Next Article in Journal
Collective Action in Waste Management: A Comparative Study of Recycling and Recovery Initiatives from Brazil, Indonesia, and Nigeria Using the Institutional Analysis and Development Framework
Previous Article in Journal
Evaluating the Thermal Behavior of a Sustainable Room and Roof Prototype Using Recycled Waste Materials
 
 
Font Type:
Arial Georgia Verdana
Font Size:
Aa Aa Aa
Line Spacing:
Column Width:
Background:
Article

Elastomeric Composites Containing SBR Industrial Scraps Devulcanized by Microwaves: Raw Material, Not a Trash

by
Aline Zanchet
1,* and
Fabiula Danielli Bastos de Sousa
2,3
1
Polytechnic School of Civil Engineering, IMED, Rua Senador Pinheiro, 304, 99070-220 Passo Fundo, Brazil
2
Technology Development Center, Universidade Federal de Pelotas, Rua Gomes Carneiro, 1, 96010-610 Pelotas, Brazil
3
Center of Engineering, Modeling and Applied Social Science, Universidade Federal do ABC, Avenida dos Estados, 5001, 09210-580 Santo André, Brazil
*
Author to whom correspondence should be addressed.
Recycling 2020, 5(1), 3; https://doi.org/10.3390/recycling5010003
Submission received: 29 December 2019 / Revised: 7 February 2020 / Accepted: 13 February 2020 / Published: 17 February 2020

Abstract

Environmental concerns about waste management systems have stimulated the search for technological and economical alternatives that introduce waste as raw material for production cycles. In this sense, this study aimed to develop and characterize styrene-butadiene rubber (SBR) composites that contain industrial rubber scraps devulcanized by microwaves (SBR-r) as a reinforcing filler. The scraps were ground under ambient conditions. From the obtained powder (SBR-r), composites were prepared, varying the exposure time of the powder to the microwaves (1, 2, and 3 min), as well as the SBR-r content. These composites were compared to a Reference sample (base formulation without SBR-r). The vulcanization parameters were determined by an oscillating disk rheometer. After vulcanization, the composites were characterized by mechanical properties (tensile and tear strength, and compression set). These properties were also evaluated after accelerated aging in an air oven and a UV chamber (ultraviolet light). The results indicated that as a result of increasing the exposure time of the waste to the microwaves, no significant influence in the composite properties was observed. Aged samples presented higher results as compared with the Reference sample (tensile strength up to 175% higher, tear strength up to 107% higher, and compression set up to 91% higher), which indicates the possibility of using these materials in technological applications, such as in the civil and automotive industries.

1. Introduction

Vulcanized rubbers, when disposed in landfills, become accumulators of rain water (especially in the case of tires) due to their usual large size and format, and therefore become a place for the proliferation of vectors, such as the aedes aegypti mosquito, transmitter of dengue, chikungunya, yellow fever, and zika, causing serious environmental and public health problems [1]. Therefore, recycling techniques must be proposed to solve these serious problems and recover the material with a higher commercial value [2]. The cross-links of the main polymer chains during the vulcanization process turn the thermoplastic into a thermoset material which cannot be remolded by simple heating. Therefore, to reuse this material, it is necessary to apply some kind of physical or chemical treatment to breakdown the cross-linked network of vulcanized rubber [3]. Amongst several techniques, microwave devulcanization presents some advantages that makes it one of the most promising techniques for rubber recycling [4,5,6,7,8]. These advantages include the treatment of large amounts of material, the possibility of continuous processing, and the easy adjustment of the process parameters, such as the source of energy and treatment time [8]. The last advantage is particularly important since each type of rubber has its own characteristics and needs a specific degree of devulcanization to produce useful materials. The most recent literature has proven the benefits of this recycling technique [9,10].
Literature has proven that the higher the exposure time of the sample to the microwaves, the higher its devulcanization degree, especially when carbon black is contained in the sample [4,5,6,11]. Different types of rubber have shown a similar behavior, such as natural rubber (NR) [4,11], ground tire rubber (GTR) [7], and styrene-butadiene rubber (SBR) [5,6]. Because devulcanization by microwaves is a controlled degradation and an increase of exposure time increases the degree of devulcanization, some level of degradation is observed in devulcanized samples. Consequently, the parameters of the processing must be carefully controlled [5,6,7,11]. In agreement, the work by de Sousa et al. [4] analyzed rheological and mechanical properties of polymeric blends containing different concentrations of raw NR/devulcanized NR by microwaves, and depicted that with an increase in the content of recycled rubber and/or an increase of time of exposure to the microwaves, there was an increase in the reversion trend, and a reduction of mechanical properties due to the degradation of the recycled phase.
Some studies have reported a loss of mechanical properties by incorporating ground rubber wastes into raw rubber matrix, since the interaction between the vulcanized and the raw rubber was weak [12,13,14,15].
Zanchet et al. [14] incorporated residue of ethylene-propylene diene monomer rubber (EPDM) ground at room temperature (called EPDM-r) into raw EPDM resulting in polymeric blends of raw EPDM/r-EPDM, analyzed the mechanical properties results (especially tensile strength and elongation at break), and concluded that, by analyzing the mechanical properties results, and the morphology, there were weak interactions and adhesion among the elastomeric matrix and the residue, due to the reduction of these properties concerning neat EPDM, no matter the residue concentration. Similar results were observed in an earlier work [15], reporting that, beyond the blends of raw EPDM/r-EPDM, blends of raw SBR/SBR residue (SBR-r) in different concentrations were also produced and analyzed.
However, the proposed process is advantageous, considering a reduction in costs. In addition, some authors have used the devulcanization process in recycled rubbers before producing composites or polymeric blends to increase the interaction between the phases due to the better dispersion of the recycled rubber particles in the polymeric matrix, which results in a more refined phases morphology and improvements in the mechanical properties [13,16,17,18,19,20,21,22].
Polymeric blends composed of high-density polyethylene (HDPE)/GTR devulcanized by microwaves have been analyzed [17,18,19]. The morphology of the blends depicted that, in general, the devulcanization of the recycled rubber improved the dispersion of the elastomeric phase, resulting in improved mechanical properties of the blends. Similar results have been observed by some authors, by analyzing the properties of polymeric blends composed of polystyrene/SBR devulcanized by ultrasound [21], and blends composed of EPDM/EPDM-r devulcanized by microwaves [23]. In addition, Simon et al. [22] compared the results of elastomeric blends containing SBR/GTR (both devulcanized by microwaves or not) and the blends containing devulcanized GTR that presented improved mechanical results, as discussed previously.
The objective of this study is to develop and characterize SBR composites containing industrial rubber scraps devulcanized by microwaves (SBR-r) as a reinforcing filler, searching for better interaction between the phases and a consequent improvement in the final properties of the composites. Different exposure times of the SBR-r were analyzed, as well as different amounts of recycled phase in the composites. The samples were exposed to accelerated aging in an air oven and a UV chamber (ultraviolet light), and the mechanical properties of the aged and unaged samples were compared (tensile and tear strength, and compression set). The results of the aged samples in relation to the Reference sample presented improvements of up to 175% in tensile strength (100 SBR-2: 3.55 MPa), 107% in tear strength (100 SBR-3: 18.31 kN.m−1), and 91% in compression set (20 SBR-1: 11.10). These results indicate the possibility of using these materials in technological applications in several areas, such as in the civil and automotive industries. Thus, as the main scientific contribution, this work presents a study on the influence of thermo oxidative and UV degradation of elastomeric compounds containing different concentrations of recycled material.

2. Materials and Methods

2.1. Materials

The SBR automotive extruded profile scraps were supplied by Ciaflex Indústria de Borrachas Ltd. (Caxias do Sul, Brazil). The scraps were collected according to ASTM E300, and ground under environmental conditions. Ground SBR scraps, i.e., SBR powder, are known as SBR-r. The particle size distribution ranged from 28 to 35 mesh [24]. The partial composition of the scraps, obtained by thermogravimetric analysis (TGA), was as follows: 27.6% SBR, 34.1% CaCO3, 24.1% oil, 12.1% carbon black, and 2.1% other additives [25].
Raw SBR (SBR-1502) was supplied by Petroflex Indústria e Comércio S/A (Duque de Caxias, Rio de Janeiro, Brazil). The additives used were zinc oxide (ZnO) (Agro Zinco industry and trade Ltd., São Paulo, Brazil), stearic acid (Proquiec Indústria de Produtos Químicos S/A, Vargem Grande Paulista, Brazil), n-tert-butyl-2-benzothiazolsulfenamide (TBBS) (Proquiec Indústria de Produtos Químicos S/A, Vargem Grande Paulista, Brazil), and sulfur (S) (Intercuf Indústria e Comércio Ltd., Campinas, Brazil).

2.2. Methods

2.2.1. SBR-r Devulcanization by Microwaves and Gel Content Determination

The SBR-r powder was devulcanized in an adapted microwave apparatus consisting of a domestic-type microwave oven Electrolux 27 E adapted to a stirring system. The power of the magnetron was 900 W. Around 100 g of SBR-r was placed in a 600 mL beaker with a stirring speed of 40 rpm. The processing parameter was the exposure time, which varied from 1 to 3 min. The temperature of the samples was measured just after each treatment.
According to Seghar et al. [26], the maximal microwave specific energy to perform a controlled reclaiming of SBR is 440 Wh/kg. The corresponding microwave specific energy, E, of the devulcanized samples was evaluated from Equation (1) [26]:
E = P   × t m
where P is the magnetron power of the oven (900 watts), t is the exposure time of the sample to the microwaves (h), and m is the mass of the sample (100 g).
The determination of gel content was carried out in triplicate by extraction in a Soxhlet extractor with toluene using 1 g of the sample for 24 h. The SBR-r (before and after devulcanization by microwaves) was, then, removed and dried at 60 °C, under vacuum, for approximately 6 h. The oil and filler content, determined by TGA [25], was deducted from the sample to find the gel content. These results were presented in a previous work [20], but they are discussed in this work to improve the analysis of the results. The nomenclature of the devulcanized samples is SBR-r, in which “r” represents the exposure time of the sample to the microwaves.

2.2.2. Preparation of the Composites Containing SBR-r

The composites were prepared in a laboratory two-roll mill EEMC, model LAB 1.6 L, according to ASTM D 3185. Different proportions of SBR-r (20, 40, 60, 80, and 100 phr) were added into a base formulation provided by the industry (SBR-1502). The formulation of the composites is shown in Table 1 (the amounts of each compound are presented in parts per hundred of rubber (phr)). All the composites were mixed and subsequently vulcanized. The Reference sample was a formulation containing raw SBR rubber and additives, and any kind of filler, as listed in Table 1.
The specimens for the mechanical analyses were obtained by compression molding at 160 °C under a pressure of 10 MPa in a Luxor mark-heated hydraulic press for the optimum cure time, t90, determined by an oscillating disk rheometer (ODR). This procedure followed ASTM D 3182-07. The nomenclature of the samples is of type X SBR-r, where “X” represents the amount of recycled SBR present in the compounds (in phr), and “r” represents the exposure time of the SBR to the microwaves (in min), during the devulcanization process. The results of the samples 80 SBR-r were discussed in a previous work [20], however, they are presented here as a comparison.

2.2.3. Vulcanization Characteristics of the Composites

Vulcanization characteristics were determined by using an ODR Tech Pro-Rheotech OD+, at 160 °C, according to ASTM D 2084-06. The parameters obtained from the curves torque versus time were as follows: the minimum torque (ML), which is related to the viscosity of the composites before vulcanization; the maximum torque (MH), which is related to the molecular stiffness after the vulcanization process, i.e., proportional to the formation of cross-links; ts1 is known as scorch or security time, which is the time related to the onset of the vulcanization reaction; t90 is the optimum vulcanization time, the time necessary to vulcanizate 100% of the sample; torque variation ∆M (∆M = MH–ML), proportional to the cross-link density of the samples; and cure rate index (CRI), proportional to the vulcanization rate. CRI values were calculated by using Equation (2) [27]:
C R I =   1 t 90   t s 1

2.2.4. Characterization of the Composites

Tensile and tear strength tests were performed in an EMIC DL-3000 instrument, according to ASTM D 412-06a and ASTM D 624-00, respectively. The compression set test was carried out at 23 °C and 70 °C for 22 h according to ASTM D 395b-03.

2.2.5. Accelerated Aging Tests

For each formulation, twenty specimens were submitted to the accelerated aging in an air oven and a UV chamber. The thermal aging was carried out in a forced air circulating oven (Erzinger, model 90/65/70) at 70 °C for 7 days, according to ASTM D 573-04. The UV aging test was carried out according to ASTM G 154-06 in a Comexin UV chamber at 50 °C for 120, 240, 360, and 480 h, in two cycles (50% related to condensation, and 50% related to UVB radiation). The aged specimens were analyzed, and the results were compared to the corresponding unaged samples, according to Equation (3):
P r o p e r t y   r e t e n t i o n   v a l u e = ( P P 0 ) × 100
where P0 and P are the properties of the samples before and after the accelerated aging processes, respectively.

3. Results and Discussion

3.1. SBR-r Devulcanization

Figure 1 shows the temperature of the SBR-r after the exposure to the microwaves, gel content, and the corresponding medium microwave specific energy of the devulcanized samples.
The results showed that the higher the exposure time of the SBR to the microwaves, the higher its temperature and the lower its gel content, depicting that an increase of temperature of the samples is responsible for breaking its cross-links [11,28]. However, it is known that during the exposure of the samples to the microwaves, cross-link scission, main chain degradation, and formation of new bonds may happen simultaneously [28,29].
Concerning the specific energy of the devulcanized samples, point A in Figure 1 corresponds to the maximal microwave specific energy to perform a controlled reclaiming of SBR [26]. The results showed that the microwave specific energy to devulcanizate SBR-3 is higher, demonstrating that this sample possibly presented some degradation level, which can influence the results of the SBR-3 composites.

3.2. Vulcanization Characteristics

Table 2 summarizes the vulcanization characteristics of the analyzed samples.
Concerning the torque values (MH, ML, and ∆M), a trend is not observed related to the increase of the SBR-r amount in the composites, and to the increase of the devulcanization time. It is a known fact that devulcanization causes rubber to flow again, which tends to influence the torque values by decreasing the ML values [30]. However, MH and ∆M values are strongly influenced by the cross-link density of the samples resulting from the flowability of the rubber, since it improves the dispersion and the distribution of the vulcanization additives during mixing. Therefore, the flowability of the recycled rubber, as well as its amount can directly influence these values [31]. Additionally, de Sousa et al. [32,33] have shown that, in the case of GTR devulcanized by microwaves and revulcanized, the rubber phases present in GTR, i.e., NR and SBR, are degraded in different levels during the recycling processes, that is, NR phase is preferentially degraded during the microwave devulcanization process, while the SBR phase is preferentially degraded during the revulcanization procedure in heated press, the same recycling methods used in the present work. Thus, the recycled phase in the analyzed composites could have suffered some degradation level, which could have influenced the obtained results. As presented before, the result of microwave specific energy of SBR-3 was slightly higher than the energy necessary to perform a controlled reclaiming of SBR [26], which probably influenced the obtained results. In addition, the decrease of the MH values could be a consequence of the formation of a physical barrier to the cross-link reactions because of the presence of SBR-r [20].
Concerning the ts1 and t90 values, it is observed that, in general, they are reduced as the amount of recycled rubber increased in the composite, as well as the exposure time of the SBR-r to the microwaves increased, increasing the CRI results, i.e., the vulcanization reaction rate increased. According to some authors [18,19,20,34,35,36], these results are typical for recycled rubbers, due to the residual vulcanization additives (such as accelerators) from the first vulcanization reaction present in the recycled phase. Additionally, it is known that the devulcanization increases the interaction between raw phase and recycled phase in composites and blends containing recycled rubbers. The increase in the reaction rate is important since energy can be saved during the process. However, the reduction of ts1 results is not desirable, since during this period the rubber can flow and produce consumer goods without problems. Therefore, if this time is reduced, the probability of producing defective consumer goods is higher.

3.3. Characterization of the SBR-r Composites

Figure 2 presents the results of tensile strength and elongation at break for the SBR-r composites, before and after the accelerated aging in an air oven.
According to the tensile strength results, in general for this property, an increase was observed based on the amount of recycled rubber in the composites. However, in general, the results showed that an increase in the exposure time of SBR-r to the microwaves resulted in a reduction in this property. These results could be a consequence of the reduction of the viscosity of the devulcanized SBR-r, which improves the interaction and adhesion between the phases, thus, reducing the reinforcing character of the SBR-r. Additionally, as discussed above, these results can also suffer the influence of degradation of the SBR-r during the recycling stages [32,33]. Concerning the elongation at break, no significant variation was observed among the analyzed samples. However, the composites containing recycled rubber presented a significant improvement in this property as compared with the Reference sample.
Concerning the tensile strength, it is important to mention that the majority of the composites presented a higher value property than the Reference sample, for both aged and unaged samples. This observation depicts the possibility of using SBR-r in the production of composites without reduction of the property as compared with the Reference sample, in technological applications. In the case of the elongation of break of the aged samples, it is possible that the aged rubbers continued the vulcanization process during the aging stage (post cure process), as demonstrated by Zanchet et al. [29], since the higher cross-link density tends to reduce the elasticity of the sample. Similar behavior was observed by Hamed and Zhao [37] who reported that, after aging for 16 days, the strength of the samples increased approximately two-fold, while the elongation at break was significantly reduced due to the increase of the cross-link density of the samples.
Figure 3 shows the tear strength results of the composites, before and after the aging process.
According to tear strength results, for unaged samples (Figure 3a), both an increase in the exposure time to the microwaves and an increase in the SBR-r content led to a reduction in the property. Conversely, for aged samples, this trend was not observed, that is, the composites containing SBR-r showed an improvement as compared with the Reference sample. Additionally, no significant reduction of the property values of aged samples as compared with the unaged samples composites were observed.
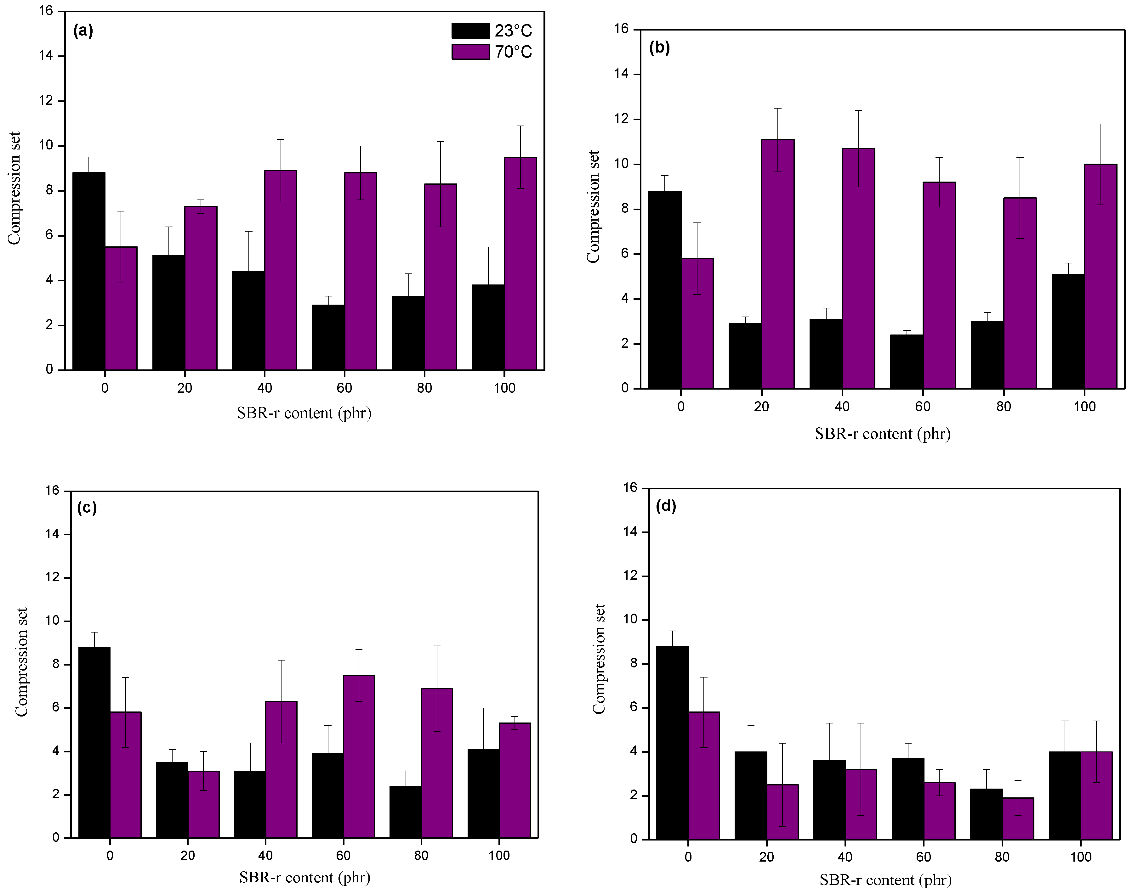
Figure 4 shows the compression set results of the analyzed composites.
A reduction in compression set was observed with the incorporation of SBR-r for the unaged samples (23 °C). This result indicated an increase in elastic recovery of the material to the imposed deformation. In general, this property was influenced by the exposure time of the SBR-r to the microwaves, especially when aged samples were compared, which could be related to variations in the cross-link density [38]. When subjected to accelerated aging in an air oven at 70 °C, all the composites showed an increase in the compression set values. According to the literature [31], this is attributed to the reduced elasticity of the elastomeric matrix, which hinders the elastic recovery of the material and leads to a plastic deformation under stress.

3.4. Accelerated Aging in a UV Chamber

Figure 5 presents the property retention values of tensile strength of the SBR-r composites after the UV aging for 120, 240, 360, and 420 h.
Tensile strength values presented an increase in aging time up to 360 h. According to the literature [39], the loss of properties for longer times of aging is attributed to the continuous increase in the cross-link density. Moreover, as the formulation of SBR-r is not completely known, it could contain antioxidants, since this additive is largely used in the automotive rubber industry in general. It is important to emphasize the increase of tensile strength of the composites containing higher concentrations of SBR-3.
The property retention values of elongation at break of the SBR-r composites after the UV aging for 120, 240, 360, and 420 h are presented in Figure 6.
For elongation at break (Figure 6), a gradual decrease in this property was observed with an increase of the aging time [20,37,40]. However, it was independent of the SBR-r content. This could have been related to the increased stiffness of the elastomeric matrix, corroborating the tensile strength results. When the cross-link density was high, the average molar mass of the rubber chains between two cross-linked points decreased. This caused an increase in the stiffness of the elastomeric matrix and, therefore, lowered the elongation at break values [39]. These results corroborate with the mechanical properties previously discussed.
As observed in the discussion of the results, a higher cross-linked density was observed in the aged samples, which resulted in higher stiffness of the aged samples. The results of the aged samples in relation to the Reference sample presented improvements of up to 175% of tensile strength (100 SBR-2, 3.55 MPa), 107% of tear strength (100 SBR-3, 18.31 kN.m−1), and 91% of compression set (20 SBR-1, 11.10). Figure 7 schematically depicts this result, showing the use of the UV chamber, being valid also for thermal aging in the forced air circulating oven. It is important to mention that satisfactory mechanical properties after accelerated aging were obtained, in some cases higher than the Reference sample, as previously depicted. These results indicate the possibility of using these materials in technological applications, in several different areas, depending on the specific mechanical property demanded.

4. Conclusions

The set of properties required to obtain SBR-r composites with technological application is related to the mechanical properties of the Reference sample, such as tension and tear strength. The results indicate that the devulcanization of the waste rubber by microwaves cause breakage of the cross-links and degradation of the main chains. While cross-link scission makes the material moldable and reprocessable, the degradation of the main chains, which is unavoidable, leads to a deterioration of the mechanical properties. After the aging processes, an increase in molecular stiffness of the composites was observed as a result of the increase in the cross-link density. The aged samples presented improved results as compared with the Reference sample of up to 175% of tensile strength (100 SBR-2, 3.55 MPa), 107% of tear strength (100 SBR-3, 18.31 kN m−1), and 91% of compression set (20 SBR-1, 11.10). As main conclusion, this study showed the treatment by microwaves as a viable technique for the recycling of rubber, and the composites containing devulcanized SBR presented higher mechanical properties as compared with the Reference sample, especially after the accelerated aging. However, the parameters of the devulcanization process can degrade the material, which is not desired, and one of the main factors for the success of the process is the control of the final temperature of the samples, which is the objective of future works.

Author Contributions

Methodology, A.Z. and F.D.B.d.S.; investigation, A.Z. and F.D.B.d.S.; data curation, A.Z. and F.D.B.d.S.; writing—original draft preparation, A.Z. and F.D.B.d.S.; writing—review and editing, A.Z. and F.D.B.d.S. All authors have read and agreed to the published version of the manuscript.

Funding

This research received no external funding.

Acknowledgments

The authors are grateful to the Ciaflex Rubber Industry Ltd. for the material donation, and to the Fundação Meridional for financial support.

Conflicts of Interest

The authors declare no conflict of interest.

References

  1. De Sousa, F.D.B. Vulcanization of natural rubber: Past, present and future perspectives. In Natural Rubber: Properties, Behavior and Applications; Hamilton, J.L., Ed.; Nova Science Publishers: New York, NY, USA, 2016; pp. 47–88. ISBN 978-1-63485-454-2. [Google Scholar]
  2. Adhikari, B.; De, D.; Maiti, S. Reclamation and recycling of waste rubber. Prog. Polym. Sci. 2000, 25, 909–948. [Google Scholar] [CrossRef]
  3. Sreeja, T.D.; Kutty, S.K.N. Cure characteristics and mechanical properties of short nylon fiber reinforced natural rubber–reclaimed rubber blends. Polym. Plast. Technol. Eng. 2003, 42, 239–252. [Google Scholar] [CrossRef]
  4. De Sousa, F.D.B.; Zanchet, A.; Scuracchio, C.H. Influence of reversion in compounds containing recycled natural rubber: In search of sustainable processing. J. Appl. Polym. Sci. 2017. [Google Scholar] [CrossRef]
  5. Hirayama, D.; Saron, C. Chemical modifications in styrene-butadiene rubber after microwave devulcanization. Ind. Eng. Chem. Res. 2012, 51, 3975–3980. [Google Scholar] [CrossRef]
  6. Hirayama, D.; Scuracchio, C.H.; Saron, C. Microwave devulcanization of SBR containing carbon black. J. Res. Updat. Polym. Sci. 2016, 5, 52–59. [Google Scholar]
  7. Scuracchio, C.H.; Waki, D.A.; da Silva, M.L.C.P. Thermal analysis of ground tire rubber devulcanized by microwaves. J. Therm. Anal. Calorim. 2007, 87, 893–897. [Google Scholar] [CrossRef]
  8. Gibala, D.; Hamed, G.R. Cure and mechanical behavior of rubber compounds containing ground vulcanizates. Part I-Cure behavior. Rubber Chem. Technol. 1994, 67, 636–648. [Google Scholar] [CrossRef]
  9. Formela, K.; Hejna, A.; Zedler, Ł.; Colom, X.; Cañavate, J. Microwave treatment in waste rubber recycling–recent advances and limitations. Express Polym. Lett. 2019, 13, 565–588. [Google Scholar] [CrossRef]
  10. Bockstal, L.; Berchem, T.; Schmetz, Q.; Richel, A. Devulcanisation and reclaiming of tires and rubber by physical and chemical processes: A review. J. Clean. Prod. 2019, 236, 117574. [Google Scholar] [CrossRef]
  11. De Sousa, F.D.B.; Scuracchio, C.H. The role of carbon black on devulcanization of natural rubber by microwaves. Mater. Res. J. Mater. 2015, 18, 791–797. [Google Scholar] [CrossRef]
  12. De, S.K. Re-use of ground rubber waste - A review. Prog. Rubber Plast. Technol. 2001, 17, 113–126. [Google Scholar] [CrossRef]
  13. Joseph, A.M.; Madhusoodanan, K.N.; Alex, R.; George, B. Incorporation of devulcanised rubber in fresh rubber compounds: Impact of filler correction on vulcanisate properties. Prog. Rubber Plast. Recycl. Technol. 2017, 33, 281–302. [Google Scholar] [CrossRef]
  14. Zanchet, A.; Bandeira Dotta, A.; de Sousa, F.D.B. Relationship among vulcanization, mechanical properties and morphology of blends containing recycled EPDM. Recycling 2017, 2, 16. [Google Scholar] [CrossRef]
  15. Zanchet, A.; Dal’Acqua, N.; Weber, T.; Crespo, J.S.; Brandalise, R.N.; Nunes, R.C.R. Propriedades reométricas e mecânicas e morfologia de compósitos desenvolvidos com resíduos elastoméricos vulcanizados. Polim. E Tecnol. 2007, 17, 23–27. [Google Scholar] [CrossRef]
  16. Zanchet, A.; Masiero, A.; de Sousa, F.D.B.; Brandalise, R.N. The influence of UV-accelerated aging process on industrial waste containing EPDM. Recycling 2019, 4, 25. [Google Scholar] [CrossRef]
  17. De Sousa, F.D.B.; Scuracchio, C.H.; Hu, G.H.; Hoppe, S. Effects of processing parameters on the properties of microwave-devulcanized ground tire rubber/polyethylene dynamically revulcanized blends. J. Appl. Polym. Sci. 2016, 133. [Google Scholar] [CrossRef]
  18. De Sousa, F.D.B.; Gouveia, J.R.; De Camargo Filho, P.M.F.; Vidotti, S.E.; Scuracchio, C.H.; Amurin, L.G.; Valera, T.S. Blends of ground tire rubber devulcanized by microwaves/HDPE—Part A: Influence of devulcanization process. Polim. E Tecnol. 2015, 25, 256–264. [Google Scholar] [CrossRef]
  19. De Sousa, F.D.B.; Gouveia, J.R.; de Camargo Filho, P.M.F.; Vidotti, S.E.; Scuracchio, C.H.; Amurin, L.G.; Valera, T.S. Blends of ground tire rubber devulcanized by microwaves/HDPE-Part B: Influence of clay addition. Polim. E Tecnol. 2015, 25, 382–391. [Google Scholar] [CrossRef]
  20. Zanchet, A.; Carli, L.N.; Giovanela, M.; Brandalise, R.N.; Crespo, J.S. Use of styrene butadiene rubber industrial waste devulcanized by microwave in rubber composites for automotive application. Mater. Des. 2012, 39, 437–443. [Google Scholar] [CrossRef]
  21. Scuracchio, C.H.; Bretas, R.E.S.; Isayev, A.I. Blends of PS with SBR devulcanized by ultrasound: Rheology and morphology. J. Elastomers Plast. 2004, 36, 45–75. [Google Scholar] [CrossRef]
  22. Simon, D.Á.; Pirityi, D.; Tamás-Bényei, P.; Bárány, T. Microwave devulcanization of ground tire rubber and applicability in SBR compounds. J. Appl. Polym. Sci. 2020, 137, 48351. [Google Scholar] [CrossRef]
  23. De Sousa, F.D.B.; Zanchet, A.; Marczynski, E.S.; Pistor, V.; Fiorio, R.; Crespo, J.S. Devulcanized EPDM without paraffinic oil in the production of blends as a potential application of the residues from automobile industry. J. Mater. Cycles Waste Manag. 2019, 1–12. [Google Scholar] [CrossRef]
  24. Weber, T.; Zanchet, A.; Crespo, J.S.; Oliveira, M.G.; Suarez, J.C.M.; Nunes, R.C.R. Caracterização de artefatos elastoméricos obtidos por revulcanização de resíduo industrial de SBR(copolímero de butadieno e estireno). Polim. E Tecnol. 2011, 21, 429–435. [Google Scholar] [CrossRef]
  25. Carli, L.N.; Boniatti, R.; Teixeira, C.E.; Nunes, R.C.R.; Crespo, J.S. Development and characterization of composites with ground elastomeric vulcanized scraps as filler. Mater. Sci. Eng. C 2009, 29, 383–386. [Google Scholar] [CrossRef]
  26. Seghar, S.; Ait Hocine, N.; Mittal, V.; Azem, S.; Al-Zohbi, F.; Schmaltz, B.; Poirot, N. Devulcanization of styrene butadiene rubber by microwave energy: Effect of the presence of ionic liquid. Express Polym. Lett. 2015, 9, 1076–1086. [Google Scholar] [CrossRef]
  27. De Sousa, F.D.B.; Scuracchio, C.H. Vulcanization behavior of NBR with organically modified clay. J. Elastomers Plast. 2012, 44, 263–272. [Google Scholar] [CrossRef]
  28. De Sousa, F.D.B.; Scuracchio, C.H.; Hu, G.H.; Hoppe, S. Devulcanization of waste tire rubber by microwaves. Polym. Degrad. Stab. 2017, 138, 169–181. [Google Scholar] [CrossRef]
  29. Zanchet, A.; Carli, L.N.; Giovanela, M.; Crespo, J.S.; Scuracchio, C.H.; Nunes, R.C.R. Characterization of microwave-devulcanized composites of ground SBR scraps. J. Elastomers Plast. 2009, 41, 497–507. [Google Scholar] [CrossRef]
  30. Carli, L.N.; Bianchi, O.; Mauler, R.S.; Crespo, J.S. Crosslinking kinetics of SBR composites containing vulcanized ground scraps as filler. Polym. Bull. 2011, 67, 1621–1631. [Google Scholar] [CrossRef]
  31. Nelson, P.A.; Kutty, S.K.N. Cure characteristics and mechanical properties of butadiene rubber/whole tyre reclaimed rubber blends. Prog. Rubber Plast. Recycl. Technol. 2002, 18, 85–97. [Google Scholar] [CrossRef]
  32. De Sousa, F.D.B.; Zanchet, A.; Scuracchio, C.H. From devulcanization to revulcanization: Challenges in getting recycled tire rubber for technical applications. ACS Sustain. Chem. Eng. 2019, 7, 8755–8765. [Google Scholar] [CrossRef]
  33. De Sousa, F.D.B.; Zanchet, A.; Ornaghi Júnior, H.L.; Ornaghi, F.G. Revulcanization kinetics of waste tire rubber devulcanized by microwaves: Challenges in getting recycled tire rubber for technical application. ACS Sustain. Chem. Eng. 2019, 7, 15413–15426. [Google Scholar] [CrossRef]
  34. Oh, J.S.; Isayev, A.I. Continuous ultrasonic devulcanization of unfilled butadiene rubber. J. Appl. Polym. Sci. 2004, 93, 1166–1174. [Google Scholar] [CrossRef]
  35. Oh, J.S.; Ghose, S.; Isayev, A.I. Effects of ultrasonic treatment on unfilled butadiene rubber. J. Polym. Sci. Part B Polym. Phys. 2003, 41, 2959–2968. [Google Scholar] [CrossRef]
  36. Ismail, H.; Ishak, S.; Hamid, Z.A.A. Effect of blend ratio on cure characteristics, tensile properties, thermal and swelling properties of mica-filled (ethylene-propylene-diene monomer)/(recycled ethylene-propylene-diene monomer) (EPDM/r-EPDM) blends. J. Vinyl Addit. Technol. 2015, 21, 1–6. [Google Scholar] [CrossRef]
  37. Hamed, G.R.; Zhao, J. Tensile behavior after oxidative aging of gum and black-filled vulcanizates of SBR and NR. Rubber Chem. Technol. 1999, 72, 721–730. [Google Scholar] [CrossRef]
  38. Choi, S.-S.; Han, D.-H. Comparison of recovery behaviors of thermally aged SBR composite from compressed and circular deformations. Thermochim. Acta 2009, 490, 8–12. [Google Scholar] [CrossRef]
  39. Zhao, Q.; Gao, J. Aging of ethylene–propylene–diene monomer (EPDM) in artificial weathering environment. Polym. Degrad. Stab. 2007, 92, 1841–1846. [Google Scholar] [CrossRef]
  40. Nair, T.M.; Kumaran, M.G.; Unnikrishnan, G.; Kunchandy, S. Ageing studies of ethylene propylene diene monomer rubber/styrene butadiene rubber blends: Effects of heat, ozone, gamma radiation, and water. J. Appl. Polym. Sci. 2008, 107, 2923–2929. [Google Scholar] [CrossRef]
Figure 1. Temperature of the recycled SBR just after its exposure to the microwaves, the gel content, and the corresponding medium microwave specific energy of the devulcanized samples.
Figure 1. Temperature of the recycled SBR just after its exposure to the microwaves, the gel content, and the corresponding medium microwave specific energy of the devulcanized samples.
Recycling 05 00003 g001
Figure 2. Results of tensile strength and elongation at break for the SBR-r composites. (a,c) before accelerated aging; and (b,d) after accelerated aging in an air oven.
Figure 2. Results of tensile strength and elongation at break for the SBR-r composites. (a,c) before accelerated aging; and (b,d) after accelerated aging in an air oven.
Recycling 05 00003 g002
Figure 3. Tear strength results of SBR-r composites, before (a) and after (b) accelerated aging in an air oven.
Figure 3. Tear strength results of SBR-r composites, before (a) and after (b) accelerated aging in an air oven.
Recycling 05 00003 g003
Figure 4. Compression set values of SBR-r composites before and after the accelerated aging. (a) SBR-0; (b) SBR-1; (c) SBR-2; and (d) SBR-3.
Figure 4. Compression set values of SBR-r composites before and after the accelerated aging. (a) SBR-0; (b) SBR-1; (c) SBR-2; and (d) SBR-3.
Recycling 05 00003 g004
Figure 5. Property retention values (%) of tensile strength of the SBR-r composites after the aging in a UV chamber.
Figure 5. Property retention values (%) of tensile strength of the SBR-r composites after the aging in a UV chamber.
Recycling 05 00003 g005
Figure 6. Property retention values (%) of elongation at break of the SBR-r composites after the aging in a UV chamber.
Figure 6. Property retention values (%) of elongation at break of the SBR-r composites after the aging in a UV chamber.
Recycling 05 00003 g006
Figure 7. Schematic diagram showing the increase of the molecular stiffness due to the increase of the cross-link density of the analyzed composites during the aging.
Figure 7. Schematic diagram showing the increase of the molecular stiffness due to the increase of the cross-link density of the analyzed composites during the aging.
Recycling 05 00003 g007
Table 1. Composites formulation, in parts per hundred of rubber (phr).
Table 1. Composites formulation, in parts per hundred of rubber (phr).
CompoundSample
Reference20 SBR-r40 SBR-r60 SBR-r80 SBR-r100 SBR-r
SBR-1502100100100100100100
SBR-r-20406080100
ZnO3.003.003.003.003.003.00
Stearic acid1.001.001.001.001.001.00
TBBS1.001.001.001.001.001.00
Sulfur1.751.751.751.751.751.75
Table 2. Vulcanization characteristics of the composites.
Table 2. Vulcanization characteristics of the composites.
SampleMH (dN.m)ML (dN.m)∆M (dN.m)ts1 (min)t90 (min)CRI (min−1)
Reference24.64.919.712.422.50.10
20 SBR-023.95.918.06.913.00.16
40 SBR-017.75.412.35.710.00.23
60 SBR-023.07.215.84.69.50.20
80 SBR-019.66.413.25.77.00.77
100 SBR-011.25.85.44.36.30.50
20 SBR-124.55.319.24.96.50.63
40 SBR-126.45.820.65.49.10.27
60 SBR-122.86.316.53.48.40.20
80 SBR-122.06.815.23.97.30.29
100 SBR-121.97.414.52.77.20.22
20 SBR-222.75.117.66.714.40.13
40 SBR-223.05.317.74.610.20.18
60 SBR-223.45.617.83.67.30.27
80 SBR-222.96.616.33.06.50.29
100 SBR-221.77.214.52.66.00.29
20 SBR-321.55.216.36.713.30.15
40 SBR-317.04.512.55.19.00.26
60 SBR-318.84.913.94.58.50.25
80 SBR-319.15.713.43.46.50.32
100 SBR-321.06.614.42.86.10.30

Share and Cite

MDPI and ACS Style

Zanchet, A.; de Sousa, F.D.B. Elastomeric Composites Containing SBR Industrial Scraps Devulcanized by Microwaves: Raw Material, Not a Trash. Recycling 2020, 5, 3. https://doi.org/10.3390/recycling5010003

AMA Style

Zanchet A, de Sousa FDB. Elastomeric Composites Containing SBR Industrial Scraps Devulcanized by Microwaves: Raw Material, Not a Trash. Recycling. 2020; 5(1):3. https://doi.org/10.3390/recycling5010003

Chicago/Turabian Style

Zanchet, Aline, and Fabiula Danielli Bastos de Sousa. 2020. "Elastomeric Composites Containing SBR Industrial Scraps Devulcanized by Microwaves: Raw Material, Not a Trash" Recycling 5, no. 1: 3. https://doi.org/10.3390/recycling5010003

APA Style

Zanchet, A., & de Sousa, F. D. B. (2020). Elastomeric Composites Containing SBR Industrial Scraps Devulcanized by Microwaves: Raw Material, Not a Trash. Recycling, 5(1), 3. https://doi.org/10.3390/recycling5010003

Article Metrics

Back to TopTop