Evaluation of Spent Catalyst from Fluid Catalytic Cracking in Fly Ash and Blast Furnace Slag Based Alkali Activated Materials
Abstract
1. Introduction
2. Results
2.1. XRD Results
2.2. Total Porosity and Density
2.3. Mechanical Properties
2.4. Acid Attack Test
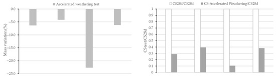
2.5. Accelerated Weathering Test in Simulated Warm-Humid Conditions
3. Discussion
4. Conclusions
5. Materials and Methods
5.1. Materials
5.2. Methodology
Author Contributions
Funding
Data Availability Statement
Acknowledgments
Conflicts of Interest
Abbreviations
| SCFCC | Spent catalyst from fluid catalytic cracking |
| FA | Fly ash |
| BFS | Blast furnace slag |
| AAS | Alkali-activating solution |
| AAM | Alkali-activated materials |
| PSD | Pore size distribution |
| CS | Compressive strength |
References
- Alonso-Fariñas, B.; Rodríguez-Galán, M.; Arenas, C.; Arroyo Torralvo, F.; Leiva, C. Sustainable management of spent fluid catalytic cracking catalyst from a circular economy approach. Waste Manag. 2020, 110, 10–19. [Google Scholar] [CrossRef]
- Dufresne, P. Hydroprocessing catalysts regeneration and recycling. Appl. Catal. A Gen. 2007, 322, 67–75. [Google Scholar] [CrossRef]
- Marafi, M.; Stanislaus, S. Spent catalyst waste management: A review. Part I-Developments in hydroprocessing catalyst waste reduction and use. Resour. Conserv. Recycl. 2008, 52, 859–873. [Google Scholar] [CrossRef]
- Sadeghbeigi, R. Chapter 9. Products and Economics. In Fluid Catalytic Cracking Handbook, 4th ed.; Sadeghbeigi, R., Ed.; Elsevier: Amsterdam, The Netherlands, 2020; pp. 163–182. [Google Scholar]
- Antiohos, S.K.; Chouliara, E.; Tsimas, S. Re-use of spent catalyst from oil-cracking refineries as supplementary cementing material. China Particuol. 2006, 4, 73–76. [Google Scholar] [CrossRef]
- Payá, J.; Monzó, J.; Borrachero, M. Fluid catalytic cracking catalyst residue (FC3R): An excellent mineral by-product for improving early-strength development of cement mixtures. Cem. Concr. Res. 1999, 29, 1773–1779. [Google Scholar] [CrossRef]
- Ruiz, G.; Aguilar, R.; Nakamatsu, J.; Kim, S. Synthesis of a geopolymer binders using spent fluid catalytic cracking (FCC) Catalyst. In Proceedings of the IOP Conference Series: Materials Science and Engineering, Riga, Latvia, 25–27 September 2019; Volume 660. [Google Scholar]
- Marafi, M.; Stanislaus, A. Options and processes for spent catalyst handling and utilization. J. Hazard. Mater. 2003, 101, 123–132. [Google Scholar] [CrossRef]
- Lu, G.; Lu, X.; Liu, P. Reactivation of spent FCC catalyst by mixed acid leaching for efficient catalytic cracking. J. Ind. Eng. Chem. 2020, 92, 236–242. [Google Scholar] [CrossRef]
- Rodríguez, E.D.; Bernal, S.A.; Provis, J.L.; Gehman, J.D.; Monzó, J.M.; Payá, J.; Borrachero, M.V. Geopolymers based on spent catalyst residue from a fluid catalytic cracking (FCC) process. Fuel 2013, 109, 493–502. [Google Scholar] [CrossRef]
- Kamichetty, J. Spend Fluids Cracking Catalyst (FCC)-A Potential Adsorbent for Organics in Hydraulic Fracturing Flowback. Master’s Thesis, Oklahoma State University, Stillwater, OK, USA, 2014. [Google Scholar]
- Nguyen, L.P.; Pham, Y.T.H.; Ngo, P.T.; Van Tran, T.; Vinh Tran, L.; Hoai Le, N.L.; Nguyen, L.H.; Dang, T.T.; Nguyen, D.A.; Wenzel, M.; et al. Production of high purity rare earth mixture from iron-rich spent fluid catalytic cracking (FCC) catalyst using acid leaching and two-step solvent extraction process. Korean J. Chem. Eng. 2018, 355, 1195–1202. [Google Scholar] [CrossRef]
- Niewiadomski, P.; Cisinski, M. The impact of waste fluid catalytic cracking catalyst addition on the selected properties of cement pastes. Mater. Proc. 2023, 13, 10. [Google Scholar]
- Bukowskaa, M.; Pacewskab, B.; Wilinska, I. Influence of spent catalyst used for catalytic cracking in a fluidized bed on sulphate corrosion of cement mortars: I. Na2SO4 medium. Cem. Concr. Res. 2004, 34, 759–767. [Google Scholar] [CrossRef]
- Hsiu-Liang, C.; Yun-Sheng, T.; Kung-Chung, H. Spent FCC catalyst as a pozzolanic material for high-performance mortars. Cem. Concr. Compos. 2004, 26, 657–664. [Google Scholar] [CrossRef]
- Nan, S.; Hung-Yuan, F.; Zong-Huei, C.; Fu-Shung, L. Reuse of waste catalysts from petrochemical industries for cement substitution. Cem. Concr. Res. 2000, 30, 1773–1783. [Google Scholar] [CrossRef]
- Su, N.; Chen, Z.H.; Fang, H.Y. Reuse of spent catalyst as fine aggregate in cement mortar. Cem. Concr. Compos. 2001, 23, 111–118. [Google Scholar] [CrossRef]
- Pacewka, B.; Willinska, I.; Bukowska, M.; Nocuri, W. Effect of waste aluminosilicate material on cement hydration and properties of cement mortars. Cem. Concr. Res. 2002, 32, 1823–1830. [Google Scholar] [CrossRef]
- Dweck, J.; Pinto, C.A.; Büchler, P.M. Study of a Brazilian spent catalyst as cement aggregate by thermal and mechanical analysis. J. Therm. Anal. Calorim. 2008, 92, 121–127. [Google Scholar] [CrossRef]
- Sofi, M.; Van Deventer, J.S.J.; Mendis, P.A.; Lukey, G.C. Engineering properties of inorganic polymer concretes (IPCs). Cem. Concr. Res. 2007, 37, 251–257. [Google Scholar] [CrossRef]
- Luna-Galiano, Y. Estudio de la Estabilización/Solidificación de Residuos Industrials Mediante la Tecnología de los Geopolímeros Basados en Cenizas Volantes Procedentes de Centrales Térmicas. Ph.D. Thesis, University of Seville, Seville, Spain, 2013. [Google Scholar]
- Papa, E. Geopolymers with Tailored Porosity. Ph.D. Thesis, University of Bologna, Bologna, Italy, 2016. [Google Scholar]
- Geopolymer Institute. Geopolymer Cement for Mitigation of Global Warming. 2006. Available online: https://www.geopolymer.org/applications/global-warming/# (accessed on 23 April 2025).
- Madirisha, M.M.; Dada, O.R.; Ikotun, B.D. A chemical fundamental of geopolymers in sustainable construction. Mater. Today Sustain. 2024, 27, 100842. [Google Scholar] [CrossRef]
- Furqan, F.; Xin, J.; Faisal Javed, M.; Akbar, B.A.; Izhar Shah, M.; Aslam, F.; Alyousef, R. Geopolymer concrete as sustainable material: A state of the art review. Constr. Build. Mater. 2021, 306, 124762. [Google Scholar] [CrossRef]
- Fernández-Pereira, C.; Luna-Galiano, Y.; Querol, X.; Antenucci, D.; Vale, J. Waste stabilization/solidification of an electric arc furnance dust using fly ash-based geopolymers. Fuel 2009, 88, 1185–1193. [Google Scholar] [CrossRef]
- Provis, J.L. Immobilisation of toxic wastes in geopolymers. In Geopolymers: Structures, Processing, Properties and Industrial Applications; Provis, J.L., van Deventer, J.S.J., Eds.; Elsevier: Amsterdam, The Netherlands, 2009; pp. 421–440. [Google Scholar]
- El-Eswed, B.I.; Yousef, R.I.; Alshaaer, M.; Hamadneh, I.; Al-Gharabli, S.I.; Khalili, F. Stabilization/solidification of heavy metals in kaolin/zeolite based geopolymers. Int. J. Miner. 2015, 137, 34–42. [Google Scholar] [CrossRef]
- Genua, F.; Lancellotti, I.; Leonelli, C. Geopolymer-based stabilization of heavy metals, the role of chemical agents in encapsulation and adsorption: Review. Polymer 2025, 17, 670. [Google Scholar] [CrossRef] [PubMed]
- Bai, C.M.; Colombo, P. Processing, properties and applications of highly porous geopolymers: A review. Ceram. Int. 2018, 44, 16103–16118. [Google Scholar] [CrossRef]
- Salazar, P.A.; Fernández, C.L.; Luna-Galiano, Y.; Sánchez, R.V.; Fernández-Pereira, C. Physical, Mechanical and Radiological Characteristics of a Fly Ash Geopolymer Incorporating Titanium Dioxide Waste as Passive Fire Insulating Material in Steel Structures. Materials 2022, 15, 8493. [Google Scholar] [CrossRef]
- Leiva, C.; Luna-Galiano, Y.; Arenas, C.; Alonso-Fariñas, B.; Fernández-Pereira, C. A porous geopolymer based on aluminum-waste with acoustic properties. Waste Manag. 2019, 95, 504–512. [Google Scholar] [CrossRef]
- Novais, R.M.; Carvalheiras, J.; Tobaldi, D.M.; Seabra, M.P.; Pullar, R.C.; Labrincha, J.A. Synthesis of porous biomass fly ash-based spheres for efficient removal of methylene blue from wastewaters. J. Clean. Prod. 2019, 207, 350–362. [Google Scholar] [CrossRef]
- Tashima, M.M.; Akasaki, J.L.; Castaldelli, V.L.; Soriano, L.; Monzó, J.M.; Payá, J.; Borrachero, M.V. New geopolymer binder based on fluid catalytic cracking catalyst residue (FCC). Mater. Lett. 2012, 80, 50–52. [Google Scholar] [CrossRef]
- Trochez, J.J.; Mejia de Gutierrez, R.; Rivera, J.; Bernal, S.A. Synthesis of geopolymer from spent FCC: Effect of SiO2/Al2O3 and Na2O/SiO2 molar ratios. Mater. Constr. 2015, 65, 317. [Google Scholar] [CrossRef]
- Das, B.B.; Narayana, N. Sustainable construction and building materials. In Proceedings of the Select Proceedings of ICSCBM 2018, Busan, Republic of Korea, 1–6 July 2018. [Google Scholar]
- Tashima, M.M.; Akasi, J.L.; Melges, J.L.P.; Soriano, L.; Monzó, J.M.; Payá, J.; Borrachero, M.V. Alkali activated materials based on fluid catalytic cracking catalyst residue (FCC): Influence of SiO2/Na2O and H2O/FCC ratio on mechanical strength and microstructure. Fuel 2013, 108, 833–839. [Google Scholar] [CrossRef]
- Isenburg, J.; Moore, M. Generalized acid neutralization capacity test. In Stabilization and Solidification of Hazardous, Radioactive, and Mixed Wastes 2; Gilliam, T.M., Wiles, C.C., Eds.; American Society for Testing and Materials: Philadelphia, PA, USA, 1992; pp. 361–377. [Google Scholar]
- Lancellotti, I.; Piccolo, F.; Traven, K.; Cešnovar, M.; Ducman, V.; Leonelli, C. Alkali activation of metallurgical slags: Reactivity, chemical behavior, and environmental assessment. Materials 2021, 14, 639. [Google Scholar] [CrossRef]
- Dolgaleva, I.V.; Gorichev, I.G.; Izotov, A.D.; Stepanov, V.M. Modeling of the effect of pH on the calcite dissolution kinetics. Theor. Found. Chem. Eng. 2005, 39, 614–621. [Google Scholar] [CrossRef]
- Provis, J.L. Geopolymers and other alkali activated materials: Why, how, and what? Mater. Struct. 2014, 47, 11–25. [Google Scholar] [CrossRef]
- Esaifan, M.; Khoury, H.; Aldabsheh, I.; Rahier, H.; Hourani, M.; Wastiels, J. Hydrated lime/potassium carbonate as alkaline activating mixture to produce kaolinitic clay based in organic polymer. Appl. Clay Sci. 2016, 126, 278–286. [Google Scholar] [CrossRef]
- Rodríguez, E.D.; Bernal, S.A.; Provis, J.; Paya, J.; Monzo, J.M.; Borrachero, M.V. Effect of nanosilica-based activators on the performance of an alkali-activated fly ash binder. Cem. Concr. Compos. 2013, 35, 1–11. [Google Scholar] [CrossRef]
- Luna-Galiano, Y.; Fernández-Pereira, C.; Izquierdo, M. Contributions to the study of porosity in fly ash-based geopolymers. Relationship between degree of reaction, porosity and compressive strength. Mater. Constr. 2016, 66, 324. [Google Scholar] [CrossRef]
- Puligilla, S.; Mondal, P. Role of slag in microstructural development and hardening of fly ash-slag geopolymer. Cem. Concr. Res. 2013, 43, 70–80. [Google Scholar] [CrossRef]
- Liu, H.; He, H.; Li, Y.; Hu, T.; Ni, H.; Zhang, H. Coupling effect of steel slag in preparation of calcium-containing geopolymers with spent fluid catalytic cracking (FCC) catalyst. Constr. Build. Mater. 2021, 290, 123194. [Google Scholar] [CrossRef]
- RILEM. Technical Committee 224-AAM. In Alkali Activated Materials: State-of-the-Art Report; Provis, J.L., van Deventer, J.S.J., Eds.; Springer: Berlin/Heidelberg, Germany, 2014. [Google Scholar]
- Luna-Galiano, Y.; Fernández-Pereira, C.; Pérez, C.M.; Suárez, P. Influence of BFS content in the mechanical properties and acid attack resistance of fly ash based geopolymers. Key Eng. Mater. 2016, 663, 50–61. [Google Scholar] [CrossRef]
- Bakharev, T. Resistance of geopolymer materials to acid attack. Cem. Concr. Res. 2005, 35, 658–670. [Google Scholar] [CrossRef]
- Özcan, A.; Karakoç, M.B. The resistance of blast furnace slag- and ferrochrome slag-based geopolymer concrete against acid attack. Int. J. Civ. Eng. 2019, 17, 1571–1583. [Google Scholar] [CrossRef]
- Bernal, S.A.; Rodríguez, E.D.; Mejía de Gutiérrez, R.; Provis, J.L. Performance of alkali- activated slag mortars exposed to acids. J. Sustain. Cem.-Based Mater. 2012, 1, 138–151. [Google Scholar] [CrossRef]
- Provis, J.; Lukey, G.; Van Deventer, J. Do geopolymers actually contain nanocrystalline zeolites? A reexamination of existing results. Chem. Mater. 2005, 17, 3075–3085. [Google Scholar] [CrossRef]
- Ariffin, M.; Bhutta, M.; Hussin, M.; Mohd Tahir, M.; Aziah, N. Sulfuric acid resistance of blended ash geopolymer concrete. Constr. Build. Mater. 2013, 43, 80–86. [Google Scholar] [CrossRef]
- Sun, K.; Asad Ali, H.; Xuan, D.; Poon, C.-S. Sulfuric acid resistance behaviour of alkali-activated slag and waste glass powder blended precursors. Cem. Concr. Compos. 2024, 145, 105319. [Google Scholar] [CrossRef]
- Albegmprli, H.M.; Al-Qazzaz, Z.K.A.; Rejeb, S.K. Strength performance of alkali activated structural lightweight geopolymer concrete exposed to acid. Ceram. Int. 2022, 48, 6867–6873. [Google Scholar] [CrossRef]
- Singaram, K.K.; Khan, M.A.; Talakokula, V. Review on compressive strength and durability of fly-ash-based geopolymer using characterization techniques. Arch. Civ. Mech. Eng. 2025, 25, 73. [Google Scholar] [CrossRef]
- Boutkhil, H.; Fellak, S.; Alenyen, S.; Bari, A.; Fidan, H. Physico-chemical properties and durability of a fly-ash-based geopolymer. Open Chem. 2024, 22, 20240048. [Google Scholar] [CrossRef]
- Zhang, S.; Han, B.; Xie, H.; An, M.; Lyu, S. Brittleness of concrete under different curing conditions. Materials 2021, 14, 7865. [Google Scholar] [CrossRef]
- Wang, L.; Wei, W.; Zhang, J.; Hu, Y.; Zhang, L. Effect of curing regime on the mechanical properties and microstructure of concrete: A Review. Buildings 2023, 13, 1697. [Google Scholar] [CrossRef]
- Peceño, B.; Hurtado-Bermudez, S.; Alonso-Fariñas, B.; Villa-Alfageme, M.; Más, J.L.; Leiva, C. Recycling bio-based wastes into road-base binder: Mechanical, leaching, and radiological implications. Appl. Sci. 2023, 13, 1644. [Google Scholar] [CrossRef]
- ASTM D-3682-78; Test for Major and Minor Elements in Coal and Coke Ash by the Atomic Absorption Methods. ASTM International: West Conshohocken, PA, USA, 1978.
- ASTM C127-93; Standard Test Method for Relative Density (Specific Gravity) and Absorption of Coarse Aggregate. ASTM International: West Conshohocken, PA, USA, 1993.
- Vilches, F.; Vale, J.; Olivares, J.; Fernández-Pereira, C. Effect of carbonaceous matter contents on the fire resistance and mechanical properties of coal fly ash enriched mortars. Fuel 2008, 87, 2977–2982. [Google Scholar] [CrossRef]
- UNE EN 1936; Test Methods for Natural Stone. Determination of True and Apparent Density and Open and Total Porosity. AENOR: Madrid, Spain, 2007.
- ASTM C39/C39M M-05e2; Standard Test Method for Compressive Strength on Cylindrical Concrete Specimens. ASTM International: West Conshohocken, PA, USA, 2005.
- Cerulli, T.; Pistolesi, C.; Maltese, C.; Salvioni, D. Durability of traditional plasters with respect to blast furnace slag-based plaster. Cem. Concr. Res. 2003, 33, 1375–1383. [Google Scholar] [CrossRef]












| Pore Volume (mL/g) | |||
|---|---|---|---|
| 1 d | 14 d | 28 d | |
| BFS100-SCFCC0 | 0.0637 | 0.0383 | 0.0357 |
| BFS75-SCFCC25 | 0.1038 | 0.0829 | 0.0766 |
| FA100-SCFCC0 | 0.1381 | 0.0959 | 0.0866 |
| FA75-SCFCC25 | 0.1783 | 0.1631 | 0.1619 |
| % Pore Volume | |||
|---|---|---|---|
| Mesoporous | Macroporous | ||
| 0.002–0.05 µm | 0.05–300 µm Small (0.05–5 µm) | 0.05–300 µm Large (5–300 µm) | |
| BFS100-SCFCC0 | 45.6 | 54.4 (14.7) | 54.4 (39.7) |
| BFS75-SCFCC25 | 52.2 | 47.8 (14.4) | 47.8 (33.4) |
| FA100-SCFCC0 | 29.4 | 70.6 (31.8) | 70.6 (38.8) |
| FA75-SCFCC25 | 69.4 | 30.6 (20.0) | 30.6 (10.6) |
| Pore Volume (mL/g) | ||||
|---|---|---|---|---|
| BFS100-SCFCC0 | BFS75-SCFCC25 | FA100-SCFCC0 | FA75-SCFCC25 | |
| Reference 28 d | 0.0357 | 0.0766 | 0.0866 | 0.1619 |
| After water immersion | 0.0389 | 0.0801 | 0.0958 | 0.1699 |
| After acid immersion | 0.0307 | 0.0691 | 0.1179 | 0.1745 |
| Pore Volume (mL/g) | ||||
|---|---|---|---|---|
| BFS100-SCFCC0 | BFS75-SCFCC25 | FA100-SCFCC0 | FA75-SCFCC25 | |
| Reference 28 d | 0.0357 | 0.0766 | 0.0866 | 0.1619 |
| After accelerated weathering test | 0.0562 | 0.0883 | 0.1521 | 0.196 |
| Moisture (105 °C) (wt%) | LOI (750 °C) (wt%) | Major Oxides (wt%) | |||||||
|---|---|---|---|---|---|---|---|---|---|
| SiO2 | Al2O3 | Fe2O3 | CaO | MgO | K2O | Na2O | |||
| FA | 0.05 | 1.32 | 63.9 | 21.5 | 5.83 | 3.94 | 1.90 | 1.70 | 0.68 |
| BFS | 0.03 | 0.42 | 35.8 | 11.6 | 1.01 | 43.5 | 7.59 | 0.36 | 0.21 |
| SCFCC | 0.01 | 0.57 | 55.8 | 36.0 | 0.93 | 0.04 | 0.10 | 0.10 | 0.22 |
| Trace Elements (mg/kg, Dry Basis) | |||||||||||||||
|---|---|---|---|---|---|---|---|---|---|---|---|---|---|---|---|
| V | Zn | Mo | As | Cr | Cu | Ni | Pb | Sb | Ba | Cd | Co | Hg | Se | Sn | |
| FA | 248 | 135 | 17 | 24 | 167 | 97 | 102 | 47 | 6 | 1287 | 3 | 33 | 0.08 | 19 | 6 |
| BFS | 14.3 | 2.6 | - | <1.5 | 28.7 | 8.2 | 2.5 | <1.5 | - | 621.4 | <1.5 | <1.5 | <1.5 | 1.8 | <1.5 |
| SCFCC | 12 | 0.53 | 0.46 | <0.2 | <0.05 | <0.05 | <0.05 | <0.05 | <0.05 | <0.03 | <0.02 | <0.01 | <0.01 | <0.01 | 5 |
| Name | Solid Phase (wt%) | Ratio Liquid Phase | |||
|---|---|---|---|---|---|
| AAM Main Precursors | SCFCC | AAS:Main Precursors (wt) | H2O:(Main Precursors+FCC) (wt) | ||
| BFS | FA | ||||
| BFS100-SCFCC0 | 100 | 0 | 0 | 0.469 | 0 |
| BFS75-SCFCC25 | 75 | 0 | 25 | 0.469 | 0.1 |
| FA100-SCFCC0 | 0 | 100 | 0 | 0.516 | 0 |
| FA75-SCFCC25 | 0 | 75 | 25 | 0.516 | 0.07 |
Disclaimer/Publisher’s Note: The statements, opinions and data contained in all publications are solely those of the individual author(s) and contributor(s) and not of MDPI and/or the editor(s). MDPI and/or the editor(s) disclaim responsibility for any injury to people or property resulting from any ideas, methods, instructions or products referred to in the content. |
© 2025 by the authors. Licensee MDPI, Basel, Switzerland. This article is an open access article distributed under the terms and conditions of the Creative Commons Attribution (CC BY) license (https://creativecommons.org/licenses/by/4.0/).
Share and Cite
Luna-Galiano, Y.; Cabrera-Gallardo, D.; Rodríguez-Galán, M.; Novais, R.M.; Labrincha, J.A.; Fernández, C.L. Evaluation of Spent Catalyst from Fluid Catalytic Cracking in Fly Ash and Blast Furnace Slag Based Alkali Activated Materials. Recycling 2025, 10, 149. https://doi.org/10.3390/recycling10040149
Luna-Galiano Y, Cabrera-Gallardo D, Rodríguez-Galán M, Novais RM, Labrincha JA, Fernández CL. Evaluation of Spent Catalyst from Fluid Catalytic Cracking in Fly Ash and Blast Furnace Slag Based Alkali Activated Materials. Recycling. 2025; 10(4):149. https://doi.org/10.3390/recycling10040149
Chicago/Turabian StyleLuna-Galiano, Yolanda, Domingo Cabrera-Gallardo, Mónica Rodríguez-Galán, Rui M. Novais, João A. Labrincha, and Carlos Leiva Fernández. 2025. "Evaluation of Spent Catalyst from Fluid Catalytic Cracking in Fly Ash and Blast Furnace Slag Based Alkali Activated Materials" Recycling 10, no. 4: 149. https://doi.org/10.3390/recycling10040149
APA StyleLuna-Galiano, Y., Cabrera-Gallardo, D., Rodríguez-Galán, M., Novais, R. M., Labrincha, J. A., & Fernández, C. L. (2025). Evaluation of Spent Catalyst from Fluid Catalytic Cracking in Fly Ash and Blast Furnace Slag Based Alkali Activated Materials. Recycling, 10(4), 149. https://doi.org/10.3390/recycling10040149

