry. Safety 2024, 10, 46. https://doi.org/10.3390/safety10020046
Chang C-W, Nagata T, Anthony LE, Lin R-T. Evolution of Occupational Safety and Health Disclosure Practices: Insights from 8 Years in Taiwan’s Construction Industry. Safety. 2024; 10(2):46. https://doi.org/10.3390/safety10020046
Chicago/Turabian StyleChang, Chieh-Wen, Tomohisa Nagata, Louise E. Anthony, and Ro-Ting Lin. 2024. "Evolution of Occupational Safety and Health Disclosure Practices: Insights from 8 Years in Taiwan’s Construction Industry" Safety 10, no. 2: 46. https://doi.org/10.3390/safety10020046
APA StyleChang, C.-W., Nagata, T., Anthony, L. E., & Lin, R.-T. (2024). Evolution of Occupational Safety and Health Disclosure Practices: Insights from 8 Years in Taiwan’s Construction Industry. Safety, 10(2), 46. https://doi.org/10.3390/safety10020046

