Phosphorus Recovery from Wastewater: Bioavailability of P Bound to Calcareous Material for Maize (Zea Mays L.) Growth
Abstract
1. Introduction
2. Materials and Methods
2.1. Engineered Materials for P Removal
2.2. P-Enriched Material Preparation
2.3. Plant Preparation
2.4. Experimental Setup and Growth Medium Preparation
2.5. Plant Growth and Morphological Measurements
2.6. Photosynthetic Measurements
2.7. Biomass Harvest
2.8. Soil and Tissue Concentrations of P and Other Elements
2.9. Statistics
3. Results
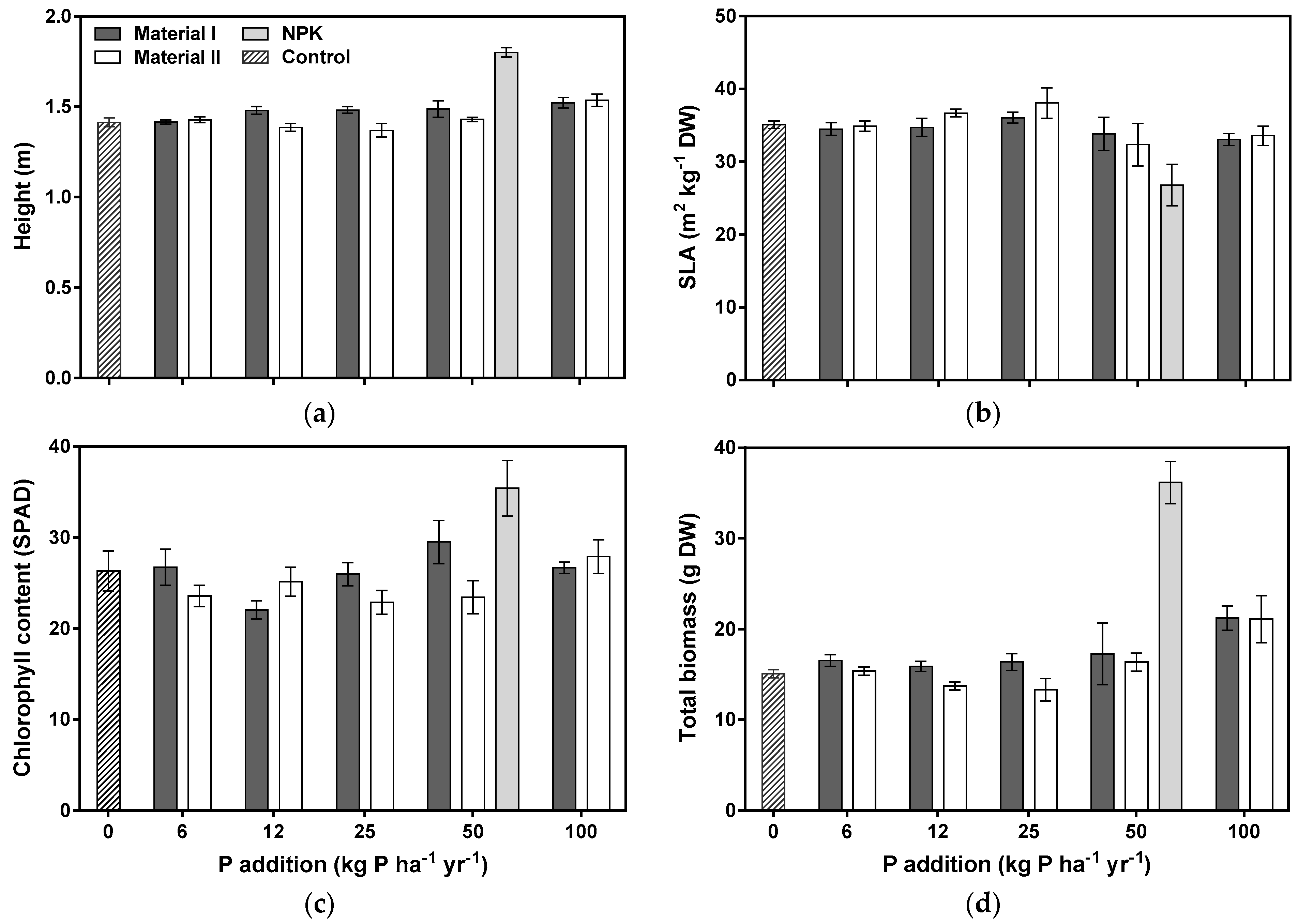
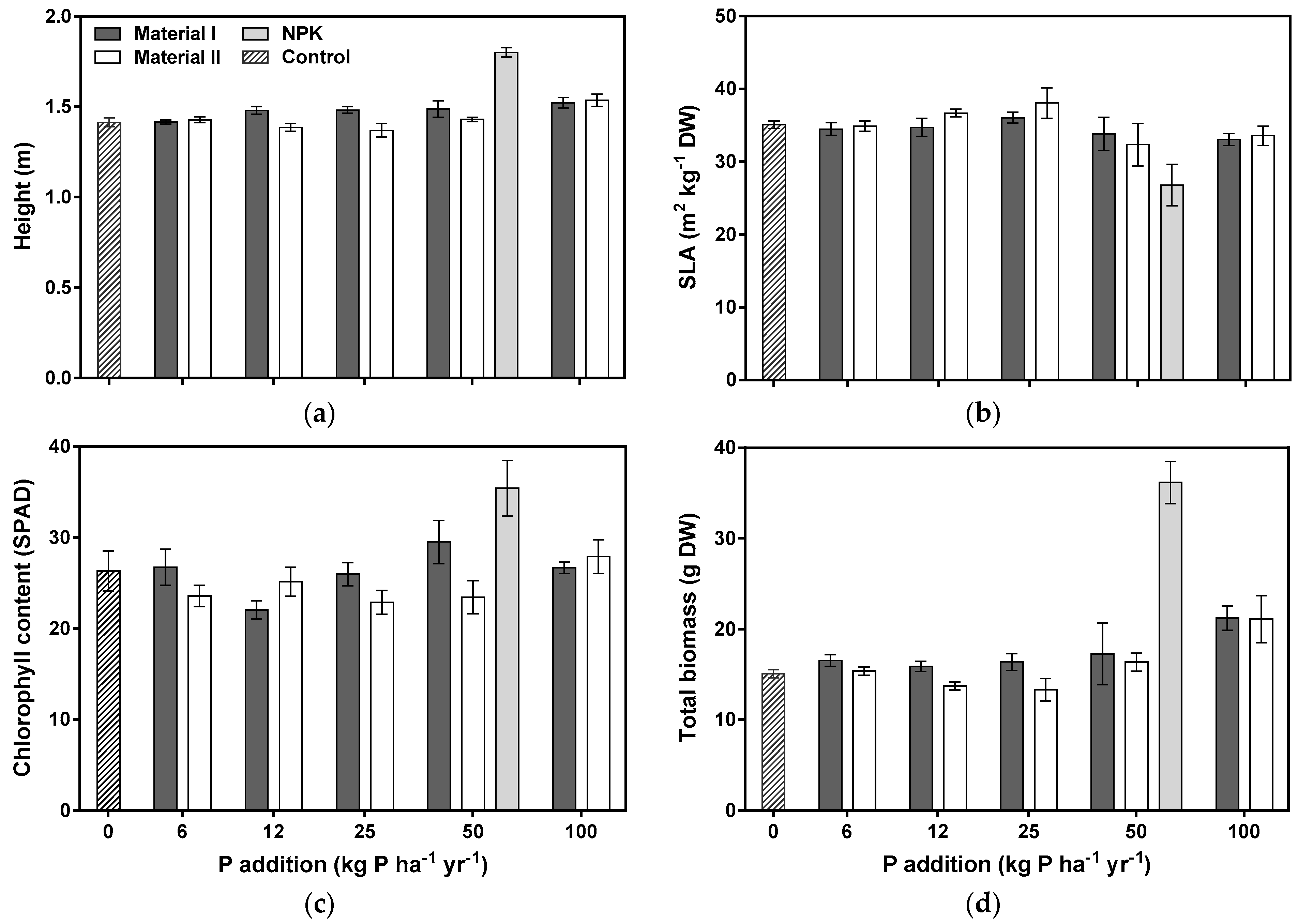
3.1. Plant Growth and Morphological Measurements
3.2. Photosynthetic Measurements
3.3. Soil and Tissue Concentrations of P and Other Elements
3.4. Multivariate Correlations Analysis
4. Discussion
4.1. The Material-Bound P Was Partly Bioavailable for Maize Growth
4.2. The Material-Bound P Was Not as Bioavailable as the Commercial Fertilizer
4.3. The Photosynthetic Rates and Chlorophyll Content for Material Treatments Were Low
4.4. The P Content for Material Treatments Were Less than Expected
4.5. The Bioavailability of P Is Affected by Different Parameters
5. Conclusions
Author Contributions
Funding
Institutional Review Board Statement
Informed Consent Statement
Data Availability Statement
Acknowledgments
Conflicts of Interest
References
- Ganie, A.H.; Ahmad, A.; Pandey, R.; Aref, I.M.; Yousuf, P.Y.; Ahmad, S.; Iqbal, M. Metabolite Profiling of Low-P Tolerant and Low-P Sensitive Maize Genotypes under Phosphorus Starvation and Restoration Conditions. PLoS ONE 2015, 10, 1–25. [Google Scholar] [CrossRef] [PubMed]
- Jacob, J.; Lawlor, D.W. Stomatal and Mesophyll Limitations of Photosynthesis in Phosphate Deficient Sunflower, Maize and Wheat Plants. J. Exp. Bot. 1991, 42, 1003–1011. [Google Scholar] [CrossRef]
- Usuda, H. Phosphate Deficiency in Maize. V. Mobilization of Nitrogen and Phosphorus within Shoots of Young Plants and Its Relationship to Senescence. Plant Cell Physiol. 1995, 36, 1041–1049. [Google Scholar] [CrossRef]
- Kok, D.J.D.; Pande, S.; van Lier, J.B.; Ortigara, A.R.C.; Savenije, H.; Uhlenbrook, S. Global Phosphorus Recovery from Wastewater for Agricultural Reuse. Hydrol. Earth Syst. Sci. 2018, 22, 5781–5799. [Google Scholar] [CrossRef]
- Koppelaar, R.H.E.M.; Weikard, H.P. Assessing Phosphate Rock Depletion and Phosphorus Recycling Options. Glob. Environ. Chang. 2013, 23, 1454–1466. [Google Scholar] [CrossRef]
- Edixhoven, J.D.; Gupta, J.; Savenije, H.H.G. Recent Revisions of Phosphate Rock Reserves and Resources: A Critique. Earth Syst. Dyn. 2014, 5, 491–507. [Google Scholar] [CrossRef]
- Walan, P.; Davidsson, S.; Johansson, S.; Höök, M. Phosphate Rock Production and Depletion: Regional Disaggregated Modeling and Global Implications. Resour. Conserv. Recycl. 2014, 93, 178–187. [Google Scholar] [CrossRef]
- Vaccari, D.A.; Mew, M.; Scholz, R.W.; Wellmer, F.-W. Chapter 2 Exploration: What Reserves and Resources? In Sustainable Phosphorus Management: A Global Transdisciplinary Roadmap; Scholz, R.W., Roy, A.H., Brand, F.S., Hellums, D.T., Ulrich, E.A., Eds.; Springer: Berlin/Heidelberg, Germany, 2014; pp. 129–151. [Google Scholar] [CrossRef]
- Rittmann, B.E.; Mayer, B.; Westerhoff, P.; Edwards, M. Capturing the Lost Phosphorus. Chemosphere 2011, 84, 846–853. [Google Scholar] [CrossRef] [PubMed]
- Smil, V. Phosphorus in the Environment: Natural Flows and Human Interferences. Annu. Rev. Energy Environ. 2000, 25, 53–88. [Google Scholar] [CrossRef]
- Desmidt, E.; Ghyselbrecht, K.; Zhang, Y.; Pinoy, L.; van der Bruggen, B.; Verstraete, W.; Rabaey, K.; Meesschaert, B. Global Phosphorus Scarcity and Full-Scale P-Recovery Techniques: A Review. Crit. Rev. Environ. Sci. Technol. 2015, 45, 336–384. [Google Scholar] [CrossRef]
- Wu, S.; Kuschk, P.; Brix, H.; Vymazal, J.; Dong, R. Development of Constructed Wetlands in performance Intensifications for Wastewater Treatment: A Nitrogen and Organic Matter Targeted Review. Water Res. 2014, 57, 40–45. [Google Scholar] [CrossRef] [PubMed]
- Kadlec, R.H.; Knight, R.L. Chapter 10: Phosphorus. In Treatment Wetlands, 2nd ed.; CRC Press: Boca Raton, FL, USA, 1996; pp. 349–401. ISBN 9781566705264. [Google Scholar]
- Arias, C.A.; Brix, H. Phosphorus Removal in Constructed Wetlands: Can Suitable Alternative Media Be Identified? Water Sci. Technol. 2005, 51, 267–273. [Google Scholar] [CrossRef]
- Mahmood-ul-Hassan, M.; Rashid, A.; Akhtar, M.S. Phosphorus Requirement of Corn and Sunflower Grown on Calcareous Soils of Pakistan. Commun. Soil Sci. Plant Anal. 1993, 24, 1529–1541. [Google Scholar] [CrossRef]
- Ciriminna, R.; Fidalgo, A.; Pandarus, V.; Béland, F.; Ilharco, L.M.; Pagliaro, M. The Sol–Gel Route to Advanced Silica-Based Materials and Recent Applications. Chem. Rev. 2013, 113, 6592–6620. [Google Scholar] [CrossRef] [PubMed]
- Ministry of the Environment and Food Ministry of Agriculture (Miljø- og Fødevareministeriet Landbrugsstyrelsen). Guidance on Fertilization and Harmony Rules (Vejledning Om Gødsknings- Og Harmoniregler); Ministry of the Environment and Food Ministry of Agriculture: Copenhagen, Denmark, 2018; ISBN 9788771203424. [Google Scholar]
- Föhse, D.; Classen, N.; Jungk, A. Phosphorus Efficiency of Plants. External and Internal P Requirement and P Uptake Efficiency of Different Plant Species. Plant Soil 1988, 110, 101–109. [Google Scholar] [CrossRef]
- Sattar, S.; Maqsood, M.A.; Hussain, S.; Rahmatullah. Internal and External Phosphorus Requirements of Maize Genotypes on Typic Calciargid. Commun. Soil Sci. Plant Anal. 2011, 42, 184–193. [Google Scholar] [CrossRef]
- Dessougi, H.E.; Dreele, A.; Claassen, N. Growth and Phosphorus Uptake of Maize Cultivated Alone, in Mixed Culture with Other Crops or after Incorporation of Their Residues. J. Plant Nutr. Soil Sci. 2003, 254–261. [Google Scholar] [CrossRef]
- Ubi, W.; Ubi, G.M.; Ubi, M.W.; Okweche, T.; Ojei, P.W. Optimizing NPK Fertilizer and Plant Spacing in Maximizing Yield and Yield Attributes of Maize (Zea Mays) in Southern Nigeria. Ann. Bot. 2016, 4, 1–2. [Google Scholar] [CrossRef]
- Assuero, S.G.; Mollier, A.; Pellerin, S. The Decrease in Growth of Phosphorus-Deficient Maize Leaves Is Related to a Lower Cell Production. Plant Cell Environ. 2004, 27, 887–895. [Google Scholar] [CrossRef]
- Verheul, M.J.; Picatto, C.; Stamp, P. Growth and Development of Maize (Zea Mays L.) Seedlings under Chilling Conditions in the Field. Eur. J. Agron. 1996, 5, 31–43. [Google Scholar] [CrossRef]
- Liu, Z.; Gao, J.; Gao, F.; Liu, P.; Zhao, B.; Zhang, J. Photosynthetic Characteristics and Chloroplast Ultrastructure of Summer Maize Response to Different Nitrogen Supplies. Front. Plant Sci. 2018, 9, 1–13. [Google Scholar] [CrossRef] [PubMed]
- Miller, M.H.; Mitchell, W.A.; Stypa, M.; Barry, A. Effects of Nutrient Availability and Subsoil Bulk Density on Corn Yield and Nutrient Absorption. Can. J. Soil Sci. 1987, 67, 281–292. [Google Scholar] [CrossRef]
- Krey, T.; Vassilev, N.; Baum, C.; Eichler-Löbermann, B. Effects of Long-Term Phosphorus Application and Plant-Growth Promoting Rhizobacteria on Maize Phosphorus Nutrition under Field Conditions. Eur. J. Soil Biol. 2013, 55, 124–130. [Google Scholar] [CrossRef]
- Tang, X.; Li, J.; Ma, Y.; Hao, X.; Li, X. Phosphorus Efficiency in Long-Term (15 Years) Wheat-Maize Cropping Systems with Various Soil and Climate Conditions. Field Crop. Res. 2008, 108, 231–237. [Google Scholar] [CrossRef]
- Chaudhary, E.H.; Ranjha, A.M.; Gill, M.A.; Mehdi, S.M. Phosphorus Requirement of Maize in Relation to Soil Characteristics. Int. J. Agric. Biol. 2003, 5, 625–629. [Google Scholar]
- Rashid, A.; Bughio, N. Plant Analysis Diagnostic Indices for Phosphorus Nutrition of Sunflower, Mungbean, Maize, and Sorghum. Commun. Soil Sci. Plant Anal. 1994, 25, 2481–2489. [Google Scholar] [CrossRef]
- Blake, L.; Mercik, S.; Koerschens, M.; Moskal, S.; Poulton, P.R.; Goulding, K.W.T.; Weigel, A.; Powlson, D.S. Phosphorus Content in Soil, Uptake by Plants and Balance in Three European Long-Term Field Experiments. Nutr. Cycl. Agroecosystems 2000, 56, 263–275. [Google Scholar] [CrossRef]
- Kaur, G.; Sudhakara Reddy, M. Influence of P-Solubilizing Bacteria on Crop Yield and Soil Fertility at Multilocational Sites. Eur. J. Soil Biol. 2014, 61, 35–40. [Google Scholar] [CrossRef]
- Zhao, B.Q.; Li, X.Y.; Liu, H.; Wang, B.R.; Zhu, P.; Huang, S.M.; Bao, D.J.; Li, Y.T.; So, H.B. Results from Long-Term Fertilizer Experiments in China: The Risk of Groundwater Pollution by Nitrate. NJAS Wagening. J. Life Sci. 2011, 58, 177–183. [Google Scholar] [CrossRef]
- Gandahi, A.W.; Baloch, F.B.; Sarki, M.S.; Gandahi, R.; Lashari, M.S. Impact of Rice Husk Biochar and Macronutrient Fertilizer on Fodder Maize and Soil Properties. Int. J. Biosci. 2015, 7, 12–21. [Google Scholar] [CrossRef]
- Zhai, L.; Cai, Z.J.; Liu, J.; Wang, H.; Ren, T.; Gai, X.; Xi, B.; Liu, H. Short-Term Effects of Maize Residue Biochar on Phosphorus Availability in Two Soils with Different Phosphorus Sorption Capacities. Biol. Fertil. Soils 2015, 51, 113–122. [Google Scholar] [CrossRef]
- van de Wiel, C.C.M.; van der Linden, C.G.; Scholten, O.E. Improving Phosphorus Use Efficiency in Agriculture: Opportunities for Breeding. Euphytica 2016, 207, 1–22. [Google Scholar] [CrossRef]
- Dixon, M.; Simonne, E.; Obreza, T.; Liu, G. Crop Response to Low Phosphorus Bioavailability with a Focus on Tomato. Agronomy 2020, 10, 617. [Google Scholar] [CrossRef]



| Parameter | Data | Main Effects | Two-Way Interaction | |
|---|---|---|---|---|
| Shown in | P Addition | Material | P Addition × Material | |
| Height (m) | Figure 1a | 24.5 ** | 7.1 * | 10.7 ns |
| Specific Leaf Area (SLA; m2 kg−1 DW) | Figure 1b | 3.2 ns | 0.2 ns | 0.8 ns |
| Relative chlorophyll content (ChlSPAD; unitless) | Figure 1c | 11.9 ns | 4.2 ns | 18.0 * |
| Total biomass (g DW) | Figure 1d | 33.9 ** | 3.4 ns | 1.6 ns |
| Leaves (no) | not shown | 7.5 ns | 1.0 ns | 11.5 ns |
| Photosynthetic rate (Amax; µmol CO2 m−2 s−1) | Figure 2a | 35.0 *** | 1.1 ns | 7.4 ns |
| Stomatal conductance (gs; mol H2O m−2 s−1) | Figure 2b | 15.0 ns | 0.1 ns | 12.0 ns |
| Dark respiration (Rd; µmol CO2 m−2 s−1) | Figure 2c | 35.3 *** | <0.1 ns | 7.3 ns |
| Transpiration (E; mol CO2 m−2 s−1) | Figure 2d | 15.9 ns | 0.7 ns | 9.6 ns |
| Aboveground biomass P concentration (mg P g−1 DW) | Figure 3a | 12.7 ns | 12.5 ns | 8.9 ns |
| Total P content in biomass (mg P) a | Figure 3b | 34.6 *** | 4.9 ns | 9.3 ns |
| P concentration in soil (mg P g−1 DW) | Figure 3c | 52.4 *** | 4.8 ns | 15.0 ns |
| Treatment (kg P ha−1 yr−1) | Control | NPK | Material I | Material II | ||||||||
|---|---|---|---|---|---|---|---|---|---|---|---|---|
| 0 | 50 | 6 | 12 | 25 | 50 | 100 | 6 | 12 | 25 | 50 | 100 | |
| Ca (mg Ca g−1 DW) | 4.96 | 3.74 | 4.61 | 6.00 | 4.22 | 4.75 | 6.52 | 4.01 | 4.89 | 4.52 | 5.30 | 4.80 |
| Mg (mg Mn g−1 DW) | 0.82 | 0.67 | 0.78 | 0.85 | 0.72 | 0.79 | 0.90 | 0.68 | 0.82 | 0.76 | 0.78 | 0.77 |
| Fe (mg Fe g−1 DW) | 3.12 | 2.19 | 2.90 | 2.15 | 2.17 | 2.51 | 2.35 | 2.80 | 2.40 | 2.47 | 2.10 | 2.13 |
| Al (mg Al g−1 DW) | 0.09 | 0.04 | 0.08 | 0.08 | 0.07 | 0.07 | 0.06 | 0.07 | 0.07 | 0.06 | 0.06 | 0.09 |
| K (mg K g−1 DW) | 0.81 | 0.39 | 0.78 | 0.63 | 0.49 | 0.53 | 0.59 | 0.68 | 0.59 | 0.59 | 0.53 | 0.61 |
| Mn (mg Mn g−1 DW) | 0.08 | 0.07 | 0.08 | 0.07 | 0.07 | 0.08 | 0.11 | 0.10 | 0.08 | 0.10 | 0.07 | 0.06 |
| Treatment (kg P ha−1 yr−1) | Control | NPK | Material I | Material II | ||||||||
|---|---|---|---|---|---|---|---|---|---|---|---|---|
| 0 | 50 | 6 | 12 | 25 | 50 | 100 | 6 | 12 | 25 | 50 | 100 | |
| P (mg P g−1 DW) | 0.59 | 1.49 | 0.57 | 0.62 | 0.61 | 0.67 | 0.63 | 0.60 | 0.64 | 0.67 | 0.62 | 0.63 |
| Ca (mg Ca g−1 DW) | 3.24 | 2.85 | 3.68 | 3.16 | 4.07 | 3.58 | 3.43 | 3.75 | 3.41 | 3.46 | 3.59 | 3.37 |
| Mg (mg Mn g−1 DW) | 1.96 | 2.41 | 2.17 | 1.89 | 2.34 | 2.14 | 2.10 | 2.20 | 2.08 | 2.07 | 2.13 | 2.11 |
| Fe (mg Fe g−1 DW) | 0.04 | 0.04 | 0.03 | 0.03 | 0.03 | 0.03 | 0.05 | 0.03 | 0.03 | 0.04 | 0.03 | 0.06 |
| K (mg K g−1 DW) | 31.2 | 17.6 | 31.0 | 30.8 | 28.7 | 30.4 | 31.6 | 29.9 | 31.8 | 29.4 | 29.9 | 30.6 |
| Mn (mg Mn g−1 DW) | 0.06 | 0.05 | 0.06 | 0.07 | 0.08 | 0.06 | 0.06 | 0.07 | 0.07 | 0.08 | 0.08 | 0.07 |
| Height | Leaves | ChlSPAD | Biomass | Amax | Total P | SLA | |
|---|---|---|---|---|---|---|---|
| Height (cm) | 1 | ||||||
| Leaves (no) | 0.215 ns | 1 | |||||
| Chlorophyll content (ChlSPAD; unitless) | 0.529 *** | 0.146 ns | 1 | ||||
| Total biomass (g DW) | 0.863 *** | 0.221 ns | 0.661 *** | 1 | |||
| Photosynthetic rate (Amax; µmol CO2 m−2 s−1) | 0.781 *** | 0.169 ns | 0.476 *** | 0.732 *** | 1 | ||
| Total P content in biomass (mg P) a | 0.809 *** | 0.238 ns | 0.630 *** | 0.822 *** | 0.921 *** | 1 | |
| Specific Leaf Area (SLA; m2 kg−1 DW) | −0.456 *** | 0.223 ns | −0.279 * | −0.418 * | −0.273 * | −0.363 *** | 1 |
Publisher’s Note: MDPI stays neutral with regard to jurisdictional claims in published maps and institutional affiliations. |
© 2021 by the authors. Licensee MDPI, Basel, Switzerland. This article is an open access article distributed under the terms and conditions of the Creative Commons Attribution (CC BY) license (https://creativecommons.org/licenses/by/4.0/).
Share and Cite
Jensen, S.M.; Esposito, C.; Konnerup, D.; Brix, H.; Arias, C.A. Phosphorus Recovery from Wastewater: Bioavailability of P Bound to Calcareous Material for Maize (Zea Mays L.) Growth. Recycling 2021, 6, 25. https://doi.org/10.3390/recycling6020025
Jensen SM, Esposito C, Konnerup D, Brix H, Arias CA. Phosphorus Recovery from Wastewater: Bioavailability of P Bound to Calcareous Material for Maize (Zea Mays L.) Growth. Recycling. 2021; 6(2):25. https://doi.org/10.3390/recycling6020025
Chicago/Turabian StyleJensen, Solvei M., Chiara Esposito, Dennis Konnerup, Hans Brix, and Carlos A. Arias. 2021. "Phosphorus Recovery from Wastewater: Bioavailability of P Bound to Calcareous Material for Maize (Zea Mays L.) Growth" Recycling 6, no. 2: 25. https://doi.org/10.3390/recycling6020025
APA StyleJensen, S. M., Esposito, C., Konnerup, D., Brix, H., & Arias, C. A. (2021). Phosphorus Recovery from Wastewater: Bioavailability of P Bound to Calcareous Material for Maize (Zea Mays L.) Growth. Recycling, 6(2), 25. https://doi.org/10.3390/recycling6020025

