Recycling Cork/PLA Bio-Composites Through Dissolution–Precipitation Method
Abstract
1. Introduction
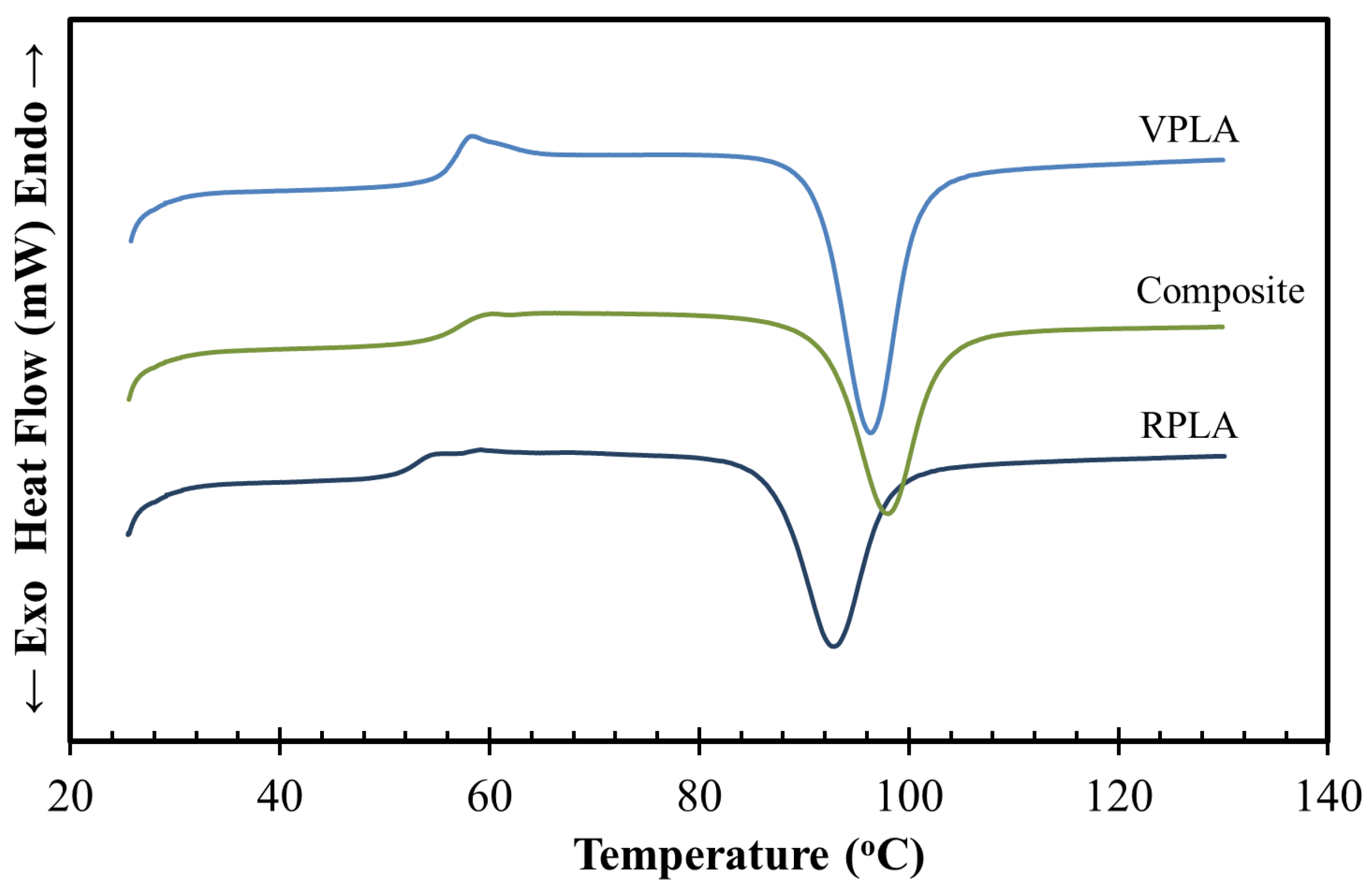
2. Results
3. Materials and Methods
3.1. Materials
3.2. Production of Composites
3.3. Recycling of Composites
3.4. Characterization
4. Conclusions
Author Contributions
Funding
Data Availability Statement
Conflicts of Interest
References
- Thakur, V.K. Lignocellulosic Polymer Composites: Processing, Characterization, and Properties; Wiley & Sons: Beverly, CA, USA, 2014. [Google Scholar]
- Yoon, H.; Yoon, B.; Cho, S.-H.; Oh, T.; Suhr, J. Plasticizing Effect of Depolymerized Suberin Derivatives from Natural Cork and Potato Periderm in Poly (Lactic Acid) (PLA) for Improved Toughness and Processability. Ind. Crops Prod. 2024, 209, 117990. [Google Scholar] [CrossRef]
- Moutinho, L.G.; Soares, E.; Oliveira, M. Development of Bio-Based Expanded Cork Polymer Composites (ECPC) with Poly (Lactic Acid) (PLA). Mater. Sci. Eng. B 2023, 298, 116873. [Google Scholar] [CrossRef]
- Rezaieyan, E.; Taban, E.; Berardi, U.; Mortazavi, S.B.; Faridan, M.; Mahmoudi, E. Acoustic Properties of Natural Fiber Reinforced Composite Micro-Perforated Panel (NFRC-MPP) Made from Cork Fiber and Polylactic Acid (PLA) Using 3D Printing. J. Build. Eng. 2024, 84, 108491. [Google Scholar] [CrossRef]
- Ghonjizade-Samani, F.; Haurie, L.; Malet, R.; Realinho, V. Study of Using Cork Powder as an Adjuvant Bio-Flame Retardant in Acrylonitrile-Butadiene-Styrene Flame Retardant Formulations. Polym. Degrad. Stab. 2024, 225, 110825. [Google Scholar] [CrossRef]
- Alves, Z.; Carvalheiras, J.; Senff, L.; Lacasta, A.M.; Cantalapiedra, I.R.; Labrincha, J.A.; Novais, R.M. A Comparison between the Use of Cork and Synthetic Aggregates in the Production of Geopolymer Composites. Constr. Build. Mater. 2024, 438, 137147. [Google Scholar] [CrossRef]
- Gallos, A.; Paës, G.; Allais, F.; Beaugrand, J. Lignocellulosic Fibers: A Critical Review of the Extrusion Process for Enhancement of the Properties of Natural Fiber Composites. RSC Adv. 2017, 7, 34638. [Google Scholar] [CrossRef]
- Thakur, V.K.; Thakur, M.K.; Kessler, M.R. Handbook of Composites from Renewable Materials; John Wiley & Sons, Inc.: Hoboken, NJ, USA, 2017. [Google Scholar]
- Monteiro, S.N.; Lopes, F.P.D.; Barbosa, A.P.; Bevitori, A.B.; Silva, I.L.A.D.; Costa, L.L.D. Natural Lignocellulosic Fibers as Engineering Materials—An Overview. Metall. Mater. Trans. A 2011, 42, 2963–2974. [Google Scholar] [CrossRef]
- Gandini, A.; Pascoal Neto, C.; Silvestre, A.J.D. Suberin: A Promising Renewable Resource for Novel Macromolecular Materials. Prog. Polym. Sci. 2006, 31, 878–892. [Google Scholar] [CrossRef]
- Svetlana, P.; Toussaint, B.; Santoni, P.A.; Yann, Q. Valorization of Virgin Cork by the Design of Cork-Plaster Composites. Inorg. Chem. Commun. 2024, 161, 111782. [Google Scholar] [CrossRef]
- Gil, L. Cork Composites: A Review. Materials 2009, 2, 776–789. [Google Scholar] [CrossRef]
- European Environment Agency. Global Bio-Based Plastics Production. 2024. Available online: https://www.eea.europa.eu/en/circularity/sectoral-modules/plastics/global-bio-based-plastics-production-capacity (accessed on 10 January 2025).
- Nofar, M.; Sacligil, D.; Carreau, P.J.; Kamal, M.R.; Heuzey, M.-C. Poly (Lactic Acid) Blends: Processing, Properties and Applications. Int. J. Biol. Macromol. 2019, 15, 307–360. [Google Scholar]
- Lasprilla, A.J.R.; Martinez, G.A.R.; Lunelli, B.H.; Jardini, A.L.; Filho, R.M. Poly-Lactic Acid Synthesis for Application in Biomedical Devices—A Review. Biotechnol. Adv. 2012, 30, 321–328. [Google Scholar] [CrossRef] [PubMed]
- Yang, Y.; Boom, R.; Irion, B.; van Heerden, D.-J.; Kuiper, P.; de Wit, H. Recycling of Composite Materials. Chem. Eng. Process. Process Intensif. 2012, 51, 53–68. [Google Scholar] [CrossRef]
- Utekar, S.; Suriya, V.K.; More, N.; Rao, A. Comprehensive Study of Recycling of Thermosetting Polymer Composites—Driving Force, Challenges and Methods. Compos. B Eng. 2021, 207, 108596. [Google Scholar] [CrossRef]
- Ateeq, M.; Akbar, A.; Shafique, M. Advancing Circular Economy: Comparative Analysis of Recycled and Virgin Carbon Fiber 3D Printed Composites on Performance and Eco-Efficiency. Polymer 2025, 317, 127865. [Google Scholar] [CrossRef]
- Zhao, Y.B.; Lv, X.D.; Ni, H.G. Solvent-Based Separation and Recycling of Waste Plastics: A Review. Chemosphere 2018, 209, 707–720. [Google Scholar] [CrossRef]
- Chaudhari, U.S.; Kulas, D.G.; Peralta, A.; Hossain, T.; Johnson, A.T.; Hartley, D.S.; Handler, R.M.; Reck, B.K.; Thompson, V.S.; Watkins, D.W.; et al. Solvent Based Dissolution–Precipitation of Waste Polyethylene Terephthalate: Economic and Environmental Performance Metrics. RSC Sustain. 2023, 1, 1849–1860. [Google Scholar] [CrossRef]
- Kannan, P.; Lakshmanan, G.; Al Shoaibi, A.; Srinivasakannan, C. Polymer Recovery through Selective Dissolution of Co-Mingled Post-Consumer Waste Plastics. Prog. Rubber Plast. Recycl. Technol. 2017, 33, 75–84. [Google Scholar] [CrossRef]
- Amorim Cork Cork Recycling. Available online: https://www.amorimcork.com/en/sustainability/recycling/ (accessed on 14 January 2025).
- ReCORK Cork Recycling. Available online: https://recork.com/us/ (accessed on 14 January 2025).
- del Carmen Munguía-López, A.; Göreke, D.; Sánchez-Rivera, K.L.; Aguirre-Villegas, H.A.; Avraamidou, S.; Huber, G.W.; Zavala, V.M. Quantifying the Environmental Benefits of a Solvent-Based Separation Process for Multilayer Plastic Films. Green Chem. 2023, 25, 1611–1625. [Google Scholar] [CrossRef]
- Li, T.; Theodosopoulos, G.; Lovell, C.; Loukodimou, A.; Maniam, K.K.; Paul, S. Progress in Solvent-Based Recycling of Polymers from Multilayer Packaging. Polymers 2024, 16, 1670. [Google Scholar] [CrossRef]
- Gama, N.; Ferreira, A.; Evtuguin, D.; Barros-Timmons, A. Modified Cork/SEBS Composites for 3D Printed Elastomers. Polym. Adv. Technol. 2022, 33, 1881–1891. [Google Scholar] [CrossRef]
- Simões, R.; Neiva, D.M.; Miranda, I.; Pereira, H. Chemical Depolymerization of Cork Suberin with Hydrothermal Processes. Ind. Crops Prod. 2024, 208, 117902. [Google Scholar] [CrossRef]
- Gama, N.; Godinho, B.; Barros-Timmons, A.; Ferreira, A. PU/Lignocellulosic Composites Produced from Recycled Raw Materials. J. Polym. Environ. 2022, 30, 194–205. [Google Scholar] [CrossRef]
- Lacerda, P.S.S.; Gama, N.; Freire, C.S.R.; Silvestre, A.J.D.; Barros-Timmons, A. Grafting Poly (Methyl Methacrylate) (PMMA) from Cork via Atom Transfer Radical Polymerization (ATRP) towards Higher Quality of Three-Dimensional (3D) Printed PMMA/Cork-g-PMMA Materials. Polymers 2020, 12, 1867. [Google Scholar] [CrossRef]
- Şen, A.; Marques, A.V.; Gominho, J.; Pereira, H. Study of Thermochemical Treatments of Cork in the 150–400 °C Range Using Colour Analysis and FTIR Spectroscopy. Ind. Crops Prod. 2012, 38, 132–138. [Google Scholar] [CrossRef]
- Fernandes, E.M.; Aroso, I.M.; Mano, J.F.; Covas, J.A.; Reis, R.L. Functionalized Cork-Polymer Composites (CPC) by Reactive Extrusion Using Suberin and Lignin from Cork as Coupling Agents. Compos. B Eng. 2014, 67, 371–380. [Google Scholar] [CrossRef]
- Fang, H.; Zhang, L.; Chen, A.; Wu, F. Improvement of Mechanical Property for PLA/TPU Blend by Adding PLA-TPU Copolymers Prepared via In Situ Ring-Opening Polymerization. Polymers 2022, 14, 1530. [Google Scholar] [CrossRef]
- Mofokeng, J.P.; Luyt, A.S.; Tábi, T.; Kovács, J. Comparison of Injection Moulded, Natural Fibre-Reinforced Composites with PP and PLA as Matrices. J. Thermoplast. Compos. Mater. 2012, 25, 927–948. [Google Scholar] [CrossRef]
- Lopes, M.H.; Neto, C.P.; Barros, A.S.; Rutledge, D.; Delgadillo, I.; Gil, A.M. Quantitation of Aliphatic Suberin in Quercus suber L. Cork by FTIR Spectroscopy and Solid-state 13C-NMR Spectroscopy. Biopolymers 2000, 57, 344–351. [Google Scholar] [CrossRef]
- Allais, F.; Raquez, J.M.; Grelier, S.; Milotskyi, R.; Szabó, L.; Takahashi, K.; Bliard, C. Chemical Modification of Plasticized Lignins Using Reactive Extrusion. Front. Chem. 2019, 7, 633. [Google Scholar]
- Tornabene, F.; Fabijá, M. Properties of Composites Based on Polylactide Filled with Cork Filler. J. Compos. Sci. 2024, 8, 185. [Google Scholar] [CrossRef]
- Martins, C.I.; Gil, V. Processing–Structure–Properties of Cork Polymer Composites. Front. Mater. 2020, 7, 572353. [Google Scholar] [CrossRef]
- Daver, F.; Lee, K.P.M.; Brandt, M.; Shanks, R. Cork–PLA Composite Filaments for Fused Deposition Modelling. Compos. Sci. Technol. 2018, 168, 230–237. [Google Scholar] [CrossRef]
- Teixeira, S.S.; Gama, N.; Cordeiro, T.; Barros-Timmons, A.; Dionísio, M.; Graça, M.P.F.; Costa, L.C. Poly (l-Lactic Acid)/Lithium Ferrite Composites: Electrical Properties. Polymer 2021, 230, 124100. [Google Scholar] [CrossRef]
- Wang, J.; He, Q.; Huang, S.; Cheng, Y.; Li, H.; Chen, D. Mechanical Recycling and Performance Characterisation of Insert-Injection Moulded Homo-Polypropylene Single-Polymer Composites and Foams. Compos. Commun. 2025, 53, 102176. [Google Scholar] [CrossRef]
- Mazur, K.E.; Borucka, A.; Kaczor, P.; Gądek, S.; Bogucki, R.; Mirzewiński, D.; Kuciel, S. Mechanical, Thermal and Microstructural Characteristic of 3D Printed Polylactide Composites with Natural Fibers: Wood, Bamboo and Cork. J. Polym. Environ. 2022, 30, 2341–2354. [Google Scholar] [CrossRef]
- Chaitanya, S.; Singh, I.; Song, J. Il Recyclability Analysis of PLA/Sisal Fiber Biocomposites. Compos. B Eng. 2019, 173, 106895. [Google Scholar] [CrossRef]
- Di Donato, P.; Taurisano, V.; Poli, A.; Gomez d’Ayala, G.; Nicolaus, B.; Malinconinco, M.; Santagata, G. Vegetable Wastes Derived Polysaccharides as Natural Eco-Friendly Plasticizers of Sodium Alginate. Carbohydr. Polym. 2020, 229, 115427. [Google Scholar] [CrossRef]
- Vilela, C.; Sousa, A.F.; Freire, C.S.R.; Silvestre, A.J.D.; Neto, C.P. Novel Sustainable Composites Prepared from Cork Residues and Biopolymers. Biomass Bioenergy 2013, 55, 148–155. [Google Scholar] [CrossRef]
- Gama, N.; Ferreira, A.; Evtuguin, D.V. New Poly (Lactic Acid) Composites Produced from Coffee Beverage Wastes. J. Appl. Polym. Sci. 2022, 139, 51434. [Google Scholar] [CrossRef]





| Sample | Young’s Modulus (MPa) | Elongation at Break (%) | Tg (°C) | Tcrist (°C) |
|---|---|---|---|---|
| VPLA | 884.4 ± 52.2 | 46.1 ± 0.8 | 57.1 | 96.3 |
| Composite | 490.3 ± 35.4 | 29.4 ± 1.5 | 56.9 | 98.0 |
| RPLA | 826.0 ± 78.5 | 50.8 ± 1.4 | 53.2 | 92.8 |
Disclaimer/Publisher’s Note: The statements, opinions and data contained in all publications are solely those of the individual author(s) and contributor(s) and not of MDPI and/or the editor(s). MDPI and/or the editor(s) disclaim responsibility for any injury to people or property resulting from any ideas, methods, instructions or products referred to in the content. |
© 2025 by the authors. Licensee MDPI, Basel, Switzerland. This article is an open access article distributed under the terms and conditions of the Creative Commons Attribution (CC BY) license (https://creativecommons.org/licenses/by/4.0/).
Share and Cite
Gama, N.; Godinho, B.; Barros-Timmons, A.; Ferreira, A. Recycling Cork/PLA Bio-Composites Through Dissolution–Precipitation Method. Recycling 2025, 10, 13. https://doi.org/10.3390/recycling10010013
Gama N, Godinho B, Barros-Timmons A, Ferreira A. Recycling Cork/PLA Bio-Composites Through Dissolution–Precipitation Method. Recycling. 2025; 10(1):13. https://doi.org/10.3390/recycling10010013
Chicago/Turabian StyleGama, Nuno, Bruno Godinho, Ana Barros-Timmons, and Artur Ferreira. 2025. "Recycling Cork/PLA Bio-Composites Through Dissolution–Precipitation Method" Recycling 10, no. 1: 13. https://doi.org/10.3390/recycling10010013
APA StyleGama, N., Godinho, B., Barros-Timmons, A., & Ferreira, A. (2025). Recycling Cork/PLA Bio-Composites Through Dissolution–Precipitation Method. Recycling, 10(1), 13. https://doi.org/10.3390/recycling10010013

