Quality Assurance of Steel Slag Asphalt Mixtures for Sustainable Pavement Surface Courses
Abstract
1. Introduction
2. Materials and Methods
2.1. Materials
2.2. Methods
2.2.1. Laboratory Testing
2.2.2. In Situ Testing
2.2.3. Life Cycle Assessment
- Acidification (mol H+ eq);
- Climate change (kg CO2 eq);
- Eutrophication, marine (kg N eq);
- Eutrophication, freshwater (kg P eq);
- Eutrophication, terrestrial (mol N eq);
- Ozone depletion (kg CFC11 eq);
- Photochemical ozone formation—human health (kg NMVOC eq);
- Resource use, fossils (MJ);
- Resource use, minerals and metals (kg Sb eq);
- Water use (m3 depriv.).
3. Results and Discussion
3.1. Laboratory Testing
3.1.1. ITSM Results
3.1.2. Rutting Performance Results
3.2. In Situ Testing
3.2.1. FWD Results
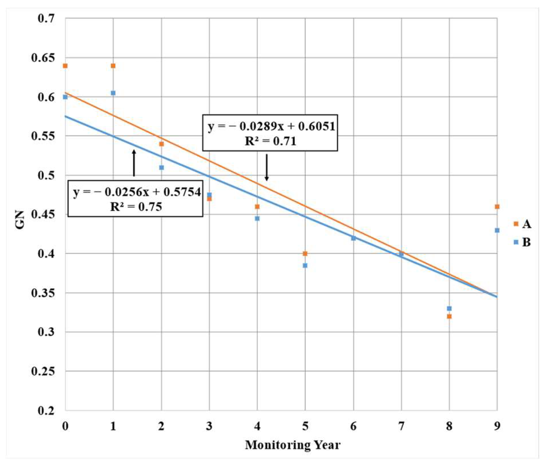
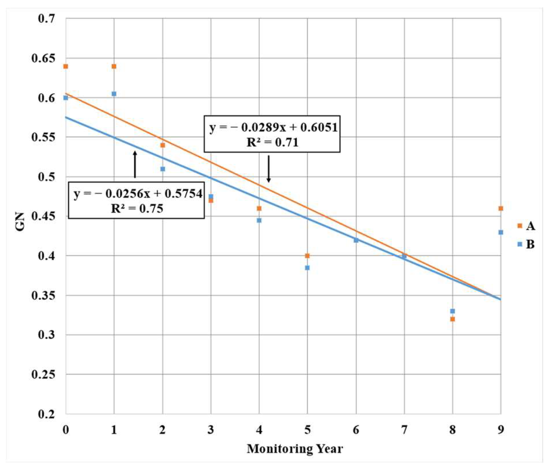
3.2.2. GT Results
3.2.3. LCA Results
4. Conclusions
- ■
- Laboratory and in situ tests have shown that asphalt mixtures containing only VA (mix A) and VA with EAF slag as an additive (mix B) exhibit comparable behavior in terms of mechanical and functional properties.
- ■
- In general, the mechanical properties of mixtures A and B are equivalent. However, at higher temperatures, mix B has a greater stiffness modulus than mix A.
- ■
- In terms of rut resistance, mix B is slightly more susceptible to deformation due to wheel tracking compared to conventional asphalt mix.
- ■
- FWD field measurements showed that the pavement sections with EAF aggregates are structurally equivalent to those with VA in both highway sections investigated.
- ■
- The skid resistance of sections with EAF aggregate and only A is equally high over a measurement period of ten years.
- ■
- The LCA study proves that the use of EAF aggregates instead of VA in asphalt surface courses could reduce the impact of environmental phenomena such as acidification, climate change, eutrophication and photochemical pollution.
Author Contributions
Funding
Data Availability Statement
Conflicts of Interest
References
- Plati, C.; Pomoni, M.; Georgouli, K. Quantification of skid resistance seasonal variation in asphalt pavements. J. Traffic Transp. Eng. 2020, 7, 237–248. [Google Scholar] [CrossRef]
- Ferreira, W.L.G.; Castelo Branco, V.T.F.; Caro, S.; Vasconcelos, K. Analysis of water flow in an asphalt pavement surface layer with different thicknesses and different permeability coefficients. Road Mater. Pavement Des. 2019, 22, 82–100. [Google Scholar] [CrossRef]
- Mashaan, N. Engineering Characterization of Wearing Course Materials Modified with Waste Plastic. Recycling 2022, 7, 61. [Google Scholar] [CrossRef]
- United Nations, Department of Economic and Social Affairs—Sustainable Development. Transforming Our World: The 2030 Agenda for Sustainable Development. 2015. Available online: https://sdgs.un.org/2030agenda (accessed on 1 August 2024).
- UEPG. Annual Review for 2020–2021; European Aggregates Association: Brussels, Belgium, 2021. [Google Scholar]
- Purchase, C.K.; Al Zulayq, D.M.; O’Brien, B.T.; Kowalewski, M.J.; Berenjian, A.; Tarighaleslami, A.H.; Seifan, M. Circular Economy of Construction and Demolition Waste: A Literature Review on Lessons, Challenges, and Benefits. Materials 2022, 15, 76. [Google Scholar] [CrossRef] [PubMed]
- World Steel Association. World Steel in Figures 2022—Concise Version; finalized April 2022; World Steel Association: Brussels, Belgium, 2022. [Google Scholar]
- Pasetto, M.; Baldo, N. Experimental evaluation of high performance base course and road base asphalt concrete with electric arc furnace steel slags. J. Hazard. Mater. 2010, 181, 938–948. [Google Scholar] [CrossRef] [PubMed]
- Asi, I.M.; Qasrawi, H.Y.; Shalabi, F.I. Use of steel slag aggregate in asphalt concrete mixes. Can. J. Civ. Eng. 2007, 34, 902–911. [Google Scholar] [CrossRef]
- Arabani, M.; Mirabdolazimi, S.M.; Sasani, A.R. The effect of waste tire thread mesh on the dynamic behavior of asphalt mixtures. Constr. Build. Mater. 2010, 24, 1060–1068. [Google Scholar] [CrossRef]
- Kavussi, A.; Qazizadeh, M.J. Fatigue characterization of asphalt mixes containing electric arc furnace (EAF) steel slag subjected to long term aging. Constr. Build. Mater. 2014, 72, 158–166. [Google Scholar] [CrossRef]
- Wen, H.; Wu, S.; Bhusal, S. Performance evaluation of asphalt mixes containing steel slag aggregate as a measure to resist studded tire wear. J. Mater. Civ. Eng. 2015, 28, 04015191. [Google Scholar] [CrossRef]
- Liapis, I.; Likoydis, S. Use of Electric Arc Furnace slag in thin skid-resistant surfacing. Procedia Soc. Behav. Sci. 2012, 48, 907–918. [Google Scholar] [CrossRef]
- Pattanaik, M.L.; Choudhary, R.; Kumar, B.; Kumar, A. Mechanical properties of open graded friction course mixtures with different contents of electric arc furnace steel slag as an alternative aggregate from steel industries. Road Mater. Pavement Des. 2019, 22, 268–292. [Google Scholar] [CrossRef]
- Autelitano, F.; Giuliani, F. Optimization of electric arc furnace aggregates replacement in dense-graded asphalt wearing courses. Int. J. Pavement Res. Technol. 2021, 14, 309–317. [Google Scholar] [CrossRef]
- Gowda, K.N.C.; Naveen, G.M. Laboratory performance of asphalt mixtures incorporating electric arc furnace slag and basic oxygen furnace slag as partial replacement for conventional aggregates. Energy Ecol. Environ. 2023, 8, 586–595. [Google Scholar] [CrossRef]
- de Pascale, B.; Tataranni, P.; Lantieri, C.; Bonoli, A.; Vignali, V. Mechanical performance and environmental assessment of porous asphalt mixtures produced with EAF steel slags and RAP aggregates. Constr. Build. Mater. 2023, 400, 132889. [Google Scholar] [CrossRef]
- Mladenovič, A.; Turk, J.; Kovač, J.; Mauko, A.; Cotič, Z. Environmental evaluation of two scenarios for the selection of materials for asphalt wearing courses. J. Clean. Prod. 2015, 87, 683–691. [Google Scholar] [CrossRef]
- Ferreira, V.J.; Sáez-De-Guinoa Vilaplana, A.; García-Armingol, T.; Aranda-Usón, A.; Lausín-González, C.; López-Sabirón, A.M.; Ferreira, G. Evaluation of the steel slag incorporation as coarse aggregate for road construction: Technical requirements and environmental impact assessment. J. Clean. Prod. 2016, 130, 175–186. [Google Scholar] [CrossRef]
- Esther, L.-A.; Pedro, L.-G.; Irune, I.-V.; Gerardo, F. Comprehensive analysis of the environmental impact of electric arc furnace steel slag on asphalt mixtures. J. Clean. Prod. 2020, 275, 123121. [Google Scholar] [CrossRef]
- ΕΝ 12697-6; Bituminous Mixtures—Test Methods—Part 6: Determination of Bulk Density of Bituminous Specimens. European Committee Standardization: Brussels, Belgium, 2020.
- EN 12697-5; Bituminous Mixtures—Test Methods—Part 5: Determination of the Maximum Density. European Committee Standardization: Brussels, Belgium, 2018.
- EN 12697-8; Bituminous Mixtures—Test Methods—Part 8: Determination of Void Characteristics of Bituminous Specimens. European Committee Standardization: Brussels, Belgium, 2018.
- EN 1097-6; Tests for Mechanical and Physical Properties of Aggregates—Part 6: Determination of Particle Density and Water Absorption. European Committee Standardization: Brussels, Belgium, 2022.
- EN 1426; Bitumen and Bituminous Binders—Determination of Needle Penetration. European Committee Standardization: Brussels, Belgium, 2015.
- EN 1427; Bitumen and Bituminous Binders—Determination of the Softening Point—Ring and Ball Method. European Committee Standardization: Brussels, Belgium, 2015.
- EN 12697-26; Bituminous Mixtures—Test Methods—Part 26: Stiffness. European Committee Standardization: Brussels, Belgium, 2018.
- EN 12697-22; Bituminous Mixtures—Test Methods—Part 22: Wheel Tracking. European Committee Standardization: Brussels, Belgium, 2020.
- Hakim, B.; Brown, S. Pavement Analysis Using the FWD: Practical Difficulties and Proposed Simplifications. In Proceedings of the 10th International Conference on Asphalt Pavements, Quebec City, QC, Canada, 12–17 August 2006. [Google Scholar]
- ASTM E1844-08; Standard Specification for a Size 10 × 4–5 Smooth-Tread Friction Test Tire. ASTM International: West Conshohocken, PA, USA, 2020.
- Alaloul, W.S.; Altaf, M.; Musarat, M.A.; Javed, M.F.; Mosavi, A. Systematic Review of Life Cycle Assessment and Life Cycle Cost Analysis for Pavement: A Case Study. Sustainability 2021, 13, 4377. [Google Scholar] [CrossRef]
- ISO.14044; 2006 Environmental Management—Life Cycle Assessment—Requirements and Guidelines. International Organization for Standardization: Geneva, Switzerland, 2006.
- Plati, C.; Tsakoumaki, M. Life Cycle Assessment (LCA) of Alternative Pavement Rehabilitation Solutions: A Case Study. Sustainability 2023, 15, 2129. [Google Scholar] [CrossRef]
- Environmental Footprint (EF) 2.0. Database Provided by GREENDELTA. 2020. Available online: https://nexus.openlca.org/database/Environmental%20Footprints (accessed on 31 July 2024).
- openLCA 2.2. Software and User Guide by GREENDELTA. 2024. Available online: https://www.openlca.org/download/ (accessed on 31 July 2024).













| Properties | Standard | Mixture A | Mixture B |
|---|---|---|---|
| Bulk density (kg/m3) | ΕΝ 12697-6 [21] | 2395 | 2605 |
| Maximum density (kg/m3) | ΕΝ 12697-5 [22] | 2670 | 2924 |
| Void content (%) | ΕΝ 12697-8 [23] | 10.3 | 10.9 |
| Properties | Standard | PMB |
|---|---|---|
| Penetration at 25 °C (pen) | EN 1426 [25] | 25/55 |
| Softening point (°C) | EN 1427 [26] | 70 |
| Materials | Aggregate Mixture A | Aggregate Mixture B | Bulk Density (kg/m3) | Water Absorption (%) |
|---|---|---|---|---|
| Gabbro 11–16 mm | 10% | - | 2957 | 0.790 |
| Gabbro 4–11 mm | 60% | - | 2955 | 1.039 |
| EAF 11–16 mm | - | 10% | 3442 | 1.644 |
| EAF 4–11 mm | - | 60% | 3418 | 1.990 |
| Sand 0–4 mm | 30% | 30% | 2710 | 1.150 |
| Aggregate mixture A | 2877 | 1.036 | ||
| Aggregate mixture B | 3172 | 1.605 |
| No Sieve | Passing Percentage | |
|---|---|---|
| Aggregate Mixture A | Aggregate Mixture B | |
| 40 | 100 | 100 |
| 31.5 | 100 | 100 |
| 20 | 100 | 100 |
| 12.5 | 92.6 | 91 |
| 10 | 70.5 | 69.5 |
| 4 | 30.4 | 30.4 |
| 2 | 22.7 | 23.2 |
| 1 | 15.1 | 15.5 |
| 0.25 | 5.9 | 6.2 |
| 0.063 | 3.1 | 3.1 |
| Impact Category | Unit | VA Production | EAF Production | Value Difference |
|---|---|---|---|---|
| Acidification | mol H+ eq | 0.03 | 0.018 | +0.014 |
| Climate change | kg CO2 eq | 5.93 | 4.38 | +1.55 |
| Eutrophication, marine | kg N eq | 0.011 | 0.003 | +0.008 |
| Eutrophication, freshwater | kg P eq | 0.037 × 10−3 | 3.6 × 10−3 | −0.0036 |
| Eutrophication, terrestrial | mol N eq | 0.12 | 0.022 | +0.1 |
| Ozone depletion | kg CFC11 eq | 0.0041 × 10−7 | 6.2 × 10−7 | −6.2 × 10−7 |
| Photochemical ozone formation—human health | kg NMVOC eq | 0.031 | 0.008 | +0.02 |
| Resource use, fossils | MJ | 74.5 | 70.9 | +3.6 |
| Resource use, minerals and metals | kg Sb eq | 0.99 × 10−6 | 5.7 × 10−6 | −4.7 × 10−6 |
| Water use | m3 depriv. | 0.56 | 1.34 | −0.78 |
Disclaimer/Publisher’s Note: The statements, opinions and data contained in all publications are solely those of the individual author(s) and contributor(s) and not of MDPI and/or the editor(s). MDPI and/or the editor(s) disclaim responsibility for any injury to people or property resulting from any ideas, methods, instructions or products referred to in the content. |
© 2024 by the authors. Licensee MDPI, Basel, Switzerland. This article is an open access article distributed under the terms and conditions of the Creative Commons Attribution (CC BY) license (https://creativecommons.org/licenses/by/4.0/).
Share and Cite
Plati, C.; Tsakoumaki, M.; Loizos, A. Quality Assurance of Steel Slag Asphalt Mixtures for Sustainable Pavement Surface Courses. Recycling 2024, 9, 91. https://doi.org/10.3390/recycling9050091
Plati C, Tsakoumaki M, Loizos A. Quality Assurance of Steel Slag Asphalt Mixtures for Sustainable Pavement Surface Courses. Recycling. 2024; 9(5):91. https://doi.org/10.3390/recycling9050091
Chicago/Turabian StylePlati, Christina, Maria Tsakoumaki, and Andreas Loizos. 2024. "Quality Assurance of Steel Slag Asphalt Mixtures for Sustainable Pavement Surface Courses" Recycling 9, no. 5: 91. https://doi.org/10.3390/recycling9050091
APA StylePlati, C., Tsakoumaki, M., & Loizos, A. (2024). Quality Assurance of Steel Slag Asphalt Mixtures for Sustainable Pavement Surface Courses. Recycling, 9(5), 91. https://doi.org/10.3390/recycling9050091

