Mass Distribution of Organic Carbon, S-Containing Compounds and Heavy Metals During Flotation of Municipal Solid Waste Incineration Fly Ash
Abstract
1. Introduction
2. Results and Discussion
2.1. Preliminary Experiment
2.2. Comparison of Collector
2.2.1. Yields of Light and Residual Materials
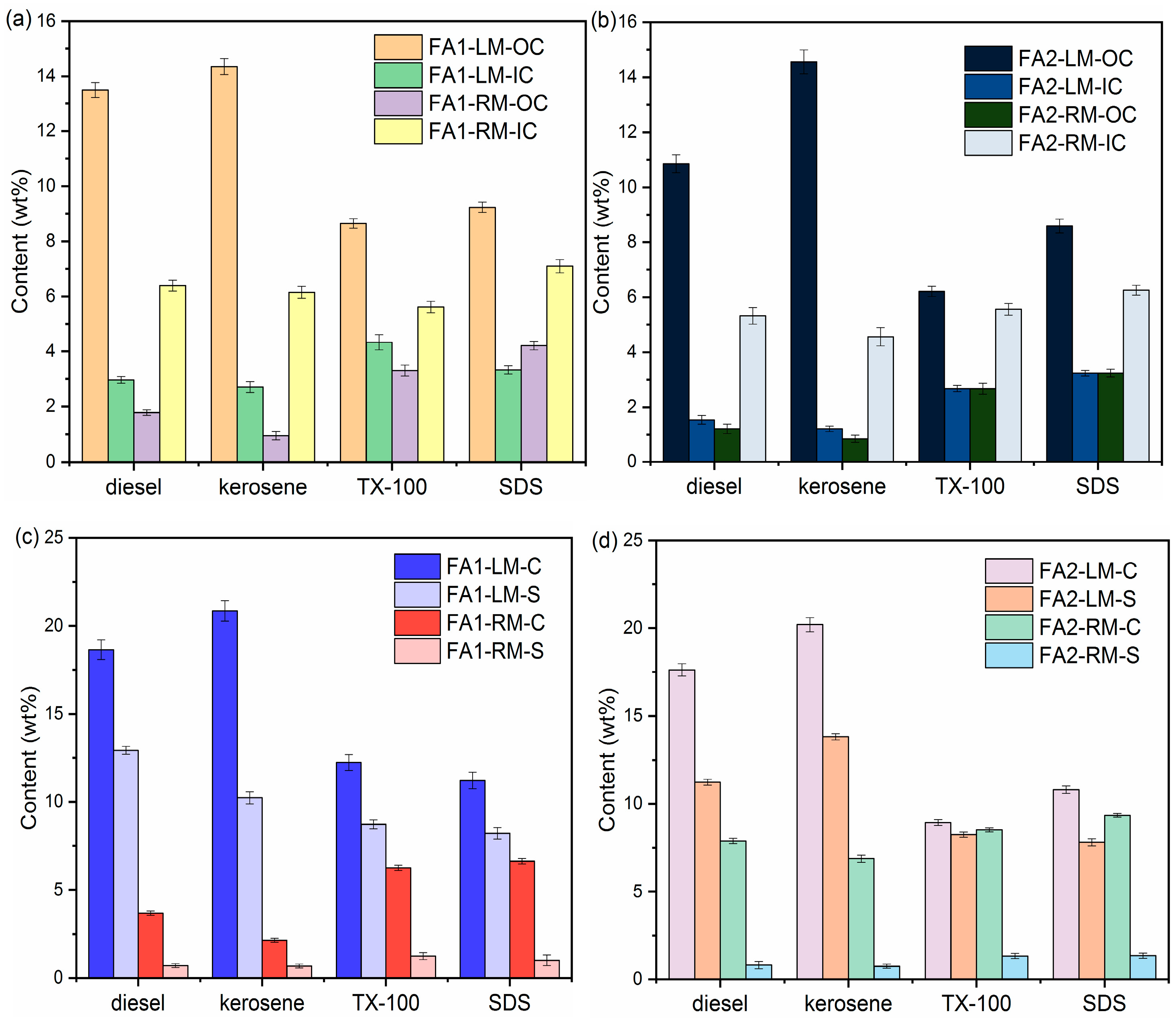
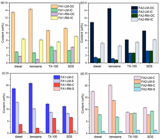
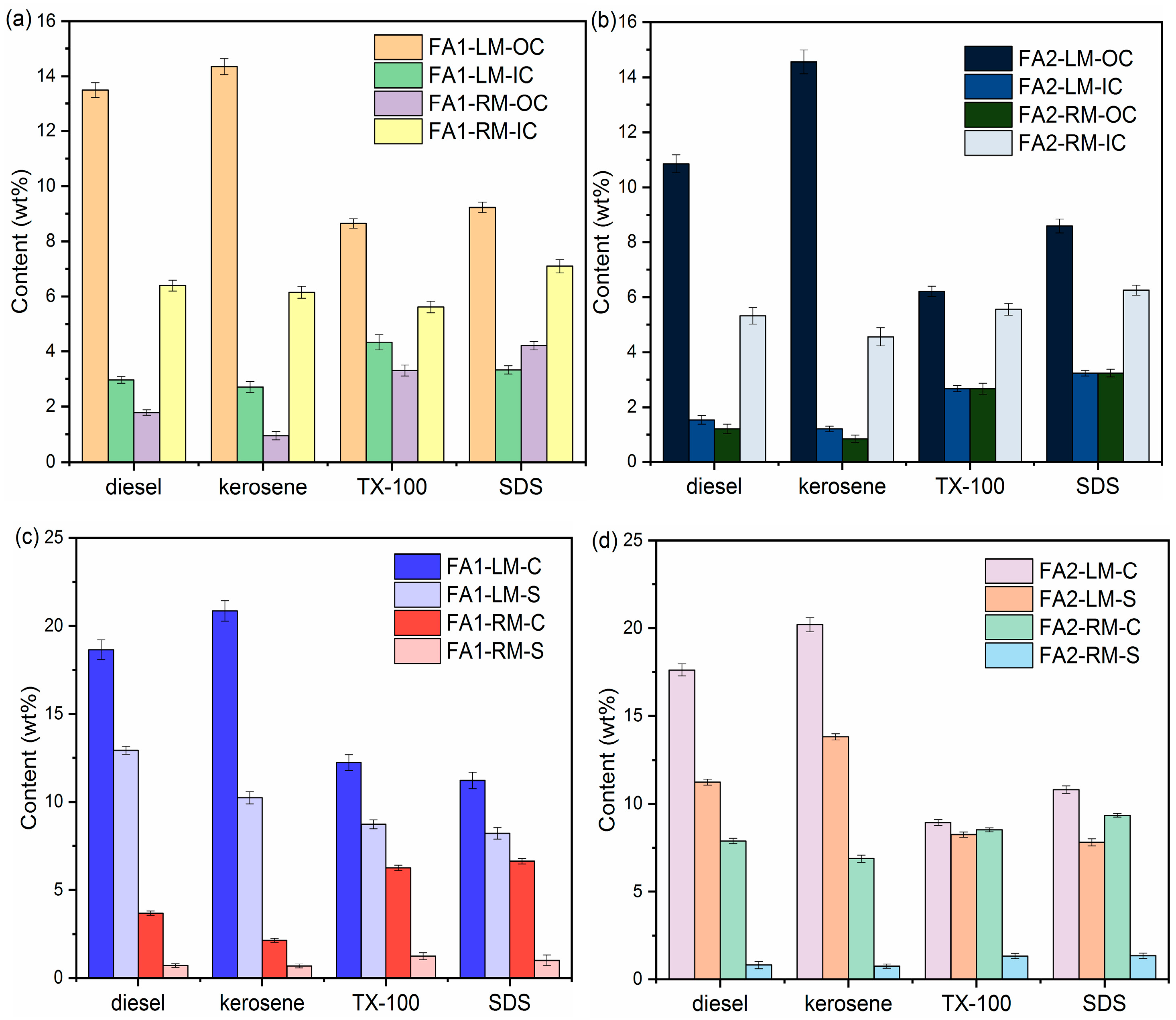
2.2.2. Organic Carbon and S Removal
2.3. Comparison of Frother
2.4. Characterization of Solids After Flotation
2.4.1. Particle Size Distribution
2.4.2. Chemical Compositions and Crystalline Structures
2.4.3. Heavy Metals Contents and Leaching Toxicities
2.5. Quality of Wastewater
3. Materials and Methods
3.1. Materials
3.2. Flotation Experiment
3.3. Analysis of Solids
3.4. Analysis of Liquid
4. Conclusions
Supplementary Materials
Author Contributions
Funding
Data Availability Statement
Acknowledgments
Conflicts of Interest
Abbreviations
| FA | Fly ash |
| MIBC | Methyl isobutyl carbinol |
| TX-100 | Triton X-100 |
| SDS | Sodium dodecyl sulfate |
| LM | Light material |
| RM | Residual material |
| LOI | Loss of ignition |
| OC | Organic carbon |
| IC | Inorganic carbon |
| WW | Wastewater |
References
- Cai, Z.; Yang, Q.; Han, H.; Wang, J.; Wang, T.; Zhang, Y.; Xiao, P.; Wang, S.; Wang, Y.; Pan, W.P. Synergistic removal of Hg0, HCl, and SO2 from flue gas in municipal solid waste incineration by mechanically modified fly ash. J. Environ. Manag. 2025, 373, 123652. [Google Scholar] [CrossRef]
- Chen, K.; Dai, S.; Li, J.; Lin, L.; Qin, W.; Gao, Y.; Hu, E.; Jiang, J. Towards circular economy: Sustainable valorization of municipal solid waste incineration fly ash for recovery of high-purity chlorides and calcium, and separation of heavy metals. Environ. Res. 2025, 277, 121536. [Google Scholar] [CrossRef] [PubMed]
- Leba-Kamanya, C.; Lei, H.; Niu, C.; Chen, Y.; Zhang, Q.; Xu, K. The Effect of chlorine and glass additives on heavy metal volatilization during vitrification of simulated municipal solid waste incineration fly ash. Mater. Lett. 2024, 377, 137381. [Google Scholar] [CrossRef]
- Yuan, Z.; Xu, Q.; Kong, L.; Li, K.; Wu, C.; Bai, J. Immobilization of heavy metals with chlorine and liquid phase formation during thermal treatment of MSWI fly ash. Fuel 2024, 378, 122949. [Google Scholar] [CrossRef]
- Wang, H.; Zhao, B.; Zhu, F.; Chen, Q.; Zhou, T.; Wang, Y. Study on the reduction of chlorine and heavy metals in municipal solid waste incineration fly ash by organic acid and microwave treatment and the variation of environmental risk of heavy metals. Sci. Total Environ. 2023, 870, 161929. [Google Scholar] [CrossRef]
- Wang, X.; Pan, Y.; Fan, W.; Guo, H.; Zhang, H. Fly ash-CaO sorbents prepared via hydration for CO2 capture in municipal solid waste incineration. J. Environ. Chem. Eng. 2025, 13, 115103. [Google Scholar] [CrossRef]
- Ma, X.; He, T.; Da, Y.; Xu, Y.; Luo, R.; Yang, R. Improve toxicity leaching, physicochemical properties of incineration fly ash and performance as admixture by water washing. Constr. Build. Mater. 2023, 386, 131568. [Google Scholar] [CrossRef]
- Liu, F.; Liu, Z.; Gao, Y.; Liu, R.; Wang, D.; Wang, B.; You, Y. Simultaneous realization of heavy metal Cd solidification and chloride separation in municipal solid waste incineration fly ash: Mechanism and DFT analysis. Chemosphere 2024, 348, 140741. [Google Scholar] [CrossRef] [PubMed]
- Lin, S.; Jiang, X.; Zhao, Y.; Yan, J. Disposal technology and new progress for dioxins and heavy metals in fly ash from municipal solid waste incineration: A critical review. Environ. Pollut. 2022, 311, 119878. [Google Scholar] [CrossRef]
- Zhang, J.; Zhang, S.; Liu, B. Degradation technologies and mechanisms of dioxins in municipal solid waste incineration fly ash: A review. J. Clean. Prod. 2020, 250, 119507. [Google Scholar] [CrossRef]
- Ko, M.S.; Chen, Y.L.; Wei, P.S. Recycling of municipal solid waste incinerator fly ash by using hydrocyclone separation. Waste Manag. 2013, 33, 615–620. [Google Scholar] [CrossRef] [PubMed]
- Liu, H.; Wei, G.X.; Zhang, R.; Liu, G.S.; Zhou, J.H.; Zeng, T.T. Detoxification of medical waste incinerator fly ash through successive flotation. Sep. Sci. Technol. 2019, 54, 163–172. [Google Scholar] [CrossRef]
- Han, J.; Chen, P.; Liu, T.; Li, Y. Research and application of fluidized flotation units: A review. J. Ind. Eng. Chem. 2023, 126, 50–68. [Google Scholar] [CrossRef]
- Sehati, R.; Yazdi, M.R.S.; Omran, A.H. Assessment of the effect of iron magnetic concentrate desulfurization by flotation method on the quality of green and cooked pellets: A laboratory and pilot-scale study. Miner. Eng. 2023, 202, 108269. [Google Scholar] [CrossRef]
- Tokgoz, D.D.G.; Ozerkan, N.G.; Antony, S.J. Untreated municipal solid waste incineration ashes for cement replacement. J. Eng. Res. 2023, 11, 34–39. [Google Scholar] [CrossRef]
- Nie, C.; Wang, J.; He, Q.; Qi, X.; Xue, P.; Zhu, X. Environmentally-friendly emulsion-like collector prepared from waste oil: Application in flotation recovery of unburned carbon in coal fly ash. J. Clean. Prod. 2022, 379, 134561. [Google Scholar] [CrossRef]
- Zhou, F.; Yan, C.; Wang, H.; Zhou, S.; Liang, H. The result of surfactants on froth flotation of unburned carbon from coal fly ash. Fuel 2017, 190, 182–188. [Google Scholar] [CrossRef]
- Hower, J.C.; Groppo, J.G.; Graham, U.M.; Ward, C.R.; Kostova, I.J.; Maroto-Valer, M.M.; Dai, S. Coal-derived unburned carbons in fly ash: A review. Int. J. Coal Geol. 2017, 179, 11–27. [Google Scholar] [CrossRef]
- Lv, B.; Jiao, F.; Chen, Z.; Dong, B.; Fang, C.; Zhang, C.; Deng, X. Separation of unburned carbon from coal fly ash: Pre-classification in liquid-solid fluidized beds and subsequent flotation. Process Saf. Environ. Prot. 2022, 165, 408–419. [Google Scholar] [CrossRef]
- Li, Y.; Hu, Z.; Xia, W.; Shao, H.; Zheng, K.; Liang, L.; Peng, Y.; Xie, G. Application of compound reagent H511 in the flotation removal of unburned carbon from fly ash. Colloids Surf. A Physicochem. Eng. Asp. 2020, 595, 124699. [Google Scholar] [CrossRef]
- Xu, M.; Li, C.; Wang, Y.; Zhang, H. Investigation on mechanism of intensifying coal fly ash froth flotation by pre-treatment of non-ionic surfactant. Fuel 2019, 254, 115601. [Google Scholar] [CrossRef]
- Teng, F.; Wang, Z.; Ren, K.; Liu, S.; Ding, H. Analysis of composition characteristics and treatment techniques of municipal solid waste incineration fly ash in China. J. Environ. Manag. 2024, 357, 120783. [Google Scholar] [CrossRef]
- Santisteban, J.I.; Mediavilla, R.; Lo pez-Pamo, E.; Dabrio, C.J.; Zapata, M.B.R.; Garcia, M.J.G.; Castano, S.; Martinez-Alfaro, P.E. Loss on ignition: A qualitative or quantitative method for organic matter and carbonate mineral content in sediments? J. Paleolimnol. 2004, 32, 287–299. [Google Scholar] [CrossRef]
- Harris, T.; Wheelock, T.D. Process conditions for the separation of carbon from fly ash by froth flotation. Int. J. Coal Prep. Util. 2008, 28, 133–152. [Google Scholar] [CrossRef]
- Yang, L.; Zhang, L. Used engine oil as flotation collector for the removal of unburned carbon from coal fly ash. Int. J. Coal Prep. Util. 2022, 42, 3794–3808. [Google Scholar] [CrossRef]
- Helbig, C.; Baldauf, H.; Mahnke, J.K.; Stöckelhuber, W.; Schulze, H.J. Investigation of Langmuir monofilms and flotation experiments with anionic/cationic collector mixtures. Int. J. Miner. Process. 1998, 53, 135–144. [Google Scholar] [CrossRef]
- Xia, Y.; Zhang, R.; Xing, Y.; Gui, X. Improving the adsorption of oily collector on the surface of low-rank coal during flotation using a cationic surfactant: An experimental and molecular dynamics simulation study. Fuel 2019, 235, 687–695. [Google Scholar] [CrossRef]
- Dey, S. Enhancement in hydrophobicity of low rank coal by surfactants—A critical overview. Fuel Process. Technol. 2012, 94, 151–158. [Google Scholar] [CrossRef]
- Zheng, K.; Zhang, W.; Li, Y.J.; An, P.; Wu, F.; Xie, G.Y.; Xia, W. Enhancing flotation removal of unburned carbon from fly ash by coal tar-based collector: Experiment and simulation. Fuel 2023, 332, 126023. [Google Scholar] [CrossRef]
- Shen, X.; He, H.; He, C.; Li, B.; Luo, W.; Ren, P. Low-carbon blended cement containing wet carbonated municipal solid waste incineration fly ash and mechanically activated coal fly ash. Case Stud. Constr. Mater. 2024, 21, e03671. [Google Scholar] [CrossRef]
- Mu, Y.; Saffarzadeh, A.; Shimaoka, T. Influence of ignition process on mineral phase transformation in municipal solid waste incineration (MSWI) fly ash: Implications for estimating loss-on-ignition (LOI). Waste Manag. 2017, 59, 222–228. [Google Scholar] [CrossRef] [PubMed]
- Silva, L.A.; Prates, L.M.; Pereira, A.M.; Correia, J.C.G.; Marques, M.L.S.; Filippova, I.V.; Filippov, L.O. Unconventional collector-frother surfactant mixtures for goethitic iron ore slimes reverse flotation: Experimental and molecular study. J. Mol. Liq. 2025, 427, 127433. [Google Scholar] [CrossRef]
- Záleská, M.; Pavlík, Z.; Pavlíková, M.; Pivák, A.; Reiterman, P.; Lauermannová, A.M.; Jiříčková, A.; Průša, F.; Jankovský, O. Towards immobilization of heavy metals in low-carbon composites based on magnesium potassium phosphate cement, diatomite, and fly ash from municipal solid waste. Constr. Build. Mater. 2025, 470, 14062. [Google Scholar] [CrossRef]
- Xin, M.; Sun, Y.; Wu, Y.; Li, W.; Yin, J.; Long, Y.; Wang, X.; Wang, Y.; Huang, Y.; Wang, H. Stabilized MSW incineration fly ash co-landfilled with organic waste: Leaching pattern of heavy metals and related influencing factors. Process Saf. Environ. Prot. 2022, 165, 445–452. [Google Scholar] [CrossRef]
- Chen, W.F.; Wang, Y.G.; Sun, Y.M.; Fang, G.L.; Li, Y.L. Release of soluble ions and heavy metal during fly ash washing by deionized water and sodium carbonate solution. Chemosphere 2022, 307, 135860. [Google Scholar] [CrossRef]
- Qin, J.; Zhang, Y.; Yi, Y. Water washing and acid washing of gasification fly ash from municipal solid waste: Heavy metal behavior and characterization of residues. Environ. Pollut. 2023, 320, 121043. [Google Scholar] [CrossRef] [PubMed]
- Chen, W.F.; Chen, Y.F.; Wang, Y.G.; Zhao, N. Combing activated carbon adsorption and CO2 carbonation of to treat fly ash washing wastewater and recover high quality CaCO3. Water 2024, 16, 2896. [Google Scholar] [CrossRef]
- Ma, G.; Huang, H.; Liu, J.; Dong, L.; Bilal, M.; Shao, H.; Tao, D. Effects of carrier particles on flotation removal of unburned carbon particles from fly ash. Powder Technol. 2024, 434, 119247. [Google Scholar] [CrossRef]
- Liu, K.; Zhang, Y.; Jiang, J.; Takasu, K.; Gao, W. Carbon removal performance and economic analysis of waste fried oil for coal fly ash flotation. Powder Technol. 2025, 454, 120658. [Google Scholar] [CrossRef]
- GB/T 34231-2017; Determination of Loss on Ignition for Coal Combustion Residues. National Standardization Administration of the People’s Republic of China: Beijing, China, 2017. Available online: https://openstd.samr.gov.cn/bzgk/std/newGbInfo?hcno=8104BFC39AB3DF5CF6BA753C5C5D5C9D (accessed on 17 September 2017).
- HJ/T 300-2007; Solid Waste-Extraction Procedure for Leaching Toxicity-Acetic Acid Buffer Solution Method. Ministry of Ecology and Environment of the People’s Republic of China: Beijing, China, 2007. Available online: https://www.mee.gov.cn/ywgz/fgbz/bz/bzwb/jcffbz/200704/t20070418_102860.shtml (accessed on 1 May 2007).
- GB 7476-1987; Water Quality-Determination of Calcium-EDTA Titrimetrlc Method. Ministry of Ecology and Environment of the People’s Republic of China: Beijing, China, 1987. Available online: https://www.mee.gov.cn/ywgz/fgbz/bz/bzwb/jcffbz/198708/t19870801_66849.shtml (accessed on 1 August 1987).









| Fly Ash | LOI Analysis | Proximate Analysis | |||
|---|---|---|---|---|---|
| OC (wt%) | IC (wt%) | Fixed Carbon (wt%) | Volatile Carbon (wt%) | Ash (wt%) | |
| FA1 | 3.52 | 4.67 | 3.14 | 1.11 | 95.75 |
| FA2 | 2.74 | 4.03 | 2.36 | 1.06 | 96.58 |
| FA3 | 1.04 | 3.22 | 1.12 | 0.65 | 97.86 |
| FA4 | 0.92 | 3.16 | 0.94 | 0.77 | 98.29 |
| Collector | FA1 | FA2 | ||||
|---|---|---|---|---|---|---|
| ηOC | γc | γs | ηOC | γc | γs | |
| Diesel | 70.76 | 74.84 | 84.57 | 73.41 | 80.13 | 81.39 |
| Kerosene | 81.69 | 82.76 | 82.66 | 78.84 | 82.04 | 80.47 |
| TX-100 | 31.64 | 46.13 | 65.73 | 36.31 | 51.06 | 66.94 |
| SDS | 37.79 | 59.24 | 80.06 | 34.69 | 69.64 | 71.54 |
| Frother | FA1 | FA2 | ||||
|---|---|---|---|---|---|---|
| ηOC | γc | γs | ηOC | γc | γs | |
| MIBC | 81.69 | 82.76 | 82.66 | 78.84 | 82.04 | 80.47 |
| 2-Octyl alcohol | 75.34 | 70.36 | 80.42 | 72.30 | 67.33 | 79.52 |
| Element | FA1 | FA1-LM | FA1-RM | FA2 | FA2-LM | FA2-RM |
|---|---|---|---|---|---|---|
| Ca | 14.60 | 2.27 | 19.88 | 15.78 | 1.67 | 20.97 |
| Cl | 7.15 | 0.53 | 0.10 | 7.97 | 0.51 | 0.11 |
| Na | 8.15 | 3.61 | 2.24 | 7.26 | 3.51 | 3.02 |
| K | 2.46 | 0.30 | 0.20 | 2.42 | 0.26 | 0.22 |
| S | 2.45 | 8.43 | 0.52 | 2.48 | 8.89 | 0.48 |
| Fe | 0.50 | 0.87 | 0.44 | 0.66 | 0.92 | 0.69 |
| Zn | 0.50 | 0.84 | 0.23 | 0.35 | 0.71 | 0.12 |
| Pb | 0.17 | 0.24 | 0.05 | 0.11 | 0.16 | 0.03 |
| Si | 0.21 | 0.23 | 0.28 | 0.32 | 0.36 | 0.16 |
| Cu | 0.04 | 0.08 | 0.03 | 0.04 | 0.08 | 0.03 |
| Cr | 0.01 | 0.02 | 0.01 | 0.01 | 0.01 | ND |
| Ti | 0.10 | 0.15 | 0.25 | 0.16 | 0.20 | 0.12 |
| Mn | ND | 0.01 | 0.01 | 0.03 | ND | 0.02 |
| Heavy Metal | FA1 | FA1-LM | FA1-RM | FA2 | FA2-LM | FA2-RM |
|---|---|---|---|---|---|---|
| Zn | 6.85 | 28.63 | 4.62 | 3.82 | 29.52 | 1.51 |
| Pb | 1.58 | 16.61 | 0.45 | 1.04 | 9.41 | 0.22 |
| Cd | 0.25 | 2.33 | 0.11 | 0.14 | 1.18 | 0.04 |
| Cu | 0.10 | 0.91 | 0.04 | 0.47 | 3.60 | 0.19 |
| Cr | 0.10 | 1.15 | 0.02 | 0.11 | 0.95 | 0.03 |
| Ni | 0.05 | 0.46 | 0.02 | 0.04 | 0.32 | 0.01 |
| Heavy Metal | FA1 | FA1-LM | FA1-RM | FA2 | FA2-LM | FA2-RM | Standard Limit Value |
|---|---|---|---|---|---|---|---|
| Zn | 40.50 | 4.63 | 0.25 | 42.70 | 0.78 | 0.15 | 100 |
| Pb | 7.68 | 3.69 | 0.08 | 8.36 | 4.25 | 0.05 | 0.25 |
| Cd | 1.72 | 0.89 | 0.05 | 0.85 | 0.30 | 0.06 | 0.15 |
| Cu | 3.68 | 0.40 | 0.11 | 0.45 | 0.05 | 0.01 | 40 |
| Cr | 0.19 | 0.20 | 0.15 | 0.25 | 0.12 | 0.10 | 4.5 |
| Ni | 0.15 | ND | ND | ND | ND | ND | 0.5 |
Disclaimer/Publisher’s Note: The statements, opinions and data contained in all publications are solely those of the individual author(s) and contributor(s) and not of MDPI and/or the editor(s). MDPI and/or the editor(s) disclaim responsibility for any injury to people or property resulting from any ideas, methods, instructions or products referred to in the content. |
© 2025 by the authors. Licensee MDPI, Basel, Switzerland. This article is an open access article distributed under the terms and conditions of the Creative Commons Attribution (CC BY) license (https://creativecommons.org/licenses/by/4.0/).
Share and Cite
Chen, W.; Li, P.; Zhang, S.; Chen, Y. Mass Distribution of Organic Carbon, S-Containing Compounds and Heavy Metals During Flotation of Municipal Solid Waste Incineration Fly Ash. Recycling 2025, 10, 135. https://doi.org/10.3390/recycling10040135
Chen W, Li P, Zhang S, Chen Y. Mass Distribution of Organic Carbon, S-Containing Compounds and Heavy Metals During Flotation of Municipal Solid Waste Incineration Fly Ash. Recycling. 2025; 10(4):135. https://doi.org/10.3390/recycling10040135
Chicago/Turabian StyleChen, Weifang, Peng Li, Shuyue Zhang, and Yifan Chen. 2025. "Mass Distribution of Organic Carbon, S-Containing Compounds and Heavy Metals During Flotation of Municipal Solid Waste Incineration Fly Ash" Recycling 10, no. 4: 135. https://doi.org/10.3390/recycling10040135
APA StyleChen, W., Li, P., Zhang, S., & Chen, Y. (2025). Mass Distribution of Organic Carbon, S-Containing Compounds and Heavy Metals During Flotation of Municipal Solid Waste Incineration Fly Ash. Recycling, 10(4), 135. https://doi.org/10.3390/recycling10040135

