Effect of Multiple Extrusion Cycles on Particle and Chemical Emissions and Mechanical and Thermal Properties of High-Density Polyethylene 3D Printing Filaments Made from Virgin and Post-Consumer Waste Plastics
Abstract
1. Introduction
2. Results and Discussion
2.1. Plastic Properties
2.1.1. Moisture
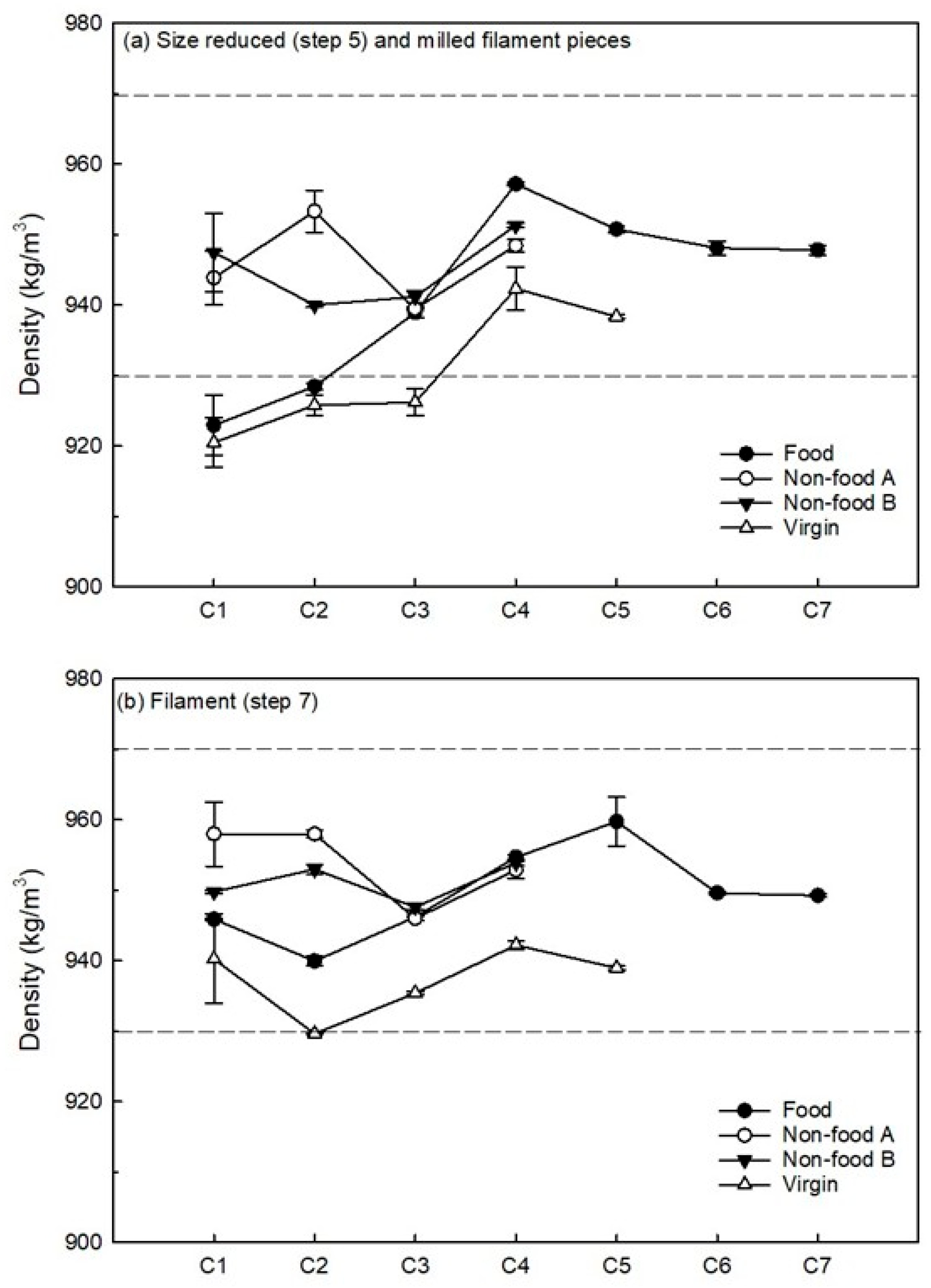
2.1.2. Density
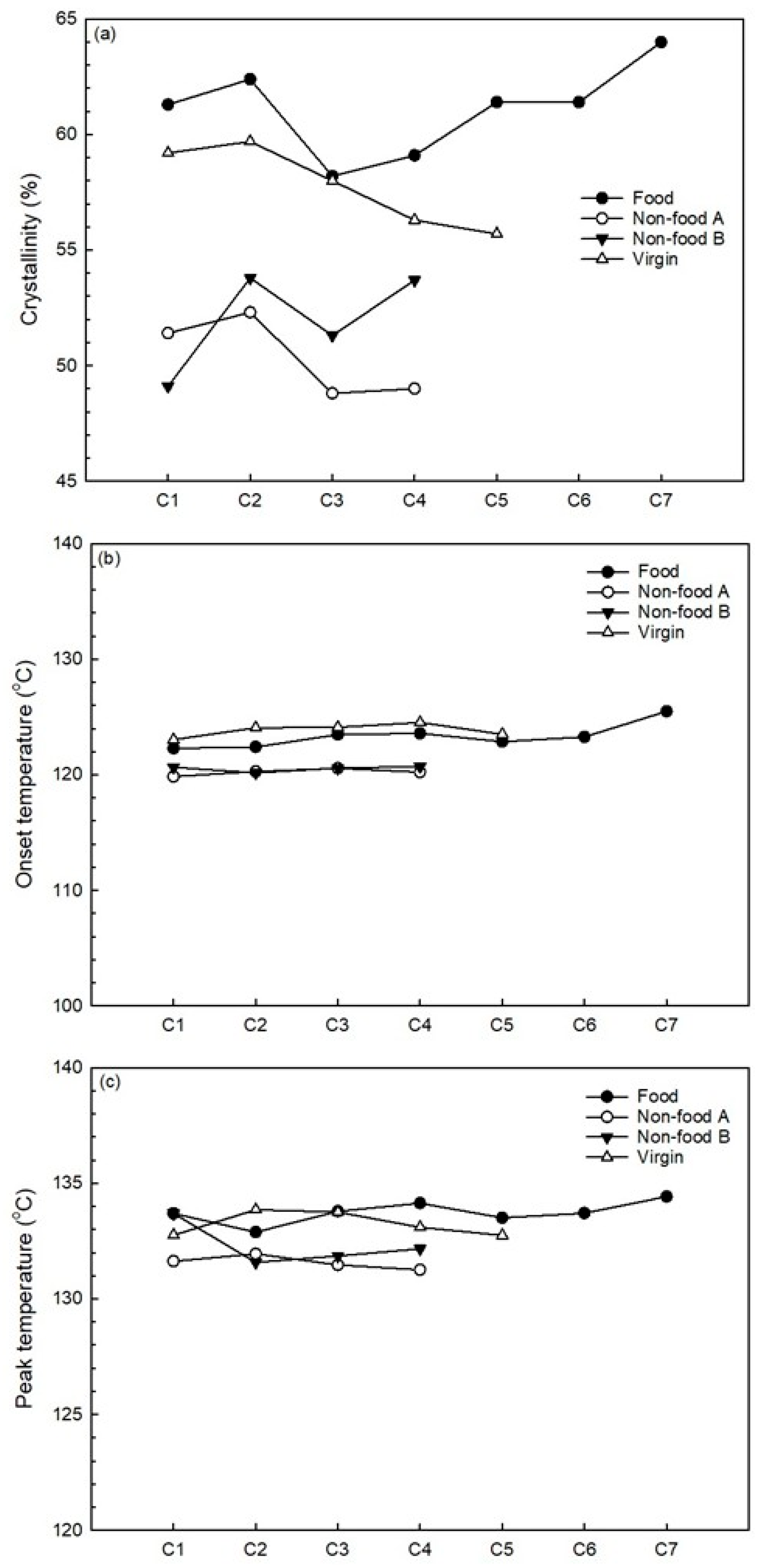
2.1.3. Differential Scanning Calorimetry Analysis
2.1.4. Melt Flow Index
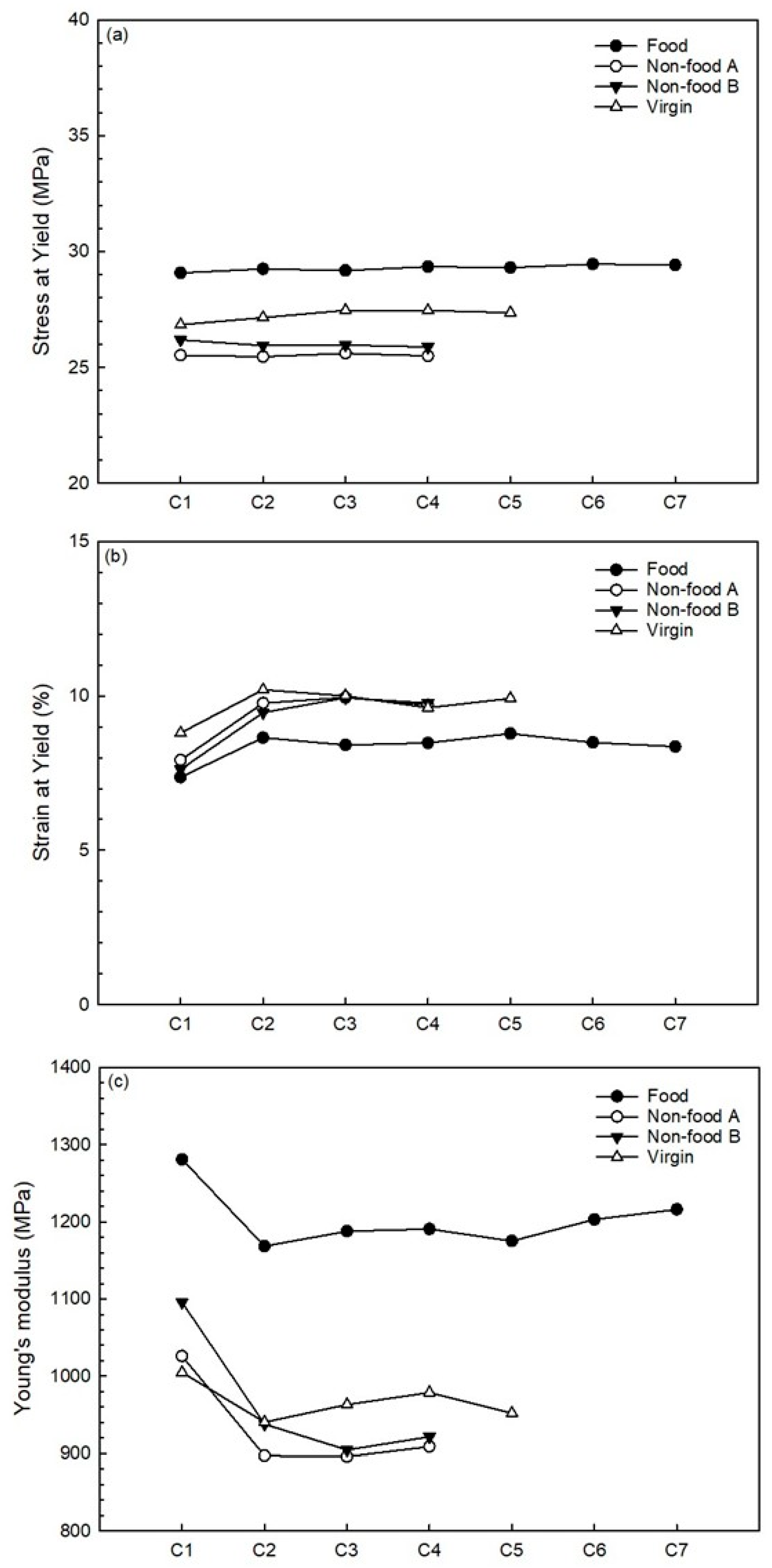
2.1.5. Tensile Properties
2.2. Emissions
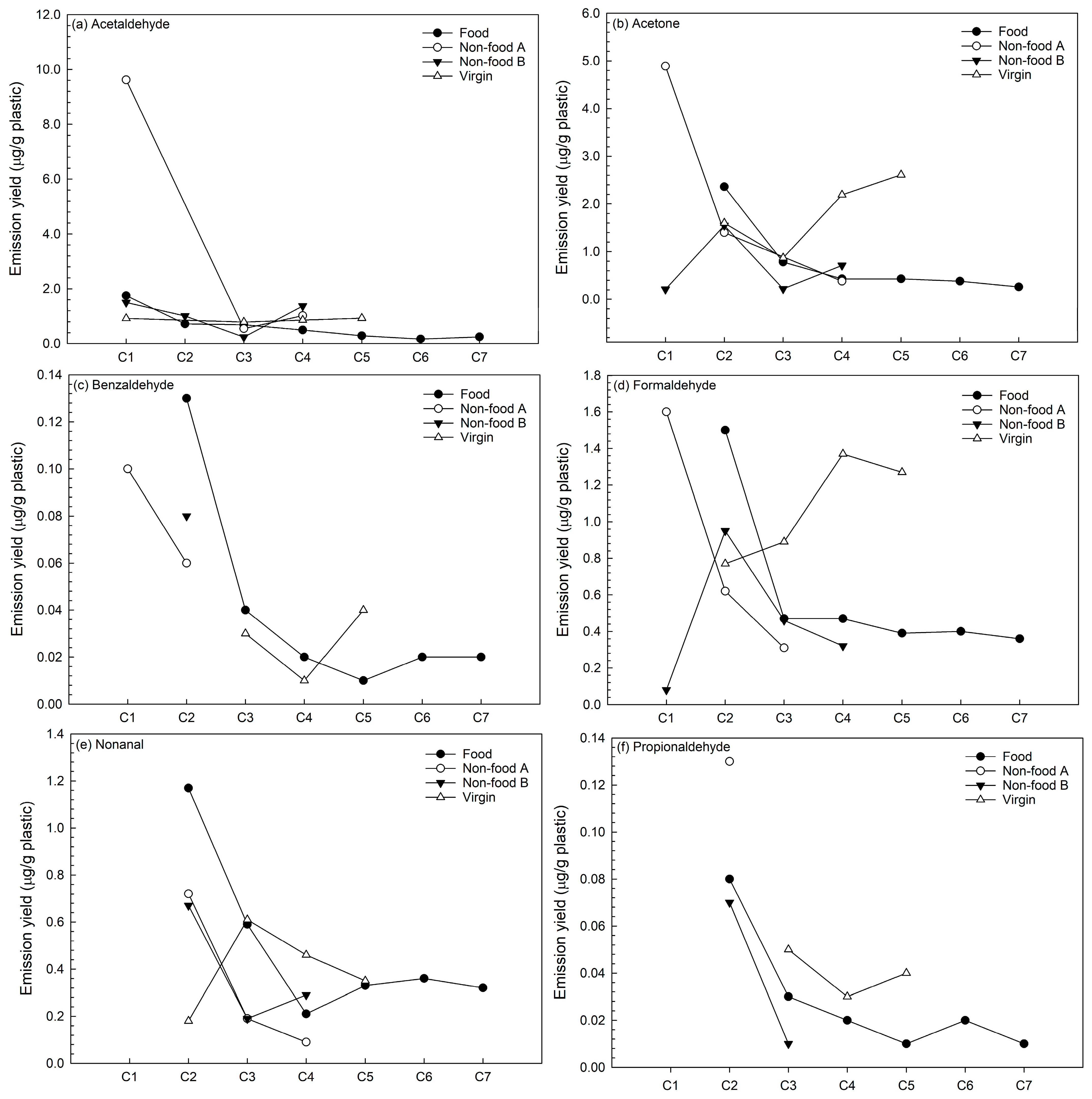
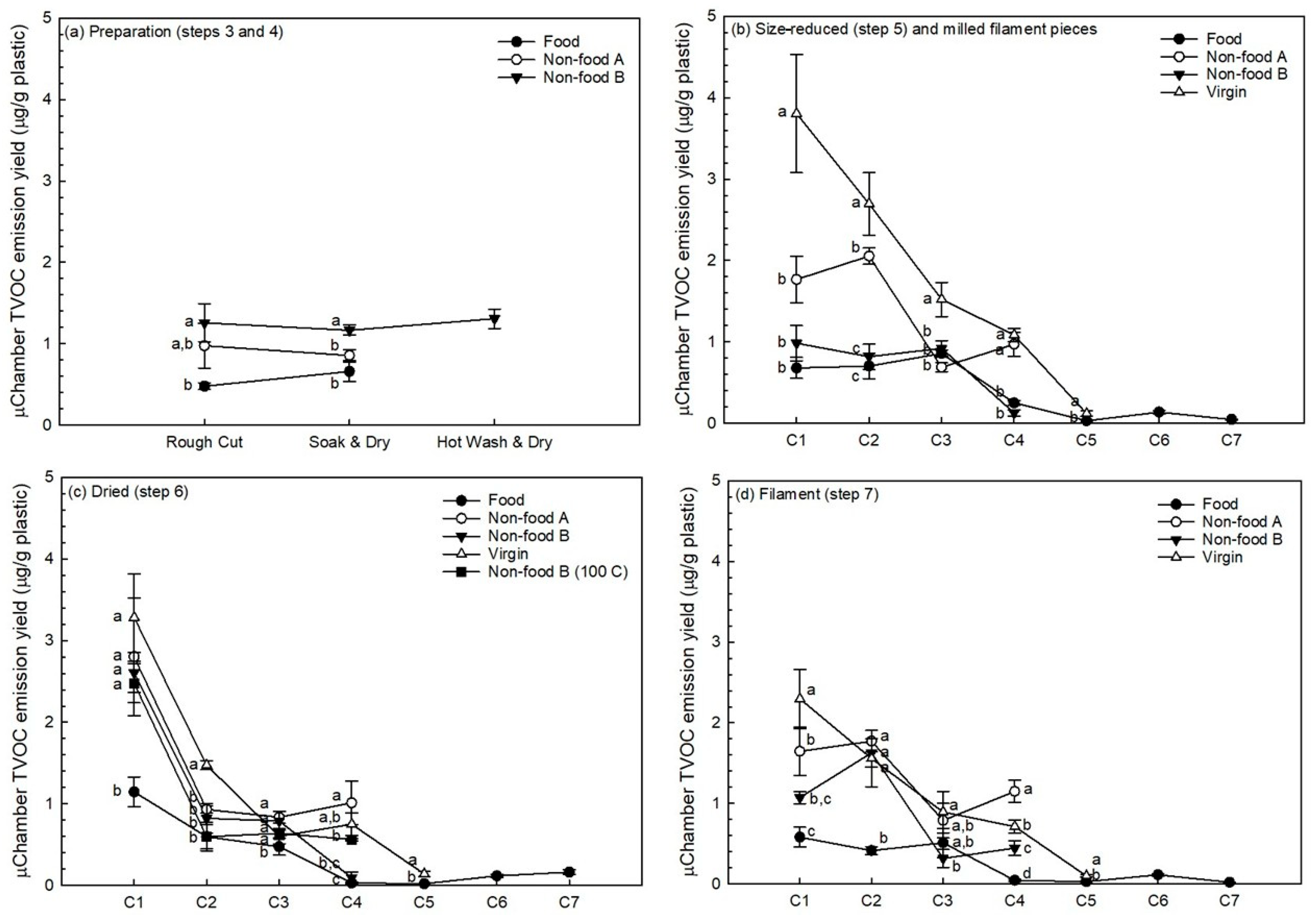
2.2.1. µChamber TVOC Emission Yields
2.2.2. Real-Time Monitoring Data
2.2.3. Time-Integrated Sampling Techniques
3. Materials and Methods
3.1. Polymer Characterization
3.2. Emission Characterization During Filament Extrusion
3.3. Data Analysis
4. Conclusions
- Post-consumer waste HDPE plastic from rigid food and non-food packaging and a virgin HDPE resin (benchmark material) were granulated and extruded into filament and the process repeated 4 to 7 times.
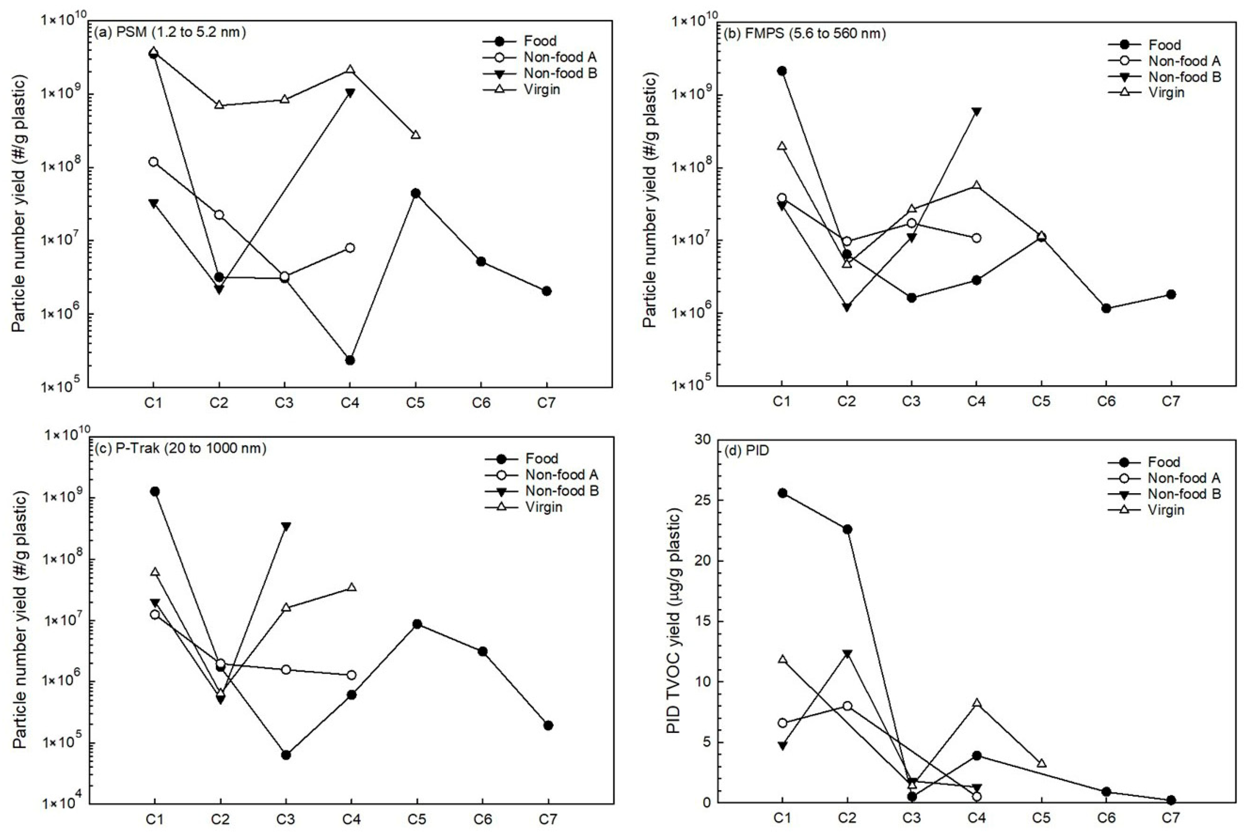
- Particle and organic chemical emissions generally decreased by 93 to 99% (PSM data) and 73 to 99%, respectively, with increased reprocessing cycle.
- Modeled concentrations of organic gases and metals were below occupational exposure limits for a scenario of operating a filament extruder in a residential garage.
- The mechanical, processability, and thermal properties of the plastic streams were largely unaffected; i.e., Young’s modulus decreased by 5 to 16%, MFI was relatively stable at 0.2 to 0.7 g/10 min for waste plastics, and crystallinity ranged from a 6% decrease to a 9% increase.
- Reductions in emissions during filament extrusion appeared to be more influenced by reprocessing cycle than any specific process step (grinding, drying, etc.).
- Food stream plastic tended to have lower particle emissions compared with the NF and virgin streams during filament extrusion.
- TVOC emissions from the food stream were initially higher, but after a few reprocessing cycles, they decreased to levels that were lower than all other streams.
- Emission yields for some, but not all, aldehydes tended to be lower for the food stream plastic compared with the other streams.
Supplementary Materials
Author Contributions
Funding
Data Availability Statement
Acknowledgments
Conflicts of Interest
Abbreviations
| FFF | Fused filament fabrication |
| GC-MS | Gas chromatography–mass spectrometry |
| HDPE | High-density polyethylene |
| HRF | High-resolution filtering |
| MFI | Melt flow index |
| NIOSH | National Institute for Occupational Safety and Health |
| NF | Non-food |
| OSHA | Occupational Safety and Health Administration |
| PID | Photoionization detector |
| PLA | Polylactic acid |
| PP | Polypropylene |
| PSM | Particle size magnifier |
| SI | Search Index |
| TIC | Total ion chromatogram |
| TVOC | Total volatile organic compound |
References
- Cabanes, A.; Fullana, A. New methods to remove volatile organic compounds from post-consumer plastic waste. Sci. Total Environ. 2021, 758, 144066. [Google Scholar] [CrossRef]
- Mohammed, M.; Mohan, M.; Das, A.; Johnson, M.; Badwal, P.; McLean, D.; Gibson, I. A Low Carbon Footprint Approach to the Reconstitution of Plastics into 3D-Printer Filament for Enhanced Waste Eeduction. In Proceedings of the International Conference on Design and Technology, Geelong, Australia, 5–8 December 2016; pp. 234–241. [Google Scholar] [CrossRef]
- Schyns, Z.O.G.; Shaver, M.P. Mechanical recycling of packaging plastics: A review. Macromol. Rapid Commun. 2021, 42, 2000415. [Google Scholar] [CrossRef]
- Beghetto, V.; Sole, R.; Buranello, C.; Al-Abkal, M.; Facchin, M. Recent advancements in plastic packaging recycling: A mini-review. Materials 2021, 14, 4782. [Google Scholar] [CrossRef]
- Singh, R.; Kumar, R.; Tiwari, S.; Vishwakarma, S.; Kakkar, S.; Rajora, V.; Bhatoa, S. On secondary recycling of ZrO2-reinforced HDPE filament prepared from domestic waste for possible 3-D printing of bearings. J. Thermoplast. Compos. Mater. 2021, 34, 1254–1272. [Google Scholar] [CrossRef]
- Thoden van Velzen, E.U.; Chu, S.; Alvarado Chacon, F.; Brouwer, M.T.; Molenveld, K. The impact of impurities on the mechanical properties of recycled polyethylene. Packag. Technol. Sci. 2021, 34, 219–228. [Google Scholar] [CrossRef]
- Vidakis, N.; Petousis, M.; Maniadi, A. Sustainable additive manufacturing: Mechanical response of high-density polyethylene over multiple recycling processes. Recycling 2021, 6, 4. [Google Scholar] [CrossRef]
- Hamidi, N. Upcycling postconsumer high-density polyethylene (PC-HDPE): Thermal stability and kinetics study of the filaments extruded from PC-HDPE. J. Macromol. Sci. Part B 2022, 61, 37–60. [Google Scholar] [CrossRef]
- Baechler, C.; Devuono, M.; Pearce, J.M. Distributed recycling of waste polymer into RepRap feedstock. Rapid Prototyp. J. 2013, 19, 118–125. [Google Scholar] [CrossRef]
- Kreiger, M.A.; Mulder, M.L.; Glover, A.G.; Pearce, J.M. Life cycle analysis of distributed recycling of post-consumer high density polyethylene for 3-D printing filament. J. Clean. Prod. 2014, 70, 90–96. [Google Scholar] [CrossRef]
- Ibrahim, I.; Ashour, A.G.; Zeiada, W.; Salem, N.; Abdallah, M. A systematic review on the technical performance and sustainability of 3D printing filaments using recycled plastic. Sustainability 2024, 16, 8247. [Google Scholar] [CrossRef]
- Andanje, M.N.; Wamai Mwangi, J.; Mose, B.R.; Carrara, S. A Comparative Analysis of Additive Manufacturing Filaments Developed from Recycled High-Density Polyethylene and Recycled Polypropylene: Extrusion Process Optimization. In Proceedings of the 2022 Sustainable Research and Innovation Conference, Juja, Kenya, 5–6 October 2022; pp. 59–66. [Google Scholar]
- Chong, S.; Pan, G.-T.; Khalid, M.; Yang, T.C.K.; Hung, S.-T.; Huang, C.-M. Physical characterization and pre-assessment of recycled high-density polyethylene as 3D printing material. J. Polym. Environ. 2017, 25, 136–145. [Google Scholar] [CrossRef]
- Mishra, V.; Negi, S.; Kar, S. FDM-based additive manufacturing of recycled thermoplastics and associated composites. J. Mater. Cycles Waste Manag. 2023, 25, 758–784. [Google Scholar] [CrossRef] [PubMed]
- Daniele, R.; Armoni, D.; Dul, S.; Alessandro, P. From nautical waste to additive manufacturing: Sustainable recycling of high-density polyethylene for 3D printing applications. J. Compos. Sci. 2023, 7, 320. [Google Scholar] [CrossRef]
- Mager, M.; Berghofer, M.; Fischer, J. Polyolefin recyclates for rigid packaging applications: The influence of input stream composition on recyclate quality. Polymers 2023, 15, 2776. [Google Scholar] [CrossRef]
- Martínez, J.L.; Rodríguez Rego, J.M.; Cerezo, L.M.; Madrigal, M.D.S.; Macías-García, A. Odour characterisation of recycled HDPE in different washing and processing processes. Environ. Sci. Pollut. Res. 2024, 31, 58136–58151. [Google Scholar] [CrossRef]
- Dany, H.; Dhong, W.W.; Jiata, K.W.; Leong, T.K.; Yuhana, N.Y.; Tan, G. Deodorizing methods for recycled high-density polyethylene plastic wastes. Mater. Plast. 2021, 58, 129–136. [Google Scholar] [CrossRef]
- Atsani, S.I.; Sing, S.L. Optimization of glass-powder-reinforced recycled high-density polyethylene (rHDPE) filament for additive manufacturing: Transforming bottle caps into sound-absorbing material. Polymers 2024, 16, 2324. [Google Scholar] [CrossRef] [PubMed]
- Oblak, P.; Gonzalez-Gutierrez, J.; Zupančič, B.; Aulova, A.; Emri, I. Processability and mechanical properties of extensively recycled high density polyethylene. Polym. Degrad. Stab. 2015, 114, 133–145. [Google Scholar] [CrossRef]
- Saliakas, S.; Damilos, S.; Karamitrou, M.; Trompeta, A.-F.; Milickovic, T.K.; Charitidis, C.; Koumoulos, E.P. Integrating exposure assessment and process hazard analysis: The nano-enabled 3D printing filament extrusion case. Polymers 2023, 15, 2836. [Google Scholar] [CrossRef]
- Stefaniak, A.B.; Bowers, L.N.; Cottrell, G.; Erdem, E.; Knepp, A.K.; Martin, S.B., Jr.; Pretty, J.; Duling, M.G.; Arnold, E.D.; Wilson, Z.; et al. Towards sustainable additive manufacturing: The need for awareness of particle and vapor releases during polymer recycling, making filament, and fused filament fabrication 3-D printing. Resour. Conserv. Recycl. 2022, 176, 105911. [Google Scholar] [CrossRef]
- Väisänen, A.J.K.; Alonen, L.; Ylönen, S.; Lyijynen, I.; Hyttinen, M. The impact of thermal reprocessing of 3D printable polymers on their mechanical performance and airborne pollutant profiles. J. Polym. Res. 2021, 28, 436. [Google Scholar] [CrossRef]
- Alam, O.; Billah, M.; Yajie, D. Characteristics of plastic bags and their potential environmental hazards. Resour. Conserv. Recycl. 2018, 132, 121–129. [Google Scholar] [CrossRef]
- Alam, O.; Wang, S.; Lu, W. Heavy metals dispersion during thermal treatment of plastic bags and its recovery. J. Environ. Manag. 2018, 212, 367–374. [Google Scholar] [CrossRef] [PubMed]
- Monti, M.; Perin, E.; Conterosito, E.; Romagnolli, U.; Muscato, B.; Girotto, M.; Scrivani, M.T.; Gianotti, V. Development of an advanced extrusion process for the reduction of volatile and semi-volatile organic compounds of recycled HDPE from fuel tanks. Resour. Conserv. Recycl. 2023, 188, 106691. [Google Scholar] [CrossRef]
- Arcos, C.; Muñoz, L.; Cordova, D.; Muñoz, H.; Walter, M.; Azócar, M.I.; Leiva, Á.; Sancy, M.; Rodríguez-Grau, G. The effect of the addition of copper particles in high-density recycled polyethylene matrices by extrusion. Polymers 2022, 14, 5220. [Google Scholar] [CrossRef]
- Martey, S.; Hendren, K.; Farfaras, N.; Kelly, J.C.; Newsome, M.; Ciesielska-Wrobel, I.; Sobkowicz, M.J.; Chen, W.-T. Recycling of pretreated polyolefin-based ocean-bound plastic waste by incorporating clay and rubber. Recycling 2022, 7, 25. [Google Scholar] [CrossRef]
- Tolcha, D.A.; Woldemichael, D.E. Development and characterization of short glass fiber reinforced-waste plastic composite filaments for 3D printing applications. Heliyon 2023, 9, e22333. [Google Scholar] [CrossRef]
- Mylläri, V.; Hartikainen, S.; Poliakova, V.; Anderson, R.; Jönkkäri, I.; Pasanen, P.; Andersson, M.; Vuorinen, J. Detergent impurity effect on recycled HDPE: Properties after repetitive processing. J. Appl. Polym. Sci. 2016, 133, 43766. [Google Scholar] [CrossRef]
- Pandey, S.K.; Gupta, R.N. Investigation on effects of waste glass powder reinforced HDPE composites for sustainability. J. Polym. Res. 2024, 31, 296. [Google Scholar] [CrossRef]
- Petousis, M.; Kalderis, D.; Michailidis, N.; Papadakis, V.; Mountakis, N.; Argyros, A.; Spiridaki, M.; David, C.; Sagris, D.; Vidakis, N. Sustainable high-density polyethylene/ferronickel slag composites for material extrusion additive manufacturing: Engineering, morphological, rheological, thermal, and chemical aspects. Sustain. Mater. Technol. 2025, 43, 01227. [Google Scholar] [CrossRef]
- Ghabezi, P.; Sam-Daliri, O.; Flanagan, T.; Walls, M.; Harrison, N.M. Mechanical and microstructural analysis of glass fibre-reinforced high density polyethylene thermoplastic waste composites manufactured by material extrusion 3D printing technology. Compos. Part A Appl. Sci. Manuf. 2025, 194, 108930. [Google Scholar] [CrossRef]
- Schirmeister, C.G.; Hees, T.; Licht, E.H.; Mülhaupt, R. 3D printing of high density polyethylene by fused filament fabrication. Addit. Manuf. 2019, 28, 152–159. [Google Scholar] [CrossRef]
- Vidakis, N.; Petousis, M.; Kalderis, D.; Michailidis, N.; Maravelakis, E.; Saltas, V.; Bolanakis, N.; Papadakis, V.; Spiridaki, M.; Argyros, A. Reinforced HDPE with optimized biochar content for material extrusion additive manufacturing: Morphological, rheological, electrical, and thermomechanical insights. Biochar 2024, 6, 37. [Google Scholar] [CrossRef]
- Michailidis, N.; Petousis, M.; Maniadi, A.; Papadakis, V.; Mountakis, N.; Argyros, A.; Nasikas, N.K.; Stratakis, E.; Vidakis, N. Printability and thermomechanical metrics of high-density polyethylene doped with nano antimony tin oxide. Eur. J. Mater. 2025, 5, 2463330. [Google Scholar] [CrossRef]
- Schweighuber, A.; Felgel-Farnholz, A.; Bögl, T.; Fischer, J.; Buchberger, W. Investigations on the influence of multiple extrusion on the degradation of polyolefins. Polym. Degrad. Stab. 2021, 192, 109689. [Google Scholar] [CrossRef]
- Poikkimäki, M.; Koljonen, V.; Leskinen, N.; Närhi, M.; Kangasniemi, O.; Kausiala, O.; Dal Maso, M. Nanocluster aerosol emissions of a 3D Printer. Environ. Sci. Technol. 2019, 53, 13618–13628. [Google Scholar] [CrossRef]
- Tang, C.L.; Seeger, S. Measurement of sub-4 nm particle emission from FFF-3D printing with the TSI Nano Enhancer and the Airmodus Particle Size Magnifier. Aerosol Sci. Technol. 2024, 58, 644–656. [Google Scholar] [CrossRef]
- NIOSH. Pocket Guide to Chemical Hazards, 3rd ed.; Publication No. 2005-149; U.S. Department of Health and Human Services, Public Health Service, Centers for Disease Control and Prevention, National Institute for Occupational Safety and Health: Cincinnati, OH, USA, 2007; pp. 1–454.
- Allen, N.S.; Edge, M. Perspectives on additives for polymers. Part 2. Aspects of photostabilization and role of fillers and pigments. J. Vinyl Addit. Technol. 2021, 27, 211–239. [Google Scholar] [CrossRef]
- Allen, N.S.; Edge, M. Perspectives on additives for polymers. 1. Aspects of stabilization. J. Vinyl Addit. Technol. 2021, 27, 5–27. [Google Scholar] [CrossRef]
- Tikuisis, T.; Phibbs, M.R.; Sonnenberg, K.L. Quantitation of employee exposure to emission products generated by commercial-scale processing of polyethylene. Am. Ind. Hyg. Assoc. J. 1995, 56, 809–814. [Google Scholar] [CrossRef] [PubMed]
- Cabanes, A.; Valdés, F.J.; Fullana, A. A review on VOCs from recycled plastics. Sustain. Mater. Technol. 2020, 25, e00179. [Google Scholar] [CrossRef]
- Dutra, C.; Pezo, D.; Freire, M.T.D.A.; Nerín, C.; Reyes, F.G.R. Determination of volatile organic compounds in recycled polyethylene terephthalate and high-density polyethylene by headspace solid phase microextraction gas chromatography mass spectrometry to evaluate the efficiency of recycling processes. J. Chromatogr. A 2011, 1218, 1319–1330. [Google Scholar] [CrossRef]
- D6980; Standard Test Method for Determination of Moisture in Plastics by Loss in Weight. ASTM International: West Conshohocken, PA, USA, 2017.
- D792; Standard Test Methods for Density and Specific Gravity (Relative Density) of Plastics by Displacement. ASTM International: West Conshohocken, PA, USA, 2020.
- D638; Standard Test Method for Tensile Properties of Plastics. ASTM International: West Conshohocken, PA, USA, 2022.
- D1238; Standard Test Method for Melt Flow Rates of Thermoplastics by Extrusion Plastometer. ASTM International: West Conshohocken, PA, USA, 2013.
- D3418; Standard Test Method for Transition Temperatures and Enthalpies of Fusion and Crystallization of Polymers by Differential Scanning Calorimetry. ASTM International: West Conshohocken, PA, USA, 2021.
- Pham, Y.L.; Wojnowski, W.; Beauchamp, J. Online volatile compound emissions analysis using a microchamber/thermal extractor coupled to proton transfer reaction-mass spectrometry. Anal. Chem. 2022, 94, 17354–17359. [Google Scholar] [CrossRef] [PubMed]
- D7706; Standard Practice for Rapid Screening of VOC Emissions from Products using Micro-scale Chambers. ASTM International: West Conshohocken, PA, USA, 2017.
- Stefaniak, A.B.; Bowers, L.N.; Knepp, A.K.; Virji, M.A.; Birch, E.M.; Ham, J.E.; Wells, J.R.; Qi, C.; Schwegler-Berry, D.; Friend, S.; et al. Three-dimensional printing with nano-enabled filaments releases polymer particles containing carbon nanotubes into air. Indoor Air 2018, 28, 840–851. [Google Scholar] [CrossRef]
- NIOSH. Method 7303: Elements by ICP (hot block/HCl/HNO3 digestion). In NIOSH Manual of Analytical Methods, 4th ed.; Eller, P.M., Cassinelli, M.E., Eds.; Publication No. 2003-145; U.S. Department of Health and Human Services, Public Health Service, Centers for Disease Control and Prevention, National Institute for Occupational Safety and Health: Cincinnati, OH, USA, 2003; pp. 1–6. [Google Scholar]
- Andersson, T.; Stålbom, B.; Wesslén, B. Degradation of polyethylene during extrusion. II. Degradation of low-density polyethylene, linear low-density polyethylene, and high-density polyethylene in film extrusion. J. Appl. Polym. Sci. 2004, 91, 1525–1537. [Google Scholar] [CrossRef]
- Su, Q.-Z.; Vera, P.; Salafranca, J.; Nerín, C. Decontamination efficiencies of post-consumer high-density polyethylene milk bottles and prioritization of high concern volatile migrants. Resour. Conserv. Recycl. 2021, 171, 105640. [Google Scholar] [CrossRef]
- OSHA. Dimethyl phthalate (DMP), diethyl phthalate (DEP), dibutyl phathalate (DBP), di-2-ethylhexyl phthalate (DEHP), and di-n-octyl phthalate (DNOP). In Sampling and Analytical Methods; U.S. Department of Labor, Occupational Safety and Health Administration, OSHA Salt Lake Technical Center: Salt Lake City, UT, USA, 1994; pp. 1–31. [Google Scholar]
- NIOSH. Method 1501: Hydrocarbons, aromatic. In NIOSH Manual of Analytical Methods, 4th ed.; Eller, P.M., Cassinelli, M.E., Eds.; Publication No. 2003-145; U.S. Department of Health and Human Services, Public Health Service, Centers for Disease Control and Prevention, National Institute for Occupational Safety and Health: Cincinnati, OH, USA, 2003; pp. 1–7. [Google Scholar]
- NIOSH. Method 1500: Hydrocarbons, BP 36 °C–216 °C. In NIOSH Manual of Analytical Methods, 4th ed.; Eller, P.M., Cassinelli, M.E., Eds.; Publication No. 2003-145; U.S. Department of Health and Human Services, Public Health Service, Centers for Disease Control and Prevention, National Institute for Occupational Safety and Health: Cincinnati, OH, USA, 2003; pp. 1–8. [Google Scholar]
- U.S. EPA. Method TO-11A: Determination of formaldehyde in ambient air using adsorbent cartridge followed by high performance liquid chromatography (HPLC) [active sampling methodology]. In Compendium of Methods for the Determination of Toxic Organic Compounds in Ambient Air, 2nd ed.; Publication No. EPA/625/R-96/010b; Center for Environmental Research Information, Office of Research and Development, U.S. Environmental Protection Agency: Cincinnati, OH, USA, 1999; pp. 1–56. [Google Scholar]
- Walsh, C.M.; Baughman, N.N.; Ham, J.E.; Wells, J.R. Factors affecting chlorinated product formation from sodium hypochlorite bleach and limonene reactions in the gas phase. ACS EST Air 2024, 1, 1317–1328. [Google Scholar] [CrossRef] [PubMed]
- Sapozhnikova, Y. Non-targeted screening of chemicals migrating from paper-based food packaging by GC-Orbitrap mass spectrometry. Talanta 2021, 226, 122120. [Google Scholar] [CrossRef]
- Travis, S.C.; Kordas, K.; Aga, D.S. Optimized workflow for unknown screening using gas chromatography high-resolution mass spectrometry expands identification of contaminants in silicone personal passive samplers. Rapid Commun. Mass Spectrom. 2021, 35, e9048. [Google Scholar] [CrossRef]
- Schymanski, E.L.; Jeon, J.; Gulde, R.; Fenner, K.; Ruff, M.; Singer, H.P.; Hollender, J. Identifying small molecules via high resolution mass spectrometry: Communicating confidence. Environ. Sci. Technol. 2014, 48, 2097–2098. [Google Scholar] [CrossRef]
- Wilson, I.D.; Theodoridis, G.; Virgiliou, C. A perspective on the standards describing mass spectrometry-based metabolic phenotyping (metabolomics/metabonomics) studies in publications. J. Chromatogr. B Analyt Technol. Biomed. Life Sci. 2021, 1164, 122515. [Google Scholar] [CrossRef] [PubMed]
- BAM. DE-UZ-205: Office Equipment with Printing Function (Printers and Multifunction Devices) (2017) Test Method for the Determination of Emissions from Hardcopy Devices, 4th ed.; BAM: St. Augustin, Germany, 2017; pp. 1–43. [Google Scholar]
- UL 2904; Standard Method for Testing and Assessing Particle and Chemical Emissions from 3D Printers. 2nd ed. UL: Northbrook, IL, USA, 2023; pp. 1–80.







| Temperature (°C) | ||||||
|---|---|---|---|---|---|---|
| Stream | Zone 4 | Zone 3 | Zone 2 | Zone 1 | Screw Speed (rpm) | Fan Speed (%) |
| Food 1 | 160–235 | 165–235 | 170–255 | 175–260 | 5.5–7.0 | 30–50 |
| NF-A 2 | 160–200 | 165–200 | 170–210 | 170–210 | 5.2–7.0 | 25–40 |
| NF-B | 160–200 | 165–205 | 170–210 | 175–210 | 6.0–7.0 | 25–40 |
| Virgin | 160–170 | 165–170 | 170–175 | 170–180 | 5.2–7.0 | 45–80 |
Disclaimer/Publisher’s Note: The statements, opinions and data contained in all publications are solely those of the individual author(s) and contributor(s) and not of MDPI and/or the editor(s). MDPI and/or the editor(s) disclaim responsibility for any injury to people or property resulting from any ideas, methods, instructions or products referred to in the content. |
© 2026 by the authors. Licensee MDPI, Basel, Switzerland. This article is an open access article distributed under the terms and conditions of the Creative Commons Attribution (CC BY) license.
Share and Cite
Stefaniak, A.B.; Bowers, L.N.; Walsh, C.M.; Du Preez, S.; Brusak, E.D.; Ham, J.E.; LeBouf, R.F.; Virji, M.A.; Du Plessis, J.L. Effect of Multiple Extrusion Cycles on Particle and Chemical Emissions and Mechanical and Thermal Properties of High-Density Polyethylene 3D Printing Filaments Made from Virgin and Post-Consumer Waste Plastics. Recycling 2026, 11, 66. https://doi.org/10.3390/recycling11040066
Stefaniak AB, Bowers LN, Walsh CM, Du Preez S, Brusak ED, Ham JE, LeBouf RF, Virji MA, Du Plessis JL. Effect of Multiple Extrusion Cycles on Particle and Chemical Emissions and Mechanical and Thermal Properties of High-Density Polyethylene 3D Printing Filaments Made from Virgin and Post-Consumer Waste Plastics. Recycling. 2026; 11(4):66. https://doi.org/10.3390/recycling11040066
Chicago/Turabian StyleStefaniak, Aleksandr B., Lauren N. Bowers, Callee M. Walsh, Sonette Du Preez, Elizabeth D. Brusak, Jason E. Ham, Ryan F. LeBouf, M. Abbas Virji, and Johan L. Du Plessis. 2026. "Effect of Multiple Extrusion Cycles on Particle and Chemical Emissions and Mechanical and Thermal Properties of High-Density Polyethylene 3D Printing Filaments Made from Virgin and Post-Consumer Waste Plastics" Recycling 11, no. 4: 66. https://doi.org/10.3390/recycling11040066
APA StyleStefaniak, A. B., Bowers, L. N., Walsh, C. M., Du Preez, S., Brusak, E. D., Ham, J. E., LeBouf, R. F., Virji, M. A., & Du Plessis, J. L. (2026). Effect of Multiple Extrusion Cycles on Particle and Chemical Emissions and Mechanical and Thermal Properties of High-Density Polyethylene 3D Printing Filaments Made from Virgin and Post-Consumer Waste Plastics. Recycling, 11(4), 66. https://doi.org/10.3390/recycling11040066

