Abstract
This study presents, for the first time, a systematic investigation of the use of micronized post-consumer silica gel as a reinforcing filler in natural rubber composites, in direct comparison with commercial silicas. Thirteen formulations were prepared using three types of silica (recycled, Copasil, and ZC-185P) and three coupling agents (TESPT, VTMO, and Chartwell C-515.71HR®). The recycled silica exhibited high purity (97.33% Si) and irregular morphology but resulted in lower crosslink density (0.47–0.59 × 10−4 mol·cm−3) and inferior mechanical performance, with tensile strength up to 7.9 MPa and high abrasion loss (878–888 mm3). In contrast, ZC-185P silica combined with TESPT achieved the best results, with a tensile strength of 18.5 MPa, tear resistance of 99.36 N·mm−1, and minimum abrasion loss of 170 mm3. Although less efficient in reinforcement, composites containing recycled silica were successfully applied in the production of a functional rubber mat, demonstrating their practical viability. The results confirm the potential for valorization of spent silica gel as an alternative raw material for sustainable composites, contributing to the circular economy.
1. Introduction
Natural rubber (NR) is a polymer of great industrial significance, widely used in the manufacture of a broad range of products—from automotive tires to various molded goods—due to its exceptional properties of elasticity, tensile strength, resilience, and low dynamic hysteresis [1]. However, to optimize its performance and meet the specific requirements of each application, NR is frequently vulcanized and modified through the incorporation of fillers. Reinforcing fillers, such as silica and carbon black, are essential for enhancing the mechanical, dynamic, and processing properties of elastomeric composites, imparting greater stiffness, wear resistance, and durability to the final materials [2].
The rubber industry, however, faces growing challenges related to sustainability and environmental impact. The pursuit of more eco-friendly materials and processes has driven research and the development of new approaches, including the use of fillers derived from renewable or recycled sources [3]. In this context, the reuse of industrial and post-consumer waste emerges as a promising strategy for the production of rubber composites with a reduced environmental footprint, without compromising material performance [4]. Silica, in particular, is a widely used inorganic filler in the rubber industry, especially in ‘green’ tires, due to its ability to reduce rolling resistance—and thus fuel consumption—while also enhancing wet traction [5]. However, the production of commercial silica can be energy-intensive and may generate by-products [6].
Silica gel, a porous material composed of amorphous silicon dioxide, is widely used as a desiccant in various applications, including packaging of moisture-sensitive products, industrial processes, and laboratory settings [7]. After its cycle of use and reuse through moisture desorption in an oven, the exhausted silica gel is often discarded, generating a significant volume of waste, since its reactivation by other chemical methods becomes economically unfeasible. The potential reuse of post-consumer silica gel as a filler for polymer composites represents an innovative and environmentally beneficial approach [8]. Its porous structure and the presence of silanol groups on its surface may offer advantageous characteristics for interaction with the polymer matrix and with coupling agents, thereby influencing the final properties of the composite [9].
The incorporation of fillers into elastomeric matrices, such as natural rubber, is a complex process that depends not only on the filler content but also on its nature, particle size, surface area, and, critically, the filler–matrix interface [10]. Poor filler dispersion or weak interfacial interaction can lead to particle agglomeration and the formation of domains with inferior mechanical properties, ultimately resulting in reduced strength and durability of the material [11]. To overcome these challenges and promote efficient adhesion between the inorganic filler (silica) and the apolar polymer matrix (natural rubber), coupling agents are employed. These bifunctional additives act as chemical bridges, reacting with the silanol groups on the silica surface and with the rubber polymer chains, fostering covalent bonding or strong physical interactions [12]. Silanes such as bis(triethoxysilylpropyl)tetrasulfide (TESPT), vinyltrimethoxysilane (VTMO), and Chartwell C-515.71HR® are widely recognized for their effectiveness in modifying the silica surface, facilitating its dispersion and enhancing the mechanical and dynamic properties of rubber composites.
Shuib and Shamsuddin [13] investigated the use of the coupling agent bis(3-triethoxysilylpropyl) tetrasulfide (TESPT) to modify the surface of natural rubber composites filled with silica, ferrite, and kenaf fiber. The objective was to compare the effectiveness of three surface treatment methods—aqueous solvent deposition, dry mixing, and integral mixing—in enhancing the interfacial interaction between the filler and the rubber matrix. Due to its highly hydrophilic nature, silica exhibits low compatibility with rubber, which limits its reinforcing potential. TESPT modification improves this compatibility by enabling the formation of chemical bonds between the silanol groups of the agent and the surfaces of the fillers, thereby enhancing dispersion and adhesion to the matrix. FTIR analysis confirmed the formation of siloxane bonds (Si–O–Si) around 1088 cm−1, particularly pronounced in silica-containing systems, indicating effective reactivity with TESPT. The results demonstrated that the dry mixing method was more effective for particulate fillers such as silica and ferrite, while the aqueous deposition method was superior for kenaf fiber, due to its higher affinity for solvents. Analyses of crosslink density, morphology, and mechanical properties (such as tensile strength and modulus) supported these findings, revealing significant improvements in the performance of composites with treated fillers compared to untreated ones. The authors concluded that the choice of TESPT application method depends on the nature of the filler used and is essential for achieving enhanced mechanical and physical performance in rubber composites.
Hu et al. [14] investigated the use of the silane coupling agent VTMO (vinyltrimethoxysilane) for the modification of clays employed in polymer composites with flame-retardant properties. The study explored how the modification of clay with VTMO can enhance the dispersion of the material within the polymer matrix and improve compatibility between the organic and inorganic phases. This improvement is attributed to VTMO’s ability to chemically bond to the clay surfaces through hydrolysis and condensation reactions, thereby promoting strong adhesion with the polymer matrix. The authors emphasize that VTMO-modified clay significantly contributes to the formation of a dense char layer during combustion, which acts as a physical barrier against heat, oxygen, and flammable gases. This barrier reduces flame propagation and smoke release, thus improving the flame-retardant performance of the material. Furthermore, VTMO facilitates the formation of crosslinked structures with the polymer, promoting a synergistic interaction between silicon and carbon that enhances the thermal stability and integrity of the protective layer formed during combustion.
Ribeiro et al. [15] investigated the application of the coupling agent Chartwell C-515.71HR® in natural rubber composites reinforced with calcium carbonate and silica, aiming to enhance physicomechanical properties while reducing industrial costs. The study compared various formulations employing ultra-fine calcium carbonate, both untreated and treated with 2% Chartwell®, as a partial substitute for silane-treated silica (TESPT). The objective was to assess the feasibility of partially replacing silica—a more expensive and processing-intensive filler. The results demonstrated that the use of Chartwell® significantly improved the dispersion of calcium carbonate within the rubber matrix and increased crosslink density, resulting in improved mechanical performance (tensile strength, modulus, hardness, and abrasion resistance). Notably, the formulation containing 30 parts silica and 10 parts treated calcium carbonate exhibited mechanical performance comparable to the formulation with silica alone. By facilitating interaction between the inorganic (filler) and organic (rubber) phases, Chartwell® proved to be an effective alternative to silane and even demonstrated synergistic benefits when used in combination with it.
In the literature, there is a scarcity of studies addressing the use of post-consumer silica as a filler in polymer matrices, highlighting both the technical feasibility and the environmental benefits of this approach. In this context, Rostami-Tapeh-Esmaeil et al. [16] investigated the replacement of petroleum-derived carbon black (CB) with recycled silica in natural rubber (NR) foams. Formulations with varying CB/silica ratios were prepared, maintaining a total filler content of 40 phr (per hundred rubber). The results showed that the progressive substitution of CB by recycled silica improved curing characteristics, such as maximum torque, scorch time, and optimum cure time, while also enhancing mechanical and thermal properties. The hybrid formulation (20 phr CB / 20 phr silica) stood out, exhibiting the smallest average cell size (18.8 μm), highest cell density (8.8 × 103 cells·mm−3), and superior mechanical and thermal insulation properties. Recycled silica proved to be a promising substitute for CB, not only for its sustainability but also for delivering performance superior to that of commercial silica.
Against this backdrop, the present research distinguishes itself by conducting the first comprehensive comparative investigation between post-consumer silica gel and commercial silicas (Copasil and ZC-185P) in natural rubber composites, also assessing the influence of different coupling agents (TESPT, VTMO, and Chartwell C-515.71HR®). The study, therefore, not only advances the understanding of the technical feasibility of using post-consumer silica but also highlights its limitations and potential when compared with well-established commercial materials.
Accordingly, this work provides an unprecedented contribution to the development of more sustainable elastomeric composites, while simultaneously offering essential comparative technical data to guide decision-making regarding the partial replacement of conventional fillers with post-consumer silica. By emphasizing the balance between mechanical performance, aging stability, and environmental benefits, the findings presented herein reinforce the role of the circular economy in the formulation of new polymeric materials.
2. Results and Discussion
2.1. Particle Size Analysis of Silicas
Table 1 presents the series of sieves employed, their respective apertures, the values corresponding to the amount of particles retained on each sieve, and the cumulative values associated with each type of silica.
Table 1.
Analysis of the Particle Size Distribution of Silicas.
The particle size analysis highlights marked differences in the particle size distribution among the three silicas investigated, which are directly related to their properties and potential applications. Post-consumer silica gel exhibits the finest and broadest distribution. The largest fraction of the material (36.0% + 28.1% = 64.1%) is concentrated in the 200 and 325 mesh sieves (75 µm and 45 µm), indicating a predominance of medium-sized particles. In addition, it shows a substantial amount of fine particles (10.2% + 2.4% = 12.6% below 38 µm). The presence of a wide granulometric range, including a significant fraction of fines, suggests a high specific surface area. Such a characteristic is typical of silica gels used in adsorption chromatography, where a large surface area is essential for high retention and compound separation capacity. However, the material may exhibit lower flowability and greater tendency to generate dust.
Copasil silica, in contrast, shows the coarsest distribution among the three analyzed. Approximately three quarters of the particles (47.9% + 24.9% + 17.8% = 90.6%) are retained in the coarser sieves (80, 100, and 115 mesh), i.e., above 125 µm, with virtually no fine fraction (only 0.9% below 45 µm). Thus, it is a silica composed of large and uniform particles, a feature associated with low specific surface area, which favors higher flowability and reduces dust formation. This property makes it suitable for applications where a low flow resistance coefficient in columns is desired or as a processing aid (anti-packing agent) in formulations.
ZC 185P silica, in turn, exhibits a bimodal or broad distribution, intermediate in relation to the others. A significant fraction is retained on the 80-mesh sieve (39.9% > 180 µm), but there is also a considerable amount of particles in the finer sieves (200, 325, and 400 mesh). The occurrence of two granulometric ‘peaks’—one in coarse particles (>180 µm) and another in medium particles (75–45 µm)—suggests a mixture or a synthesis process that yields a wide size distribution. This feature may be intentional, aimed at providing a balance between properties: the coarse fraction ensures flowability, while the fine fraction contributes to a higher surface area. Thus, it is a versatile material, possibly designed for applications requiring both good flowability and high surface contact. Figure 1a,b provides a visual representation of the data presented in Table 1.
Figure 1.
Semi-log plots of silica particle size distribution as a function of (a) the amount of particles retained on each sieve, and (b) the cumulative total amount of particles.
2.2. X-Ray Fluorescence of the Silicas
The analysis of the elemental composition of the silicas, carried out using X-ray fluorescence (XRF) spectroscopy, revealed significant differences among the post-consumer silica gel, the commercial silica supplied by Copasil, and the commercial silica of type ZC-185P. The results are presented in Table 2. All samples exhibited high concentrations of silicon oxide (SiO2), the principal element in silica compositions. Copasil’s silica showed the highest Si content (97.97%), followed by the post-consumer silica (97.33%) and ZC-185P silica (97.16%). This slight variation indicates that the post-consumer silica retains a high degree of purity, rendering it comparable to commercial alternatives and therefore technically viable for reuse in industrial applications.
Table 2.
Chemical elements determined by X-ray fluorescence of the silicas.
With regard to the presence of sulfur (S), it was observed that the commercial silicas exhibit significant concentrations 1.67% in the silica supplied by Copasil and 1.38% in the ZC-185P type silica. In contrast, sulfur was not detected in the post-consumer silica gel, which may represent an advantage in certain industrial processes where its presence could compromise the stability or quality of the final product. It is worth noting, however, that although the formulation of vulcanized rubber requires the addition of sulfur as a crosslinking agent, an excess of this element may adversely affect the physico-mechanical properties of the rubber article, rendering it unsuitable for applications that demand higher performance.
The analysis of metallic oxides reveals the presence of iron (Fe) in all samples, with the highest concentration found in the ZC-185P silica (0.24%), followed by the post-consumer silica (0.15%) and the Copasil silica (0.08%). The presence of iron may affect the physicochemical properties of the material, especially in formulations sensitive to oxidation. Elements such as aluminum (Al) and titanium (Ti) were detected in significant amounts only in the ZC-185P silica, at 0.71% and 0.27%, respectively, which may indicate a distinct manufacturing process or the use of different raw materials.
Furthermore, the post-consumer silica exhibited elements absent from the commercial samples, such as zinc (Zn) at 1.35%, barium (Ba) at 0.29%, and chromium (Cr) at 0.02%, as well as 0.73% of other unspecified elements. The presence of these elements may be linked to the industrial origin of the post-consumer silica and should be carefully assessed in accordance with the technical requirements of the final application. Conversely, the commercial silicas displayed trace amounts of elements such as gold (Au), germanium (Ge), manganese (Mn), and copper (Cu), all at concentrations below 0.05%, likely deriving from the production process or minimal environmental contamination.
2.3. Scanning Electron Microscopy of the Silicas
The morphological analysis of the silica samples, conducted by scanning electron microscopy (SEM), is presented in Figure 2 and reveals significant differences among the post-consumer and micronized silica, the commercial silica supplied by Copasil, and the ZC-185P silica. The images corresponding to the post-consumer silica shown in Figure 2a,b, obtained at magnifications of 250× and 1000×, respectively, display particles with predominantly irregular morphology, featuring rough surfaces and angular shapes. This morphology is typical of materials produced by mechanical milling processes, as is the case with post-consumer silica. The particle size distribution is broad, with particles of varying sizes and shapes, which may adversely affect dispersion homogeneity when incorporated into polymeric matrices. On the other hand, the rough surface and irregularity of the particles can enhance interfacial adhesion in composites, especially in formulations requiring stronger interaction between the filler and the matrix.
Figure 2.
Scanning electron microscopy (SEM) images of the different silicas analyzed. (a,b): post-consumer and micronized silica at magnifications of 250× and 1000×, respectively; (c,d): commercial silica from Copasil, also at 250× and 1000× magnifications; (e,f): commercial ZC-185P silica at the same magnifications.
In the case of the commercial Copasil silica shown in Figure 2c,d, a more homogeneous morphology is observed, with particles ranging from sub-spherical to angular shapes and a tendency to form agglomerates. Although the particles are not perfectly spherical, they exhibit greater uniformity compared to post-consumer silica. This morphology suggests a more controlled industrial manufacturing process, resulting in a narrower size distribution and an increased packing ability within composites. The presence of porosity in the Copasil silica particles may be advantageous in certain applications, such as formulations requiring higher absorption or retention of liquids.
The ZC-185P silica, in turn, exhibits a markedly distinct morphology, as evidenced by the images in Figure 2e,f. The particles display a well-defined spherical shape, with a high degree of uniformity and a smooth surface. This highly regular structure indicates the use of sophisticated industrial processes, such as controlled precipitation or pyrolysis, which endow the silica with superior properties in terms of flowability, homogeneous dispersion, and reduced abrasiveness. The high sphericity of the particles enhances the rheological behavior of the matrix and contributes to the dimensional stability and mechanical performance of the final product, making this type of silica especially suitable for high-value applications, such as high-performance rubber compounds.
2.4. Simplified Reaction Mechanism Between Silicas, Coupling Agents, and the Polymer Matrix
Natural rubber is a polymer composed of repeating units of cis-1,4-polyisoprene, whose structural formula can be represented as [17]
The silica employed in rubber compounds is generally precipitated amorphous silica. Owing to its high hygroscopicity, its surface exhibits hydroxyl (silanol) groups, as represented below:
- (a)
- Reaction with TESPT:
Bis(triethoxysilylpropyl) tetrasulfide (TESPT) is a bifunctional coupling agent that acts as a ‘chemical bridge’ between the inorganic phase (silica) and the organic matrix (rubber). Its molecular structure is
The silanization process occurs at moderate temperatures (≈70 °C), when the ethoxy groups (CH3CH2O–) of TESPT react with the silanol groups (≡Si–OH) present on the silica surface, releasing ethanol (CH3CH2OH) as a byproduct. The bond formed is covalent, providing strong adhesion between the inorganic filler and the polymer matrix:
After silanization, the compound is heated during the vulcanization process (150 °C). The sulfur chain of TESPT (S4) decomposes into sulfur free radicals, which form covalent bonds with the rubber chains, creating crosslinks between them. This step corresponds to the vulcanization of the rubber. The reaction can occur at the reactive sites of the rubber, typically the double bonds along the polyisoprene chain. The result is the formation of a three-dimensional network, which imparts elasticity and strength to the material, as illustrated by the reactions presented below:
The Sx° or Sγ° bond represents the sulfur chain that connects to the silica via TESPT. Crosslinking does not form direct bonds between the rubber and the silica but rather occurs through the sulfur chain and TESPT. This is what is referred to as reinforced rubber.
- (b)
- Reaction with VTMO:
Vinyltrimethoxysilane (VTMO) has the following structure:
This coupling agent is bifunctional: the vinyl group (CH2=CH–) reacts with the rubber matrix, while the trimethoxy groups (–Si(OCH3)3) react with the silica surface. The silanization process occurs via condensation between (–Si(OCH3)3) and the silanol groups on the silica, releasing methanol (CH3OH) as a byproduct:
This reaction produces functionalized silica particles, where the vinyl end of VTMO remains exposed and ready to react with the rubber.
Following silanization, the next step is the vulcanization, or crosslinking, of the rubber. During processing, the double bond of the VTMO vinyl group reacts with the rubber, typically at the double bonds along the polyisoprene chain, creating crosslinks between the silica and the rubber. This sulfur-initiated crosslinking (S8) activates the double bonds in both the rubber and the VTMO. The reaction results in the formation of a three-dimensional network, in which the silica particles are firmly bound to the rubber chains through silane bridges.
The Sx bond represents the sulfur chain that connects to the silica via VTMO.
- (c)
- Reaction with Chartwell C-515.71HR®:
No detailed public information regarding the chemical structure of the coupling agent Chartwell C-515.71HR® is available, as it is a proprietary formulation. However, based on available technical descriptions, this additive is classified as an organometallic agent containing a primary amino group, applied in rubber/silica systems. A plausible generic representation can be described as:
where
R = an organic chain bonded to the metal containing a primary amino group (−NH2).
L = organic or inorganic ligands that bridge to the metal and stabilize the complex.
M = the metal or neutral metal complex.
- Adsorption/interaction with silica:
The amine can interact with the silica (silanol groups) via
Or even coordination interactions with the metal, or bridging complexes
- 2.
- Reaction to natural rubberNatural rubber (with double bonds) can react with amine groups or with parts of the metal complex that become active as crosslinking sites or via radical formation during the vulcanization process. Possible mechanisms include the following:
- The amine can act as an accelerator or promoter within the vulcanization process (depending on the formulation).
- The metal can participate as a catalyst or crosslinking aid; for example, it can generate radicals that attack the double bonds (C=C) of polyisoprene, forming crosslinks (bridges between chains).
Although the structural details are not known (such as the number of −NH2 groups, the nature of the metal, or the presence of other functionalities), Chartwell C-515.71HR® is described as effective in enhancing filler–matrix adhesion, thereby promoting typical properties of reinforced rubbers.
2.5. Rheological Parameters Analysis
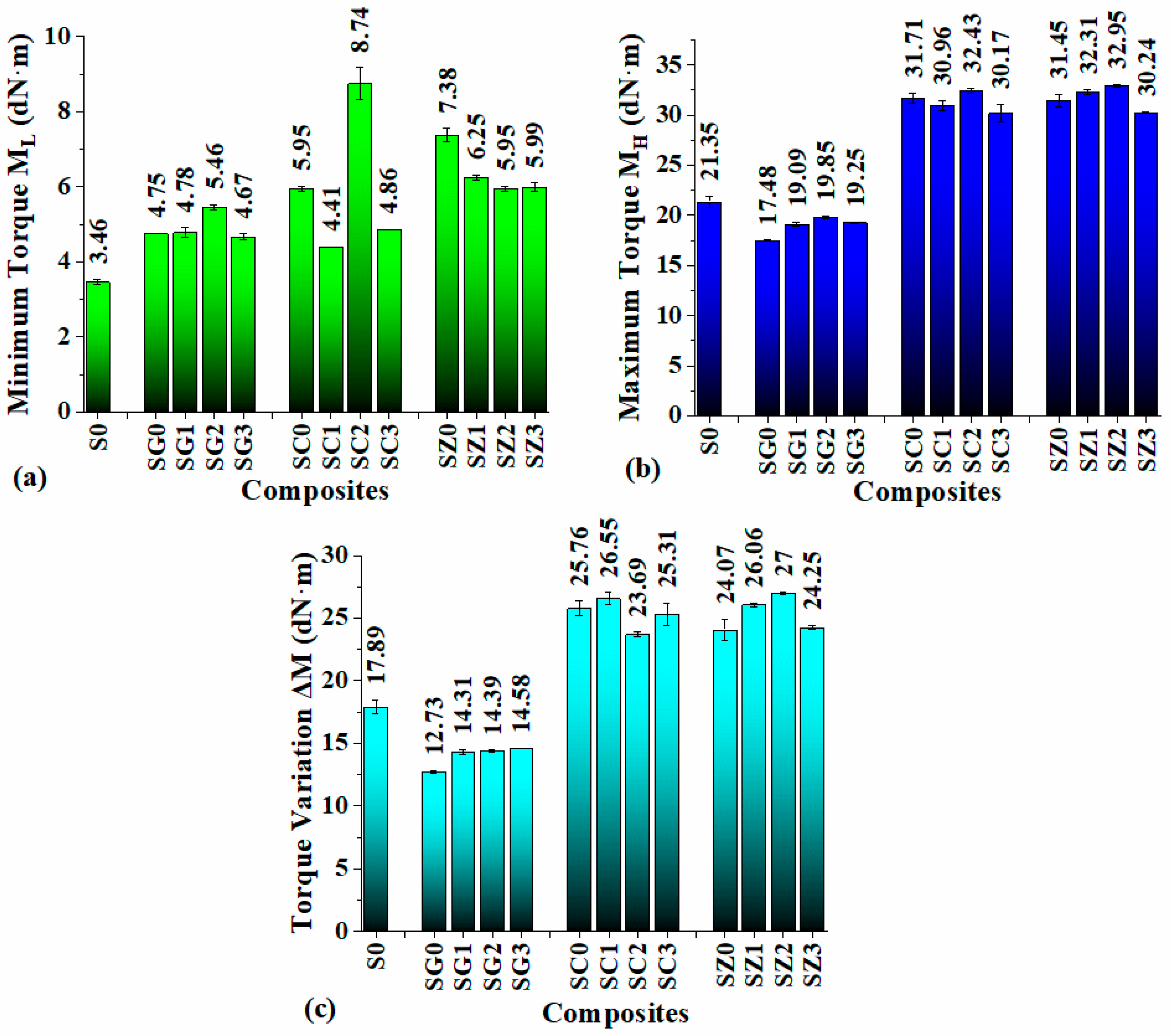
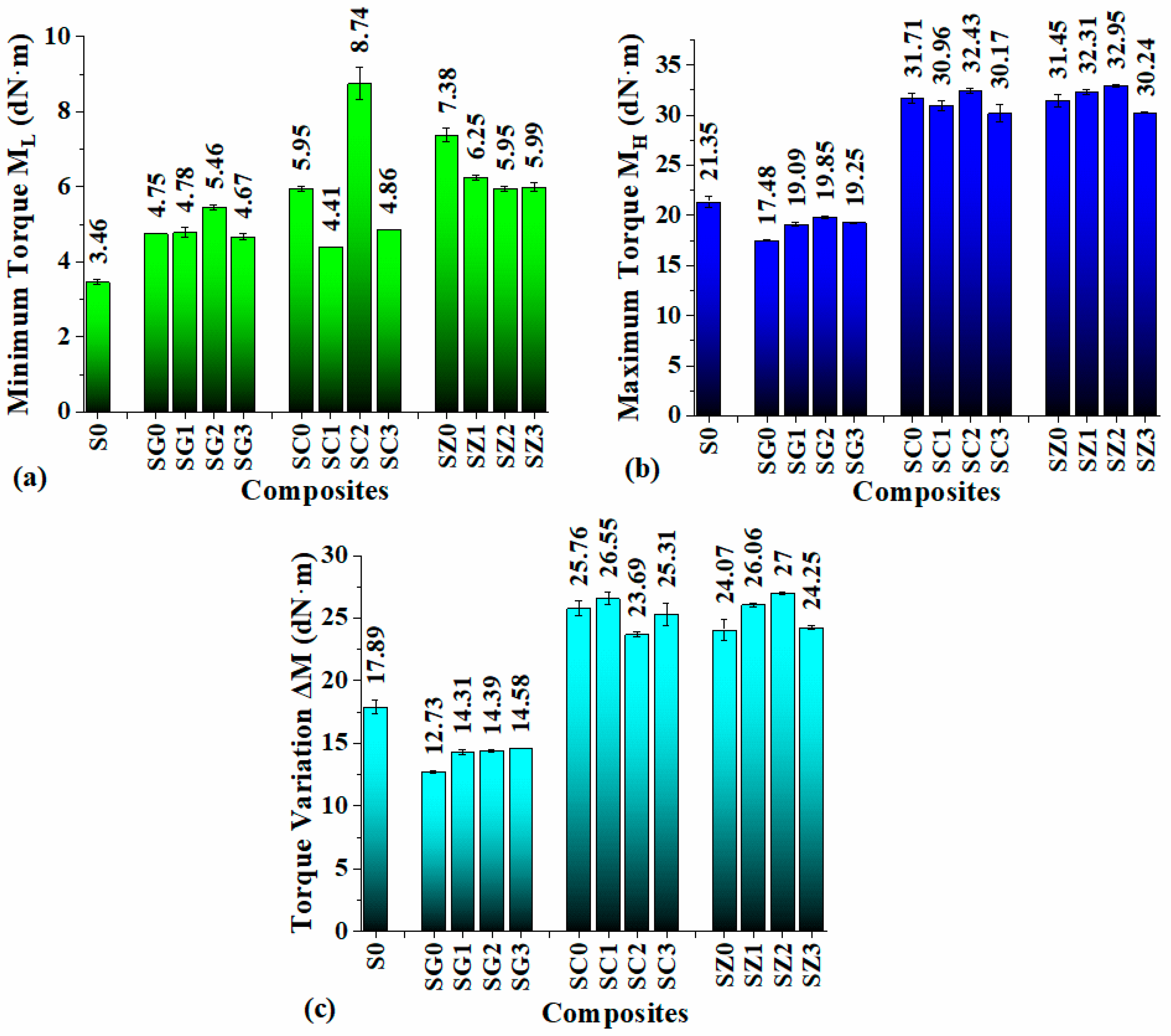
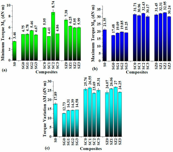
The analysis of the rheological results obtained for the various composites formulated with different types of silica and coupling agents allows for an in-depth understanding of the impact of these variables on the curing behavior of natural rubber. The rheological parameters evaluated are shown in Figure 3a–c—minimum torque (ML), maximum torque (MH), and torque variation (ΔM)—and in Figure 4a–c—scorch time (tS1), optimum cure time (t90), and cure rate index (CRI)—providing critical information regarding processability, network structure, and the vulcanization reaction rate. Figure 3a presents the minimum torque (ML) results, which relate to the initial viscosity of the compound and the mobility of the polymer matrix prior to vulcanization, showing lower values for the unfilled compound (S0), as expected. As fillers such as post-consumer silicas (SG0, SG1, SG2, and SG3) and virgin silicas (SC0, SC1, SC2, SC3, SZ0, SZ1, SZ2, and SZ3) were incorporated, ML increased significantly, with particular emphasis on compound SC2 (8.74 dN·m), indicating greater stiffness of the mixture before curing. This behavior is intensified by the presence of physicochemical interactions between the silica and the polymer matrix, as well as the influence of coupling agents, which tend to modulate filler dispersion, as observed in the reduction of ML in SC1 and SC3 compared to SC0.
Figure 3.
Results of the rheometric parameters of the composites: (a) minimum torque, (b) maximum torque, and (c) torque variation.
Figure 4.
Results of the rheometric parameters of the composites: (a) scorch time, (b) optimum cure time, and (c) cure rate index.
The results for maximum torque (MH) are shown in Figure 3b and represent the final stiffness of the vulcanized rubber, reflecting the degree of crosslinking achieved. Compounds containing virgin silica, particularly those with coupling agents VTMO (e.g., SC2 and SZ2) and exhibited the highest MH values (~32–33 dN·m), suggesting the formation of a denser and more effective polymer network. Conversely, composites with post-consumer silica, even when combined with coupling agents, showed lower values (~17–19 dN·m), indicating that the reinforcing efficiency of post-consumer silica remains limited, possibly due to heterogeneity.
The torque variation (ΔM), a direct indicator of the degree of crosslinking, followed the same trend as MH, as shown in Figure 3c. Compounds such as SC1, SZ1, and SZ2 exhibited the highest ΔM values (>26 dN·m), while those containing post-consumer silica remained below 15 dN·m, even in the presence of coupling agents. This behavior underscores the diminished capacity of post-consumer silica to promote a cohesive network structure, which can be attributed to the weak interaction between the filler and the polymer matrix.
The curing kinetics are shown in Figure 4, with the scorch time (tS1) depicted in Figure 4a. The tS1 is a fundamental parameter for assessing the processability of rubber composites, as it represents the time interval available for processing before the effective onset of vulcanization. A higher tS1 value is generally desirable, as it provides greater operational safety, minimizing the risk of premature “scorch” during mixing or shaping of the material. The S0 composite, free of filler, exhibited the highest tS1 (8.04 min), which aligns with the absence of silica or other additives that might act as catalysts for the curing reaction. The lack of dispersed phases interacting with the crosslinking system results in slower vulcanization kinetics, favoring a longer safe processing time. The addition of silica, however, clearly reduced the tS1, accelerating the onset of vulcanization. Notably, the composites SC2 (1.93 min), SC3 (1.97 min), and SZ3 (1.91 min) showed the shortest scorch times among all formulations tested. This behavior suggests high interaction in these systems, possibly due to the large surface area and chemical nature of the silicas employed, combined with the action of coupling agents—such as VTMO and Chartwell—that may enhance the interaction between the filler and the curing components. Nevertheless, this acceleration also implies an increased risk of scorch during processing, demanding stringent control of temperature and time in the initial manufacturing stages. Composites containing post-consumer silica (SG0-SG3) exhibited intermediate scorch times, ranging from 2.35 to 2.81 min. Although these values are lower than those of the control S0, they remain higher than those observed in some composites with virgin silica, which may offer a slightly safer processing window. This difference may be associated with the lower surface reactivity of the post-consumer silica or reduced coupling efficiency with the vulcanization system, limiting its influence on accelerating the onset of cure.
The optimum cure time (t90) is a crucial parameter in characterizing the vulcanization kinetics of elastomeric composites, as it defines the time required for the material to achieve 90% of its maximum cure. This metric directly impacts industrial productivity, since shorter t90 times allow for reduced curing cycles and increased throughput in manufacturing processes. Figure 4b shows that the composite S0, formulated without silica, exhibited the longest t90 among all systems analyzed, with a value of 13.36 min. This behavior is expected, given that the absence of reinforcing fillers decreases the density of anchoring points within the polymer matrix, thereby slowing the formation of the three-dimensional sulfur network. Consequently, the time required to reach optimal cure is substantially longer, representing a disadvantage from a production standpoint.
The introduction of silica into the formulations proved effective in reducing the optimum cure time. In particular, composites containing virgin silica combined with coupling agents exhibited the lowest t90 values, highlighting the ability of these combinations to accelerate vulcanization. Notably, the composites SC2 (3.02 min), SC3 (3.37 min), and SZ3 (3.61 min) demonstrated the shortest cure times across the entire sample set. This acceleration can be attributed to the high interaction of the Copasil and ZC-185P silicas, coupled with the efficiency of the VTMO and Chartwell coupling agents in promoting an improved interface between the filler and the polymer matrix, thereby facilitating the formation of the crosslinked network. Conversely, composites containing post-consumer silica (SG0 to SG3) exhibited significantly longer cure times, ranging from 9.18 min (SG0) to 11.26 min (SG3). Although these values are lower than those of the control composite S0, they remain elevated compared to the composites with virgin silica. This performance suggests that post-consumer silica gel, even when functionalized with coupling agents such as TESPT, VTMO, or Chartwell, is unable to promote the curing reaction with the same efficiency. This may be related to intrinsic characteristics of post-consumer silica, such as heterogeneity and the presence of contaminants, which limit its effectiveness as an active reinforcement in the vulcanization system.
The cure rate index results are shown in Figure 4c. This index is calculated from the difference between the optimum cure time (t90) and the scorch time (tS1), thus representing the effective rate of crosslinking of the material. Higher CRI values indicate a faster cure, which can be advantageous in industrial processes demanding high productivity. The composite S0, which does not contain silica in its formulation, exhibited the lowest CRI value (18.88 min−1), reflecting its low cure rate and confirming that, in the absence of fillers interacting with the curing system, the reaction proceeds at a slower pace. Although this slower cure rate offers greater processing safety, it represents a limitation for industrial applications requiring reduced vulcanization times. Conversely, composites formulated with virgin silicas, especially those combined with functional coupling agents, displayed the highest cure rate indices. The highest CRI values were observed in composites SC2 (91.93 min−1), SC3 (74.19 min−1), and SZ3 (59.03 min−1), demonstrating that the combination of high-purity commercial silica with coupling agents such as VTMO and Chartwell promotes extremely rapid vulcanization. This elevated crosslinking rate is highly beneficial for industrial productivity, allowing for shorter cure cycles. However, it also presents operational challenges, necessitating stringent control of processing conditions—such as time and temperature—to avoid defects caused by premature curing or material scorching. In contrast, composites containing post-consumer silica (SG0 to SG3) exhibited the lowest CRI values among the filled systems, ranging from 11.70 to 14.68 min−1. These results indicate that, although post-consumer silica contributes to accelerating the cure relative to the unfilled compound, its performance remains significantly inferior to that of commercial silicas. The reduced vulcanization rate may be attributed to factors such as the presence of impurities or weak filler-matrix interaction, which limit its ability to effectively promote the formation of a crosslinked network during the curing process.
2.6. Determination of Relative Density and Crosslinking of the Composites
Table 3 presents the results for the density and crosslink density of the composites. The density results indicated minimal variation among the composites. The lowest value was recorded for the control sample S0 (1.02 g·cm−3), as expected due to the absence of filler. All other composites, regardless of the silica source or coupling agent used, exhibited practically identical densities (1.10–1.11 g·cm−3). This behavior suggests that replacing virgin silica with post-consumer silica does not significantly alter the final composite density, rendering this parameter relatively insensitive to structural and chemical differences between the fillers.
Table 3.
Density of the composites and crosslink density.
Based on the results obtained for the crosslink density of natural rubber composites reinforced with different types of silica and coupling agents, as shown in Table 3, a comparative analysis of each system’s performance can be established. The reference composite without silica addition (S0) exhibited a crosslink density of 1.14 × 10−4 mol·cm−3, representing the vulcanization of the natural rubber matrix alone and serving as a baseline to evaluate the effect of the fillers and additives employed.
Among the composites containing post-consumer silica gel (SG), the crosslink density values were considerably lower. The SG0 composite, without a coupling agent, exhibited a density of only 0.47 × 10−4 mol·cm−3, highlighting a limited interaction between the filler and the polymer matrix. The addition of TESPT (SG1) resulted in a slight increase to 0.59 × 10−4 mol·cm−3, indicating that this agent was partially effective in promoting reactions between the silica and the rubber. However, the use of VTMO (SG2) showed no improvement, remaining at the SG0 level, while the Chartwell additive (SG3) provided a small increase to 0.55 × 10−4 mol·cm−3. These data suggest that, despite the intention of sustainable reuse, post-consumer silica gel exhibits limitations in terms of crosslinking.
In contrast, the composites containing Copasil silica (SC) exhibited superior performance. Even without a coupling agent (SC0), the crosslink density reached 1.00 × 10−4 mol·cm−3, a value close to that of the reference composite. The use of TESPT (SC1) increased this value to 1.44 × 10−4 mol·cm−3, demonstrating the efficacy of this agent in promoting reactions between the silanol groups of the silica and the rubber matrix via sulfur bridges. VTMO (SC2) also provided a considerable increase, with 1.23 × 10−4 mol·cm−3, although with lower efficiency than TESPT. Chartwell (SC3), in turn, also stood out with 1.36 × 10−4 mol·cm−3, a result that can be attributed to its amino functionality, capable of establishing coordination or ionic interactions with the polymer matrix.
The best performance was observed with the ZC-185P silica (SZ), especially in the SZ1 composite, which employed TESPT as the coupling agent. This system achieved a crosslink density of 1.78 × 10−4 mol·cm−3, the highest value among all formulations, reflecting a highly effective combination between the active surface of the silica and the functionality of the coupling agent. Even without a coupling agent (SZ0), ZC-185P exhibited superior performance (1.06 × 10−4 mol·cm−3) compared to other commercial silicas under the same conditions, indicating a high interaction. VTMO (SZ2) and Chartwell (SZ3) also promoted significant increases, reaching 1.39 and 1.27 × 10−4 mol·cm−3, respectively.
Overall, the comparison of results highlights that TESPT was the most efficient coupling agent across all systems, followed by Chartwell, and lastly VTMO. Regarding the fillers, ZC-185P silica demonstrated the greatest reinforcing potential, followed by Copasil, while post-consumer silica gel showed limited performance. Crosslink density correlates directly with the degree of interaction between the inorganic phase and the organic matrix, which directly impacts the composite’s final properties, such as mechanical strength, thermal stability, and durability. Therefore, these results underscore the importance of the appropriate selection of both the filler and the coupling agent to optimize the properties of natural rubber composites.
2.7. Fourier-Transform Infrared Spectroscopy in Attenuated Mode of the Composites
The analysis of the spectra obtained by Fourier-transform infrared spectroscopy (FTIR) in ATR mode revealed significant insights into the interactions between natural rubber and the different types of silica used in the composites. The spectra of the unfilled natural rubber and the three powdered silicas are presented in Figure 5a and Figure 5b, respectively. The spectrum of pure natural rubber exhibits characteristic bands of polyisoprene, notably the C–H stretching bands around 2960 and 2850 cm−1, the C=C double bond stretching band near 1650 cm−1, and the bending deformation bands of CH2 and CH3 between 1375 and 1450 cm−1 [18,19]. These bands serve as reference points to assess the changes induced by the addition of the different types of silica and coupling agents.
Figure 5.
Fourier-transform infrared spectra in attenuated mode of (a) the unfilled rubber composite and (b) the silicas.
The silicas employed (post-consumer silica gel, Copasil, and ZC-185P), analyzed in powder form, exhibited similar profiles, characterized by broad and intense bands between 1000 and 1100 cm−1, attributed to the asymmetric stretching of the Si–O–Si bond, as well as bands around 800 cm−1 (symmetric stretching of Si–O–Si) and approximately 460 cm−1 (Si–O–Si bending). The band near 960 cm−1 is of particular interest, as it corresponds to the vibration of silanol groups (Si–OH), which constitute important reactive sites for coupling with the polymer matrix via silane coupling agents [15].
Figure 6a–c displays the spectra of post-consumer silica gel and its composites, Copasil silica and its composites, and ZC-185P silica and its composites, respectively. In the composites prepared solely with silica, absent coupling agents (SG0, SC0, SZ0), the band around ~960 cm−1 remains prominent, indicating the presence of free silanol groups and thus a predominantly physical interaction between the silica and the natural rubber matrix. The natural rubber bands, in turn, remain virtually unchanged, confirming the absence of significant chemical modifications in the polymer matrix structure.
Figure 6.
FTIR spectra in attenuated mode of (a) post-consumer silica gel and its composites without and with filler and without and with silane, (b) Copasil silica and its composites without and with filler and without and with silane, and (c) ZC-185P silica and its composites without and with filler and without and with silane.
The addition of TESPT (SG1, SC1, SZ1) induces a marked decrease in the intensity of the band near ~960 cm−1, indicating that the silanol groups of the silica reacted with the ethoxy silane groups of the coupling agent, forming covalent Si–O–Si bonds with elimination of ethanol. In some cases, the emergence of additional bands in the region of 1180 to 1200 cm−1 is also observed, attributed to S–S or Si–O–C linkages, which signify a more effective interaction between the silica and the rubber matrix via TESPT. These results underscore the high efficacy of TESPT as a coupling agent, promoting efficient chemical compatibilization.
With the use of VTMO (SG2, SC2, SZ2), a reduction in the Si–OH band at approximately 960 cm−1 is also observed, albeit less pronounced than in the case of TESPT. VTMO, containing a vinyl group, can react with the rubber during vulcanization, forming cross-links. Subtle changes around the 1600 cm−1 region may indicate the involvement of the vinyl group in such reactions. Thus, VTMO promotes a certain degree of compatibilization, though with lower efficacy than TESPT.
Finally, in the composites utilizing the additive Chartwell C-515.71HR® (SG3, SC3, SZ3), functionalized with amino groups, the band near 960 cm−1 also shows a slight reduction. This suggests interaction between the amino groups of the additive and the silanols on the silica surface, possibly through hydrogen bonding or acid-base interactions. However, since these changes are less marked than in the systems with TESPT or VTMO, it is concluded that the compatibilization mechanism promoted by Chartwell is weaker or predominantly of a physical nature.
2.8. Hardness and Abrasion Resistance of the Composites
Figure 7 presents the results of Shore A hardness tests and abrasion loss. The Shore A hardness of the composites exhibited variations consistent with the nature of the fillers and the presence of coupling agents. The control composite (S0), which contains no silica, displayed a moderate hardness of 44 Shore A, reflecting the low stiffness of the unreinforced polymer matrix. In contrast, the composites containing post-consumer silica (SG0 to SG3) showed hardness values equal to or lower than the control, ranging from 38 to 43 Shore A.
Figure 7.
Results of hardness tests (left Y-axis) and abrasion loss (right Y-axis) of the composites.
These results suggest that, despite being processed and functionalized, the post-consumer silica still exhibits a limited reinforcing capability, likely attributable to reduced interaction with the polymer matrix or the presence of impurities. Conversely, composites containing virgin silicas and silane coupling agents, such as Copasil and ZC-185P, demonstrated significantly higher hardness values, ranging between 51 and 55 Shore A. This disparity underscores the reinforcing potential of commercial silicas, whose specific surface area and chemical structure facilitate stronger interaction with the elastomeric matrix. The presence of coupling agents, particularly TESPT and VTMO, proved effective in enhancing this effect, as observed in composites SC1, SZ1, and SZ2, which exhibited the highest hardness values.
The abrasion loss analysis revealed the most pronounced contrasts among the composites. The control sample S0 exhibited an intermediate loss of 217 mm3/40 m, whereas composites with post-consumer silica showed extremely high losses, ranging from 878 to 888 mm3/40 m—nearly four times greater than the control and more than five times higher than the best-performing composites with virgin silica. This unsatisfactory performance indicates that post-consumer silica, even when combined with coupling agents such as TESPT, VTMO, or Chartwell, does not impart adequate resistance to abrasive wear, possibly due to poor interfacial cohesion or inefficient dispersion within the matrix. In contrast, composites containing virgin silica exhibited excellent abrasion resistance, especially those incorporating TESPT (SC1, SZ1) and VTMO (SC2, SZ2), with losses varying between 170 and 250 mm3. Notably, composite SZ1, containing ZC-185P silica and TESPT, showed the lowest abrasion loss (170 mm3), closely followed by SZ2 (174 mm3), highlighting the synergistic effect between high-purity silica and appropriate silane coupling agents. The presence of Chartwell also contributed positively to wear resistance, albeit with slightly lower performance than the silanes.
2.9. Tensile Strength and Tensile Strength After Accelerated Aging Process
Based on the results obtained from the tensile strength tests of the vulcanized composites, shown in Figure 8a–d, significant differences between the formulations can be observed, both in terms of the nature of the silica used and the presence of coupling agents. The reference sample, without silica addition (S0), exhibited good tensile strength (17.82 MPa) and moderate elongation at break (319.87%), serving as a benchmark for comparison with the other composites.
Figure 8.
Tensile Strength Graph of the Composites: (a) S0, (b) SG0–SG3, (c) SC0–SC3 and (d) SZ0–SZ3.
Table 4 presents the tensile strength at break for the composite formulations. Upon analyzing the composites containing post-consumer silica gel (SG), a markedly inferior performance is observed compared to the reference sample. The SG0 composite, which lacks a coupling agent, exhibited the lowest tensile strength among all tested formulations (4.6 MPa), highlighting the limited reinforcing ability of post-consumer silica when used in isolation. The incorporation of coupling agents such as TESPT (SG1), VTMO (SG2), and Chartwell C-515.71HR® (SG3) led to improvements in tensile strength, with SG1 (7.9 MPa) showing the most significant enhancement. Nevertheless, these values remain considerably below those achieved with commercial-grade silicas. These results indicate that, despite some mechanical improvement imparted by the coupling agents, post-consumer silica gel possesses intrinsic limitations—possibly related to its morphology—which hinder effective interaction with the polymer matrix.
Table 4.
Results of tensile strength and elongation at break tests, conducted before and after the accelerated aging process, along with their respective percentage losses.
In contrast, the composites prepared with Copasil silica (SC) demonstrated significantly superior mechanical performance compared to those containing post-consumer silica. Even in the absence of coupling agents (SC0), a tensile strength of 11.8 MPa was achieved, indicating that this silica possesses substantial reinforcing capabilities. The addition of TESPT (SC1) did not result in a marked increase in strength, possibly due to experimental variation or a saturation of interfacial interactions. Conversely, the use of VTMO (SC2) and Chartwell (SC3) elevated the tensile strength to 12.5 MPa and 14.7 MPa, respectively. These results suggest that the combination of Copasil silica with appropriate coupling agents—particularly Chartwell—enhances filler dispersion and adhesion to the matrix, leading to improved mechanical performance.
The ZC-185P silica (SZ) emerged as the highest-performing system among all those evaluated. The SZ0 composite, even in the absence of a coupling agent, exhibited a tensile strength of 13.9 MPa and an impressive elongation at break of 578.2%, indicating excellent interaction with the polymer matrix even in its non-functionalized state. The introduction of coupling agents led to progressive increases in tensile strength, most notably in SZ1 (TESPT) and SZ2 (VTMO), which reached 16.8 MPa and 16.4 MPa, respectively. The overall best performance was observed in formulation SZ3, which combined ZC-185P silica with Chartwell C-515.71HR®, achieving the highest tensile strength of all composites (18.5 MPa), surpassing even the reference formulation S0. Moreover, this formulation maintained excellent elongation at break (494.9%), underscoring the synergistic effect between the high-specific-surface-area silica and the functionalized organometallic coupling agent.
In general, it is evident that the nature of the silica and the type of coupling agent significantly influence the mechanical behavior of the composites. The ZC-185P silica, when combined with the Chartwell coupling agent, proved to be the most effective reinforcement system, followed by Copasil silica with the same agent. Although the post-consumer silica gel represents a more sustainable alternative, it exhibited limited mechanical performance, indicating the need for improvements in its functionalization and processing to make it competitive with commercial silicas.
The data presented in Table 4 also reveal a marked variation in tensile strength and elongation among the composites, both before and after accelerated aging. The reference composite (S0), without the addition of silica, exhibited a 13.6% loss in tensile strength and a −50.1% change in elongation, a behavior characteristic of a polymer matrix lacking adequate reinforcement, with a moderate reduction in mechanical properties after exposure to aging.
Among the composites containing post-consumer silica gel (SG0–SG3), an anomalous behavior was observed in nearly all cases: both tensile strength and elongation increased after aging, yielding negative loss percentages (i.e., performance gains). Of particular note is the SG0 composite, which exhibited a 67.9% increase in tensile strength and a 133.1% increase in elongation. The use of coupling agents, especially Chartwell (SG3), also proved effective, promoting mechanical enhancement over time, as indicated by a 51.8% gain in strength and a 45.4% gain in elongation. This effect contrasts with the typical trend of mechanically induced degradation by oxidation in vulcanized rubbers. We believe that this result is associated with two main mechanisms. The first concerns the thermal activation of residual components—specifically sulfur, accelerators, and the activating agent—that did not fully react during the initial vulcanization. During aging at 70 °C for 70 h, these residues may have participated in a post-curing process, promoting the late formation of additional crosslinks and leading to an increase in mechanical strength [20,21]. The second mechanism refers to structural rearrangements within the three-dimensional rubber network, in which unstable polysulfidic bonds are converted into more thermally stable di- and monosulfidic linkages. This transformation stabilizes the network and contributes to the improved performance observed after aging [22,23].
For the composites formulated with Copasil silica (SC0–SC3), a varied behavior was observed. SC0 (without coupling agent) showed moderate strength loss (11.6%) and a substantial increase in elongation (−47.7%, i.e., a gain). The composites incorporating TESPT (SC1), VTMO (SC2), and Chartwell (SC3) coupling agents generally exhibited tensile strength gains after aging. SC3 demonstrated the greatest stability, with only a 4.0% loss in strength and 4.9% in elongation. These results suggest that the combination of Copasil silica and the Chartwell additive promotes effective interaction within the matrix, preserving the material’s structural integrity even under oxidative aging conditions.
The composites containing ZC-185P silica (SZ0–SZ3) exhibited the best mechanical performance, both before and after aging. The SZ3 composite, which incorporated the Chartwell coupling agent, showed the lowest loss in tensile strength (−1.7%) and elongation (−7.1%), confirming its high thermo-oxidative stability. Notably, the SZ1 (TESPT) and SZ2 (VTMO) composites also exhibited minimal losses (<7%), highlighting the effectiveness of these silanes in reinforcing the matrix and providing protection against oxidative degradation.
Overall, the use of silane and organometallic coupling agents proved essential in mitigating the effects of aging, promoting enhanced interaction between the mineral filler and the polymer matrix. The composites reinforced with ZC-185P silica—particularly when combined with Chartwell—were the most promising in terms of thermal resistance and mechanical stability, followed by those formulated with Copasil silica.
2.10. Resistance to Tearing
The tear resistance results of the composites developed with different types of silica and coupling agents are presented in Figure 9, revealing significant variations in mechanical properties that underscore the direct influence of these components on the final performance of the materials. The reference sample, without the addition of silica (S0), exhibited a tear resistance of 59.32 ± 6.07 N·mm−1, serving as the baseline for comparison. Composites containing post-consumer silica gel (SG0 to SG3) showed the poorest performance, with values ranging from 28.04 to 33.14 N·mm−1, even in the presence of coupling agents. This inferior performance can be attributed to the heterogeneous nature of the post-consumer silica, which, despite being micronized and sieved, likely possesses irregular morphology—factor that impair its interaction with the rubber matrix. In contrast, composites incorporating commercial Copasil silica (SC0 to SC3) demonstrated a considerable improvement in tear resistance, particularly when combined with coupling agents. The SC1 composite, employing TESPT, achieved a tear resistance of 77.38 ± 28.95 N·mm−1, followed by SC3 (Chartwell) and SC2 (VTMO), indicating that the presence of silanes significantly enhances adhesion between the inorganic phase (silica) and the polymer matrix, thereby promoting better stress transfer and greater structural integrity. Nonetheless, the high standard deviations observed in certain formulations suggest some variability in mixing or dispersion processes.
Figure 9.
Tear strength bar chart of the composites.
The best performance was observed in the formulations containing ZC-185P silica (SZ0 to SZ3), particularly in sample SZ1, which combined this silica with TESPT and achieved a tear strength of 99.36 ± 19.21 N·mm−1. These results indicate that ZC-185P silica possesses intrinsically superior reinforcing characteristics, such as a higher specific surface area and good compatibility with silane coupling agents. VTMO also proved effective (SZ2: 95.93 ± 33.46 N·mm−1), albeit with greater variability, while Chartwell exhibited intermediate performance (76.12 ± 19.13 N·mm−1).
In summary, the data demonstrate that the tear strength of the composites is strongly dependent on the quality of the silica used and the presence of coupling agents, with TESPT being the most effective among those tested. ZC-185P silica combined with TESPT exhibited the best overall mechanical performance.
3. Application of the New Composite
Despite the lower results obtained, it was possible to produce a rubber sheet using micronized post-consumer silica gel (SG0), as illustrated in Figure 10. This artifact serves as an adhesive surface for laboratory glassware, exhibiting low susceptibility to abrasive wear and thereby preventing direct impact between the glassware and harder surfaces such as metal, marble, or wooden tables. The composite enables the incorporation of dyes and the molding of surface reliefs, thereby granting the artifact a more attractive appearance.
Figure 10.
Rubberized mat designed for use with laboratory glassware.
To evaluate the applicability of the mat produced with post-consumer silica, it is essential to compare it with the technical specifications of commercial mats used on laboratory benches. According to manufacturers’ datasheets, e.g., DayStrong [24] and ASTM standards, bench mats generally exhibit a hardness of 55–65 Shore A, tensile strength ranging from 2 to 11 MPa, elongation between 180 and 600%, tear resistance of 11–21 N·mm−1, and abrasion loss around 170–250 mm3/40 m. In comparison, the SG0 mat produced in this study exhibited a tensile strength of 4.58–6.29 MPa and elongation of 227–391%—values falling within the range reported for commercial mats—a hardness of 38–43 Shore A, and an abrasion loss of 878–888 mm3/40 m, indicating lower performance in terms of surface rigidity and wear resistance. These results demonstrate that the obtained mat is technically suitable for use as laboratory glassware support—whose primary function is protection against impact and slippage—although further improvements, such as functionalization or purification of the post-consumer silica, would be necessary for applications requiring higher abrasion resistance and durability. Table 5 presents, in a summarized form, the specification values of the properties of commercial and post-consumer rubber mats.
Table 5.
Specification values of the properties of commercial and post-consumer rubber mats.
4. Analysis of Results and Discussion
The results obtained in this study using post-consumer silica and coupling agents were compared with findings from the literature, particularly studies employing TESPT, VTMO, and Chartwell in natural rubber (NR) and synthetic rubber systems.
- (a)
- TESPT
In the present study, the formulation containing ZC-185P + TESPT (SZ1) achieved a tensile strength of 18.49 MPa, slightly higher than the reference composite without filler (17.82 MPa), in addition to a tear resistance of 99.36 N and reduced abrasive wear (170 mm3/40 m). These results are consistent with Choophun et al. [29] and Shuib & Shamsuddin [13], who reported significant improvements in mechanical reinforcement when silica is properly compatibilized with TESPT, attributing the enhancement to the formation of covalent bonds between silica silanol groups and the active sulfur groups of the coupling agent. In contrast, for post-consumer silica (SG1), even after TESPT treatment, the maximum tensile strength remained at 7.95 MPa, approximately 55% lower than the control. This difference is associated with the irregular morphology and presence of impurities, which hinder dispersion and limit the effectiveness of the coupling agent.
- (b)
- VTMO
The use of VTMO showed moderate effects: in SZ2 (ZC-185P + VTMO), tear resistance reached 95.93 N·mm−1, close to the value obtained with TESPT (99.36 N·mm−1), and abrasive wear (174 mm3/40 m) was also similar. However, the literature reports superior performance when VTMO is directly incorporated into the polymer chain (as in SSBR-VTMO) [30], with a significant increase in bound rubber and a reduction in the Payne effect. This discrepancy is mainly due to the application method: in the present study, VTMO was added in a low dosage during mixing, which limits its reactivity, whereas in Liu et al. [30], polymer functionalization provided greater polymer–silica interaction. Furthermore, the difference between methoxy groups (VTMO) and ethoxy groups (VTES, studied in SPV) [31] affects the hydrolysis kinetics and the degree of grafting, explaining the lower improvement obtained in this work.
- (c)
- Chartwell
Chartwell C-515.71HR® promoted intermediate improvements. In SZ3 (ZC-185P + Chartwell), tear resistance was 76.12 N, lower than the values obtained with TESPT and VTMO, but still higher than that of composites containing post-consumer silica (≈30 N). Abrasive wear was also reduced compared to the control, yet it did not achieve the same effectiveness as silanes. Previous studies by Ribeiro et al. [15] report that Chartwell is capable of increasing maximum torque and ΔM in hybrid NR/SiO2–CaCO3 composites, emphasizing that its mechanism primarily involves physico-chemical interactions (acid-base and hydrogen bonding) rather than covalent bonds, which limits reinforcement compared to TESPT. These results explain why, in the present study, Chartwell was effective with more homogeneous commercial silica (ZC-185P) but exhibited low efficiency with post-consumer silica.
Overall, composites containing post-consumer silica exhibited lower values of hardness, tear resistance, tensile strength, and abrasion. Although the coupling agents provided some improvement, the results remain below those achieved with commercial silicas. These data indicate that, despite the contribution of the coupling agents, post-consumer silica gel has intrinsic limitations—possibly related to its irregular morphology, particle distribution, and presence of contaminants—that hinder the formation of an effective interface with the polymer matrix.
5. Methodology
5.1. Materials
The natural rubber SVR-CV60 (Mooney viscosity > 60 at 100 °C; 0.6% N2) was obtained from DLP Indústria e Comércio de Borracha e Artefatos LTDA (São Paulo, Brazil). The precipitated amorphous silicon dioxide was supplied by Copasil Química Industrial LTDA (São Paulo, Brazil). It is presented as a white powder with SiO2 content ≥ 96% (dry basis), moisture ≤ 7%, pH ranging from 6.0 to 7.5 (5% solution), and a typical BET surface area between 120 and 200 m2·g−1. It exhibits low sieve residue (≤10%) and soluble salt content (such as sulfates) ≤ 4%. Another precipitated amorphous silicon dioxide, ZC-185P, was acquired from Ecopower Chemical Co LTD (Guangdong, China). It is also a white powder with ≥97% SiO2, BET surface area of 165–195 m2·g−1, DBP (dibutyl phthalate) absorption between 2.00 and 2.80 cm3·g−1, moisture (at 105 °C) of 4.0–8.0%, ignition loss ≤ 7.0%, pH 6.0–8.0 (5% solution), and residue on a 45-mesh sieve ≤ 0.5%. Post-consumer silica gel from food packaging, with an approximate diameter of 3–4 mm and a specific surface area of 300 m2·g−1, was micronized using a ball mill (Marconi, Brazil) and subsequently sieved to obtain a particle size below 120 mesh.
The following silane additives were used: bis(triethoxysilylpropyl) tetrasulfide (TESPT, CAS 40372-72-3), produced by Merck (Darmstadt, Germany), with the molecular formula C18H42O6S4Si2, molar mass of 538.94 g·mol−1, density of 1.095 g·mL−1 at 25 °C, and flash point of 91 °C, supplied as a pale yellow liquid; and vinyltrimethoxysilane (VTMO, CAS 2768-02-7), produced by Evonik Industries AG (Essen, Germany), with formula C5H12O3Si, molar mass of 148.23 g·mol−1, density of 0.97 g·mL−1 at 20 °C, boiling point of 123 °C, and flash point of 22 °C, supplied as a colorless liquid. Also employed was the organometallic additive Chartwell C-515.71HR®, functionalized with amino groups, produced by Chartwell International (Massachusetts, USA), supplied as a clear pale-yellow solution in propylene glycol. It presents a total metal content between 7.3% and 7.9%, an active matter content of 41.5%, a pH of 7.5 (in 1% solution), and a density of 1.23 g·mL−1. The organic functionality is of the amino type, with a caustic neutralizing agent. The specific formulation is proprietary, and its full properties are available upon consultation with the manufacturer.
The antioxidant used was vegetal tannin extracted from Acacia mearnsii, supplied by Tanac S.A. (São Paulo, Brazil), in the form of a beige anionic powder, hygroscopic, with a pH of 5.0 (in 20% w/v aqueous solution), active matter content exceeding 93.5%, and density of 1.47 g·L−1. The following commercial reagents were also employed: zinc oxide (99%, Synth), stearic acid (98%, Synth), polyethylene glycol 4000 (99%, Synth), sulfur (99%, Scientific Exotic), and the vulcanization accelerators benzothiazole disulfide/MBTS (99%, Basile Química) and tetramethylthiuram disulfide/TMTD (99%, Basile Química). Table 6 presents the compound formulation.
Table 6.
Formulation of NR/Silica Compounds.
5.2. Stages of the Vulcanized Composite Manufacturing Process
The silanes were previously diluted in ethyl alcohol (99%, Synth), using a solution composed of 95% ethanol and 5% deionized water, at a ratio of one part silane to ten parts of the solution. Subsequently, the solution was mixed with the silica using a magnetic stirrer supplied by SP Labor Equipamentos para Laboratórios (São Paulo, Brazil) for a duration of 30 to 60 min. Upon completion of the mixing stage, the material was transferred to an oven, also provided by the same company, and maintained at 70 °C for 24 h.
The composite materials were mixed in an open two-roll mill manufactured by Veiga Sul (Rio Grande do Sul, Brazil), following the procedures described in ASTM D3182-21a [32], with a differential roll speed ratio of 1:1.25. In total, thirteen distinct composite formulations were prepared, one of which was used as a control, free of mineral fillers and coupling agents, while the others contained three different types of silica, with or without three distinct silanes, as detailed in Table 4. Previous investigations conducted by the authors demonstrated that the incorporation of 20 parts of mineral filler per hundred rubber is the most suitable concentration to ensure satisfactory mechanical properties in the polymer matrix [8,33,34,35].
During the initial mixing stage, the elastomers, vulcanization activators (zinc oxide and stearic acid), plasticizer (polyethylene glycol 4000), antioxidant (tannin), and silicas—either treated or untreated with coupling agents—were added. The compound was processed for 25 min until achieving adequate homogenization, then allowed to rest for 24 h at room temperature (24 °C). After this interval, the formulation was reintroduced into the mixer for the addition of the vulcanizing agent (sulfur) and curing accelerators (MBTS and TMTD). Homogenization continued for an additional 20 min, followed by a further rest period of 1 h, also at room temperature. Upon completion of the preparation phases, the composites were evaluated through rheometric testing and subsequently molded using a heated hydraulic press (Mastermac brand, manufactured in Brazil) to produce specimens for further analyses.
5.3. Particle Size Analysis
The particle size distribution of the three silicas was determined using an MBL AGMAGB (São Paulo, Brazil) electromechanical sieve shaker, operating at 3600 vibrations per minute for 10 min, with ASTM mesh sieves of 80, 100, 115, 200, 325, and 400, in addition to the collecting pan.
5.4. X-Ray Fluorescence Analysis of the Silicas
The chemical composition characterization of the samples was conducted through X-ray fluorescence (XRF) assays, employing an Axios series spectrometer, model PW 4400/40, manufactured by Panalytical (Netherlands). Data analysis was performed using the SUPERQ software version 5.1B, utilizing the Om module. This analytical technique enables the identification and quantification of the elements present, providing both qualitative and quantitative chemical characterization of the materials analyzed.
5.5. Scanning Electron Microscopy Analysis of the Silicas
The morphological analysis of the silica surfaces was carried out using scanning electron microscopy (SEM) with a Carl Zeiss EVO LS15 microscope, operating at 20 kV, manufactured in Germany. Prior to observation, the samples were coated with a thin layer of gold using a Quorum Q 150R ES metallizer, employing the sputtering technique.
5.6. Rheological Analysis of the Composites
The rheological properties were evaluated using an oscillatory disk rheometer manufactured by Team Equipamentos do Brasil. The tests were conducted following the parameters established by ASTM D2084-17 [36], subjecting the composites to an oscillation arc of 1° while maintaining a constant temperature of 150 °C. After obtaining the rheological data, the rubber composites were processed by hot pressing. This procedure was carried out using a Mastermac press, model Vulcan 400/20-1, also manufactured in Brazil, with a maximum pressure capacity of 210 kgf·cm−2, employing a steel mold (grades 1010/1020) measuring 150 × 150 × 2 mm.
5.7. Determination of the Relative Density and Crosslink Density of the Composites
The density of the composites was determined in accordance with the procedures established by ASTM D297-21 [37], employing ethyl alcohol (95%, Synth), with a density of 0.79 g·cm−3, as the immersion medium. The calculation of density was performed using Equation (1):
where ρ denotes the density of the sample (g·cm−3); ρL represents the density of ethanol at the analysis temperature (g·cm−3); mA corresponds to the mass of the sample in air (grams); and mB is the mass of the sample immersed in the liquid (grams).
The crosslink density of the composites was evaluated using the swelling technique. For this purpose, samples with an approximate mass of 0.25 ± 0.05 g were prepared and immersed in toluene (99.8%, Neon) for a period of five days. After this time, the samples were removed, superficially dried to remove excess solvent, and then weighed. Subsequently, they were placed in an oven at 80 °C for 24 h to achieve complete drying and weighed again. Based on the masses obtained before and after immersion, as well as after drying, the volume fraction of rubber in the swollen samples was calculated. From this value, the crosslink density was determined using Equation (2), according to the Flory–Rehner model [38]:
where ν represents the crosslink density (mol·cm−3); ρB is the density of the rubber (g·cm−3); VB is the volume fraction of rubber in the swollen sample, determined based on the mass increase due to swelling; V0 is the molar volume of toluene (adopted as 106.3 cm3·mol−1); and χ is the Flory–Huggins interaction parameter, with the value considered as 0.393.
5.8. Fourier-Transform Infrared Spectroscopy Analysis in Attenuated Total Reflectance Mode
Fourier-Transform Infrared Spectroscopy (FTIR) analyses were performed using a Bruker Invenio spectrometer, manufactured in Germany. The measurements were conducted in Attenuated Total Reflection (ATR) mode, covering the spectral range from 4000 to 400 cm−1, with a resolution of 4 cm−1 and a total of 32 scans per spectrum.
5.9. Determination of Hardness and Abrasion Resistance of the Composites
The surface hardness of the composites was determined in accordance with the methods specified in ASTM D2240-15 [25], using an analog durometer manufactured by Digimess, Brazil. The test was conducted on the Shore A scale, ranging from 0 to 100, with a precision of 1 Shore A unit.
Abrasion loss was calculated according to Equation (3), following the procedures described in ASTM D5963-04 [28]. The test was performed using equipment from MaqTest, manufactured in Brazil, with an abrasion path of 40 m and an applied load of 5 N on the sample in contact with the abrasive cylinder.
where AL represents the abrasion loss (in mm3/40 m); Δm is the mass loss of the composite (mg); S0 is the theoretical wear index of the abrasive paper on a standard rubber (200 ± 20 mg); S is the actual wear index of the abrasive paper on the standard rubber (mg); and ρ is the density of the composite (mg·mm−3).
5.10. Tensile and Tear Resistance Testing of the Composites
Tensile and tear resistance tests were carried out using a universal testing machine manufactured by Biopdi (Brazil). The equipment operated at a speed of 500 mm·min−1 and was equipped with a 5 kN load cell and an internal strain transducer. For the tensile strength tests, five Type A specimens (dumbbell-shaped specimens with a straight cross-sectional area) were used, in accordance with ASTM D412-16 [26]. For the tear resistance tests, five Type C specimens (right-angled nicked specimens) were employed, as specified by ASTM D624-00 [27].
5.11. Accelerated Aging Process Induced by Thermal Oxidation
The aging process of the samples was conducted in accordance with the specifications of ASTM D573-04 [39]. The test specimens were exposed to a climate-controlled chamber manufactured by SP Labor Equipamentos para Laboratórios (São Paulo, Brazil), with continuous air circulation for a period of 70 h at a constant temperature of 70 °C. Upon completion of this procedure, the samples were subjected to tensile strength testing in order to compare the results with those obtained from the non-aged specimens.
6. Conclusions
This study demonstrates that, although natural rubber composites formulated with micronized post-consumer silica gel exhibited inferior performance, it is nonetheless feasible to reuse such material as a filler, particularly within the context of strategies aimed at sustainability and the circular economy. Despite its high silicon oxide content and broad availability as an industrial waste byproduct, post-consumer silica displayed significantly lower mechanical performance compared to commercial silicas, even in the presence of coupling agents. This limitation is attributed to its irregular morphology, poor interfacial interaction, and the possible presence of residual contaminants—factors that hinder interaction with the polymeric matrix.
The introduction of coupling agents proved essential to improving silica dispersion and compatibility with natural rubber. TESPT silane was the most effective, promoting higher crosslink density, enhanced rheometric properties, improved mechanical strength (tensile and tear), and greater thermal stability. The ZC-185P silica, characterized by superior morphological and physicochemical properties, exhibited markedly better performance when combined with TESPT, achieving the highest levels of mechanical reinforcement among all composites evaluated.
Although performance remained lower, composites containing post-consumer silica demonstrated dimensional stability and physical properties adequate for less demanding applications. A practical example is the production of a rubberized mat for supporting glassware, illustrating its viability in technical products with lower structural requirements. Furthermore, the favorable behavior of certain post-consumer silica composites after thermal aging suggests potential for improvement through additional treatments or optimization of surface functionalization.
In summary, this work confirms that post-consumer silica gel can be incorporated into natural rubber composites, reconciling environmental benefits with technically acceptable performance for specific applications. However, in order to compete with commercial silicas in high-performance applications, advances will be required in purity control, surface modification, and morphological standardization. Thus, this research represents a relevant step toward sustainable solutions for the rubber industry, fostering waste reutilization and the efficient use of mineral resources.
Author Contributions
Conceptualization, D.d.S.S., R.H.d.S., M.A.d.S., G.T.d.A.S., and N.L.C.; methodology, S.A.K., A.M.D., G.D.R., L.M.S.e.S., and F.S.O.; software, L.F.P. and C.T.H.; validation, E.A.d.S. and R.J.d.S.; formal analysis, D.d.S.S., M.A.d.S., N.L.C., A.M.D. and L.M.S.e.S.; investigation, L.M.S.e.S., L.F.P., and E.A.d.S.; resources, C.T.H., E.A.d.S., and R.J.d.S.; data curation, R.H.d.S., G.T.d.A.S., S.A.K., and G.D.R.; writing—original draft preparation, D.d.S.S., G.T.d.A.S., F.S.O., C.T.H., and R.J.d.S.; writing—review and editing, D.d.S.S., R.H.d.S., M.A.d.S., C.T.H., E.A.d.S., and R.J.d.S.; visualization, N.L.C., S.A.K., F.S.O., and L.F.P.; supervision, F.S.O., L.F.P., E.A.d.S., and R.J.d.S.; project administration, C.T.H. and R.J.d.S.; funding acquisition, D.d.S.S., C.T.H., E.A.d.S., and R.J.d.S. All authors have read and agreed to the published version of the manuscript.
Funding
This research received no external funding.
Data Availability Statement
The original contributions presented in this study are included in the article. Further inquiries can be directed to the corresponding author.
Acknowledgments
The authors would like to thank the Faculty of Engineering of Ilha Solteira for the scanning electron microscopy analysis and the Biomass and Polymer Technology Laboratory of the Faculty of Engineering and Sciences for the mechanical testing.
Conflicts of Interest
The authors declare no conflicts of interest.
References
- Whba, R.; Su’ait, M.S.; Whba, F.; Sahinbay, S.; Altin, S.; Ahmad, A. Intrinsic challenges and strategic approaches for enhancing the potential of natural rubber and its derivatives: A review. Int. J. Biol. Macromol. 2024, 276, 133796. [Google Scholar] [CrossRef]
- Bokobza, L. Elastomer nanocomposites: Effect of filler–matrix and filler–filler interactions. Polymers 2023, 15, 2900. [Google Scholar] [CrossRef]
- Thomas, J.; Patil, R. The road to sustainable tire materials: Current state-of-the-art and future prospectives. Environ. Sci. Technol. 2023, 57, 2209–2216. [Google Scholar] [CrossRef]
- Das, O.; Babu, K.; Shanmugam, V.; Sykam, K.; Tebyetekerwa, M.; Neisiany, R.E.; Försth, M.; Sas, G.; Gonzalez-Libreros, J.; Capezza, A.J.; et al. Natural and industrial wastes for sustainable and renewable polymer composites. Renew. Sustain. Energy Rev. 2022, 158, 112054. [Google Scholar] [CrossRef]
- Bera, A.; Sarkar, K.; Ganguly, D.; Ghorai, S.K.; Hore, R.; Kumar, N.; Amarnath, S.K.P.; Chattopadhyay, S. Recent advancements in silica filled natural rubber composite: A green approach to achieve smart properties in tyre. J. Polym. Res. 2024, 31, 122. [Google Scholar] [CrossRef]
- Shoul, B.; Marfavi, Y.; Sadeghi, B.; Kowsari, E.; Sadeghi, P.; Ramakrishna, S. Investigating the potential of sustainable use of green silica in the green tire industry: A review. Environ. Sci. Pollut. Res. 2022, 29, 51298–51317. [Google Scholar] [CrossRef] [PubMed]
- Steven, S.; Restiawaty, E.; Pasymi, P.; Bindar, Y. An appropriate acid leaching sequence in rice husk ash extraction to enhance the produced green silica quality for sustainable industrial silica gel purpose. J. Taiwan Inst. Chem. Eng. 2021, 122, 51–57. [Google Scholar] [CrossRef]
- Hiranobe, C.T.; da Silva, A.R.; Cruz, M.A.G.; Canhada, J.C.S.; Araújo, S.S.; Rocha, J.A.; dos Santos, H.F.; Ribeiro, G.D.; Tolosa, G.R.; Santos, G.T.A.; et al. Evaluation of the properties of natural rubber bio composite and guava residue (Psidium guajava L.) as sustainable application. Mater. Res. 2023, 26, e20220515. [Google Scholar] [CrossRef]
- Lee, D.W.; Yoo, B.R. Advanced silica/polymer composites: Materials and applications. J. Ind. Eng. Chem. 2016, 38, 1–12. [Google Scholar] [CrossRef]
- Xian, W.; Zhan, Y.-S.; Maiti, A.; Saab, A.P.; Li, Y. Filled Elastomers: Mechanistic and Physics-Driven Modeling and Applications as Smart Materials. Polymers 2024, 16, 1387. [Google Scholar] [CrossRef]
- Neethirajan, J.; Parathodika, A.R.; Hu, G.-H.; Naskar, K. Functional rubber composites based on silica-silane reinforcement for green tire application: The state of the art. Funct. Compos. Mater. 2022, 3, 7. [Google Scholar] [CrossRef]
- Indumathy, B.; Sathiyanathan, P.; Prasad, G.; Reza, M.S.; Prabu, A.A.; Kim, H. A comprehensive review on processing, development and applications of organofunctional silanes and silane-based hyper-branched polymers. Polymers 2023, 15, 2517. [Google Scholar] [CrossRef]
- Shuib, R.K.; Shamsuddin, R. The use of Bis-(3-triethoxysilylpropyl) tetrasulphane for surface modification of silica, ferrite and kenaf fiber filled natural rubber composites; comparison of aqueous solvent deposition, dry blend and integral blend methods. J. Appl. Polym. Sci. 2021, 138, 50905. [Google Scholar] [CrossRef]
- Hu, Y.; Liu, Y.; Zheng, S.; Kang, W. Progress in application of silane coupling agent for clay modification to flame retardant polymer. Molecules 2024, 29, 4143. [Google Scholar] [CrossRef]
- Ribeiro, G.D.; Hiranobe, C.T.; da Silva, J.F.R.; Torres, G.B.; Paim, L.L.; Job, A.E.; Cabrera, F.C.; dos Santos, R.J. Physical-Mechanical Properties of Chartwell® Coupling Agent-Treated Calcium Carbonate and Silica-Reinforced Hybrid Natural Rubber Composites. Crystals 2022, 12, 1552. [Google Scholar] [CrossRef]
- Rostami-Tapeh-Esmaeil, E.; Kazemi, H.; Ahmad, H.; Morin, M.; Rodrigue, D. Recycled silica as a renewable and sustainable alternative to carbon black in natural rubber foams. Polym. Int. 2023, 72, 1104–1111. [Google Scholar] [CrossRef]
- Kaewsakul, W.; Sahakaro, K.; Dierkes, W.K.; Noordermeer, J.W. Mechanistic aspects of silane coupling agents with different functionalities on reinforcement of silica-filled natural rubber compounds. Polym. Eng. Sci. 2014, 55, 836–842. [Google Scholar] [CrossRef]
- Rocha, J.A.; Hiranobe, C.T.; Souza, D.d.S.; Araújo, S.d.S.; Hiranobe, M.F.; de Souza, G.H.B.; Gennaro, E.M.; Cabrera, F.C.; Cardim, G.P.; da Silva, M.J.; et al. Sustainability and Innovation: Incorporating Waste from Ophthalmic Lenses into Natural Rubber Composites. Recycling 2025, 10, 90. [Google Scholar] [CrossRef]
- Zhang, Z.; Zhang, Y.; Li, J.; Hassan, A.A.; Wang, S. Accelerated liquefaction of vulcanized natural rubber by thermo-oxidative degradation. Polym. Bull. 2021, 79, 1767–1786. [Google Scholar] [CrossRef]
- Prasetya, H.A.; Marlina, P.; Rahmaniar; Sugiyono, B.; Danimasthari, F.; Subari; Faizal, M. The effect of silica filler quartz sand from tailing processing of mining material on mechanical properties, thermal aging and morphology rubber compound. IOP Conf. Ser. Earth Environ. Sci. 2022, 963, 012030. [Google Scholar] [CrossRef]
- Vryonis, O.; Andritsch, T.; Vaughan, A.S.; Morshuis, P.; Claverie, A. On the Post-Curing Thermal Treatment of Silicone Rubbers: A Study on Electrical Performance. J. Appl. Polym. Sci. 2025, 142, e57358. [Google Scholar] [CrossRef]
- Li, Z.-X.; Kong, Y.-R.; Chen, X.-F.; Huang, Y.-J.; Lv, Y.-D.; Li, G.-X. High-temperature thermo-oxidative aging of vulcanized natural rubber nanocomposites: Evolution of microstructure and mechanical properties. Chin. J. Polym. Sci. 2023, 41, 1287–1297. [Google Scholar] [CrossRef]
- Wang, X.; Wu, L.; Yu, H.; Xiao, T.; Li, H.; Yang, J. Analysis of effect of modification of silica and carbon black co-filled rubber composite on mechanical properties. e-Polymers 2021, 21, 279–288. [Google Scholar] [CrossRef]
- Daystrong Rubber Products. Hydrin® ESD Mat Data Sheet. Available online: https://www.daystrongrubber.com/wp-content/uploads/DayStrong-ESD-Mat-Data-Sheet.pdf (accessed on 18 September 2025).
- ASTM D2240-15 (2021); Standard Test Method for Rubber Property—Durometer Hardness. ASTM International: West Conshohocken, PA, USA, 2021. Available online: https://store.astm.org/d2240-15r21.html (accessed on 25 September 2025).
- ASTM D412-16 (2016); Standard Test Methods for Vulcanized Rubber and Thermoplastic Elastomers—Tension. ASTM International: West Conshohocken, PA, USA, 2016. Available online: https://store.astm.org/d0412-16.html (accessed on 25 September 2025).
- ASTM D624-00(2020); Standard Test Method for Tear Strength of Conventional Vulcanized Rubber and Thermo-plastic Elastomers. ASTM International: West Conshohocken, PA, USA, 2020. Available online: https://store.astm.org/d0624-00r20.html (accessed on 25 September 2025).
- ASTM D5963-04(2019); Standard Test Method for Rubber Property—Abrasion Resistance (Rotary Drum Abrader). ASTM International: West Conshohocken, PA, USA, 2019. Available online: https://store.astm.org/d5963-04r19.html (accessed on 25 September 2025).
- Choophun, N.; Chaiammart, N.; Sukthavon, K.; Veranitisagul, C.; Laobuthee, A.; Watthanaphanit, A.; Panomsuwan, G. Natural rubber composites reinforced with green silica from rice husk: Effect of filler loading on mechanical properties. J. Compos. Sci. 2022, 6, 369. [Google Scholar] [CrossRef]
- Liu, J.; Lyu, J.; Shen, M.; Zhao, F. Using olefin metathesis reaction to modify solution polymerized styrene-butadiene rubber (SSBR) by for a more stable “green tire”. J. Polym. Res. 2023, 30, 90. [Google Scholar] [CrossRef]
- Wang, D.; Tang, Z.; Huang, R.; Li, H.; Zhang, C.; Guo, B. Inverse vulcanization of vinyltriethoxysilane: A novel interfacial coupling agent for silica-filled rubber composites. Macromolecules 2022, 55, 8485–8494. [Google Scholar] [CrossRef]
- ASTM D3182-21a (2021); Standard Practice for Rubber—Materials, Equipment, and Procedures for Mixing Stand-ard Compounds and Preparing Standard Vulcanized Sheets. ASTM International: West Conshohocken, PA, USA, 2021. Available online: https://store.astm.org/d3182-21a.html (accessed on 25 September 2025).
- Hiranobe, C.T.; Gennaro, E.M.; de Souza, G.H.B.; Souza, D.d.S.; Kawall, S.A.; Hiranobe, M.F.; Salmazo, L.O.; Pérez, M.A.R.; Gil, A.L.; Nascimento, E.S.; et al. Green Rubber Technology: The Potential of Ophthalmic Lens Waste as a Filler in Styrene–Butadiene Rubber-Based Composites. Materials 2025, 18, 1842. [Google Scholar] [CrossRef] [PubMed]
- de Souza, V.C.; Cardim, H.P.; Hiranobe, C.T.; Cardim, G.P.; Zapelini, I.W.; Paim, L.L.; Santos, G.T.A.; Teixeira, S.R.; da Silva, E.A.; dos Santos, R.J.; et al. Reuse of Activated Carbon Filter Waste as Filler in Vulcanized Rubber Composites. J. Compos. Sci. 2025, 9, 406. [Google Scholar] [CrossRef]
- Ribeiro, G.D.; Hiranobe, C.T.; Araújo, S.d.S.; Filgueira, M.d.S.; Rocha, J.A.; Mukuno, J.S.; Salmazo, L.O.; Gomes, A.S.; Tolosa, G.R.; Gennaro, E.M.; et al. Sustainable construction materials for low-cost housing: Thermal insulation potential of expanded SBR composites with leather waste. J. Mater. Res. Technol. 2024, 30, 5590–5604. [Google Scholar] [CrossRef]
- ASTM D2084-17 (2017); Standard Test Method for Rubber Property—Vulcanization Using Oscillating Disk Cure Meter. ASTM International: West Conshohocken, PA, USA, 2017. Available online: https://store.astm.org/d2084-17.html (accessed on 25 September 2025).
- ASTM D297-21 (2021); Standard Test Methods for Rubber Products—Chemical Analysis. ASTM International: West Conshohocken, PA, USA, 2021. Available online: https://store.astm.org/d0297-21.html (accessed on 25 September 2025).
- Hiranobe, C.T.; Ribeiro, G.D.; Torres, G.B.; dos Reis, E.A.P.; Cabrera, F.C.; Job, A.E.; Paim, L.L.; dos Santos, R.J. Cross-linked density determination of natural rubber compounds by different analytical techniques. Materials Research. Mater. Res. 2021, 24, e20210041. [Google Scholar] [CrossRef]
- ASTM D573-04(2019); Standard Test Method for Rubber—Deterioration in an Air Oven. ASTM International: West Conshohocken, PA, USA, 2019. Available online: https://store.astm.org/d0573-04r19.html (accessed on 25 September 2025).
Disclaimer/Publisher’s Note: The statements, opinions and data contained in all publications are solely those of the individual author(s) and contributor(s) and not of MDPI and/or the editor(s). MDPI and/or the editor(s) disclaim responsibility for any injury to people or property resulting from any ideas, methods, instructions or products referred to in the content. |
© 2025 by the authors. Licensee MDPI, Basel, Switzerland. This article is an open access article distributed under the terms and conditions of the Creative Commons Attribution (CC BY) license (https://creativecommons.org/licenses/by/4.0/).









