Abstract
The mechanical and thermal properties of injection-molded recycled polyethylene were studied, specifically with respect to the influence of large-scale washing and melt-compounding of polyethylene from post-consumer packaging waste. Three types of materials were studied: those taken after sorting, after sorting and washing, and after sorting, washing, and melt-compounding, including melt-filtration, all from a large-scale material flow. The materials were further processed on a laboratory scale and compared. The results showed that large-scale washing significantly reduced thermo-oxidative stability, as well as molar mass and melt viscosity. The degradation during large-scale washing made the material susceptible to further degradation in the subsequent extrusion compounding, as shown by the differences in compounding at 240 and 200 °C using a high-shear screw configuration. The compounding parameters, screw configuration, and compounding temperature did not influence the stiffness and strength of the unwashed and large-scale-washed materials, but the elongation-at-break varied, specifically, with the increased temperature. Washing had an influence on the mechanical properties as well, and the unwashed material provided molded samples with stiffness measurements of approximately 550 MPa, whereas the large-scale-washed material provided stiffness of approximately 400 MPa. The strength measurements were approximately 15 MPa for samples made of both unwashed and large-scale-washed material, and the elongation-at-break measurements were between 50 and 150%. The large-scale-washed and compounded materials had very different mechanical properties, with stiffness measurements of approximately 320 MPa, strength of approximately 20 MPA, and elongation-at-break of approximately 350%. The significantly different mechanical properties of the large-scale-washed and compounded materials were likely due to the melt-filtration included in the compounding through the removal of metal and rubber particles, and they may also have been due to the compatibilizing and stabilizing additive used in the compounding.
1. Introduction
Interest in plastics recycling has increased, primarily with an emphasis on an improved waste management. There has been exponential growth in global annual plastics production, which is expected in 2050 to reach four times the volume of that produced in 2014, which was 311 million tons [1]. Plastics packaging is the largest contributing factor, creating short-lived products in the post-consumer plastics waste stream, and it has been so for many decades. An ambitious target has been set by Directive (EU) 2018/852 to increase the rate of recycling of post-consumer plastic packaging waste (pcppw) to 55% by 2030 [2]. The current recycling rates are low, and a study by Antonopoulos et al. suggested that the current rate of progress may be insufficient to fulfil the stated EU goal for the recycling of pcppw [3]. In this situation, it is interesting to increase our knowledge of the properties of materials made of real plastic waste and to better understand how recycling processes influence these properties.
Flexible packaging, primarily consisting of single-use products, has been the fastest growing and most challenging segment of the plastic packaging industry with regard to recyclability [4]. In addition to monolayer products (one layer of the same type of polymer), flexible packaging contains many multilayer films (several layers of different types of polymers, and sometimes non-polymeric materials, as well) which are more complex and difficult to recycle [5,6]. A variety of additives are included during their processing, e.g., antioxidants, photo-stabilizers, flame retardants, heat stabilizers, plasticizers, compatibilizers, fillers, dyes, and pigments, and this increases their complexity even more [7]. In the literature it is suggested that the commonly used additives in film products are fatty acids, which are used as slip agents, and polyethylene glycol esters, which are used as antistatic additives [8]. Even though low-density polyethylene (LDPE) and linear low-density polyethylene (LLDPE) account for a significant amount of the polymers used in flexible packaging, packaging is also made of medium-density and high-density polyethylene (MDPE and HDPE), polypropylene (PP), polyethylene terephthalate (PET), polystyrene (PS), expanded polystyrene (EPS), and polyvinylchloride (PVC), and it may also consist of blends of polymers, which can lead to cross-contamination and miscibility problems [9,10,11]. Due to the comingled character of waste in collection schemes and the typically high levels of contamination, increasing the recovery rate of flexible packaging is not a straight-forward task [11,12,13].
There is also an interest in increasing quality of the packaging’s next application as a new product, and this means that treatment of the waste fractions, such as the removal of unwanted contaminants, is necessary [7,14]. In the mechanical recycling process, washing is typically applied after the sorting step, where the mixed waste is separated with respect to polymer type, e.g., an LDPE stream, an HDPE stream, a PP stream, etc. [15,16]. Several studies have analyzed the effects of washing on plastic waste, and some of them have assessed the possible degradation that occurs during the washing process [17,18,19,20,21,22]. It has been shown that the temperature, time, and washing agent (type and amount) are important for achieving effective cleaning, but their influence on the degradation of the recycled material was not assessed. In one study, it was reported that the degradation of recycled HDPE was accelerated by residues of NaOH [19].
Other factors that have been found to influence the properties of the recycled materials include the impurity level [23], blending the recycled components with either virgin material or material of a different grade, the type of polymer [24,25], and the source of the waste (e.g., mixed municipal solid waste or source-separated household waste) [26,27]. Studies regarding the influence of melt-processing parameters on the properties of recycled materials are, however, scarce. To the best of our knowledge, there are few publications that have researched the mechanical properties of unwashed and non-treated post-consumer flexible PE packaging waste and the effects of washing.
This work aims to describe the development of thermal and mechanical properties during the recycling of post-consumer flexible PE waste originating from mixed municipal solid waste (MSW) sorted on a large scale in Norway. Specifically, the influences of compounding temperature and screw design on sorted unwashed plastic waste were investigated, as was the influence of combined washing and melt-processing on the properties of recycled material. The results were compared with those for industrially recycled pellets of the same sorted fractions.
2. Materials and Methods
A bale of approximately 700 kg of sorted flexible PE (PE-2D) packaging waste originating from mixed municipal solid waste was received in March 2021 from a large-scale recycling plant in Norway. A sample of approximately 60 kg of industrially washed flakes and a sample of approximately 10 kg of washed, compounded, and melt-filtered pellets of the same fractions were supplied by the same company, and they are hereinafter referred to as “industrially washed” material and “industrially recycled” material, respectively. The industrially washed material was prepared by shredding with a screen size of 60–80 mm and magnetic separation. The industrial washing consisted of pre-washing at room temperature, wet grinding, friction washing with NaOH and defoamer at 70–80 °C, rinsing at room temperature, centrifuging, dewatering, and thermal drying, and the whole washing process took 30 min. The washed flakes were then extrusion-compounded, including filtration with a 120 μm mesh screen, and pelletized. The industrially washed sample was taken after the washing steps were completed and the industrially recycled sample was taken after the extrusion-compounding with melt-filtration was completed. The unwashed sorted plastic sample was taken from a bale, shredded using a Rapid Granulator 300-45 with a screen size of 17 mm, and screened with a magnetic grid before being compounding on a laboratory scale.
The unwashed and industrially washed samples were extrusion-compounded and then injection-molded, whereas the industrially recycled sample was injection-molded as it was received. A Werner & Pfleiderer ZSK 30 M9/2 co-rotating intermeshing twin-screw extruder (TSE) was used for compounding, with a screw length of 969 mm and a diameter of 30 mm. Two temperature profiles and two screw configurations were used: 100, 150, 200, 200, 200, and 210 °C and 100, 150, 200, 240, 240, and 250 °C, and the first screw configuration (SC1) had only transport elements, whereas the second configuration (SC2) had four mixing elements per screw shaft, as shown in the Figure 1a. The feeding of the fluffy flakes into the extruder was completed manually. The throughput was 1.1 ± 0.3 kg/h at a screw rotation rate of 80 rpm.
Figure 1.
(a) The extruder screw configurations used for compounding: (i) screw 1, no mixing elements; (ii) screw 2, four mixing elements; and (b) the filling pattern in the mold used for injection-molding, with an overall width of 64 mm, a length of 48 mm, and a thickness of 2 mm.
The extruded pellets and the as-received industrially recycled PE pellets were injection-molded in a frame, as shown in Figure 1b, using an Arburg Allrounder 221M-250-5 machine. The frame had three sections with different molecular orientations: the gate region (G), with a mixed molecular orientation; the simple flow region (SF), with a unidirectional flow; and the weld line region (WL), where two flow fronts met. The temperature profile was 120, 170, 200, 220, and 220 °C, and the injection and holding pressures were 500 and 700 bar, respectively. The injection volume was adjusted for each material type to achieve at least an 80% meeting of the weld line width before the holding pressure was applied. Table 1 shows the codes assigned to the different samples, and examples of pellets and injection-molded samples are shown in Figure 2.
Table 1.
The samples’ codes and processing histories.
Figure 2.
Examples of pellets and injection-molded samples.
The oxidation induction temperature (Tox) according to ISO 11357-6 and the thermal transitions according to ISO11357-1 of both the pellets and injection-molded samples were determined using a Mettler-Toledo DSC 2 instrument. For the Tox measurements, circular sections with thicknesses of 0.65 ± 0.1 mm were used, and samples with weights of at least 5 mg were used to assess the thermal transitions. The Tox measurements were made in air and the thermal transitions in nitrogen, both at a heating rate of 10 °C/min. The baseline was taken from 60 to 132 °C for the measurements of the heat of fusion (ΔH). The mean values of the duplicates were reported for each type of material.
The ash content of the pellets was determined using 3 ± 1 mg powdered samples. A TGA/DSC 3+ Star system from Mettler Toledo was used, and samples were heated from 25 °C to 650 °C at a rate of 10 °C/min in air at a flow rate of 50 mL/min. Duplicate measurements were made and the mean values were calculated.
The samples were sent to ITS Testing Services (UK) Limited (Redcar, UK) for evaluation of their molecular weights by high temperature gel permeation chromatography (HT-GPC). Approximately 40 mg of pellets were dissolved in 10 mL of TCB (1, 2, 4 trichlorobenzene with 200 ppm BHT as antioxidant) and the analyses were made using a Polymer Laboratories GPC220 instrument. Three PlOlexis and PlOlexis guard columns were used with lengths of 30 cm each, and 200 μL of polymer solution was injected with a flow rate of 0.8 mL/min at 160 °C. The data were analyzed using Polymer Laboratories Cirrus software. The mean values based on two independent measurements of the weight-average molecular mass (Mw) and polydispersity index (PDI) were reported.
A Ceast Modular Melt Flow (Instron) instrument was used to determine the melt flow rate (MFR) of the pellets, using a standard weight of 2.16 kg at 190 °C, in accordance with ISO 1133-1:2011. The rheological behavior of the selected samples was determined with a high-pressure capillary rheometer Rheograph 20 (Göttfert). The temperature was 220 °C during the analysis, and a constant piston speed was applied at each shear rate between 103 and 101 s−1. To apply the Bagley correction as indicated in the ISO Standard 11443:2021, three dies were used with diameters of 2 mm and aspect ratios (L/D) of 5, 10, and 15. A Weissenberg–Rabinowitsch correction was made in accordance with ISO 11443:2021. The viscosity (η) was reported as a function of shear rate () for the die with an L/D ratio of 10.
A Zwick/Z2.5 instrument equipped with a 2 kN load cell was used to determine the tensile properties. An Elastocon EP 04 ISO 37-2 cutting die, corresponding to specimen type 5A in ISO 527-2, was used to cut test bars from three different regions of the molded frames. The specimens were conditioned in a chamber at 23 ± 2 °C and 50 ± 10% relative humidity for at least 24 h prior to the tensile tests. The Young’s modulus, tensile strength, and elongation-at-break were measured at a strain rate of 1 s−1. The reported average values and standard deviations were based on five independent measurements.
3. Results
Table 2 shows the thermal, structural, and rheological properties of the samples, and Figure 3 shows the first heating curves of the pellets (P) and of the injection-molded samples (IM).
Table 2.
The thermal, structural, and rheological properties of the samples.
Figure 3.
The first heating curves of the samples. The light colors show the unwashed samples and the dark colors show the industrially washed and/or recycled samples, where the pellets (P) after compounding are represented by dashed curves and the injection-molded samples (IM) by solid curves.
The melting curves for all the samples had main peaks at 125 °C, with a shoulder at 111 °C and a small peak at 161 °C. The main peaks (Tp2) were apparently associated with the higher densities and linear grades, i.e., HDPE and MDPE, and the Tp1 peak was associated with the LDPE and the Tp3 peak with the PP, as suggested in the literature [18,28]. The compounding temperature, screw configuration, and industrial washing had negligible effects on the melting temperature, and the industrially recycled sample showed the same behavior.
The screw configuration and compounding temperature had negligible effects on the oxidation temperature of the unwashed samples for both the pellets and IM samples. The oxidation temperature of these samples was, however, slightly higher when they were compounded with the mixing screw (SC2), but the compounding temperature appeared to have no effect. The industrially washed samples had Tox values approximately 30 °C lower when compounded at 200 °C, but they were approximately 40 °C lower after compounding at 240 °C. The screw design had a negligible effect on the Tox values of these samples. The industrially recycled sample showed a Tox value similar to that of the industrially washed samples.
The ash content of the unwashed materials was approximately 11%, as reported in other studies on post-consumer plastic film collected from mixed MSW [7], and the ash content after industrial washing (~5%) was in the same range as that reported in previous studies.
Table 2 shows that the screw design and compounding temperature had negligible effects on the weight-average molecular mass (Mw) of the pellets made of unwashed material. After industrial washing the Mw was lower than that of the unwashed samples, and it was even lower with increasing compounding temperature, in agreement with the Tox results. The industrially recycled sample showed an intermediate Mw value.
The flow curves of the unwashed and industrially washed samples compounded using SC2 and of the industrially recycled pellets are presented in Figure 4.
Figure 4.
Viscosity as a function of shear rate for the unwashed, industrially washed, and recycled pellets.
The viscosity curves for all the samples corresponded to the GPC results, as the melt viscosity tended to decrease with decreasing molecular weights. As shown in Table 2, the unwashed materials compounded at 200 °C with both screw designs had MFR values of 0.5 g/10 min, while those compounded at 240 °C had values of 0.6 g/10 min. In the case of the industrially washed materials, the compounding temperature had a greater influence than the screw design, with MFR values of approximately 2 g/10 min and 4 g/min, respectively, for the samples compounded at 200 and 240 °C, respectively, indicating a progressive degradation. The industrially recycled sample had the highest values at 15 g/10 min, indicating further degradation.
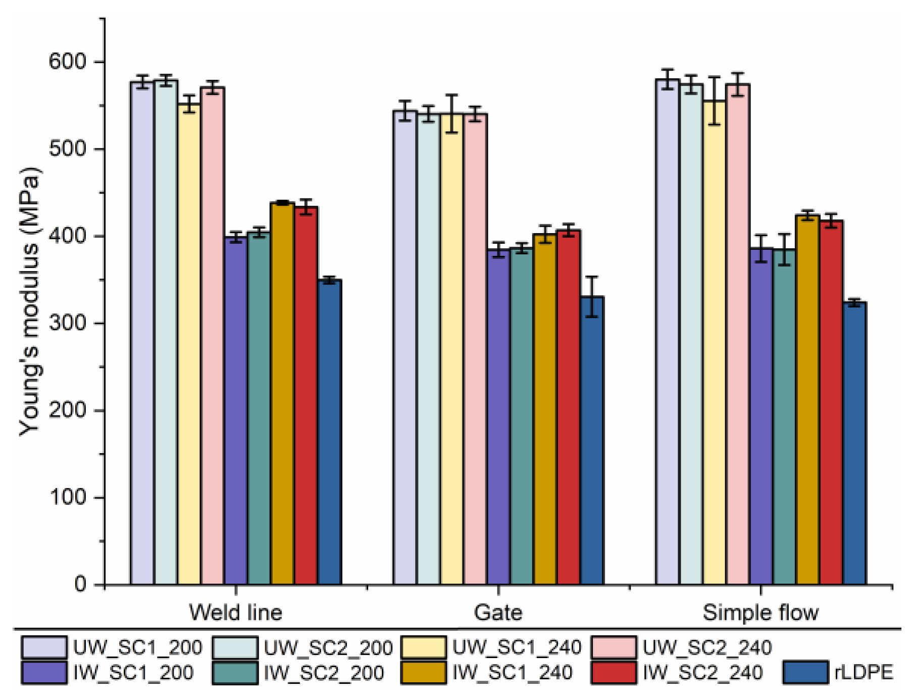
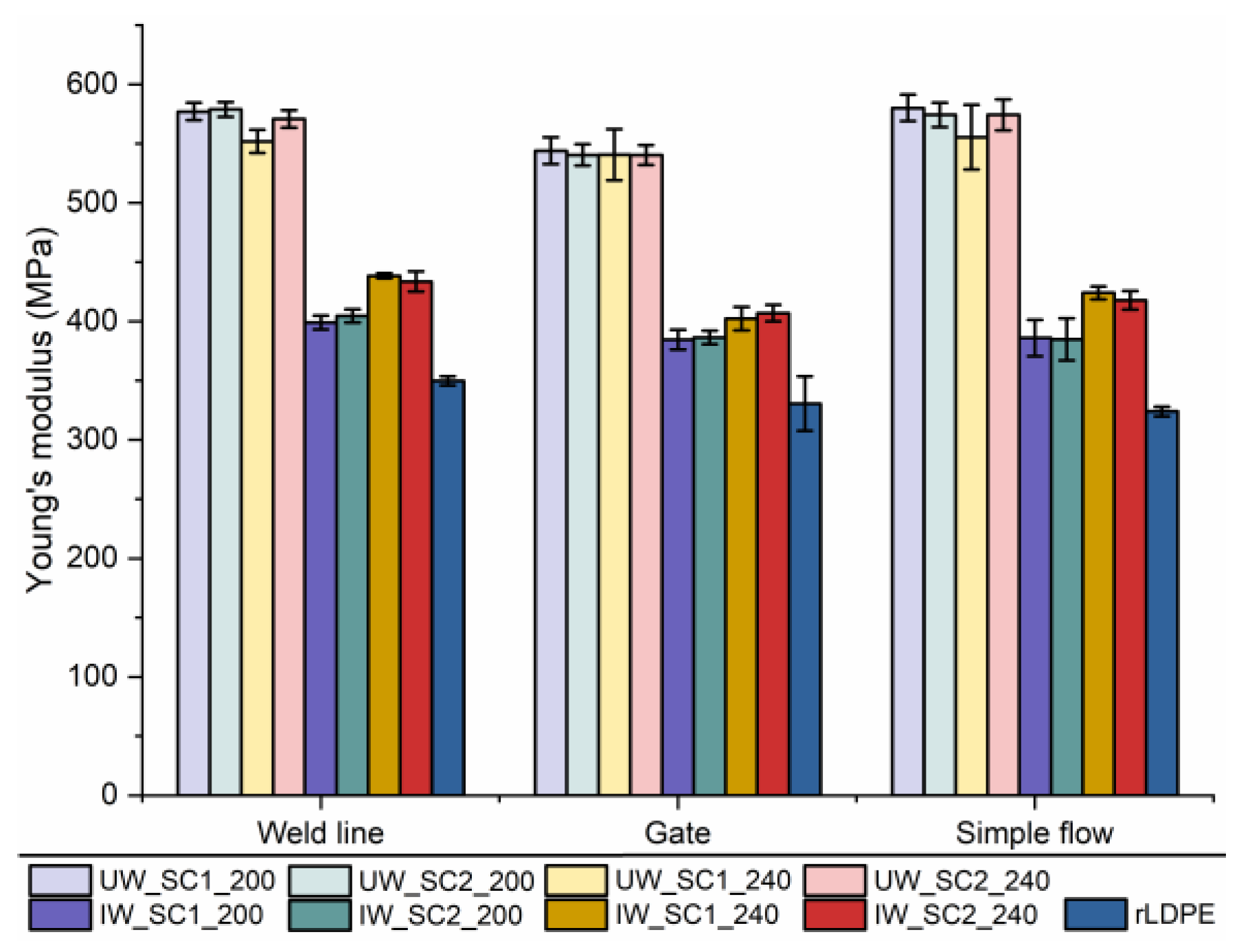
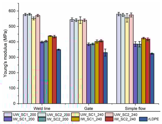
Figure 5 shows the Young’s modulus for the different screw designs (SC1 and SC2) and different compounding temperatures (200 and 240 °C) at three positions in the injection-molded samples.
Figure 5.
Young’s modulus of the samples at different regions in the IM frame.
There was no great variation in the moduli of the unwashed samples, as indicated by light colors in Figure 5, either between the different compounding parameters or between the different regions of the molded samples. The average values of the Young’s moduli were 570, 541, and 571 MPa for the weld lines, gates, and simple flow regions, respectively. There was a significant lower modulus after the industrial washing, with the average values of Young’s moduli being 419, 395, and 403 MPa for the weld lines, gates, and simple flow regions, respectively. In case of the industrially washed samples, the compounding temperature had a small influence on the modulus, but the screw design and structure had no great effects. The industrially recycled sample showed the lowest Young’s moduli of 350, 331, and 324 MPa for the weld lines, gates, and simple flow regions, respectively.
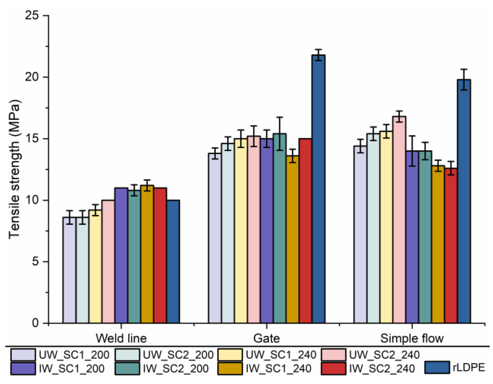
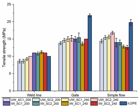
Figure 6 shows the tensile strengths of the molded samples made with different screw designs (SC1 and SC2) and different compounding temperatures (200 and 240 °C), which were taken from the different regions of the injection-molded samples.
Figure 6.
The tensile strengths of samples taken from different regions of the IM frame.
The strengths were lowest in the weld line regions, at approximately 9, 11, and 10 MPa for the unwashed, industrially washed, and industrially recycled samples, respectively. The industrially recycled sample showed the highest strength in the other two regions, with averages of 22 and 20 MPa for the gates and simple flow regions, respectively. The unwashed and industrially washed materials had similar average strength values, especially in the gate region, with 15 MPa, whereas the average strength in the simple flow region was 16 MPa for the unwashed samples and 13 MPa for the industrially washed samples.
Figure 7 shows the elongation-at-break of the molded samples. As expected, the weld line regions showed the lowest average elongations, with 6, 18, and 24% for the unwashed, industrially washed, and industrial recycled samples, respectively. In the gate regions, the unwashed samples showed the lowest average elongation-at-break values, with 67%. The industrial washing provided an average value of 164%, and the melt-filtration of the industrially recycled samples provided an average value of 315%. In the simple flow regions, the industrially recycled sample had the highest average elongation-at-break, with 367%, followed by the industrially washed samples, with 128%, and the lowest values belonged to the unwashed samples, with 96%.
Figure 7.
The elongation-at-break values of the samples, taken from different regions of the IM frame.
4. Discussion
There was no great variation in the melting temperatures between the unwashed, industrially washed, and industrially recycled samples, and they were affected neither by the process temperature nor by the screw configuration. However, the heat of fusion (ΔH) values of the industrially washed and recycled samples were slightly higher, which indicates a small increase in crystallinity, likely due to lower content of impurities after washing [29].
The screw configuration had an impact on the Tox values of the unwashed samples, but the temperature had a greater influence on the industrially washed samples. The industrial washing reduced the thermo-oxidative stability of the samples. In one study, the Tox of un-stabilized virgin PE was 180 ± 5 °C. This suggests that the unwashed samples still retained some active stabilizers, having a Tox of at least 223 °C, whereas a possible depletion of stabilizers in the industrial washing and recycling processes reduced the Tox values to 180–195 °C [30]. These decreases in Tox values increases the samples’ susceptibility to further degradation at further processing after industrial washing, possibly caused by the washing agents [19].
The ash content was significantly reduced by industrial washing, with the high ash content in the untreated samples presumably due to unwanted materials, such as paper, PET, abrasives, etc. [7].
The slight variations in the Mw and PDI values of the unwashed samples may be insignificant, but the lower values of both the Mw and the PDI values of the industrially washed samples compared to those of the unwashed samples implies that chain scission dominated the degradation [31,32]. The influence of washing agent residues also suggests that chain scission is preferred in the case of HDPE [19]. Industrial washing reduced the Mw values, but the industrially recycled sample had an intermediate Mw value, indicating that additives were used in the industrial recycling process [32,33].
The viscosity curves supported the Mw data. Compounding at a higher temperature resulted in a slightly lower viscosity for both the unwashed and washed materials, presumably because degradation leads to a lower Mw value [34]. However, the balance between the chain scission and chain branching during degradation made the rheological behavior of the samples more complicated [35,36,37]. This may be one of the reasons why the MFR values did not show the same order, since the industrially recycled material had the highest MFR, but it did not have the lowest viscosity curve. Another possibility may be that the MFR represented a single, not-well-defined point on the viscosity curve in terms of shear rate and viscosity. The MFR values for the unwashed and washed materials indicated that they could be useful for extrusion-based processes such as film-blowing and profile extrusion, but they may be less suitable for injection-molding. The MFR value suggests that industrially recycled materials would likely be suitable for injection-molding, e.g., for caps, toys, and housewares [38,39].
The Young’s modulus of the unwashed samples was not affected by the compounding parameters, but there was a significant reduction in the modulus after industrial washing, with a further decrease after industrial compounding with melt-filtration. The industrially washed samples showed a slightly higher stiffness when compounded at a higher temperature. The differences in Young’s moduli between the different regions of the IM samples were negligible in all cases, but this was not the case for the tensile strength and elongation-at-break measurements. As expected, the weld line regions showed the lowest strength values, between 9 and 11 MPa, but these values were unexpectedly high and close to the reported value (13 MPa) for the virgin PE-LLD [40]. The industrially recycled sample had the highest strength in both the gate and simple flow regions, whereas the unwashed and industrially washed samples showed similar strength values in the gate region and the latter had a slightly lower strength value than the former in the simple flow region. This slight decrease in the better-oriented region may be due to the lower Mw after washing [41]. Neither the temperature nor the screw design during compounding had a great influence on the tensile strength of the unwashed and industrially washed materials.
The weld line region had the lowest elongation-at-break values in all cases. Both a higher temperature and the mixing screw in the compounding process resulted in increased values of elongation-at-break for the unwashed samples, possibly due to a better melting and better mixing of polymer contaminants, which might otherwise act as stress concentrators [18,42]. However, in the case of the industrially washed samples, compounding at a lower temperature resulted in a higher elongation-at-break, while the screw design had a negligible effect, possibly because washing reduced the amount of impurities, but also because the degradation increased with the increasing processing temperature [43]. The effect of industrial washing was significant in the weld line and gate regions, resulting in a higher elongation-at-break measurement. In the simple flow region, there was an increase in elongation-at-break at a lower compounding temperature after washing and a slight decrease at a higher compounding temperature, implying that the effect of reduced contaminants might dominate at lower processing temperatures, while the degradation increased at higher temperatures.
5. Conclusions
The melt-processing parameters had a small influence on the properties of molded samples, and the influence of the compounding temperature was greater than that of the screw configuration for both the unwashed and industrially washed samples. No differences in the degradation of the unwashed samples as a result of different melt-processing parameters were observed. Washing led to a significant degradation, leading to further degradation in the subsequent melt-compounding. The mechanical properties implied that the material would be useful for suitable applications. The results also indicated a need for upgrading components.
Author Contributions
Conceptualization, E.C.B.N., A.V. and A.B.; methodology, E.C.B.N., A.V. and A.B.; validation, E.C.B.N. and A.V.; formal analysis, E.C.B.N.; investigation, E.C.B.N. and A.V.; resources, A.B.; data curation, E.C.B.N. and A.V.; writing—original draft preparation, E.C.B.N.; writing—review and editing, E.C.B.N., A.V. and A.B.; visualization, E.C.B.N.; supervision, A.B.; project administration, A.B.; funding acquisition, A.B. All authors have read and agreed to the published version of the manuscript.
Funding
This work was funded by the Norwegian Retailers’ Environment Fund, grant number ID11297, Plastkretsen AB: s Stiftelse för Forskning and Chalmers University of Technology.
Data Availability Statement
The data presented in this study are available on request from the corresponding author.
Acknowledgments
The authors thank the Norwegian Retailers’ Environment Fund, Plastkretsen AB: s Stiftelse för Forskning and Chalmers University of Technology for the financial support. The Swedish Plastic Recycling AB and the Research Institutes of Sweden (RISE) are acknowledged for their support in sampling and in the melt mass-flow rate measurements, respectively. J. A. Bristow is gratefully acknowledged for his linguistic revision of the manuscript.
Conflicts of Interest
The authors declare no conflict of interest.
References
- Ellen MacArthur Foundation The New Plastics Economy: Rethinking the Future of Plastics & Catalysing Action. Available online: https://ellenmacarthurfoundation.org/the-new-plastics-economy-rethinking-the-future-of-plastics-and-catalysing (accessed on 9 October 2022).
- European Parliament and the Council Directive (EU) 2018/852 of the European Parliament and of the Council of 30 May 2018 Amending Directive 94/62/EC on Packaging and Packaging Waste. Available online: https://eur-lex.europa.eu/legal-content/EN/TXT/?uri=CELEX%3A32018L0852 (accessed on 24 February 2022).
- Antonopoulos, I.; Faraca, G.; Tonini, D. Recycling of Post-Consumer Plastic Packaging Waste in EU: Process Efficiencies, Material Flows, and Barriers. Waste Manag. 2021, 126, 694–705. [Google Scholar] [CrossRef] [PubMed]
- Ellen MacArthur Foundation Flexible Packaging: The Urgent Actions Needed to Deliver Circular Economy Solutions. Available online: https://ellenmacarthurfoundation.org/flexible-packaging-the-urgent-actions-needed-to-deliver-circular-economy (accessed on 9 October 2022).
- Jönkkäri, I.; Poliakova, V.; Mylläri, V.; Anderson, R.; Andersson, M.; Vuorinen, J. Compounding and Characterization of Recycled Multilayer Plastic Films. J. Appl. Polym. Sci. 2020, 137, 49101. [Google Scholar] [CrossRef]
- Schmidt, J.; Grau, L.; Auer, M.; Maletz, R.; Woidasky, J. Multilayer Packaging in a Circular Economy. Polymers 2022, 14, 1825. [Google Scholar] [CrossRef] [PubMed]
- Gala, A.; Guerrero, M.; Serra, J.M. Characterization of Post-Consumer Plastic Film Waste from Mixed MSW in Spain: A Key Point for the Successful Implementation of Sustainable Plastic Waste Management Strategies. Waste Manag. 2020, 111, 22–33. [Google Scholar] [CrossRef]
- Ronca, S. Polyethylene. In Brydson’s Plastics Materials, 8th ed.; Gilbert, M., Ed.; Elsevier Inc.: Amsterdam, The Netherlands, 2017; pp. 247–278. [Google Scholar]
- PlascticsEurope; EPRO Plastics—The Facts. 2021. Available online: https://plasticseurope.org/knowledge-hub/plastics-the-facts-2021/ (accessed on 28 January 2022).
- Hahladakis, J.N.; Iacovidou, E. Closing the Loop on Plastic Packaging Materials: What Is Quality and How Does It Affect Their Circularity? Sci. Total Environ. 2018, 630, 1394–1400. [Google Scholar] [CrossRef] [PubMed]
- Van Belle, A.V.; Demets, R.; Mys, N.; Van Kets, K.V.; Dewulf, J.; Van Geem, K.V.; De Meester, S.D.; Ragaert, K. Microstructural Contributions of Different Polyolefins to the Deformation Mechanisms of Their Binary Blends. Polymers 2020, 12, 1171. [Google Scholar] [CrossRef]
- Bashirgonbadi, A.; Saputra Lase, I.; Delva, L.; Van Geem, K.M.; De Meester, S.; Ragaert, K. Quality Evaluation and Economic Assessment of an Improved Mechanical Recycling Process for Post-Consumer Flexible Plastics. Waste Manag. 2022, 153, 41–51. [Google Scholar] [CrossRef]
- Pospíšil, J.; Horák, Z.; Kruliš, Z.; Nešpůrek, S. The Origin and Role of Structural Inhomogeneities and Impurities in Material Recycling of Plastics. Macromol. Symp. 1998, 135, 247–263. [Google Scholar] [CrossRef]
- Al-Salem, S.M.; Lettieri, P.; Baeyens, J. Recycling and Recovery Routes of Plastic Solid Waste (PSW): A Review. Waste Manag. 2009, 29, 2625–2643. [Google Scholar] [CrossRef]
- Hopewell, J.; Dvorak, R.; Kosior, E. Plastics Recycling: Challenges and Opportunities. Philos. Trans. R. Soc. B Biol. Sci. 2009, 364, 2115–2126. [Google Scholar] [CrossRef]
- Ragaert, K.; Delva, L.; Van Geem, K. Mechanical and Chemical Recycling of Solid Plastic Waste. Waste Manag. 2017, 69, 24–58. [Google Scholar] [CrossRef] [PubMed]
- Devlieghere, F.; De Meulenaer, B.; Sekitoleko, P.; Garcia, A.A.E.; Huyghebaert, A. Evaluation, Modelling and Optimization of the Cleaning Process of Contaminated Plastic Food Refillables. Food Addit. Contam. 1997, 14, 671–683. [Google Scholar] [CrossRef] [PubMed]
- Möllnitz, S.; Feuchter, M.; Duretek, I.; Schmidt, G.; Pomberger, R.; Sarc, R. Processability of Different Polymer Fractions Recovered from Mixed Wastes and Determination of Material Properties for Recycling. Polymers 2021, 13, 457. [Google Scholar] [CrossRef]
- Santana, R.M.C.; Gondim, G. Influence of Cleaning Conditions on the Degradation of Recycled HDPE. J. Appl. Polym. Sci. 2009, 112, 1454–1460. [Google Scholar] [CrossRef]
- Soto, J.M.; Martín-Lara, M.A.; Blázquez, G.; Godoy, V.; Quesada, L.; Calero, M. Novel Pre-Treatment of Dirty Post-Consumer Polyethylene Film for Its Mechanical Recycling. Process Saf. Environ. Prot. 2020, 139, 315–324. [Google Scholar] [CrossRef]
- Streit, A.F.M.; de Santana, M.P.; de Oliveira Júnior, D.L.; Bassaco, M.M.; Tanabe, E.H.; Guilherme, D.L.; Bertuol, D.A. Development of a Pre-Treatment Process of Polymeric Wastes (HDPE, LDPE/LLDPE, PP) for Application in the Qualification of Selectors of Recyclable Materials. Environ. Dev. Sustain. 2022, 24, 6349–6371. [Google Scholar] [CrossRef]
- Welle, F. Investigation into Cross-Contamination during Cleaning Efficiency Testing in PET Recycling. Resour. Conserv. Recycl. 2016, 112, 65–72. [Google Scholar] [CrossRef]
- Thoden van Velzen, E.U.; Chu, S.; Alvarado Chacon, F.; Brouwer, M.T.; Molenveld, K. The Impact of Impurities on the Mechanical Properties of Recycled Polyethylene. Packag. Technol. Sci. 2020, 34, 219–228. [Google Scholar] [CrossRef]
- Cecon, V.S.; Da Silva, P.F.; Vorst, K.L.; Curtzwiler, G.W. The Effect of Post-Consumer Recycled Polyethylene (PCRPE) on the Properties of Polyethylene Blends of Different Densities. Polym. Degrad. Stab. 2021, 190, 109627. [Google Scholar] [CrossRef]
- Sánchez-Soto, M.; Rossa, A.; Sánchez, A.J.; Gámez-Pérez, J. Blends of HDPE Wastes: Study of the Properties. Waste Manag. 2008, 28, 2565–2573. [Google Scholar] [CrossRef]
- Gall, M.; Wiener, M.; Chagas de Oliveira, C.; Lang, R.W.; Hansen, E.G. Building a Circular Plastics Economy with Informal Waste Pickers: Recyclate Quality, Business Model, and Societal Impacts. Resour. Conserv. Recycl. 2020, 156, 104685. [Google Scholar] [CrossRef]
- Soto, J.M.; Blázquez, G.; Calero, M.; Quesada, L.; Godoy, V.; Martín-Lara, M.Á. A Real Case Study of Mechanical Recycling as an Alternative for Managing of Polyethylene Plastic Film Presented in Mixed Municipal Solid Waste. J. Clean. Prod. 2018, 203, 777–787. [Google Scholar] [CrossRef]
- Lechner, M.D. Polymers. In Springer Handbook of Materials Data. Springer Handbooks; Warlimont, H., Martienssen, W., Eds.; Springer: Cham, Switzerland, 2018; pp. 489–540. [Google Scholar]
- Jiang, Z.; Guo, Z.; Zhang, Z.; Qi, Y.; Pu, C.; Wang, Q.; Jia, Z.; Xiao, C. Preparation and Properties of Bottle-Recycled Polyethylene Terephthalate (PET) Filaments. Text. Res. J. 2019, 89, 1207–1214. [Google Scholar] [CrossRef]
- Karlsson, K.; Assargren, C.; Gedde, U.W. Thermal Analysis for the Assessment of Antioxidant Content in Polyethylene. Polym. Test. 1990, 9, 421–431. [Google Scholar] [CrossRef]
- Dordinejad, A.K.; Sharif, F.; Ebrahimi, M.; Rashedi, R. Rheological and Thermorheological Assessment of Polyethylene in Multiple Extrusion Process. Thermochim. Acta 2018, 668, 19–27. [Google Scholar] [CrossRef]
- Vilaplana, F.; Karlsson, S. Quality Concepts for the Improved Use of Recycled Polymeric Materials: A Review. Macromol. Mater. Eng. 2008, 293, 274–297. [Google Scholar] [CrossRef]
- Schyns, Z.O.G.; Shaver, M.P. Mechanical Recycling of Packaging Plastics: A Review. Macromol. Rapid Commun. 2021, 42, 2000415. [Google Scholar] [CrossRef]
- Andersson, T.; Stålbom, B.; Wesslén, B. Degradation of Polyethylene during Extrusion. II. Degradation of Low-Density Polyethylene, Linear Low-Density Polyethylene, and High-Density Polyethylene in Film Extrusion. J. Appl. Polym. Sci. 2004, 91, 1525–1537. [Google Scholar] [CrossRef]
- Azmi, A.; Sata, S.A.; Rohman, F.S.; Aziz, N. Melt Flow Index of Low-Density Polyethylene Determination Based on Molecular Weight and Branching Properties. J. Phys. Conf. Ser. 2019, 1349, 012094. [Google Scholar] [CrossRef]
- Bremner, T.; Rudin, A.; Cook, D.G. Melt Flow Index Values and Molecular Weight Distributions of Commercial Thermoplastics. J. Appl. Polym. Sci. 1990, 41, 1617–1627. [Google Scholar] [CrossRef]
- Ram, A.; Narkis, M. Melt Viscosity of Polyethylene: Shear Dependence. J. Appl. Polym. Sci. 1966, 10, 481–489. [Google Scholar] [CrossRef]
- Eriksen, M.K.; Christiansen, J.D.; Daugaard, A.E.; Astrup, T.F. Closing the Loop for PET, PE and PP Waste from Households: Influence of Material Properties and Product Design for Plastic Recycling. Waste Manag. 2019, 96, 75–85. [Google Scholar] [CrossRef] [PubMed]
- Demets, R.; Van Kets, K.; Huysveld, S.; Dewulf, J.; De Meester, S.; Ragaert, K. Addressing the Complex Challenge of Understanding and Quantifying Substitutability for Recycled Plastics. Resour. Conserv. Recycl. 2021, 174, 105826. [Google Scholar] [CrossRef]
- Tjäder, T.; Seppälä, J.; Jääskeläinen, P. Effect of Material Characteristics of Polyolefins on Weld Line Morphology and Its Correlation to Mechanical Properties. J. Mater. Sci. 1998, 33, 923–931. [Google Scholar] [CrossRef]
- Ram, A.; Miltz, J. Materials Structure-Property Relationships in Low-Density Polyethylene. Int. J. Polym. Mater. 1972, 2, 39–47. [Google Scholar] [CrossRef]
- Gall, M.; Freudenthaler, P.J.; Fischer, J.; Lang, R.W. Characterization of Composition and Structure–Property Relationships of Commercial Post-Consumer Polyethylene and Polypropylene Recyclates. Polymers 2021, 13, 1574. [Google Scholar] [CrossRef]
- Al-Salem, S.M.; Al-Dousari, N.M.; Joseph Abraham, G.; D’souza, M.A.; Al-Qabandi, O.A.; Al-Zakri, W. Effect of Die Head Temperature at Compounding Stage on the Degradation of Linear Low Density Polyethylene/Plastic Film Waste Blends after Accelerated Weathering. Int. J. Polym. Sci. 2016, 2016, 5147209. [Google Scholar] [CrossRef]
Publisher’s Note: MDPI stays neutral with regard to jurisdictional claims in published maps and institutional affiliations. |
© 2022 by the authors. Licensee MDPI, Basel, Switzerland. This article is an open access article distributed under the terms and conditions of the Creative Commons Attribution (CC BY) license (https://creativecommons.org/licenses/by/4.0/).






