Abstract
This study explores the mechanical behavior of concrete reinforced with recycled carbon fiber (RCF) and incorporating modified basic oxygen furnace slag (MBOF) as a sustainable aggregate. The RCF was recovered from waste carbon fiber-reinforced polymer (CFRP) bicycle rims via microwave-assisted pyrolysis (MAP), while MBOF was produced by water-based treatment of hot BOF slag. The experimental program included compressive, splitting tensile, and flexural strength tests, as well as impact resistance and stress-reversal Split Hopkinson Pressure Bar (SRSHPB) tests. The effects of RCF length (6 mm and 12 mm) on the mechanical performance of MBOF-based concrete were systematically examined. The results demonstrated that incorporating MBOF as aggregate, combined with the addition of RCF, significantly enhanced both static strength and dynamic impact resistance. Compared with fiber-free MBOF concrete, the incorporation of 6 mm and 12 mm RCF increased compressive strength by 3.03% and 13.77%, flexural strength by 14.50% and 19.74%, and splitting tensile strength by 2.60% and 25.84%, respectively. Similarly, the impact number increased by approximately 6.81 and 12.67 times for the 6 mm and 12 mm RCF specimens, respectively, relative to the fiber-free specimen. Furthermore, the SRSHPB test results indicated that MBOF concrete reinforced with 12 mm RCF exhibited greater dynamic compressive strength than that reinforced with 6 mm RCF. Overall, MBOF concrete incorporating 12 mm RCF demonstrated superior performance to its 6 mm counterpart across all evaluated strength parameters. These findings highlight the potential of utilizing metallurgical and composite waste to develop high-performance, sustainable concrete materials.
1. Introduction
The global transition toward a circular economy, green energy, and net-zero emissions has become imperative for achieving sustainable development goals [1,2,3]. A circular economy emphasizes material reuse and product redesign to enhance resource efficiency and minimize environmental impact. Simultaneously, green energy promotes the replacement of fossil fuels with renewable alternatives to mitigate greenhouse gas emissions. Achieving carbon neutrality demands structural transformations in energy systems, improvements in energy efficiency, and the integration of environmentally sustainable technologies.
Carbon fiber-reinforced polymers (CFRPs) have been widely utilized across aerospace, automotive, wind energy, civil infrastructure, and sporting goods sectors due to their exceptional strength-to-weight ratio, corrosion resistance, and design flexibility [4,5,6,7,8,9]. However, the increasing use of CFRPs has led to substantial waste generation at the end of their service life, raising environmental and disposal concerns. Recycling thermosetting CFRPs remains challenging due to their cross-linked polymer networks. Current recycling methods include mechanical, chemical, and thermal processes [10,11,12,13,14,15]. Among these, microwave-assisted pyrolysis (MAP) has emerged as a promising technology, utilizing targeted microwave energy to thermally decompose the polymer matrix and recover clean carbon fibers [16].
Recent studies have confirmed the feasibility of incorporating recycled carbon fiber (RCF) into cementitious composites, yielding improvements in mechanical strength, fracture resistance, and thermal performance [17,18,19,20,21,22]. As concrete remains the most extensively used construction material globally, enhancing its tensile and impact resistance through fiber reinforcement has become a well-established strategy. Fiber-reinforced concrete (FRC) has demonstrated considerable potential to improve compressive, flexural, tensile, impact, and fatigue performance, while also reducing shrinkage and inhibiting chloride ion penetration [23,24,25,26,27]. The performance of FRC is affected by various factors, including fiber type, length, dosage, surface treatment, and dispersion uniformity [28,29,30,31,32,33,34,35].
In addition to polymer recycling, the valorization of metallurgical by-products such as basic oxygen furnace slag (BOFs) has attracted increasing interest. BOFs, a by-product of steelmaking, contains reactive compounds such as free lime (f-CaO) and magnesium oxide (MgO), which can cause volumetric instability and cracking in concrete if not properly treated [36,37,38]. However, through suitable modification techniques, BOFs can be stabilized and used as an aggregate. Previous studies have demonstrated that BOFs can enhance the interfacial transition zone (ITZ), reduce porosity, and improve the strength and durability of concrete when used as a partial replacement for natural aggregates [39,40,41,42,43]. Silica-based additives have been employed to treat hot slag, enabling stabilization, and facilitating the extraction of valuable resources [44]. In Taiwan, the China Steel Corporation has developed a modified BOF (MBOF) product using a controlled hot slag treatment process.
This study proposes a novel approach to sustainable concrete production by integrating two industrial waste streams: RCF obtained via MAP from end-of-life CFRP components and MBOF produced through hot slag modification. Two RCF lengths (6 mm and 12 mm) were incorporated into concrete using MBOF as aggregate. The mechanical properties of the resulting concrete were evaluated through compressive, flexural, and splitting tensile strength tests, as well as impact resistance and stress-reversal Split Hopkinson Pressure Bar (SRSHPB) tests under both quasi-static and high strain rate conditions. The dynamic increase factor (DIF) was used to assess strain-rate sensitivity. The findings provide valuable insights into the synergistic influence of fiber length and slag-based aggregates on the static and dynamic behavior of sustainable fiber-reinforced concrete.
2. Result and Discussion
This section presents the experimental results of the recycled carbon fiber-reinforced concrete incorporating MBOF. The performance of the concrete is evaluated in terms of slump, shrinkage behavior, quasi-static compressive strength, flexural strength, splitting tensile strength, impact resistance, and dynamic behavior under high strain rates.
2.1. Workability
The workability of concrete mixtures was evaluated using the slump test results. RCF with lengths of 6 mm and 12 mm were incorporated at a fiber-to-cement weight ratio of 1.0%. The measured slump values for the benchmark concrete (natural aggregates), MBOF concrete without fibers (specimen M), and MBOF concrete with RCF (M-RCFL6 and M-RCFL12) were 225 mm, 65 mm, 16 mm, and 20 mm, respectively.
The reduced slump in specimen M compared to the benchmark is primarily attributed to the multi-angular shape of the MBOF aggregate and its slightly higher water absorption capacity, which collectively diminishes flowability. Furthermore, the incorporation of RCF led to a substantial reduction in slump, particularly for M-RCFL6. This reduction is likely due to increased viscosity and internal friction resulting from the presence of fibers, which limit the mixture’s mobility and reduce overall workability.
2.2. Shrinkage Behavior
The shrinkage behavior of the benchmark concrete and MBOF concrete incorporating RCF was evaluated over a 120-day period, with measurement intervals at 7, 14, 21, 28, 90, and 120 days, as shown in Figure 1. The shrinkage ratio exhibited a progressive increase with time, displaying a proportional relationship with the number of curing days.
Figure 1.
Shrinkage ratio of benchmark and MBOF concrete specimens with 6 mm and 12 mm RCF over different curing ages.
According to relevant specifications, the allowable shrinkage limit for concrete exposed to air after 28 days is −0.15%. All specimens tested in this study exhibited shrinkage values below this threshold. Notably, the MBOF concrete incorporating RCF (both 6 mm and 12 mm in length) showed reduced shrinkage compared to the fiber-free MBOF specimen. These results suggest that the incorporation of RCF into MBOF concrete effectively suppresses shrinkage, likely due to the fiber network restraining micro-deformation within the matrix.
2.3. Compressive Strength
The 28-day compressive strength results for the benchmark concrete and MBOF concrete specimens with RCF of 6 mm and 12 mm in length are summarized in Table 1. The benchmark concrete (C-B) exhibited an average compressive strength of 26.11 MPa. Compared with C-B, the compressive strength of the MBOF concrete without fibers (C-M) increased by approximately 34.01%. The specimens incorporating RCF showed further enhancements, with C-M-RCFL6 and C-M-RCFL12 achieving increases of 38.07% and 52.46%, respectively.
Table 1.
Compressive strength of benchmark and MBOF concrete specimens incorporating 6 mm and 12 mm RCF.
These results indicate that replacing natural aggregates with MBOF significantly improves the compressive strength of concrete. The improved performance can be attributed to the angular particle shape and high density of MBOF, which enhances interlocking and particle packing. Furthermore, the inclusion of RCF contributes to additional gains in compressive strength. Compared to C-M, the compressive strength of specimens with 6 mm and 12 mm fibers increased by approximately 3.03% and 13.77%, respectively. The longer fibers likely provide better crack-bridging capability and confinement, resulting in greater compressive performance.
2.4. Flexural Strength
The 28-day flexural strength results of the benchmark concrete and MBOF concrete specimens with RCF of 6 mm and 12 mm in length are presented in Table 2. The benchmark specimen (F-B) exhibited an average flexural strength of 5.73 MPa. Compared to F-B, the flexural strength of the MBOF specimen without fibers (F-M) increased by approximately 16.75%. Further increases were observed in specimens incorporating RCF, with F-M-RCFL6 and F-M-RCFL12 showing improvements of 33.68% and 39.79%, respectively.
Table 2.
Flexural strength of benchmark and MBOF concrete specimens incorporating 6 mm and 12 mm RCF.
The enhanced flexural performance of the MBOF concrete can be attributed to the angular texture and higher mechanical interlocking provided by the MBOF aggregates. Additionally, the incorporation of RCF effectively enhances post-crack resistance through fiber bridging. Compared to the fiber-free MBOF specimen (F-M), the flexural strength of the 6 mm and 12 mm fiber-reinforced specimens increased by approximately 14.50% and 19.74%, respectively, with longer fibers providing improved crack-arresting ability and enhanced load transfer across fracture planes.
2.5. Splitting Tensile Strength
Table 3 summarizes the splitting tensile strengths of benchmark concrete and MBOF specimens with 6 mm and 12 mm RCF at 28 days. The average splitting tensile strength of the benchmark concrete was 2.35 MPa. The addition of RCF and MBOF, replacing natural aggregate, significantly improved the splitting tensile strength compared to the benchmark. Specimens containing 1% of 6 mm and 12 mm long fibers by weight exhibited increases of approximately 9.37%, 12.22%, and 37.60%, respectively. Additionally, among the MBOF specimens, the sample with 1 wt% of 12 mm RCF exhibits the highest splitting tensile strength.
Table 3.
Splitting tensile strength of benchmark and MBOF concrete specimens incorporating 6 mm and 12 mm RCF.
2.6. Impact Resistance
The impact resistance of the concrete specimens was evaluated under five energy levels: 50 J, 75 J, 100 J, 125 J, and 150 J. Figure 2 summarizes the applied impact energy, the corresponding number of impacts to failure, and typical failure patterns. A negative correlation was observed between the magnitude of impact energy and the number of impacts sustained before failure, indicating that specimens endure more impacts at lower energy levels.
Figure 2.
Average impact numbers of benchmark and MBOF concrete specimens with 6 mm and 12 mm RCF under various impact energies.
The MBOF concrete specimens incorporating RCF demonstrated significantly enhanced impact resistance compared to the benchmark specimen. At an impact energy of 50 J, the I-M-RCFL6 specimen sustained an average of 200 impacts before failure, whereas the I-M-RCFL12 specimen endured up to 351 impacts. The I-M-RCFL12 specimen exhibited the highest resistance among all tested groups.
Failure mode observations further supported these results. As shown in Figure 2, I-M-RCFL12 fractured into four major pieces, while I-M-RCFL6 and I-M fractured into three and two pieces, respectively, indicating a more progressive failure process in fiber-reinforced specimens. Figure 3a shows that the dominant failure mode of I-M-RCFL6 was fiber pull-out failure, whereas Figure 3b reveals that I-M-RCFL12 primarily failed via fiber fracture. This distinction suggests that longer fibers, due to their improved embedment and interfacial bonding, are more likely to rupture than slip. Microscopic observations confirmed that the 12 mm RCF provided better fiber-matrix interlocking and bridging effects. These characteristics contributed to greater energy absorption and delayed crack propagation under repeated impact loading.
Figure 3.
Optical microscopic images showing the fiber pull-out and fiber fracture failures of MBOF concrete specimens with 6 mm and 12 mm RCF after impact testing: (a) Specimen I-M-RCFL6, and (b) Specimen I-M-RCFL12.
2.7. High-Strain-Rate Behavior
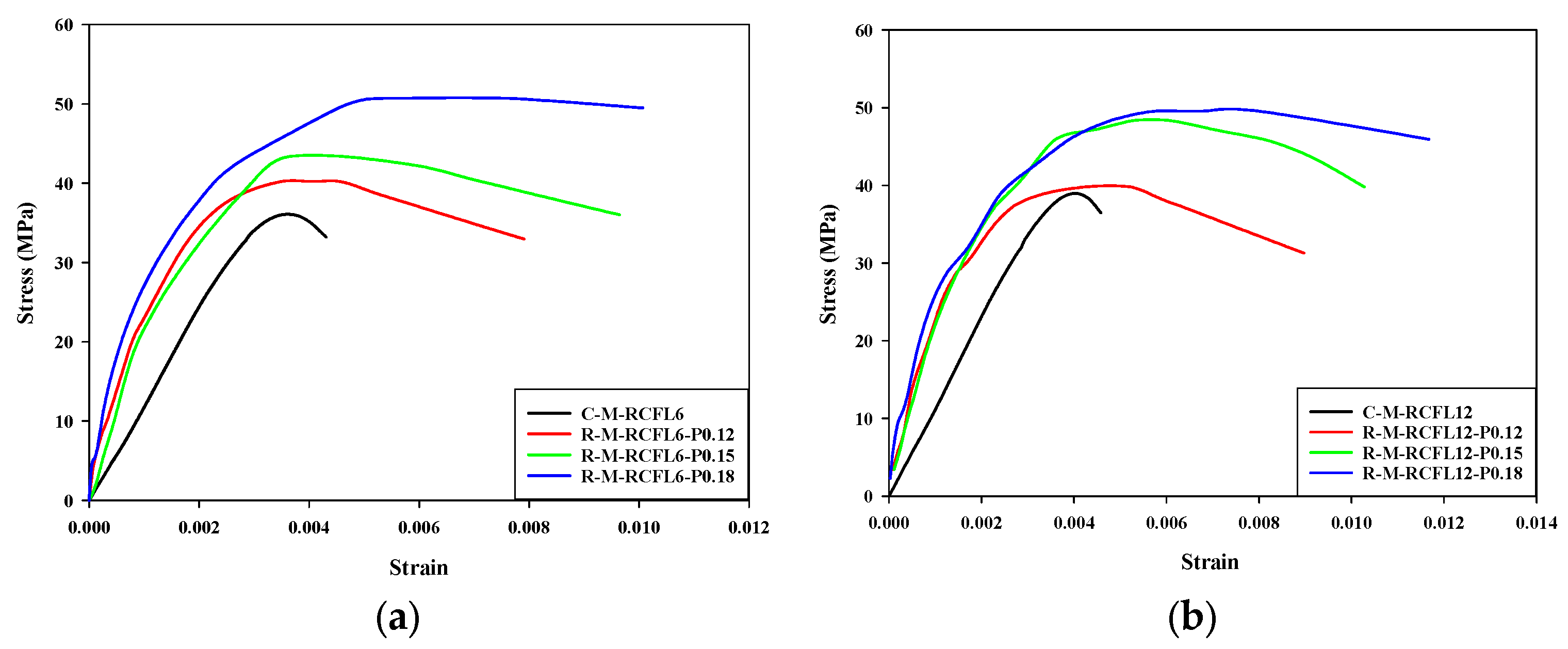
Dynamic properties were evaluated with the stress-reversal Split Hopkinson Pressure Bar (SRSHPB) at three driving gas pressures—0.12 MPa, 0.15 MPa, and 0.18 MPa—which produced progressively higher incident stress pulses. The resulting stress–strain curves for the 6 mm fiber mixture (M-RCFL6) and the 12 mm fiber mixture (M-RCFL12) are plotted in Figure 4a and Figure 4b, respectively. As gas pressure (and thus strain rate) increased, both curves exhibited steeper initial slopes and higher peak stresses, confirming the strain-rate-dependent nature of concrete.
Figure 4.
Stress–strain curves of MBOF concrete specimens incorporating 6 mm and 12 mm RCF under different gas pressures in the SRSHPB test: (a) 6 mm fiber, and (b) 12 mm fiber.
Strain energy refers to the deformation energy absorbed by a specimen during impact loading, and it is quantified as the area under the stress–strain curve up to the point of maximum stress. Figure 5 presents a bar chart illustrating the strain energy of MBOF concrete specimens reinforced with 6 mm and 12 mm RCF under varying gas pressures in the SRSHPB test. The results indicate that specimens incorporating 12 mm RCF exhibited higher strain energy absorption compared to those incorporating 6 mm RCF, suggesting improved impact resistance with longer fiber length.
Figure 5.
Strain energy of the MBOF concrete specimens incorporating 6 mm and 12 mm RCF under different gas pressures in the SRSHPB test.
Peak compressive stress, taken as the dynamic compressive strength, together with the corresponding failure strain rate and dynamic increase factor (DIF), is summarized in Table 4. In every test, dynamic strength rose with strain rate. At comparable strain rates, M-RCFL12 consistently outperformed M-RCFL6, indicating that longer RCF provide more effective crack bridging and energy absorption under high-strain-rate loading.
Table 4.
SRSHPB test results of MBOF concrete specimens reinforced with 6 mm and 12 mm RCF.
The DIF was calculated as the ratio of dynamic to quasi-static compressive strength [45]:
where is the dynamic compressive strength; is the quasi-static compression strength. The DIF values confirm the beneficial effect of strain rate, with M-RCFL12 showing the greatest increase.
Figure 6 and Figure 7 are the failure photographs of M-RCFL6 and M-RCFL12 under different gas pressures in the SRSHPB test, respectively. At the lowest gas pressure, the specimens broke into a few large fragments, whereas at 0.18 MPa the debris became much finer, reflecting more severe internal damage. M- RCFL12 generated the smallest fragments, consistent with its higher strain-rate sensitivity and greater energy dissipation.
Figure 6.
Failure photographs of M-RCFL6 specimens under different gas pressures in the SRSHPB test: (a) Gas pressure 0.12 MPa, (b) Gas pressure 0.15 MPa, and (c) Gas pressure 0.18 MPa.
Figure 7.
Failure photographs of M-RCFL12 specimens under different gas pressures in the SRSHPB test: (a) Gas pressure 0.12 MPa, (b) Gas pressure 0.15 MPa, and (c) Gas pressure 0.18 MPa.
Overall, the SRSHPB results demonstrate that (i) MBOF aggregates combined with RCF significantly enhance dynamic strength, and (ii) increasing fiber length from 6 mm to 12 mm further improves high-rate performance by delaying crack propagation and promoting fiber rupture rather than pull-out.
3. Materials
The preparation of recycled carbon fiber-reinforced concrete incorporating MBOF involves the following key components: the material properties of RCF, the recycling methods employed for carbon fiber recovery, the physicochemical characteristics of MBOF, and the hot slag modification process.
3.1. Recycled Carbon Fiber Preparation and Characterization
This study employs Microwave-Assisted Pyrolysis (MAP) technology to recycle carbon fibers from CFRP bicycle wheel rims. Unlike conventional high-temperature thermal decomposition methods, MAP utilizes highly concentrated microwave energy to induce molecular vibration and frictional heating within the material, thereby rapidly achieving the decomposition temperature. This facilitates the efficient breakdown of organic compounds such as resins. A key feature of microwave heating is its selective interaction with microwave-absorbing materials, which ensures high energy efficiency and minimal waste. The power system enables the rapid generation of microwaves, allowing for fast heating, straightforward process control, and automation. Additionally, because microwaves can penetrate and be absorbed throughout the material, MAP enables uniform volumetric heating [46,47,48,49,50].
Carbon fiber-reinforced polymer (CFRP) bicycle wheel rims were first mechanically crushed and then subjected to microwave-assisted pyrolysis (MAP) to recover RCF. The RCF used in this study was provided by Thermolysis Co., Ltd. (Kaohsiung, Taiwan). The recycled carbon fiber obtained from CFRP bicycle wheel rims using MAP technology is presented in Figure 8. Figure 8a shows the mechanically fragmented CFRP wheel rim, while Figure 8b presents the recovered 12 mm carbon fibers obtained after MAP treatment and fiber chopping. To promote uniform dispersion of fibers within the concrete matrix, a pneumatic dispersion method was employed. Figure 8c illustrates the appearance of the RCF after dispersion.
Figure 8.
Recycled carbon fiber obtained from CFRP bicycle wheel rims using MAP technology: (a) CFRP waste from bicycle wheel rims, (b) 12 mm carbon fibers after the microwave-assisted pyrolysis process, and (c) 12 mm carbon fibers after the pneumatic dispersion process.
Scanning electron microscopy (SEM) (Hitachi High-Tech Corp., Tokyo, Japan) was used to observe the surface morphology of the MAP-treated RCF. Figure 9a,b show the SEM images at different magnifications, revealing a clean fiber surface without residual epoxy resin. The elemental composition of the RCF was analyzed using energy-dispersive X-ray spectroscopy (EDS) shown in Figure 10. The results indicate a high carbon purity of 99.8%, confirming effective removal of matrix material during the MAP process.
Figure 9.
SEM micrographs of RCF surfaces after MAP treatment at different magnifications: (a) Magnification ×1000, and (b) Magnification ×3000.
Figure 10.
EDS spectrum of RCF after MAP treatment showing elemental composition.
To evaluate the mechanical properties of the recovered RCF, single-filament tensile tests were conducted in accordance with ASTM D3822-07 [51]. Thirty individual RCF filaments were tested, and the average tensile force and displacement were determined to be 12.74 ± 1.40 gf and 0.345 ± 0.07 mm, respectively. The failure force–displacement relationship is illustrated in Figure 11.
Figure 11.
Tensile force and displacement result of single RCF filament.
3.2. Modified Basic Oxygen Furnace Slag and Natural Aggregate
The MBOF used in this study was supplied by China Steel Corporation (Kaohsiung, Taiwan). The MBOF was produced through a hot slag modification process in which oxygen (O2) and silica sand (SiO2) were injected into molten slag at approximately 1400 °C. In this process, FeO reacts with O2 to form Fe2O3, which subsequently reacts with free lime (f-CaO) to form Ca2Fe2O5. Simultaneously, SiO2 reacts with f-CaO to produce calcium silicate compounds (e.g., Ca2SiO4). In addition to this thermal treatment, previous studies have shown that carbonation treatment—where CaO and MgO react with CO2 to form stable carbonates—can also enhance slag stability [52].
In this study, the MBOF was mechanically crushed and sieved to produce both coarse and fine aggregates. The coarse MBOF aggregates had an average particle size of approximately 7 mm, while the fine aggregates consisted of particles smaller than 4.75 mm. The modified basic oxygen furnace slag (MBOF) aggregate is presented in Figure 12. According to ASTM C33M-23 [53], the fineness modulus of the fine MBOF aggregate was 3.58, whereas that of the natural fine aggregate was 2.62. The particle size distribution curve of the MBOF aggregate is shown in Figure 13.
Figure 12.
Modified basic oxygen furnace slag: (a) MBOF fine aggregate, and (b) MBOF coarse aggregate.
Figure 13.
Particle size distribution curve of MBOF.
The physical properties of the fine aggregates were tested according to ASTM C128-22 [54]. The average specific gravity and water absorption of MBOF fine aggregate were 3.33 and 1.12%, respectively, whereas the natural fine aggregate had a specific gravity of 2.66 and water absorption of 0.45%. These results are summarized in Table 5. The water absorption of MBOF fine aggregate and coarse aggregate was 3.33% and 1.12%, respectively, whereas the natural fine aggregate exhibited a water absorption of only 0.45%. This discrepancy can be attributed to the higher porosity and rougher surface texture of MBOF particles, which are produced through the hot-slag modification and crushing process. These characteristics result in a greater capacity to retain water compared with natural aggregates. In addition, abrasion resistance was evaluated using the Los Angeles abrasion test (ASTM C131M-20) [55], where MBOF exhibited abrasion loss values ranging from 10 to 12%, compared to 21–24% for natural aggregates.
Table 5.
Specific gravity and absorbed moisture of MBOF and natural fine aggregates.
The chemical composition of MBOF was analyzed using X-ray fluorescence (XRF), which indicated that the primary components were calcium, iron, and silicon oxides (Table 6). The crystalline phases of MBOF were identified using X-ray diffraction (XRD), with the results shown in Figure 14. The diffraction peaks confirmed the presence of Ca, Fe, and Si oxides as major crystalline phases.
Table 6.
Results of XRF compositional analysis of MBOF.
Figure 14.
XRD patterns of MBOF showing major crystalline phases.
3.3. Concrete Mix Proportions and Specimen Preparation
The concrete mix design adopted a weight ratio of 1:1.65:2.475 for cement, fine aggregate, and coarse aggregate, respectively; with a water-to-cement (w/c) ratio of 0.55. To evaluate the potential of using metallurgical waste as a full aggregate replacement, 100% of the natural fine and coarse aggregates were replaced with MBOF. The detailed mix proportions are provided in Table 7.
Table 7.
The mixing proportions of MBOF concrete.
This study focuses on two main objectives: (1) evaluating the feasibility of using MBOF as a complete substitute for natural aggregates in concrete, and (2) investigating the effect of incorporating chopped RCF on mechanical properties. Prior research has shown that while moderate fiber content can improve concrete strength, excessive fiber addition may result in reduced performance due to increased surface area and fiber entanglement [56]. Fiber lengths of 6 mm and 12 mm were selected to ensure compatibility with the aggregate size and to evaluate their effects on the mechanical properties of the concrete.
To ensure uniform fiber distribution, the RCF were first processed using a pneumatic dispersion technique prior to mixing. An air compressor with a power of 3 hp was employed to pneumatically disperse 20 g of carbon fibers for a duration of 1 min. The dispersed RCF was blended with cement to form a fiber-cement premix, which was then mixed with the MBOF aggregates and water to prepare the final concrete mixtures. All specimens, except those used for shrinkage testing, were cured under standard conditions for 28 days before testing. Table 8 presents the naming convention and designation of the specimens used in this study.
Table 8.
Notation for nomenclature of the specimen.
4. Experimental Method
The test methods employed to evaluate the workability and mechanical performance of recycled carbon fiber-reinforced concrete incorporating MBOF are presented in this section. The experimental program includes the slump test, shrinkage test, compressive strength test, flexural strength test, splitting tensile strength test, drop-weight impact test, and stress-reversal Split Hopkinson Pressure Bar (SRSHPB) test. These tests are designed to assess the fresh properties, static mechanical performance, and dynamic behavior of the developed concrete. Table 9 summarizes the notation and abbreviations of the test methods employed in this study.
Table 9.
Notation for the test method.
4.1. Slump Test
Slump tests were conducted in accordance with ASTM C143M-20 [57] to evaluate the workability of recycled carbon fiber-reinforced concrete incorporating MBOF. Tests were performed separately for mixtures with varying fiber lengths and fiber-to-cement weight ratios. The acceptable slump range for workability was defined as 15 mm to 230 mm.
4.2. Shrinkage Test
The shrinkage test was conducted in accordance with ASTM C928M-20a [58]. Specimen lengths were measured at designated time intervals of 7, 14, 21, 28, 90, and 120 days to monitor dimensional changes over time. The shrinkage test specimens had dimensions of 75 mm × 75 mm × 285 mm (width × height × length).
4.3. Compressive Test
Compressive strength tests were conducted in accordance with ASTM C39M-23 [59]. Cylindrical specimens with dimensions of ϕ100 mm × 200 mm (diameter × height) were used. The tests were performed using a universal testing machine with a loading rate of 0.25 MPa/s.
4.4. Flexural Test
Flexural strength tests were performed in accordance with ASTM C293M-16 [60], using a center-point loading method. The dimensions of the beam specimens were 70 mm × 70 mm × 280 mm (width × height × length). The loading rate was controlled to produce a stress rate of 1.2 MPa/min.
4.5. Splitting Tensile Test
Splitting tensile strength tests were conducted in accordance with ASTM C496M-17 [61]. Cylindrical specimens with dimensions of ϕ100 mm × 200 mm (diameter × height) were used. The loading rate was controlled within the range of 0.7 to 1.4 MPa/min.
4.6. Drop Weight Test
The drop weight impact test was conducted in accordance with ACI 544.2R-89 [62] using a drop hammer apparatus. Cylindrical specimens with dimensions of ϕ152 mm × 63.5 mm (diameter × height) were used. To adjust the impact energy, an iron plate was affixed to the impact head to increase the striking mass, and the drop height was varied accordingly. The impact energy applied ranged from 50 to 150 Joules (J), calculated based on the mass and height of the drop.
During the test, each specimen was repeatedly struck by the impact head until failure occurred. The number of blows required to cause rupture was recorded and used to evaluate the energy absorption capacity of the concrete. This procedure allowed for comparison of the impact resistance of recycled carbon fiber-reinforced concrete incorporating MBOF with different fiber lengths.
4.7. Stress-Reversal Split Hopkinson Pressure Bar Test
High-strain-rate dynamic tests were performed using a split Hopkinson pressure bar (SHPB) system. Cylindrical specimens with dimensions of ϕ50 mm × 50 mm (diameter × height) were used. In conventional SHPB tests, stress waves propagate back and forth between the specimen end and the free end of the incident and transmission bars, resulting in multiple wave reflections and transmissions through the specimen. However, strain, strain rate, and stress calculations are typically based only on the first incident wave, which may not fully represent the actual damage condition of the specimen due to repeated stress wave interactions.
To address this limitation, a stress-reversal SHPB (SRSHPB) technique was adopted, based on the design proposed by [63]. The stress reversal technique was employed to prevent multiple stress wave transmissions within the specimen. In the RSHPB system, only the initial stress wave is allowed to propagate through the specimen, ensuring that failure occurs under a single loading event. Specifically, when the striker bar produces a compressive stress wave in the incident bar, the reaction mass generates a tensile stress wave that detaches the incident bar from the specimen, thereby eliminating repeated loading caused by reflected waves. As a result, the SRSHPB system provides a more accurate representation of specimen failure under dynamic loading. Figure 15a,b show the experimental setup of the SRSHPB system and the stress reversal mechanism, respectively.
Figure 15.
The split Hopkinson pressure bar system with stress reversal devices: (a) Schematic diagram of the split Hopkinson pressure bar system, and (b) Stress reversal devices.
During the SRSHPB test, strain gauges are attached to the incident bar and the transmission bar, which record the strain-time signals of the incident wave , reflected wave , and transmitted wave . Formulas for calculating the specimen’s average strain , average strain rate , and average strain using the one-wave method are as follows [64].
where is the wave speed; is the elastic modulus of the incident bar; is the cross-sectional area of the incident bar; and and are the length and cross-sectional area of the specimen, respectively.
5. Conclusions
This study investigated the quasi-static and dynamic mechanical performance of recycled carbon fiber-reinforced concrete incorporating MBOF. Based on the experimental results, the following conclusions can be drawn:
- SEM combined with EDS analysis revealed that the RCF obtained through MAP exhibited a surface carbon content of approximately 99.8%, indicating that MAP is an effective method for removing residual resin and recovering high-purity carbon fibers from CFRP waste.
- Replacing natural aggregates with MBOF in concrete reduced slump due to the angular shape and higher water absorption of MBOF. However, mechanical performance was significantly improved, with compressive, flexural, and splitting tensile strengths increasing by approximately 34.01%, 16.75%, and 9.37%, respectively.
- Incorporating 1 wt% of RCF with lengths of 6 mm and 12 mm into MBOF concrete further enhanced mechanical properties. Compared to fiber-free MBOF concrete, compressive strength increased by 3.03% and 13.77%, flexural strength by 14.50% and 19.74%, and splitting tensile strength by 2.60% and 25.84%, respectively. These results indicate that MBOF concrete reinforced with 12 mm RCF outperforms its 6 mm counterpart in all evaluated strength parameters.
- The incorporation of 1 wt% RCF with lengths of 6 mm and 12 mm into MBOF concrete significantly improved impact resistance under a 50 J impact energy level. The impact number increased by approximately 6.81 times and 12.67 times, respectively, compared to the fiber-free specimen (I-M). Notably, the specimen reinforced with 12 mm RCF demonstrated superior energy absorption capacity and mechanical performance.
- The SRSHPB test results revealed that MBOF concrete reinforced with 12 mm fibers (R-M-RCFL12) exhibited greater dynamic compressive strength than the specimens reinforced with 6 mm RCF (R-M-RCFL6). As gas pressure increased, the corresponding strain rate also rose, leading to an enhancement in dynamic compressive strength and dynamic increase factor (DIF). These results confirm the strain rate sensitivity of RCF-reinforced MBOF concrete under high strain-rate loading.
Author Contributions
Y.-F.L.: conceptualization, funding acquisition, methodology, project administration, supervision, validation, writing—review and editing. H.-S.L.: data curation, formal analysis, writing—original draft. J.-Y.S.: data curation, validation, writing—original draft. W.-H.L.: methodology, validation, writing—review and editing. C.-H.H.: methodology, validation, writing—review and editing. Y.-K.T.: methodology, validation, writing—review and editing. A.S.: validation, writing—review & editing. All authors have read and agreed to the published version of the manuscript.
Funding
This research was funded by the National Science and Technology Council of Taiwan government, under contract No. NSTC 113-2221-E-027-027; and the “Research Center of Energy Conservation for New Generation of Residential, Commercial, and Industrial Sectors” from the Ministry of Education in Taiwan under contract No. L7131101-19.
Data Availability Statement
The original contributions presented in this study are included in the article. Further inquiries can be directed to the corresponding author(s).
Conflicts of Interest
The authors declared no potential conflicts of interest with respect to the research, authorship, and/or publication of this article.
References
- Liu, Z.; Deng, Z.; Davis, S.J.; Giron, C.; Ciais, P. Monitoring global carbon emissions in 2021. Nat. Rev. Earth Environ. 2022, 3, 217–219. [Google Scholar] [CrossRef]
- Ghorbani, B.; Zendehboudi, S.; Afrouzi, Z.A. Multi-objective optimization of an innovative integrated system for production and storage of hydrogen with net-zero carbon emissions. Energy Convers. Manag. 2023, 276, 116506. [Google Scholar] [CrossRef]
- Mehmood, S.; Zaman, K.; Khan, S.; Ali, Z. The role of green industrial transformation in mitigating carbon emissions: Exploring the channels of technological innovation and environmental regulation. Energy Built Environ. 2024, 5, 464–479. [Google Scholar] [CrossRef]
- Cousins, D.S.; Suzuki, Y.; Murray, R.E.; Samaniuk, J.R.; Stebner, A.P. Recycling glass fiber thermoplastic composites from wind turbine blades. J. Clean. Prod. 2019, 209, 1252–1263. [Google Scholar] [CrossRef]
- Hadigheh, S.A.; Ke, F.; Kashi, S. 3D acid diffusion model for FRP-strengthened reinforced concrete structures: Long-term durability prediction. Constr. Build. Mater. 2020, 261, 120548. [Google Scholar] [CrossRef]
- Pinto, F.; Boccarusso, L.; De Fazio, D.; Cuomo, S.; Durante, M.; Meo, M. Carbon/hemp bio-hybrid composites: Effects of the stacking sequence on flexural, damping and impact properties. Compos. Struct. 2020, 242, 112148. [Google Scholar] [CrossRef]
- De Fazio, D.; Boccarusso, L.; Formisano, A.; Viscusi, A.; Durante, M. A review on the recycling technologies of fibre-reinforced plastic (FRP) materials used in industrial fields. J. Mar. Sci. Eng. 2023, 11, 851. [Google Scholar] [CrossRef]
- Guo, R.; Li, C.; Xian, G. Water absorption and long-term thermal and mechanical properties of carbon/glass hybrid rod for bridge cable. Eng. Struct. 2023, 274, 115176. [Google Scholar] [CrossRef]
- Zhang, J.; Lin, G.; Vaidya, U.; Wang, H. Past, present and future prospective of global carbon fibre composite developments and applications. Compos. Part B Eng. 2023, 250, 110463. [Google Scholar] [CrossRef]
- Oliveux, G.; Dandy, L.O.; Leeke, G.A. Current status of recycling of fibre reinforced polymers: Review of technologies, reuse and resulting properties. Prog. Mater. Sci. 2015, 72, 61–99. [Google Scholar] [CrossRef]
- Karuppannan Gopalraj, S.; Kärki, T. A review on the recycling of waste carbon fibre/glass fibre-reinforced composites: Fibre recovery, properties and life-cycle analysis. SN Appl. Sci. 2020, 2, 433. [Google Scholar] [CrossRef]
- Giorgini, L.; Benelli, T.; Brancolini, G.; Mazzocchetti, L. Recycling of carbon fiber reinforced composite waste to close their life cycle in a cradle-to-cradle approach. Curr. Opin. Green Sustain. Chem. 2020, 26, 100368. [Google Scholar] [CrossRef]
- Bledzki, A.K.; Seidlitz, H.; Goracy, K.; Urbaniak, M.; Rösch, J.J. Recycling of carbon fiber reinforced composite polymers—Review—Part 1: Volume of production, recycling technologies, legislative aspects. Polymers 2021, 13, 300. [Google Scholar] [CrossRef] [PubMed]
- Rani, M.; Choudhary, P.; Krishnan, V.; Zafar, S. A review on recycling and reuse methods for carbon fiber/glass fiber composites waste from wind turbine blades. Compos. Part B Eng. 2021, 215, 108768. [Google Scholar] [CrossRef]
- Chin, K.Y.; Shiue, A.; You, J.L.; Wu, Y.J.; Cheng, K.Y.; Chang, S.M.; Li, Y.F.; Tseng, C.H.; Leggett, G. Carbon Fiber Recycling from Waste CFRPs via Microwave Pyrolysis: Gas Emissions Monitoring and Mechanical Properties of Recovered Carbon Fiber. Fibers 2024, 12, 106. [Google Scholar] [CrossRef]
- Pakdel, E.; Kashi, S.; Varley, R.; Wang, X. Recent progress in recycling carbon fibre reinforced composites and dry carbon fibre wastes. Resour. Conserv. Recycl. 2021, 166, 105340. [Google Scholar] [CrossRef]
- de Souza Abreu, F.; Ribeiro, C.C.; da Silva Pinto, J.D.; Nsumbu, T.M.; Buono, V.T.L. Influence of adding discontinuous and dispersed carbon fiber waste on concrete performance. J. Clean. Prod. 2020, 273, 122920. [Google Scholar] [CrossRef]
- Zegardło, B. Heat-resistant concretes containing waste carbon fibers from the sailing industry and recycled ceramic aggregates. Case Stud. Constr. Mater. 2022, 16, e01084. [Google Scholar] [CrossRef]
- Bhandari, M.; Nam, I.W. A Critical Review on the Application of Recycled Carbon Fiber to Concrete and Cement Composites. Recycling 2024, 9, 17. [Google Scholar] [CrossRef]
- Ozdemir, T.; Deitzel, J.M.; Crane, R.; Yarlagadda, S.; Blackwell, C.; Davis, M.; Emmerich, R.; Heider, D. Carbon fiber composites recycling technology enabled by the TuFF technology. Recycling 2024, 9, 11. [Google Scholar] [CrossRef]
- Zhang, W.; Yu, H.; Yin, B.; Akbar, A.; Dai, J.G.; Zhang, X.; Liew, K.M. Effects of recycled carbon fibers on mechanical and piezoresistive properties and environmental impact in alkali-activated cementitious materials. J. Clean. Prod. 2024, 450, 141902. [Google Scholar] [CrossRef]
- Zhou, Z.; Zhao, B.; Lone, U.A.; Fan, Y. Experimental study on mechanical properties of shredded prepreg carbon cloth waste fiber reinforced concrete. J. Clean. Prod. 2024, 436, 140456. [Google Scholar] [CrossRef]
- Mastali, M.; Dalvand, A.; Sattarifard, A. The impact resistance and mechanical properties of the reinforced self-compacting concrete incorporating recycled CFRP fiber with different lengths and dosages. Compos. Part B Eng. 2017, 112, 74–92. [Google Scholar] [CrossRef]
- Clark, E.; Bleszynski, M.; Valdez, F.; Kumosa, M. Recycling carbon and glass fiber polymer matrix composite waste into cementitious materials. Resour. Conserv. Recycl. 2020, 155, 104659. [Google Scholar] [CrossRef]
- Bao, H.; Yu, M.; Chi, Y.; Liu, Y.; Ye, J. Performance evaluation of steel-polypropylene hybrid fiber reinforced concrete under supercritical carbonation. J. Build. Eng. 2021, 43, 103159. [Google Scholar] [CrossRef]
- Choi, J.S.; Lee, H.J.; Yuan, T.F.; Yoon, Y.S. Mechanical and shrinkage performance of steel fiber reinforced high strength self-compacting lightweight concrete. Cem. Concr. Compos. 2023, 144, 105296. [Google Scholar] [CrossRef]
- Li, Y.F.; Li, J.Y.; Syu, J.Y.; Yang, T.H.; Chang, S.M.; Shen, M.Y. Mechanical behaviors of microwave-assisted pyrolysis recycled carbon fiber-reinforced concrete with early-strength cement. Materials 2023, 16, 1507. [Google Scholar] [CrossRef]
- Guo, Z.; Zhuang, C.; Li, Z.; Chen, Y. Mechanical properties of carbon fiber reinforced concrete (CFRC) after exposure to high temperatures. Compos. Struct. 2021, 256, 113072. [Google Scholar] [CrossRef]
- Li, Y.F.; Wang, H.F.; Syu, J.Y.; Ramanathan, G.K.; Tsai, Y.K.; Lok, M.H. Mechanical properties of aramid/carbon hybrid fiber-reinforced concrete. Materials 2021, 14, 5881. [Google Scholar] [CrossRef]
- Rai, B.; Singh, N.K. Statistical and experimental study to evaluate the variability and reliability of impact strength of steel-polypropylene hybrid fiber reinforced concrete. J. Build. Eng. 2021, 44, 102937. [Google Scholar] [CrossRef]
- Lande, I.; Thorstensen, R.T. Comprehensive sustainability strategy for the emerging ultra-high-performance concrete (UHPC) industry. Clean. Mater. 2023, 8, 100183. [Google Scholar] [CrossRef]
- Alshahrani, A.; Kulasegaram, S. Effect of fibre diameter and tensile strength on the mechanical, fracture, and fibre distribution properties of eco-friendly high-strength self-compacting concrete. Constr. Build. Mater. 2023, 403, 133161. [Google Scholar] [CrossRef]
- Gu, Z.; Chen, P.; Wang, C.; Wang, A.; Wang, Y.; Qian, P.; Li, X. Bio-inspired polydopamine modification of recycled carbon fibers for improving the performance of recycled carbon fiber reinforced mortars. Constr. Build. Mater. 2024, 414, 134912. [Google Scholar] [CrossRef]
- Qin, X.; Huang, X.; Kaewunruen, S. Sustainable design and carbon-credited application framework of recycled steel fibre reinforced concrete. Dev. Built Environ. 2024, 18, 100404. [Google Scholar] [CrossRef]
- Li, Y.F.; Hung, J.Y.; Syu, J.Y.; Chen, S.H.; Huang, C.H.; Chang, S.M.; Kuo, W.S. Effect of the sizing removal methods of fiber surface on the mechanical performance of basalt fiber-reinforced concrete. Fibers 2024, 12, 10. [Google Scholar] [CrossRef]
- Wang, G.; Wang, Y.; Gao, Z. Use of steel slag as a granular material: Volume expansion prediction and usability criteria. J. Hazard. Mater. 2010, 184, 555–560. [Google Scholar] [CrossRef]
- Brand, A.S.; Roesler, J.R. Steel furnace slag aggregate expansion and hardened concrete properties. Cem. Concr. Compos. 2015, 60, 1–9. [Google Scholar] [CrossRef]
- Zhao, J.; Liu, J.; Gao, X.; Zhang, H.; Zhang, H.; Gu, X. Effect of environment conditions on volume deformation of blended cement mortars containing blast furnace slag and steel slag powder. J. Build. Eng. 2024, 85, 108692. [Google Scholar] [CrossRef]
- Van Tran, M.; Van Nguyen, C.; Nawa, T.; Stitmannaithum, B. Properties of high strength concrete using steel slag coarse aggregate. ASEAN Eng. J. 2015, 4, 22–32. [Google Scholar] [CrossRef]
- Lai, M.H.; Zou, J.; Yao, B.; Ho, J.C.M.; Zhuang, X.; Wang, Q. Improving mechanical behavior and microstructure of concrete by using BOF steel slag aggregate. Constr. Build. Mater. 2021, 277, 122269. [Google Scholar] [CrossRef]
- Santamaría, A.; Revilla-Cuesta, V.; Skaf, M.; Romera, J.M. Full-scale sustainable structural concrete containing high proportions of by-products and waste. Case Stud. Constr. Mater. 2023, 18, e02142. [Google Scholar] [CrossRef]
- Ismail, A.H.; Kusbiantoro, A.; Tajunnisa, Y.; Ekaputrc, J.J.; Laory, I. A review of aluminosilicate sources from inorganic waste for geopolymer production: Sustainable approach for hydrocarbon waste disposal. Clean. Mater. 2024, 13, 100259. [Google Scholar] [CrossRef]
- Reshma, T.V.; Patnaikuni, C.K.; Tanu, H.M.; Bharath, A. Evaluation of strength, durability, and microstructure characteristics of slag-sand-induced concrete. Clean. Mater. 2023, 10, 100212. [Google Scholar] [CrossRef]
- He, Z.; Hu, X.; Chou, K.C. Oxidative modification of industrial basic oxygen furnace slag for recover iron-containing phase: Study on phase transformation and mineral structure evolution. Process Saf. Environ. Prot. 2023, 171, 167–175. [Google Scholar] [CrossRef]
- UFC 3-340-02; Structures to Resist the Effects of Accidental Explosions. U.S. Department of Defense: Arlington, VA, USA, 2008.
- Yin, C. Microwave-assisted pyrolysis of biomass for liquid biofuels production. Bioresour. Technol. 2012, 120, 273–284. [Google Scholar] [CrossRef]
- Motasemi, F.; Afzal, M.T. A review on the microwave-assisted pyrolysis technique. Renew. Sustain. Energy Rev. 2013, 28, 317–330. [Google Scholar] [CrossRef]
- Falciglia, P.P.; Roccaro, P.; Bonanno, L.; De Guidi, G.; Vagliasindi, F.G.; Romano, S. A review on the microwave heating as a sustainable technique for environmental remediation/detoxification applications. Renew. Sustain. Energy Rev. 2018, 95, 147–170. [Google Scholar] [CrossRef]
- Omoriyekomwan, J.E.; Tahmasebi, A.; Zhang, J.; Yu, J. Mechanistic study on direct synthesis of carbon nanotubes from cellulose by means of microwave pyrolysis. Energy Convers. Manag 2019, 192, 88–99. [Google Scholar] [CrossRef]
- Balaga, U.K.; Gunes, A.; Ozdemir, T.; Blackwell, C.; Davis, M.; Sauerbrunn, S.; Fuessel, L.; Deitzel, J.M.; Heider, D. Optimization of the Recycling Process for Aligned Short Carbon Fiber TuFF Composites. Recycling 2025, 10, 55. [Google Scholar] [CrossRef]
- ASTM D3822-07; Standard Test Method for Tensile Properties of Single Textile Fibers. ASTM: West Conshohocken, PA, USA, 2010.
- Bodor, M.; Santos, R.M.; Cristea, G.; Salman, M.; Cizer, Ö.; Iacobescu, R.I.; Chiang, Y.W.; Van Balen, K.; Vlad, M.; Van Gerven, T. Laboratory investigation of carbonated BOF slag used as partial replacement of natural aggregate in cement mortars. Cem. Concr. Compos. 2016, 65, 55–66. [Google Scholar] [CrossRef]
- ASTM C33/C33M-23; Standard Specification for Concrete Aggregates. ASTM: West Conshohocken, PA, USA, 2023.
- ASTM C128-22; Standard Test Method for Density, Relative Density (Specific Gravity), and Absorption of Fine Aggregate. ASTM: West Conshohocken, PA, USA, 2022.
- ASTM C131/C131M-20; Standard Test Method for Resistance to Degradation of Small-Size Coarse Aggregate by Abrasion and Impact in the Los Angeles Machine. ASTM: West Conshohocken, PA, USA, 2020.
- Li, Y.F.; Lee, K.F.; Ramanathan, G.K.; Cheng, T.W.; Huang, C.H.; Tsai, Y.K. Static and dynamic performances of chopped carbon-fiber-reinforced mortar and concrete incorporated with disparate lengths. Materials 2021, 14, 972. [Google Scholar] [CrossRef]
- ASTM C143/C143M-20; Standard Test Method for Slump of Hydraulic-Cement Concrete. ASTM: West Conshohocken, PA, USA, 2020.
- ASTM 928M/C928M-20a; Standard Specification for Packaged, Dry, Rapid-Hardening Cementitious Materials for Concrete Repairs (Metric). ASTM: West Conshohocken, PA, USA, 2020.
- ASTM C39/C39M-23; Standard Test Method for Compressive Strength of Cylindrical Concrete Specimens. ASTM: West Conshohocken, PA, USA, 2023.
- ASTM C293/C293M-16; Standard Test Method for Flexural Strength of Concrete (Using Simple Beam with Center-Point Loading). ASTM: West Conshohocken, PA, USA, 2016.
- ASTM C496/C496M-17; Standard Test Method for Splitting Tensile Strength of Cylindrical Concrete Specimens. ASTM: West Conshohocken, PA, USA, 2017.
- ACI 544.2R-89; Measurement of Properties of Fiber Reinforced Concrete. American Concrete Institute: Farmington Hills, MI, USA, 1999.
- Nemat-Nasser, S.; Isaacs, J.B.; Starrett, J.E. Hopkinson techniques for dynamic recovery experiments. Proc. R. Soc. London Ser. A Math. Phys. Sci. 1991, 435, 371–391. [Google Scholar] [CrossRef]
- Chen, Z.; Yang, Y.; Yao, Y. Quasi-static and dynamic compressive mechanical properties of engineered cementitious composite incorporating ground granulated blast furnace slag. Mater. Des. 2013, 44, 500–508. [Google Scholar] [CrossRef]
Disclaimer/Publisher’s Note: The statements, opinions and data contained in all publications are solely those of the individual author(s) and contributor(s) and not of MDPI and/or the editor(s). MDPI and/or the editor(s) disclaim responsibility for any injury to people or property resulting from any ideas, methods, instructions or products referred to in the content. |
© 2025 by the authors. Licensee MDPI, Basel, Switzerland. This article is an open access article distributed under the terms and conditions of the Creative Commons Attribution (CC BY) license (https://creativecommons.org/licenses/by/4.0/).














