Bioprocess Valorization of Brazilian Agro-Industrial Wastes for Enzyme Synthesis in Protease Production
Abstract
1. Introduction
2. Results and Discussion
2.1. Influence of Environmental Conditions on Protease Activity
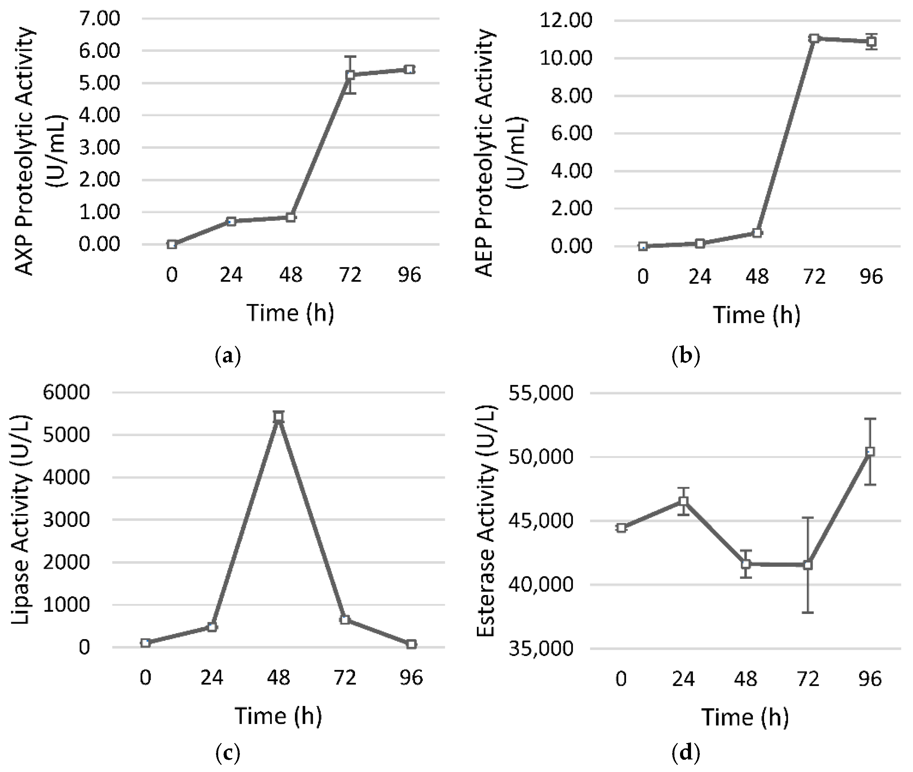
2.2. Enzyme Production in Standard YPD Medium
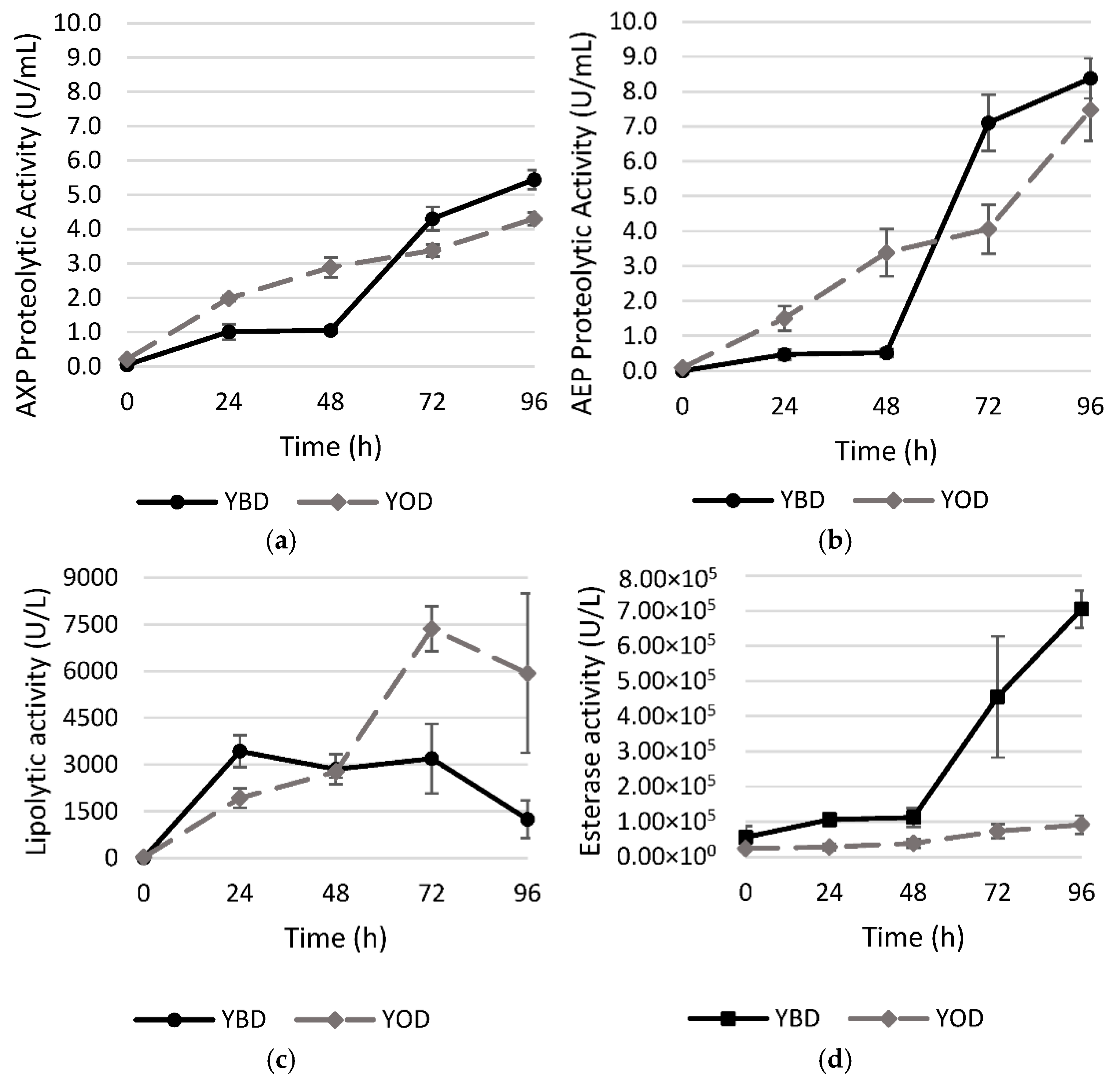
2.3. Effect of Different Inducers on Hydrolase Production
3. Materials and Methods
3.1. Materials
3.2. Microorganism and Preservation
3.3. Inoculum Preparation
3.4. Fermentation Conditions
3.5. Biomass Determination
3.6. Glucose Quantification
3.7. Enzyme Assays
3.7.1. Protease Activity
3.7.2. Lipase Activity
3.7.3. Esterase Activity
3.8. Statistical Analysis
4. Conclusions
Supplementary Materials
Author Contributions
Funding
Data Availability Statement
Conflicts of Interest
Abbreviations
| YPD | Culture medium composed of yeast extract, peptone, and dextrose |
| YAD | Culture medium composed of yeast extract, ovalbumin, and dextrose |
| YCD | Culture medium composed of yeast extract, corn steep liquor, and dextrose |
| YBD | Culture medium composed of yeast extract, brewer’s yeast residue, and dextrose |
| YOD | Culture medium composed of yeast extract, okara, and dextrose |
| AEP | Alkaline extracellular protease |
| XPR2 | Alkaline extracellular protease gene |
| AXP | Acid extracellular protease |
| AXP1 | Acid extracellular protease gene |
| GRAS | Generally Recognized As Safe |
| FDA | Food and Drug Administration |
| SDGs | Sustainable Development Goals |
References
- Azmi, S.I.M.; Kumar, P.; Sharma, N.; Sazili, A.Q.; Lee, S.-J.; Ismail-Fitry, M.R. Application of Plant Proteases in Meat Tenderization: Recent Trends and Future Prospects. Foods 2023, 12, 1336. [Google Scholar] [CrossRef]
- Shah, M.A.; Mir, S.A.; Paray, M.A. Plant proteases as milk-clotting enzymes in cheesemaking: A review. Dairy Sci. Technol. 2013, 94, 5–16. [Google Scholar] [CrossRef]
- Dunaevsky, Y.E.; Tereshchenkova, V.F.; Belozersky, M.A.; Filippova, I.Y.; Oppert, B.; Elpidina, E.N. Effective Degradation of Gluten and Its Fragments by Gluten-Specific Peptidases: A Review on Application for the Treatment of Patients with Gluten Sensitivity. Pharmaceutics 2021, 13, 1603. [Google Scholar] [CrossRef]
- Maurer, K.-H. Detergent proteases. Curr. Opin. Biotechnol. 2004, 15, 330–334. [Google Scholar] [CrossRef]
- Mamo, J.; Assefa, F. The Role of Microbial Aspartic Protease Enzyme in Food and Beverage Industries. J. Food Qual. 2018, 2018, 7957269. [Google Scholar] [CrossRef]
- Chanalia, P.; Gandhi, D.; Jodha, D.; Singh, J. Applications of microbial proteases in the pharmaceutical industry: An overview. Rev. Res. Med. Microbiol. 2011, 22, 96–101. [Google Scholar] [CrossRef]
- Philipps-Wiemann, P. Proteases—Animal feed. In Enzymes in Human and Animal Nutrition; Academic Press: London, UK, 2018; pp. 279–297. [Google Scholar] [CrossRef]
- Vojcic, L.; Pitzler, C.; Korfer, G.; Jakob, F.; Martinez, R.; Maurer, K.-H.; Schwaneberg, U. Advances in protease engineering for laundry detergents. New Biotechnol. 2015, 32, 629–634. [Google Scholar] [CrossRef]
- Mordor Intelligence. Protease Market Size & Share Analysis–Growth Trends & Forecasts (2024–2029). Available online: https://www.mordorintelligence.com/industry-reports/proteases-market (accessed on 23 March 2026).
- Global Growth Insights. Protease Market. Available online: https://globalgrowthinsights.com/market-reports/protease-market-105654 (accessed on 23 March 2026).
- Singh, R.; Kumar, M.; Mittal, A.; Mehta, P.K. Microbial enzymes: Industrial progress in the 21st century. 3 Biotech 2016, 6, 174. [Google Scholar] [CrossRef]
- Tavano, O.L. Protein hydrolysis using proteases: An important tool for food biotechnology. J. Mol. Catal. B Enzym. 2013, 90, 1–11. [Google Scholar] [CrossRef]
- Aguilar, J.G.S.; Sato, H.H. Microbial proteases: Production and application in obtaining protein hydrolysates. Food Res. Int. 2018, 103, 253–262. [Google Scholar] [CrossRef]
- Thakur, N.; Goyal, M.; Sharma, S.; Kumar, D. Proteases: Industrial applications and approaches used in strain improvement. Biol. Forum Int. J. 2018, 10, 158–167. [Google Scholar]
- USA Food & Drug Administration. GRAS Notices. Available online: https://www.hfpappexternal.fda.gov/scripts/fdcc/index.cfm?set=GRASNotices&sort=GRN_No&order=DESC&startrow=1&type=basic&search=yarrowia (accessed on 25 September 2025).
- Ledesma-Amaro, R.; Nicaud, J.-M. Yarrowia lipolytica as a biotechnological chassis to produce usual and unusual fatty acids. Prog. Lipid Res. 2016, 61, 40–50. [Google Scholar] [CrossRef]
- Nicaud, J.-M.; Madzak, C.; van den Broek, P.; Gysler, C.; Duboc, P.; Niederberger, P.; Gaillardin, C. Protein expression and secretion in the yeast Yarrowia lipolytica. FEMS Yeast Res. 2002, 2, 371–379. [Google Scholar] [CrossRef]
- Beopoulos, A.; Cescut, J.; Haddouche, R.; Uribelarrea, J.-L.; Molina-Jouve, C.; Nicaud, J.-M. Yarrowia lipolytica as a model for bio-oil production. Prog. Lipid Res. 2009, 48, 375–387. [Google Scholar] [CrossRef]
- Nicaud, J. Yarrowia lipolytica. Yeast 2012, 29, 409–418. [Google Scholar] [CrossRef]
- Gonzalez-Lopez, I.; Szabo, R.; Blanchin-Roland, S.; Gaillardin, C. Genetic control of extracellular protease synthesis in the yeast Yarrowia lipolytica. Genetics 2002, 160, 417–427. [Google Scholar] [CrossRef]
- Ogrydziak, D.M.; Scharf, S.J. Alkaline extracellular protease produced by Saccharomycopsis lipolytica CX161–1B. J. Gen. Microbiol. 1982, 128, 1225–1234. [Google Scholar] [CrossRef]
- Young, T.W.; Wadeson, A.; Glover, D.J.; Quincey, R.V.; Butlin, M.J.; Kame, E.A. The extracellular acid protease gene of Yarrowia lipolytica: Sequence and pH-regulated transcription. Microbiology 1996, 142, 2913–2921. [Google Scholar] [CrossRef]
- Prado-Acebo, I.; Cubero-Cardoso, J.; Lu-Chau, T.A.; Eibes, G. Integral multi-valorization of agro-industrial wastes: A review. Waste Manag. 2024, 183, 42–52. [Google Scholar] [CrossRef]
- Zhou, K.; Yu, J.; Ma, Y.; Cai, L.; Zheng, L.; Gong, W.; Liu, Q.-A. Corn steep liquor: A green biological resource for the bioindustry. Appl. Biochem. Biotechnol. 2022, 194, 3280–3295. [Google Scholar] [CrossRef] [PubMed]
- Olivares-Galván, S.; Marina, M.L.; García, M.C. Extraction of valuable compounds from brewing residues: Malt rootlets, spent hops, and spent yeast. Trends Food Sci. Technol. 2022, 127, 181–197. [Google Scholar] [CrossRef]
- Jaeger, H.; Arendt, E.K.; Zannini, E.; Sahin, A.W. Brewer’s spent yeast (BSY), an underutilized brewing by-product. Fermentation 2020, 6, 123. [Google Scholar] [CrossRef]
- Wu, C.-M.; Yang, C.-Y. Impacts of Ultrasonic Treatment for Black Soybean Okara Culture Medium Containing Choline Chloride on the β-Glucosidase Activity of Lactiplantibacillus plantarum BCRC 10357. Foods 2023, 12, 3781. [Google Scholar] [CrossRef] [PubMed]
- Directive 2008/98/EC of the European Parliament and of the Council of 19 November 2008 on Waste and Repealing Specific Directives. (19 de 11 de 2008). Available online: https://eur-lex.europa.eu/eli/dir/2008/98/2024-02-18/eng (accessed on 19 January 2026).
- Sadh, P.; Duhan, S.; Duhan, J. Agro-industrial wastes and their utilization using solid state fermentation: A review. Bioresour. Bioprocess. 2018, 5, 1. [Google Scholar] [CrossRef]
- Novelli, P.K.; Barros, M.M.; Fleuri, L.F. Novel inexpensive fungi proteases: Production by solid state fermentation and characterization. Food Chem. 2016, 198, 119–124. [Google Scholar] [CrossRef]
- Singh, S.; Bajaj, B.K. Agroindustrial/Forestry Residues as Substrates for Production of Thermoactive Alkaline Protease from Bacillus licheniformis K-3 Having Multifaceted Hydrolytic Potential. Waste Biomass Valorization 2017, 8, 453–462. [Google Scholar] [CrossRef]
- Chimbekujwo, K.I.; Ja’afaru, M.I.; Adeyemo, O.M. Purification, characterization and optimization conditions of protease produced by Aspergillus brasiliensis strain BCW2. Sci. Afr. 2020, 8, e00398. [Google Scholar] [CrossRef]
- Liu, D.; Guo, Y.; Ma, H. Production of value-added peptides from agro-industrial residues by solid-state fermentation with a new thermophilic protease-producing strain. Food Biosci. 2023, 53, 102534. [Google Scholar] [CrossRef]
- Gaonkar, S.K.; Furtado, I.J. Valorization of low-cost agro-wastes residues for the maximum production of protease and lipase haloextremozymes by Haloferax lucentensis GUBF-2 MG076078. Process Biochemistry 2021, 101, 72–88. [Google Scholar] [CrossRef]
- Xiao, X.; Hou, Y.; Liu, Y.; Liu, Y.; Zhao, H.; Dong, L.; Du, J.; Wang, Y.; Bai, G.; Luo, G. Classification and analysis of corn steep liquor by UPLC/Q-TOF MS and HPLC. Talanta 2013, 107, 344–348. [Google Scholar] [CrossRef]
- Embrapa. Agro em Dados: Milho. Available online: https://www.embrapa.br/agropensa/agro-em-dados/agricultura/milho (accessed on 22 March 2026).
- Lima, E.C.S.; Nascimento, A.C.B.d.; Nascimento, R.P.d.; Itabaiana, I., Jr. Sustainable Valorization of Brewer’s Spent Grain via Submerged Fermentation Using Talaromyces stollii for Laccase and Phenolic Compounds Production. Recycling 2025, 10, 166. [Google Scholar] [CrossRef]
- Khare, S.K.; Jha, K.; Gandhi, A.P. Citric acid production from okara (soy residue) by solid-state fermentation. Bioresour. Technol. 1995, 54, 323–325. [Google Scholar] [CrossRef]
- Cotârleț, M.; Stănciuc, N.; Bahrim, G.E. Yarrowia lipolytica and Lactobacillus paracasei Solid State Fermentation as a Valuable Biotechnological Tool for the Pork Lard and Okara’s Biotransformation. Microorganisms 2020, 8, 1098. [Google Scholar] [CrossRef] [PubMed]
- Sigma-Aldrich. Product Information: Azocasein. Available online: https://www.sigmaaldrich.com/deepweb/assets/sigmaaldrich/product/documents/768/303/a2765pis.pdf (accessed on 25 September 2025).
- Lario, L.D.; Chaud, L.; Santana, M.F.; do Nascimento, T.C.; Polizeli, M.L.T.M. Production, purification, and characterization of an extracellular acid protease from the marine Antarctic yeast Rhodotorula mucilaginosa L7. Fungal Biology 2015, 119, 1129–1136. [Google Scholar] [CrossRef] [PubMed]
- Laishram, S.; Pennathur, G. Purification and characterization of a membrane-unbound highly thermostable metalloprotease from Aeromonas Caviae. Arab. J. Sci. Eng. 2016, 41, 2107–2116. [Google Scholar] [CrossRef]
- UniProt Consortium. UniProtKB—Q92389 (Acid Extracellular Protease). Available online: https://www.uniprot.org/uniprotkb/Q92389/entry (accessed on 23 March 2026).
- Eder, J.; Hommel, U.; Cumin, F.; Martoglio, B.; Gerhartz, B. Aspartic Proteases in Drug Discovery. Curr. Pharm. Des. 2007, 13, 271–285. [Google Scholar] [CrossRef]
- UniProt Consortium. UniProtKB—P09230 (Alkaline Extracellular Protease). Available online: https://www.uniprot.org/uniprotkb/P09230/entry (accessed on 23 March 2026).
- Dunn, B.M. Determination of protease mechanism. In Plant Proteolytic Enzymes—A Practical Approach; Beynon, R., Bond, J.S., Eds.; Oxford University Press: New York, NY, USA, 2001; pp. 77–79. [Google Scholar]
- Tobe, S.; Takami, T.; Ikeda, S.; Mtitsugi, K. Production and some enzymatic properties of alkaline proteinase of Candida lipolytica. Agric. Biol. Chem. 1976, 40, 1087–1092. [Google Scholar] [CrossRef]
- Ghorbel, B.; Sellami-Kamoun, A.; Nasri, M. Stability studies of protease from Bacillus cereus BG1. Enzyme Microb. Technol. 2003, 32, 513–518. [Google Scholar] [CrossRef]
- Sayem, S.M.A.; Alam, M.J.; Hoq, M. Effect of temperature, pH and metal ions on the activity and Stability of Alkaline Protease from Novel Bacillus Licheniformis Mzk03. Proc. Pak. Acad. Sci. 2006, 43, 257. [Google Scholar]
- Tunga, R.; Shrivastava, B.; Banerjee, R. Purification and characterization of a protease from solid state cultures of Aspergillus parasiticus. Process Biochem. 2003, 38, 1553–1558. [Google Scholar] [CrossRef]
- Tremacoldi, C.; Watanabe, N.; Carmona, E. Production of extracellular acid proteases by Aspergillus clavatus. World J. Microbiol. Biotechnol. 2004, 20, 639–642. [Google Scholar] [CrossRef]
- Hernández-Martínez, R.; Cordova, J.; Barbosa, A.; Rico-Martínez, R.; Cruz-Guerrero, A. Purification and characterization of a thermostable alkaline protease produced by Yarrowia lipolytica. Rev. Mex. De Ing. Química 2011, 10, 333–341. Available online: http://www.scielo.org.mx/scielo.php?script=sci_arttext&pid=S1665-27382011000200017&lng=es&nrm=iso (accessed on 25 September 2025).
- McEwen, R.K.; Young, T.W. Secretion and pH-dependent self-processing of the pro-form of the Yarrowia lipolytica acid extracellular protease. Yeast 1998, 14, 1115–1125. [Google Scholar] [CrossRef]
- Buarque, F.S.; Carniel, A.; Ribeiro, B.D.; Coelho, M.A.Z. Selective enzymes separation from the fermentation broth of Yarrowia lipolytica using aqueous two-phase system based on quaternary ammonium compounds. Sep. Purif. Technol. 2023, 324, 124539. [Google Scholar] [CrossRef]
- Carvalho, T.; Finotelli, P.V.; Bonomo, R.C.; Franco, M.; Amaral, P.F. Evaluating aqueous two-phase systems for Yarrowia lipolytica extracellular lipase purification. Process Biochem. 2017, 53, 259–266. [Google Scholar] [CrossRef]
- Brigida, I.; Amaral, P.F.; Gonçalves, L.R.; Rocha-Leão, M.H.; Coelho, M.A. Yarrowia lipolytica IMUFRJ 50682: Lipase Production in a Multiphase Bioreactor. Curr. Biochem. Eng. 2014, 1, 65–74. [Google Scholar] [CrossRef]
- Sales, J.C.S. Despolimerização de Embalagens Alimentícias à Base de Poli(Tereftalato de Etileno) (PET) por Yarrowia lipolytica. Ph.D. Thesis, Universidade Federal do Rio de Janeiro, Rio de Janeiro, Brasil, 2022. [Google Scholar]
- Botelho, M. Despolimerização Biológica de Poli(Tereftalato de Etileno) por Yarrowia lipolytica IMUFRJ50682 com Aplicação de Dimetilsulfóxido e Estresse Térmico. Ph.D. Thesis, Universidade Federal do Rio de Janeiro, Rio de Janeiro, Brasil, 2023. [Google Scholar]
- Costa, M.D.; Lopes, V.R.O.; Vidal, L.; Nicaud, J.-M.; Castro, A.M.; Coelho, M.A.Z. Poly(ethylene terephthalate) (PET) degradation by Yarrowia lipolytica: Investigations on cell growth, enzyme production and monomers consumption. Process Biochem. 2020, 95, 81–90. [Google Scholar] [CrossRef]
- Podpora, B.; Świderski, F.; Sadowska, A.; Rakowska, R.; Wasiak-Zys, G. Spent brewer’s yeast extracts as a new component of functional food. Czech J. Food Sci. 2016, 34, 554–559. [Google Scholar] [CrossRef]
- Asghar, A.; Wang, X.; Li, Y.; Zhang, Q.; Kumar, R.; Singh, P.; Chen, H.; Liu, J.; Zhao, L.; Martínez, F.; et al. Valorization and food applications of okara (soybean residue): A concurrent review. Food Sci. Nutr. 2023, 11, 3631–3640. [Google Scholar] [CrossRef]
- López-Flores, R.; Luna-Urban, C.; Buenrostro-Figueroa, J.J.; Hernández-Martínez, R.; Huerta-Ochoa, S.; Escalona-Buendía, H.; Aguilar-Gonzalez, C.; Prado-Barragán, L.A. Efecto del pH, temperatura y fuente de proteína y carbohidratos en la producción de proteasas por Yarrowia lipolytica en cultivo sólido. Rev. Mex. Ing. Quím. 2016, 15, 57–67. [Google Scholar]
- Azeredo, L.A.I.D.; Lima, M.B.D.; Coelho, R.R.R.; Freire, D.M.G. Thermophilic protease production by Streptomyces sp. 594 in submerged and solid-state fermentations using feather meal. J. Appl. Microbiol. 2006a, 100, 641–647. [Google Scholar] [CrossRef]
- Azeredo, L.A.I.D.; Lima, M.B.D.; Coelho, R.R.R.; Freire, D.M.G. A low-cost fermentation medium for thermophilic protease production by Streptomyces sp. 594 using feather meal and corn steep liquor. Curr. Microbiol. 2006b, 53, 334–339. [Google Scholar] [CrossRef] [PubMed]
- Jamrath, T.; Lindner, C.; Popovic, M.K.; Bajpai, R. Production of amylases and proteases by Bacillus caldolyticus from food industry wastes. Food Technol. Biotechnol. 2012, 50, 355–361. [Google Scholar]
- Ciurko, D.; Neuvéglise, C.; Szwechłowicz, M.; Lazar, Z.; Janek, T. Comparative analysis of the alkaline proteolytic enzymes of Yarrowia clade species and their putative applications. Int. J. Mol. Sci. 2023, 24, 6514. [Google Scholar] [CrossRef]
- Mathias, T.R.S.; Aguiar, P.F.; Silva, J.B.A.; Mello, P.P.M.; Sérvulo, E.F.C. Brewery waste reuse for protease production by lactic acid bacteria. Food Technol. Biotechnol. 2017, 55, 218–224. [Google Scholar] [CrossRef]
- Kotlar, E.; Belagardi, M.; Roura, S.I. Brewer’s spent grain: Characterization and standardization procedure for the enzymatic hydrolysis by Bacillus cereus strain. Biotechnol. Appl. Biochem. 2011, 58, 464–475. [Google Scholar] [CrossRef] [PubMed]
- Slivinskia, T.; Mallmann, E.; Araujo, J.M.A.; Mitchell, D.A.; Krieger, N. Production of surfactin by Bacillus pumilus UFPEDA 448 in solid-state fermentation using a medium based on okara with sugarcane bagasse as a bulking agent. Process Biochem. 2012, 47, 1848–1855. [Google Scholar] [CrossRef]
- Bernardo, B.S.; Kopplin, B.W.; Daroit, D.J. Bioconversion of fish scales and feather wastes by Bacillus sp. CL18 to obtain protease and bioactive hydrolysates. Waste Biomass Valorization 2023, 14, 1045–1056. [Google Scholar] [CrossRef]
- Mendonça-Hagler, L.C.; Hagler, A.N.; Kurtzman, C.P. Yeasts from marine and estuarine waters with different levels of pollution in the state of Rio de Janeiro, Brazil. Appl. Environ. Microbiol. 1981, 41, 173–178. [Google Scholar] [CrossRef]
- EMS. Neubauer Haemocytometry EMS Catalog #68052-14, 68052–15. Available online: https://www.emsdiasum.com/docstechnicaldatasheet68052-14?srsltid=AfmBOoqGAOPJne8JB9Eo-VCciduwt9BfscjJj9vTXMM_kPqK8Uo-Qokn (accessed on 25 September 2025).
- Castro, R.J.S.; Sato, H.H. Advantages of an acid protease from Aspergillus oryzae over commercial preparations for production of whey protein hydrolysates with antioxidant activities. Biocatal. Agric. Biotechnol. 2014, 3, 58–65. [Google Scholar] [CrossRef]
- Carvalho, A.S.S.; Buarque, F.S.; Castelo Branco, V.N.; de Faria Júnior, C.S.; Ferreira, R.M.; Ribeiro, B.D.; Lemes, A.C.; Coelho, M.F.R. Lipase Production Through Solid-State Fermentation: Partial Purification and Application for Omega-6 Enrichment in Fish Oil. Waste Biomass Valorization 2025, 16, 1–16. [Google Scholar] [CrossRef]
- Carniel, A.; Valoni, É.; Junior, J.N.; Gomes, A.C.; Castro, A.M. Lipase from Candida antarctica (CALB) and cutinase from Humicola insolens act synergistically for PET hydrolysis to terephthalic acid. Process Biochem. 2017, 59, 84–90. [Google Scholar] [CrossRef]









| Author | Fermentation Type | Microorganism | pH | Time (h) | Activity (U/mL) |
|---|---|---|---|---|---|
| This work | SmF | Y. lipolytica IMUFRJ 50678 | 5 | 96 | 5.4 ± 0.3 |
| This work | SmF | Y. lipolytica IMUFRJ 50678 | 8 | 96 | 8.4 ± 0.6 |
| López-Flores et al. [62] | SSF | Y. lipolytica | 7 | 24 | 67 |
| Azeredo et al. (2006a) [63] | SmF | Streptomyces sp. 594 | 6 | 72 | 7.2 ± 0.2 |
| Azeredo et al. (2006b) [64] | SmF | Streptomyces sp. 594 | 6 | 72 | 13.4 |
| Jamrath, Lindner, Popovic, & Bajpai (2012) [65] | SmF | Bacillus caldolyticus | 6.8 | 10 | 1.2 ± 0.5 |
| Ciurko, Neuvéglise, Szwechłowicz, Lazar, and Janek (2023) [66] | SmF | Y. lipolytica W29 | 7.5 | 72 | 2.47 |
| Mathias, Aguiar, Silva, Mello, & Sérvulo (2017) [67] | SmF | Lactobacillus delbrueckii ssp. | 8.3 | 3 | 4.9 |
| Kotlar, Belagardi, & Roura (2011) [68] | SmF | B. cereus + Pseudomonas sp. | 7 | 24 | 213.67 ± 22.50 |
| Kotlar, Belagardi, & Roura (2011) [68] | SmF | B. cereus + P. putida | 7 | 24 | 220.00 ± 9.17 |
| Slivinskia et al. (2012) [69] | SSF | Bacillus pumilus UFPEDA 448 | 8.5 | 72 | 442 |
| Bernardo, Kopplin, and Daroit (2023) [70] | SmF | Bacillus sp. CL18 | 8 | 72 | 780 |
| Medium | Protein Proportion | Additional Components |
|---|---|---|
| YPD | Peptone (2%) | Yeast extract (1%), dextrose (2%) |
| YAD | Albumin (2%) | Yeast extract (1%), dextrose (2%) |
| YCD | Corn steep liquor (2%) | Yeast extract (1%), dextrose (2%) |
| YBD | Brewer’s yeast residue (2%) | Yeast extract (1%), dextrose (2%) |
| YOD | Okara (2%) | Yeast extract (1%), dextrose (2%) |
Disclaimer/Publisher’s Note: The statements, opinions and data contained in all publications are solely those of the individual author(s) and contributor(s) and not of MDPI and/or the editor(s). MDPI and/or the editor(s) disclaim responsibility for any injury to people or property resulting from any ideas, methods, instructions or products referred to in the content. |
© 2026 by the authors. Licensee MDPI, Basel, Switzerland. This article is an open access article distributed under the terms and conditions of the Creative Commons Attribution (CC BY) license.
Share and Cite
Almeida, R.F.d.O.; Itabaiana, I., Jr.; Coelho, M.A.Z. Bioprocess Valorization of Brazilian Agro-Industrial Wastes for Enzyme Synthesis in Protease Production. Recycling 2026, 11, 76. https://doi.org/10.3390/recycling11040076
Almeida RFdO, Itabaiana I Jr., Coelho MAZ. Bioprocess Valorization of Brazilian Agro-Industrial Wastes for Enzyme Synthesis in Protease Production. Recycling. 2026; 11(4):76. https://doi.org/10.3390/recycling11040076
Chicago/Turabian StyleAlmeida, Rhudson Fellipy de Oliveira, Ivaldo Itabaiana, Jr., and Maria Alice Zarur Coelho. 2026. "Bioprocess Valorization of Brazilian Agro-Industrial Wastes for Enzyme Synthesis in Protease Production" Recycling 11, no. 4: 76. https://doi.org/10.3390/recycling11040076
APA StyleAlmeida, R. F. d. O., Itabaiana, I., Jr., & Coelho, M. A. Z. (2026). Bioprocess Valorization of Brazilian Agro-Industrial Wastes for Enzyme Synthesis in Protease Production. Recycling, 11(4), 76. https://doi.org/10.3390/recycling11040076

