Towards Circularity in Anaerobic Digestion: Methane Yield Enhancement Using Biochar from Co-Pyrolysis of Anaerobic Sludge and Residual Lignocellulosic Biomass
Abstract
1. Introduction
1.1. Opportunities for Circular Management of Pig Farming Waste
1.2. Factors Affecting Methane Production in Anaerobic Digestion
1.3. Catalytic Effect of Biochar on Anaerobic Digestion
1.4. Potential Feedstock for Co-Pyrolysis of APS-Derived Biochar
2. Results and Discussions
2.1. Biochar Physiochemical Properties
2.2. Effect of Biochar Addition on Methane Yield
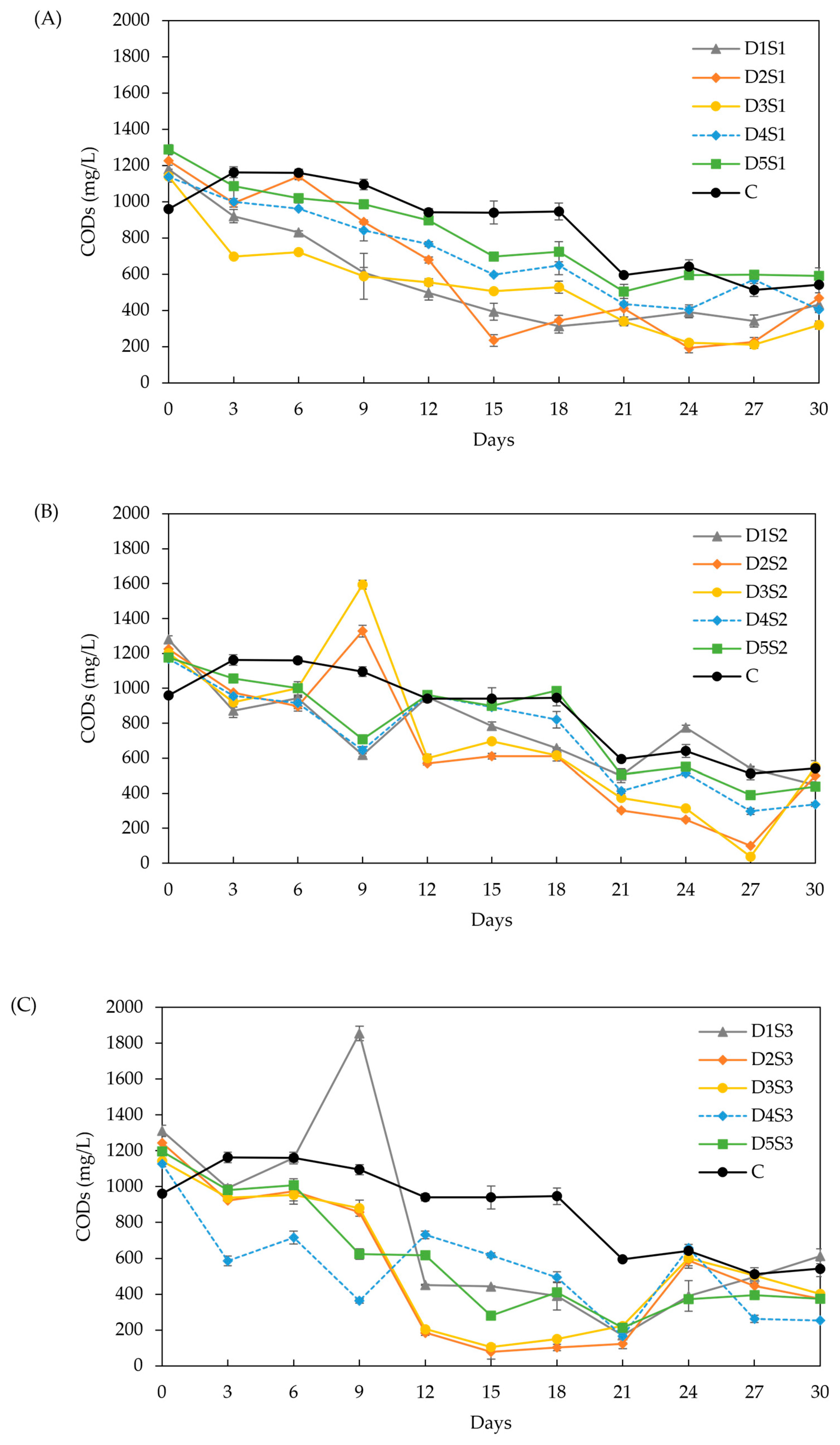
2.3. Effect of Biochar Addition on pH, CODs, and VS
2.4. Effect of Biochar Dose and Particle Size on Methane Yield
2.5. Effect of Biochar Dose and Particle Size on pH, CODs and VS
3. Materials and Methods
3.1. Biochar, Anaerobic Pig Sludge, and Wastewater Obtention
3.2. Anaerobic Digestion Experiments
3.2.1. Variation in the APS Proportion in the Pyrolysis Feedstock
3.2.2. Variation in Biochar Particle Size and Dose
3.3. Analytical Methods
3.3.1. Proximate Analyses, pH, and Electrical Conductivity (EC)
3.3.2. Ultimate Analysis (C, N, S, and H)
3.3.3. Surface Area and Porosity
3.3.4. Heavy Metal Analysis
3.3.5. Liquid Sample Analysis
3.3.6. Volatile Fatty Acids
3.3.7. Methane Content in Biogas
4. Conclusions
Author Contributions
Funding
Data Availability Statement
Acknowledgments
Conflicts of Interest
Abbreviations
| AD | anaerobic digestion |
| APS | anaerobic pig sludge |
| BC | biochar |
| COD | chemical oxygen demand |
| CODs | chemical oxygen-demand soluble fraction |
| KTK | Kon-Tiki kiln |
| S/I | substrate-to-inoculum ratio |
| TS | total solids |
| TSS | total suspended solids |
| VFAs | volatile fatty acids |
| VSs | volatile solids |
| VSSs | volatile suspended solids |
References
- Servicio Nacional de Sanidad-Inocuidad y Calidad Agroalimentaria México, Entre Los Principales Productores y Consumidores de Carne de Cerdo En América Latina y El Mundo. Available online: https://www.gob.mx/senasica/prensa/mexico-entre-los-principales-productores-y-consumidores-de-carne-de-cerdo-en-america-latina-y-el-mundo-313553 (accessed on 26 April 2025).
- Méndez, N.R.; Castillo, B.E.; Vázquez, B.E.; Briceño, P.O.; Coronado, P.V.; Pat, C.R.; Garrico, V.P.; Garrido, V.P. Estimación Del Potencial Contaminante de Las Granjas Porcinas y Avícolas Del Estado de Yucatán Estimation of the Polluting Potential of Poultry and Swine Farms in the State of Yucatan. Ing. Rev. Acad. FI-UADY 2009, 13, 13–21. [Google Scholar]
- Díaz-Vázquez, D.; Alvarado-Cummings, S.C.; Meza-Rodríguez, D.; Senés-Guerrero, C.; de Anda, J.; Gradilla-Hernández, M.S. Evaluation of Biogas Potential from Livestock Manures and Multicriteria Site Selection for Centralized Anaerobic Digester Systems: The Case of Jalisco, Mexico. Sustainability 2020, 12, 3527. [Google Scholar] [CrossRef]
- Ramírez-Islas, M.E.; Güereca, L.P.; Sosa-Rodriguez, F.S.; Cobos-Peralta, M.A. Environmental Assessment of Energy Production from Anaerobic Digestion of Pig Manure at Medium-Scale Using Life Cycle Assessment. Waste Manag. 2020, 102, 85–96. [Google Scholar] [CrossRef]
- Zhang, M.; Li, J.; Wang, Y.; Yang, C. Impacts of Different Biochar Types on the Anaerobic Digestion of Sewage Sludge. RSC Adv. 2019, 9, 42375–42386. [Google Scholar] [CrossRef]
- Parra Huertas, R. Anaerobic Digestión: Biotechnological Mechanisms in Waste Water Treatments and Their Application in Food Industry. Prod. Limpia 2015, 10, 142–159. [Google Scholar] [CrossRef]
- Liu, X.; Meng, Q.; Wu, F.; Zhang, C.; Tan, X.; Wan, C. Enhanced Biogas Production in Anaerobic Digestion of Sludge Medicated by Biochar Prepared from Excess Sludge: Role of Persistent Free Radicals and Electron Mediators. Bioresour. Technol. 2022, 347, 126422. [Google Scholar] [CrossRef] [PubMed]
- González, F.T.; Vallejos, G.G.; Silveira, J.H.; Franco, C.Q.; García, J.; Puigagut, J. Treatment of Swine Wastewater with Subsurface-Flow Constructed Wetlands in Yucatán, Mexico: Infuence of Plant Species and Contact Time. Water Sa 2009, 35, 335–342. [Google Scholar] [CrossRef]
- Senado de la República Mexicana. Gaceta Del Senado; 2019. Available online: https://www.senado.gob.mx/65/gaceta_del_senado/documento/101326 (accessed on 26 April 2025).
- Gobierno de México. Ley General Para La Prevención y Gestión Integral de Los Residuos; 2003, pp. 16–17. Available online: https://www.diputados.gob.mx/LeyesBiblio/pdf/LGPGIR.pdf (accessed on 26 April 2025).
- Brassard, P.; Godbout, S.; Lévesque, V.; Palacios, J.H.; Raghavan, V.; Ahmed, A.; Hogue, R.; Jeanne, T.; Verma, M. Biochar for Soil Amendment. In Char and Carbon Materials Derived from Biomass: Production, Characterization and Applications; Elsevier: Amsterdam, The Netherlands, 2019; pp. 109–146. ISBN 9780128148945. [Google Scholar]
- Chen, W.; Meng, J.; Han, X.; Lan, Y.; Zhang, W. Past, Present, and Future of Biochar. Biochar 2019, 1, 75–87. [Google Scholar] [CrossRef]
- Glaser, B.; Wiedner, K.; Seelig, S.; Schmidt, H.P.; Gerber, H. Biochar Organic Fertilizers from Natural Resources as Substitute for Mineral Fertilizers. Agron. Sustain. Dev. 2015, 35, 667–678. [Google Scholar] [CrossRef]
- Karim, M.R.; Halim, M.A.; Gale, N.V.; Thomas, S.C. Biochar Effects on Soil Physiochemical Properties in Degraded Managed Ecosystems in Northeastern Bangladesh. Soil. Syst. 2020, 4, 69. [Google Scholar] [CrossRef]
- Liu, X.; Luo, J.; Xu, Q.; Lu, Q.; Ni, B.-J.; Wang, D. Roles and Opportunities of Quorum Sensing in Natural and Engineered Anaerobic Digestion Systems. Water Res. 2025, 275, 123190. [Google Scholar] [CrossRef] [PubMed]
- Martins, G.; Salvador, A.F.; Pereira, L.; Alves, M.M. Methane Production and Conductive Materials: A Critical Review. Environ. Sci. Technol. 2018, 52, 10241–10253. [Google Scholar] [CrossRef] [PubMed]
- Xu, J.; Yang, L.; Zhou, X. A Systematical Review of Blackwater Treatment and Resource Recovery: Advance in Technologies and Applications. Resour. Conserv. Recycl. 2023, 197, 107066. [Google Scholar] [CrossRef]
- Zhao, W.; Jeanne Huang, J.; Hua, B.; Huang, Z.; Droste, R.L.; Chen, L.; Wang, B.; Yang, C.; Yang, S. A New Strategy to Recover from Volatile Fatty Acid Inhibition in Anaerobic Digestion by Photosynthetic Bacteria. Bioresour. Technol. 2020, 311, 123501. [Google Scholar] [CrossRef]
- Li, X.; Jin, J.; Zhang, X.; Xu, F.; Zhong, J.; Yin, Z.; Qi, H.; Wang, Z.; Shuai, J. Quantifying the Optimal Strategy of Population Control of Quorum Sensing Network in Escherichia Coli. NPJ Syst. Biol. Appl. 2021, 7, 35. [Google Scholar] [CrossRef]
- Cui, M.-H.; Chen, L.; Zhang, X.-D.; Zhang, Q.; Pan, H.; Liu, L.-Y.; Liu, H.; Wang, A.-J. Recent Advancements on the Migration and Transformation of Hydrophobic Pharmaceutically Active Compounds in Anaerobic Digestion Process. Chem. Eng. J. 2022, 446, 136902. [Google Scholar] [CrossRef]
- Zhao, D.; Yan, B.; Liu, C.; Yao, B.; Luo, L.; Yang, Y.; Liu, L.; Wu, F.; Zhou, Y. Mitigation of Acidogenic Product Inhibition and Elevated Mass Transfer by Biochar during Anaerobic Digestion of Food Waste. Bioresour. Technol. 2021, 338, 125531. [Google Scholar] [CrossRef]
- Zhao, W.; Yang, H.; He, S.; Zhao, Q.; Wei, L. A Review of Biochar in Anaerobic Digestion to Improve Biogas Production: Performances, Mechanisms and Economic Assessments. Bioresour. Technol. 2021, 341, 125797. [Google Scholar] [CrossRef] [PubMed]
- Zhao, W.; Hu, T.; Ma, H.; Li, D.; Zhao, Q.; Jiang, J.; Wei, L. A Review of Microbial Responses to Biochar Addition in Anaerobic Digestion System: Community, Cellular and Genetic Level Findings. Bioresour. Technol. 2024, 391, 129929. [Google Scholar] [CrossRef]
- Sun, Z.; Feng, L.; Li, Y.; Han, Y.; Zhou, H.; Pan, J. The Role of Electrochemical Properties of Biochar to Promote Methane Production in Anaerobic Digestion. J. Clean. Prod. 2022, 362, 132296. [Google Scholar] [CrossRef]
- Zhang, J.; Jiang, Y.; Ding, C.; Wang, S.; Zhao, C.; Yin, W.; Wang, B.; Yang, R.; Wang, X. Remediation of Lead and Cadmium Co-Contaminated Mining Soil by Phosphate-Functionalized Biochar: Performance, Mechanism, and Microbial Response. Chemosphere 2023, 334, 138938. [Google Scholar] [CrossRef] [PubMed]
- Zhang, L.; Li, F.; Tsui, T.-H.; Yoh, K.; Sun, J.; Loh, K.-C.; Wang, C.-H.; Dai, Y.; Tong, Y.W. Microbial Succession Analysis Reveals the Significance of Restoring Functional Microorganisms during Rescue of Failed Anaerobic Digesters by Bioaugmentation of Nano-Biochar-Amended Digestate. Bioresour. Technol. 2022, 352, 127102. [Google Scholar] [CrossRef] [PubMed]
- Guo, Z.; Jalalah, M.; Alsareii, S.A.; Harraz, F.A.; Thakur, N.; Salama, E.-S. Biochar Addition Augmented the Microbial Community and Aided the Digestion of High-Loading Slaughterhouse Waste: Active Enzymes of Bacteria and Archaea. Chemosphere 2022, 309, 136535. [Google Scholar] [CrossRef]
- Li, Q.; Gao, X.; Liu, Y.; Wang, G.; Li, Y.-Y.; Sano, D.; Wang, X.; Chen, R. Biochar and GAC Intensify Anaerobic Phenol Degradation via Distinctive Adsorption and Conductive Properties. J. Hazard. Mater. 2021, 405, 124183. [Google Scholar] [CrossRef]
- Saif, I.; Thakur, N.; Zhang, P.; Zhang, L.; Xing, X.; Yue, J.; Song, Z.; Nan, L.; Yujun, S.; Usman, M.; et al. Biochar Assisted Anaerobic Digestion for Biomethane Production: Microbial Symbiosis and Electron Transfer. J. Environ. Chem. Eng. 2022, 10, 107960. [Google Scholar] [CrossRef]
- Cheng, Q.; De Los Reyes, F.L.; Call, D.F. Amending Anaerobic Bioreactors with Pyrogenic Carbonaceous Materials: The Influence of Material Properties on Methane Generation. Environ. Sci. 2018, 4, 1794–1806. [Google Scholar] [CrossRef]
- Wang, P.; Peng, H.; Adhikari, S.; Higgins, B.; Roy, P.; Dai, W.; Shi, X. Enhancement of Biogas Production from Wastewater Sludge via Anaerobic Digestion Assisted with Biochar Amendment. Bioresour. Technol. 2020, 309, 123368. [Google Scholar] [CrossRef]
- Yang, S.; Chen, Z.; Wen, Q. Impacts of Biochar on Anaerobic Digestion of Swine Manure: Methanogenesis and Antibiotic Resistance Genes Dissemination. Bioresour. Technol. 2021, 324, 124679. [Google Scholar] [CrossRef]
- Herrmann, C.; Sánchez, E.; Schultze, M.; Borja, R. Comparative Effect of Biochar and Activated Carbon Addition on the Mesophilic Anaerobic Digestion of Piggery Waste in Batch Mode. J. Environ. Sci. Health A Tox Hazard. Subst. Environ. Eng. 2021, 56, 946–952. [Google Scholar] [CrossRef]
- Wang, G.; Li, Q.; Gao, X.; Wang, X.C. Synergetic Promotion of Syntrophic Methane Production from Anaerobic Digestion of Complex Organic Wastes by Biochar: Performance and Associated Mechanisms. Bioresour. Technol. 2018, 250, 812–820. [Google Scholar] [CrossRef]
- Zhang, L.; Lim, E.Y.; Loh, K.-C.; Ok, Y.S.; Lee, J.T.E.; Shen, Y.; Wang, C.-H.; Dai, Y.; Tong, Y.W. Biochar Enhanced Thermophilic Anaerobic Digestion of Food Waste: Focusing on Biochar Particle Size, Microbial Community Analysis and Pilot-Scale Application. Energy Convers. Manag. 2020, 209, 112654. [Google Scholar] [CrossRef]
- Sánchez, E.; Herrmann, C.; Maja, W.; Borja, R. Effect of Organic Loading Rate on the Anaerobic Digestion of Swine Waste with Biochar Addition. Environ. Sci. Pollut. Res. 2021, 28, 38455–38465. [Google Scholar] [CrossRef]
- Jiang, B.; Lin, Y.; Lun, Y.; Xu, Z. Optimization of Methane Production in a Swine Manure–Rice Straw Anaerobic Co-Digestion Process with Sycamore Sawdust Biochar Application. Int. J. Environ. Sci. Technol. 2021, 18, 2197–2208. [Google Scholar] [CrossRef]
- Gómez, X.; Meredith, W.; Fernández, C.; Sánchez-García, M.; Díez-Antolínez, R.; Garzón-Santos, J.; Snape, C.E. Evaluating the Effect of Biochar Addition on the Anaerobic Digestion of Swine Manure: Application of Py-GC/MS. Environ. Sci. Pollut. Res. 2018, 25, 25600–25611. [Google Scholar] [CrossRef]
- González-Fernández, C.; García-Encina, P.A. Impact of Substrate to Inoculum Ratio in Anaerobic Digestion of Swine Slurry. Biomass Bioenergy 2009, 33, 1065–1069. [Google Scholar] [CrossRef]
- Luo, C.; Lü, F.; Shao, L.; He, P. Application of Eco-Compatible Biochar in Anaerobic Digestion to Relieve Acid Stress and Promote the Selective Colonization of Functional Microbes. Water Res. 2015, 68, 710–718. [Google Scholar] [CrossRef] [PubMed]
- Pan, J.; Ma, J.; Zhai, L.; Luo, T.; Mei, Z.; Liu, H. Achievements of Biochar Application for Enhanced Anaerobic Digestion: A Review. Bioresour. Technol. 2019, 292, 122058. [Google Scholar] [CrossRef]
- Xiao, L.; Lichtfouse, E.; Kumar, P.S.; Wang, Q.; Liu, F. Biochar Promotes Methane Production during Anaerobic Digestion of Organic Waste. Environ. Chem. Lett. 2021, 19, 3557–3564. [Google Scholar] [CrossRef]
- Brown, A.E.; Adams, J.M.M.; Grasham, O.R.; Camargo-Valero, M.A.; Ross, A.B. An Assessment of Different Integration Strategies of Hydrothermal Carbonisation and Anaerobic Digestion of Water Hyacinth. Energies 2020, 13, 5983. [Google Scholar] [CrossRef]
- Brown, A.E.; Hammerton, J.M.; Camargo-valero, M.A.; Ross, A.B. Integration of Hydrothermal Carbonisation and Anaerobic Digestion for the Energy Valorisation of Grass. Energies 2022, 15, 3495. [Google Scholar] [CrossRef]
- Quintana-Najera, J.; Blacker, A.J.; Fletcher, L.A.; Bray, D.G.; Ross, A.B. The Influence of Biochar Augmentation and Digestion Conditions on the Anaerobic Digestion of Water Hyacinth. Energies 2022, 15, 2524. [Google Scholar] [CrossRef]
- Lü, F.; Luo, C.; Shao, L.; He, P. Biochar Alleviates Combined Stress of Ammonium and Acids by Firstly Enriching Methanosaeta and Then Methanosarcina. Water Res. 2016, 90, 34–43. [Google Scholar] [CrossRef] [PubMed]
- Qiu, L.; Deng, Y.F.; Wang, F.; Davaritouchaee, M.; Yao, Y.Q. A Review on Biochar-Mediated Anaerobic Digestion with Enhanced Methane Recovery. Renew. Sustain. Energy Rev. 2019, 115, 109373. [Google Scholar] [CrossRef]
- Johnravindar, D.; Patria, R.D.; Lee, J.T.E.; Zhang, L.; Tong, Y.W.; Wang, C.H.; Ok, Y.S.; Kaur, G. Syntrophic Interactions in Anaerobic Digestion: How Biochar Properties Affect Them? Sustain. Environ. 2021, 7, 1945282. [Google Scholar] [CrossRef]
- Yin, Q.; Liu, M.; Ren, H. Biochar Produced from the Co-Pyrolysis of Sewage Sludge and Walnut Shell for Ammonium and Phosphate Adsorption from Water. J. Environ. Manag. 2019, 249, 109410. [Google Scholar] [CrossRef]
- Alvarez, J.; Amutio, M.; Lopez, G.; Bilbao, J.; Olazar, M. Fast Co-Pyrolysis of Sewage Sludge and Lignocellulosic Biomass in a Conical Spouted Bed Reactor. Fuel 2015, 159, 810–818. [Google Scholar] [CrossRef]
- Deng, S.; Tan, H.; Wang, X.; Yang, F.; Cao, R.; Wang, Z.; Ruan, R. Investigation on the Fast Co-Pyrolysis of Sewage Sludge with Biomass and the Combustion Reactivity of Residual Char. Bioresour. Technol. 2017, 239, 302–310. [Google Scholar] [CrossRef]
- Huang, H.J.; Yang, T.; Lai, F.Y.; Wu, G. qiang Co-Pyrolysis of Sewage Sludge and Sawdust/Rice Straw for the Production of Biochar. J. Anal. Appl. Pyrolysis 2017, 125, 61–68. [Google Scholar] [CrossRef]
- Zhou, Y.; Qin, S.; Verma, S.; Sar, T.; Sarsaiya, S.; Ravindran, B.; Liu, T.; Sindhu, R.; Patel, A.K.; Binod, P.; et al. Production and Beneficial Impact of Biochar for Environmental Application: A Comprehensive Review. Bioresour. Technol. 2021, 337, 125451. [Google Scholar] [CrossRef] [PubMed]
- Kloss, S.; Zehetner, F.; Dellantonio, A.; Hamid, R.; Ottner, F.; Liedtke, V.; Schwanninger, M.; Gerzabek, M.H.; Soja, G. Characterization of Slow Pyrolysis Biochars: Effects of Feedstocks and Pyrolysis Temperature on Biochar Properties. J. Environ. Qual. 2012, 41, 990–1000. [Google Scholar] [CrossRef] [PubMed]
- Tan, H.; Lee, C.T.; Ong, P.Y.; Wong, K.Y.; Bong, C.P.C.; Li, C.; Gao, Y. A Review On The Comparison Between Slow Pyrolysis And Fast Pyrolysis On The Quality Of Lignocellulosic And Lignin-Based Biochar. IOP Conf. Ser. Mater. Sci. Eng. 2021, 1051, 012075. [Google Scholar] [CrossRef]
- Jung, S.H.; Kim, J.S. Production of Biochars by Intermediate Pyrolysis and Activated Carbons from Oak by Three Activation Methods Using CO2. J. Anal. Appl. Pyrolysis 2014, 107, 116–122. [Google Scholar] [CrossRef]
- Kazawadi, D.; Ntalikwa, J.; Kombe, G. A Review of Intermediate Pyrolysis as a Technology of Biomass Conversion for Coproduction of Biooil and Adsorption Biochar. J. Renew. Energy 2021, 2021, 1–10. [Google Scholar] [CrossRef]
- Cornelissen, G.; Pandit, N.R.; Taylor, P.; Pandit, B.H.; Sparrevik, M.; Schmidt, H.P. Emissions and Char Quality of Flame-Curtain “Kon Tiki” Kilns for Farmer-Scale Charcoal/Biochar Production. PLoS ONE 2016, 11, e0154617. [Google Scholar] [CrossRef] [PubMed]
- Flesch, F.; Berger, P.; Robles-Vargas, D.; Santos-Medrano, G.E.; Rico-Martínez, R. Characterization and Determination of the Toxicological Risk of Biochar Using Invertebrate Toxicity Tests in the State of Aguascalientes, México. Appl. Sci. 2019, 9, 1706. [Google Scholar] [CrossRef]
- Karananidi, P.; Som, A.M.; Loh, S.K.; Bachmann, R.T. Flame Curtain Pyrolysis of Oil Palm Fronds for Potential Acidic Soil Amelioration and Climate Change Mitigation. J. Environ. Chem. Eng. 2020, 8, 103982. [Google Scholar] [CrossRef]
- Pérez Méndez, M.A.; Martínez Hernández, M.R. Manejo Alternativo de Los Residuos de Jardinería. Kuxulkab’ 2015, 14, 5–11. [Google Scholar] [CrossRef]
- Krystosik, A.; Njoroge, G.; Odhiambo, L.; Forsyth, J.E.; Mutuku, F.; LaBeaud, A.D. Solid Wastes Provide Breeding Sites, Burrows, and Food for Biological Disease Vectors, and Urban Zoonotic Reservoirs: A Call to Action for Solutions-Based Research. Front. Public. Health 2020, 7, 405. [Google Scholar] [CrossRef]
- Tauro, R.; Manrique, S.; Franch-Pardo, I.; Charre-Medellin, J.F.; Ortega-Riascos, C.E.; Soria-González, J.A.; Armendáriz-Arnez, C. Spatial Expansion of Avocado in Mexico: Could the Energy Use of Pruning Residues Offset Orchard GHG Emissions? Environ. Dev. Sustain. 2023, 26, 27325–27350. [Google Scholar] [CrossRef]
- Ramírez López, R.P.; Cabañas Vargas, D.; Aguilera-Cauich, E.A.; Sacramento Rivero, J.C. Life Cycle Assessment of Biochar from Residual Lignocellulosic Biomass Using Kon-Tiki Kilns: Applications in Soil Amendment and Wastewater Filtration. Recycling 2024, 9, 125. [Google Scholar] [CrossRef]
- Masebinu, S.O.; Akinlabi, E.T.; Muzenda, E.; Aboyade, A.O. A Review of Biochar Properties and Their Roles in Mitigating Challenges with Anaerobic Digestion. Renew. Sustain. Energy Rev. 2019, 103, 291–307. [Google Scholar] [CrossRef]
- Ambaye, T.G.; Rene, E.R.; Dupont, C.; Wongrod, S.; van Hullebusch, E.D. Anaerobic Digestion of Fruit Waste Mixed With Sewage Sludge Digestate Biochar: Influence on Biomethane Production. Front. Energy Res. 2020, 8, 31. [Google Scholar] [CrossRef]
- Xu, S.; Duan, Y.; Zou, S.; Liu, H.; Luo, L.; Wong, J.W.C. Evaluations of Biochar Amendment on Anaerobic Co-Digestion of Pig Manure and Sewage Sludge: Waste-to-Methane Conversion, Microbial Community, and Antibiotic Resistance Genes. Bioresour. Technol. 2022, 346, 126400. [Google Scholar] [CrossRef] [PubMed]
- Zhang, X.; Mao, X.; Pi, L.; Wu, T.; Hu, Y. Adsorptive and Capacitive Properties of the Activated Carbons Derived from Pig Manure Residues. J. Environ. Chem. Eng. 2019, 7, 103066. [Google Scholar] [CrossRef]
- Lan, W.; Yao, C.; Luo, F.; Jin, Z.; Lu, S.; Li, J.; Wang, X.; Hu, X. Effects of Application of Pig Manure on the Accumulation of Heavy Metals in Rice. Plants 2022, 11, 207. [Google Scholar] [CrossRef] [PubMed]
- Wang, K.; Peng, N.; Lu, G.; Dang, Z. Effects of Pyrolysis Temperature and Holding Time on Physicochemical Properties of Swine-Manure-Derived Biochar. Waste Biomass Valorizat. 2020, 11, 613–624. [Google Scholar] [CrossRef]
- Wang, X.; Deng, S.; Tan, H.; Adeosun, A.; Vujanović, M.; Yang, F.; Duić, N. Synergetic Effect of Sewage Sludge and Biomass Co-Pyrolysis: A Combined Study in Thermogravimetric Analyzer and a Fixed Bed Reactor. Energy Convers. Manag. 2016, 118, 399–405. [Google Scholar] [CrossRef]
- Fagbohungbe, M.O.; Herbert, B.M.J.; Hurst, L.; Li, H.; Usmani, S.Q.; Semple, K.T. Impact of Biochar on the Anaerobic Digestion of Citrus Peel Waste. Bioresour. Technol. 2016, 216, 142–149. [Google Scholar] [CrossRef]
- Yuan, J.; Wen, Y.; Dionysiou, D.D.; Sharma, V.K.; Ma, X. Biochar as a Novel Carbon-Negative Electron Source and Mediator: Electron Exchange Capacity (EEC) and Environmentally Persistent Free Radicals (EPFRs): A Review. Chem. Eng. J. 2022, 429, 132313. [Google Scholar] [CrossRef]
- Qi, Q.; Sun, C.; Zhang, J.; He, Y.; Wah Tong, Y. Internal Enhancement Mechanism of Biochar with Graphene Structure in Anaerobic Digestion: The Bioavailability of Trace Elements and Potential Direct Interspecies Electron Transfer. Chem. Eng. J. 2021, 406, 126833. [Google Scholar] [CrossRef]
- Shi, Y.; Liu, M.; Li, J.; Yao, Y.; Tang, J.; Niu, Q. The Dosage-Effect of Biochar on Anaerobic Digestion under the Suppression of Oily Sludge: Performance Variation, Microbial Community Succession and Potential Detoxification Mechanisms. J. Hazard. Mater. 2022, 421, 126819. [Google Scholar] [CrossRef]
- Husain, A. Mathematical Models of the Kinetics of Anaerobic Digestion—A Selected Review. Biomass Bioenergy 1998, 14, 561–571. [Google Scholar] [CrossRef]
- Sai, Y.W.; Lee, K.M. Enhanced Cellulase Accessibility Using Acid-Based Deep Eutectic Solvent in Pretreatment of Empty Fruit Bunches. Cellulose 2019, 26, 9517–9528. [Google Scholar] [CrossRef]
- Lü, F.; Liu, Y.; Shao, L.; He, P. Powdered Biochar Doubled Microbial Growth in Anaerobic Digestion of Oil. Appl. Energy 2019, 247, 605–614. [Google Scholar] [CrossRef]
- Malyan, S.K.; Kumar, S.S.; Fagodiya, R.K.; Ghosh, P.; Kumar, A.; Singh, R.; Singh, L. Biochar for Environmental Sustainability in the Energy-Water-Agroecosystem Nexus. Renew. Sustain. Energy Rev. 2021, 149, 111379. [Google Scholar] [CrossRef]
- Garzón-Zúñiga, M.A.; Buelna, G. Caracterización de Aguas Residuales Porcinas y Su Tratamiento Por Diferentes Procesos En México. Rev. Int. De Contam. Ambient. 2014, 30, 65–79. [Google Scholar]
- Shen, R.; Jing, Y.; Feng, J.; Luo, J.; Yu, J.; Zhao, L. Performance of Enhanced Anaerobic Digestion with Different Pyrolysis Biochars and Microbial Communities. Bioresour. Technol. 2020, 296, 122354. [Google Scholar] [CrossRef] [PubMed]
- Camps-Arbestain, M.; Shen, Q.; Wang, T.; van Zwieten, L.; Novak, J. Biochar: A Guide to Analytical Methods; CRC Press: Boca Raton, FL, USA, 2017; ISBN 9781486305094. [Google Scholar]
- Greenberg, A.E.; Clescert, L.S.; Eaton, A.D. Standard Methods for the Examination of Water and Watewater; American Public Health Assn: Washington, DC, USA, 1992. [Google Scholar]
- Lizama, A.C.; Figueiras, C.C.; Herrera, R.R.; Pedreguera, A.Z.; Ruiz Espinoza, J.E. Effects of Ultrasonic Pretreatment on the Solubilization and Kinetic Study of Biogas Production from Anaerobic Digestion of Waste Activated Sludge. Int. Biodeterior. Biodegrad. 2017, 123, 1–9. [Google Scholar] [CrossRef]







| Parameter | Slow pyrolysis | Intermediate Pyrolysis | Fast Pyrolysis | Gasification | Kon-Tiki Kiln |
|---|---|---|---|---|---|
| Volatile matter (%) | 7–41 | 15–29 | 11–27 | 19.1–36.26 | 29.05–42.23 |
| Ash (%) | 1.4–9 | 3–14 | 8–12 | 2.05–16.7 | 10.2–45.95 |
| Fixed carbon (%) | 26–91 | 55–65 | 58–75 | 59.8–61.3 | 8.82–48.36 |
| C (%) | 45–85 | 65–85 | 63–89 | 62.7–71.7 | 39.08–80 |
| H (%) | 0.3–7 | 0.5–4 | 0.3–4 | 1.79–4.37 | 1.09–2.48 |
| N (%) | 0.2–3 | 0.1–3 | 0.5–5 | 0.03–2.68 | 0.54–1.73 |
| O (%) | 0.2–19 | 2.2–23 | 0.2–24 | 24–34.1 | 6.7–17.33 |
| pH | 6–12 | 8–9.6 | 7–11 | 10.39–12.04 | 8.7–10.37 |
| Surface area (m2/g) | 0.4–370 | 100–250 | 15–110 | 2.22–369.3 | 33.31–258 |
| Pyrolysis temperature range (°C) | 300–700 | 400–650 | 600–1000 | >500 | 680–750 |
| Sample | |||
|---|---|---|---|
| Parameter | 100 | 75 | 50 |
| Moisture content (%) | 3.78 ± 0.24 a | 2.51 ± 0.17 b | 2.08 ± 0.23 b |
| Volatile matter (%) | 29.05 ± 0.53 a | 40.05 ± 0.25 b | 45.23 ± 0.35 c |
| Ash (%) | 29.35 ± 0.21 a | 39.86 ± 0.43 b | 45.95 ± 0.25 c |
| Fixed carbon (%) | 41.65 ± 0.43 a | 20.09 ± 0.14 b | 8.82 ± 0.56 c |
| N (%) | 0.63 ± 0.05 a | 1.42 ± 0.06 b | 1.73 ± 0.11 c |
| C (%) | 41.98 ± 0.55 a | 39.08 ± 3.30 b | 44.61 ± 1.05 a |
| H (%) | 1.09 ± 0.08 a | 1.30 ± 0.16 a | 1.39 ± 0.43 a |
| S (%) | 0.26 ± 0.01 a | 1.13 ± 0.01 b | 0.58 ± 0.01 c |
| O (%) | 15.41 ± 0.57 a | 12.53 ± 0.13 b | 13.48 ± 0.61 c |
| pH | 10.37 ± 0.23 a | 9.95 ± 0.36 b | 8.75 ± 0.41 c |
| EC (µS) | 1252.5 ± 43.6 a | 1056 ± 27.78 b | 1040 ± 68.61 b |
| Surface area (m2/g) | 73.61 ± 7.76 a | 68.83 ± 4.32 a | 33.31 ± 3.54 b |
| Metal | Sample 100 | Sample 75 | Sample 50 | IBI Limits |
|---|---|---|---|---|
| As | 42.36 ± 6.89 a | 41.71 ± 4.51 a | 30.58 ± 2.87 b | 13–100 |
| Cd | n.d. | n.d. | n.d. | 1.4–39 |
| Co | n.d. | n.d. | n.d. | - |
| Cr | 6.21 ± 0.51 a | 13.08 ± 0.51 b | 12.75 ± 0.23 b | 93–1200 |
| Cu | 286.23 ± 3.61 a | 1632.85 ± 5.76 b | 1646.59 ± 5.63 c | 143–6000 |
| Fe | 6751 ± 123 a | 6859 ± 159 b | 7432 ± 183 c | - |
| Mn | 272 ± 5.92 a | 321 ± 7.33 b | 409 ± 6.28 c | - |
| Ni | n.d. | n.d. | n.d. | 47–420 |
| Pb | 29.77 ± 4.08 a | 29.11 ± 8.91 a | 24.53 ± 5.96 a | 121–300 |
| Tl | n.d. | n.d. | n.d. | - |
| Zn | 264.81 ± 4.57 a | 169.77 ± 1.38 b | 234.71 ± 1.14 c | 416–7400 |
| Physiochemical Properties | Units | Inoculum | Substrate | Substrate Reference Range [80] |
|---|---|---|---|---|
| Total solids (TS) | g/L | 12.86 ± 3.22 | 19.15 ± 0.21 | - |
| Volatile solids (VSs) | g/L | 7.77 ± 2.24 | 11.59 ± 0.76 | - |
| Total suspended solids (TSS) | g/L | 11.41 ± 3.65 | 16.81 ± 2.41 | 19.94–22.10 |
| Volatile suspended solids (VSSs) | g/L | 10.45 ± 2.31 | 15.4 ± 1.98 | 1.65–11.79 |
| Chemical oxygen demand (COD) | mg/L | 5326 ± 14.96 | 7989 ± 19.23 | 6419–25,205 |
| COD soluble fraction (CODs) | mg/L | 168 ± 14.31 | 489 ± 16.83 | - |
| pH | - | 7.56 ± 0.27 | 6.83 ± 0.39 | 6.94–7.17 |
Disclaimer/Publisher’s Note: The statements, opinions and data contained in all publications are solely those of the individual author(s) and contributor(s) and not of MDPI and/or the editor(s). MDPI and/or the editor(s) disclaim responsibility for any injury to people or property resulting from any ideas, methods, instructions or products referred to in the content. |
© 2025 by the authors. Licensee MDPI, Basel, Switzerland. This article is an open access article distributed under the terms and conditions of the Creative Commons Attribution (CC BY) license (https://creativecommons.org/licenses/by/4.0/).
Share and Cite
Díaz Lara, C.O.; Cabañas Vargas, D.; Sacramento Rivero, J.C.; Baz-Rodríguez, S.; Ruiz Espinoza, J.E.; Aguilera-Cauich, E.A.; Baas-López, J.M.; Pacheco-Catalán, D.E. Towards Circularity in Anaerobic Digestion: Methane Yield Enhancement Using Biochar from Co-Pyrolysis of Anaerobic Sludge and Residual Lignocellulosic Biomass. Recycling 2025, 10, 84. https://doi.org/10.3390/recycling10030084
Díaz Lara CO, Cabañas Vargas D, Sacramento Rivero JC, Baz-Rodríguez S, Ruiz Espinoza JE, Aguilera-Cauich EA, Baas-López JM, Pacheco-Catalán DE. Towards Circularity in Anaerobic Digestion: Methane Yield Enhancement Using Biochar from Co-Pyrolysis of Anaerobic Sludge and Residual Lignocellulosic Biomass. Recycling. 2025; 10(3):84. https://doi.org/10.3390/recycling10030084
Chicago/Turabian StyleDíaz Lara, César Omar, Diana Cabañas Vargas, Julio César Sacramento Rivero, Sergio Baz-Rodríguez, Juan Enrique Ruiz Espinoza, Erick Alberto Aguilera-Cauich, José Martín Baas-López, and Daniella E. Pacheco-Catalán. 2025. "Towards Circularity in Anaerobic Digestion: Methane Yield Enhancement Using Biochar from Co-Pyrolysis of Anaerobic Sludge and Residual Lignocellulosic Biomass" Recycling 10, no. 3: 84. https://doi.org/10.3390/recycling10030084
APA StyleDíaz Lara, C. O., Cabañas Vargas, D., Sacramento Rivero, J. C., Baz-Rodríguez, S., Ruiz Espinoza, J. E., Aguilera-Cauich, E. A., Baas-López, J. M., & Pacheco-Catalán, D. E. (2025). Towards Circularity in Anaerobic Digestion: Methane Yield Enhancement Using Biochar from Co-Pyrolysis of Anaerobic Sludge and Residual Lignocellulosic Biomass. Recycling, 10(3), 84. https://doi.org/10.3390/recycling10030084

