High-Energy and High-Power Primary Li-CFx Batteries Enabled by the Combined Effects of the Binder and the Electrolyte
Abstract
1. Introduction
2. Materials and Methods
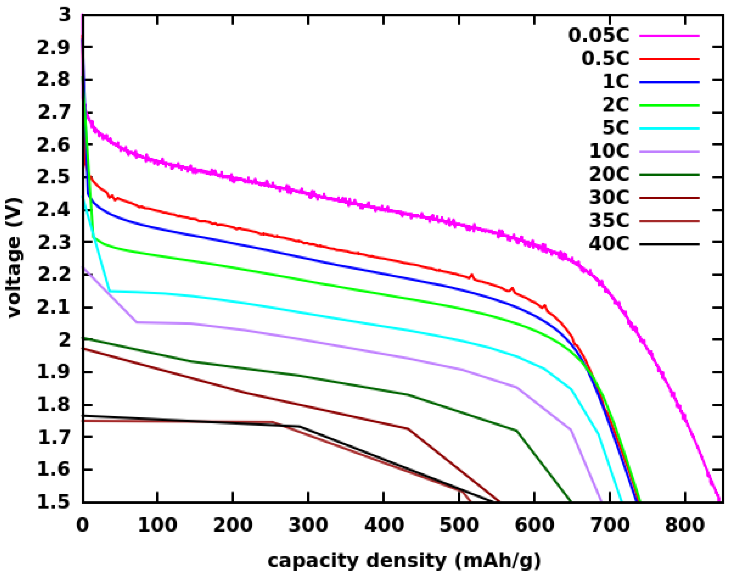
3. Results and Discussion
4. Conclusions
Author Contributions
Funding
Data Availability Statement
Acknowledgments
Conflicts of Interest
References
- Trahey, L.; Brushett, F.R.; Balsara, N.P.; Ceder, G.; Cheng, L.; Chiang, Y.M.; Hahn, N.T.; Ingram, B.J.; Minteer, S.D.; Moore, J.S.; et al. Energy storage emerging: A perspective from the Joint Center for Energy Storage Research. Proc. Natl. Acad. Sci. USA 2020, 117, 12550–12557. [Google Scholar] [CrossRef]
- Yang, X.G.; Liu, T.; Ge, S.; Rountree, E.; Wang, C.Y. Challenges and key requirements of batteries for electric vertical takeoff and landing aircraft. Joule 2021, 5, 1644–1659. [Google Scholar] [CrossRef]
- Bills, A.; Sripad, S.; Fredericks, W.L.; Singh, M.; Viswanathan, V. Performance metrics required of next-generation batteries to electrify commercial aircraft. ACS Energy Lett. 2020, 5, 663–668. [Google Scholar] [CrossRef]
- Krause, F.; Ruiz, J.; Jones, S.; Brandon, E.; Darcy, E.; Iannello, C.; Bugga, R. Performance of commercial Li-ion cells for future NASA missions and aerospace applications. J. Electrochem. Soc. 2021, 168, 040504. [Google Scholar] [CrossRef]
- Krause, F.C.; Jones, J.P.; Jones, S.C.; Pasalic, J.; Billings, K.J.; West, W.C.; Smart, M.C.; Bugga, R.V.; Brandon, E.J.; Destephen, M. High specific energy lithium primary batteries as power sources for deep space exploration. J. Electrochem. Soc. 2018, 165, A2312. [Google Scholar] [CrossRef]
- Ndzebet, E.; Destephen, M.; Zhang, D.; Darch, D. High Power and High Rate Li/CFx-MnO2 Pouch Cell Hybrid Technology. In Proceedings of the 48th Power Sources Conference, Denver, CO, USA, 11–14 June 2018; pp. 558–561. [Google Scholar]
- Greatbatch, W.; Holmes, C.; Takeuchi, E.; Ebel, S. Lithium/carbon monofluoride (Li/CFx): A new pacemaker battery. Pacing Clin. Electrophysiol. 1996, 19, 1836–1840. [Google Scholar] [CrossRef]
- Ruff, O.; Bretschneider, O. Die Reaktionsprodukte der verschiedenen Kohlenstoffformen mit Fluor II (Kohlenstoff-monofluorid). Z. Anorg. Allg. Chem. 1934, 217, 1–18. [Google Scholar] [CrossRef]
- Rüdorff, W.; Rüdorff, G. Zur Konstitution des Kohlenstoff-Monofluorids. Z. Anorg. Chem. 1947, 253, 281–296. [Google Scholar] [CrossRef]
- Watanabe, N.; Fukuda, M. Primary Cell for Electric Batteries. U.S. Patent 3,536,532, 27 October 1970. [Google Scholar]
- Watanabe, K.; Fukuda, M. High Energy Density Battery. U.S. Patent 3,700,502, 24 October 1972. [Google Scholar]
- Fukuda, M.; Iijima, T.; Toyoguchi, Y. Active Material for Positive Electrode of Battery. U.S. Patent 4,271,242, 2 June 1981. [Google Scholar]
- Sharma, N.; Dubois, M.; Guérin, K.; Pischedda, V.; Radescu, S. Fluorinated (Nano) Carbons: CFx Electrodes and CFx-Based Batteries. Energy Technol. 2021, 9, 2000605. [Google Scholar] [CrossRef]
- Ahmad, Y.; Batisse, N.; Chen, X.; Dubois, M. Preparation and Applications of Fluorinated Graphenes. C 2021, 7, 20. [Google Scholar] [CrossRef]
- Wang, D.; Wang, G.; Zhang, M.; Cui, Y.; Yu, J.; Shi, S. Composite cathode materials for next-generation lithium fluorinated carbon primary batteries. J. Power Sources 2022, 541, 231716. [Google Scholar] [CrossRef]
- Groult, H.; Tressaud, A. Use of inorganic fluorinated materials in lithium batteries and in energy conversion systems. Chem. Commun. 2018, 54, 11375–11382. [Google Scholar] [CrossRef] [PubMed]
- Zhang, Q.; Takeuchi, K.J.; Takeuchi, E.S.; Marschilok, A.C. Progress towards high-power Li/CF x batteries: Electrode architectures using carbon nanotubes with CF x. Phys. Chem. Chem. Phys. 2015, 17, 22504–22518. [Google Scholar] [CrossRef] [PubMed]
- Chen, P.; Jiang, C.; Jiang, J.; Zou, J.; Ran, Q.; Wang, X.; Niu, X.; Wang, L. Fluorinated Carbons as Rechargeable Li-Ion Battery Cathodes in the Voltage Window of 0.5–4.8 V. ACS Appl. Mater. Interfaces 2021, 13, 30576–30582. [Google Scholar] [CrossRef]
- Liu, W.; Li, H.; Xie, J.Y.; Fu, Z.W. Rechargeable room-temperature CF x-sodium battery. ACS Appl. Mater. Interfaces 2014, 6, 2209–2212. [Google Scholar] [CrossRef]
- Whittingham, M.S. Mechanism of reduction of the fluorographite cathode. J. Electrochem. Soc. 1975, 122, 526. [Google Scholar] [CrossRef]
- Watanabe, N.; Nakajima, T.; Hagiwara, R. Discharge reaction and overpotential of the graphite fluoride cathode in a nonaqueous lithium cell. J. Power Sources 1987, 20, 87–92. [Google Scholar] [CrossRef]
- Watanabe, N.; Hagiwara, R.; Nakajima, T.; Touhara, H.; Ueno, K. Solvents effects on electrochemical characteristics of graphite fluoride—lithium batteries. Electrochim. Acta 1982, 27, 1615–1619. [Google Scholar] [CrossRef]
- Jang, B.Z.; Liu, C.; Neff, D.; Yu, Z.; Wang, M.C.; Xiong, W.; Zhamu, A. Graphene surface-enabled lithium ion-exchanging cells: Next-generation high-power energy storage devices. Nano Lett. 2011, 11, 3785–3791. [Google Scholar] [CrossRef]
- Liu, C.; Zhamu, A.; Neff, D.; Jang, B.Z. Lithium Super-Battery with a Functionalized Nano Graphene Cathode. U.S. Patent 8,795,899, 5 August 2014. [Google Scholar]
- Kim, H.; Park, K.Y.; Hong, J.; Kang, K. All-graphene-battery: Bridging the gap between supercapacitors and lithium ion batteries. Sci. Rep. 2014, 4, 5278. [Google Scholar] [CrossRef]
- Kim, H.; Park, Y.U.; Park, K.Y.; Lim, H.D.; Hong, J.; Kang, K. Novel transition-metal-free cathode for high energy and power sodium rechargeable batteries. Nano Energy 2014, 4, 97–104. [Google Scholar] [CrossRef]
- Kornilov, D.; Penki, T.R.; Cheglakov, A.; Aurbach, D. Li/graphene oxide primary battery system and mechanism. Battery Energy 2022, 1, 20210002. [Google Scholar] [CrossRef]
- Zhang, S.S.; Foster, D.; Wolfenstine, J.; Read, J. Electrochemical characteristic and discharge mechanism of a primary Li/CFx cell. J. Power Sources 2009, 187, 233–237. [Google Scholar] [CrossRef]
- Sayahpour, B.; Hirsh, H.; Bai, S.; Schorr, N.B.; Lambert, T.N.; Mayer, M.; Bao, W.; Cheng, D.; Zhang, M.; Leung, K.; et al. Revisiting discharge mechanism of CFx as a high energy density cathode material for lithium primary battery. Adv. Energy Mater. 2022, 12, 2103196. [Google Scholar] [CrossRef]
- Yazami, R.; Hamwi, A.; Guérin, K.; Ozawa, Y.; Dubois, M.; Giraudet, J.; Masin, F. Fluorinated carbon nanofibres for high energy and high power densities primary lithium batteries. Electrochem. Commun. 2007, 9, 1850–1855. [Google Scholar] [CrossRef]
- Lam, P.; Yazami, R. Physical characteristics and rate performance of (CFx) n (0.33 < × < 0.66) in lithium batteries. J. Power Sources 2006, 153, 354–359. [Google Scholar]
- Luo, Z.; Wang, X.; Chen, D.; Chang, Q.; Xie, S.; Ma, Z.; Lei, W.; Pan, J.; Pan, Y.; Huang, J. Ultrafast Li/fluorinated graphene primary batteries with high energy density and power density. ACS Appl. Mater. Interfaces 2021, 13, 18809–18820. [Google Scholar] [CrossRef] [PubMed]
- Dai, Y.; Cai, S.; Wu, L.; Yang, W.; Xie, J.; Wen, W.; Zheng, J.C.; Zhu, Y. Surface modified CFx cathode material for ultrafast discharge and high energy density. J. Mater. Chem. A 2014, 2, 20896–20901. [Google Scholar] [CrossRef]
- Peng, C.; Kong, L.; Li, Y.; Fu, H.; Sun, L.; Feng, Y.; Feng, W. Fluorinated graphene nanoribbons from unzipped single-walled carbon nanotubes for ultrahigh energy density lithium-fluorinated carbon batteries. Sci. China Mater. 2021, 64, 1367–1377. [Google Scholar] [CrossRef]
- Jiang, S.; Huang, P.; Lu, J.; Liu, Z. The electrochemical performance of fluorinated ketjenblack as a cathode for lithium/fluorinated carbon batteries. RSC Adv. 2021, 11, 25461–25470. [Google Scholar] [CrossRef]
- Wang, K.; Feng, Y.; Kong, L.; Peng, C.; Hu, Y.; Li, W.; Li, Y.; Feng, W. The fluorination of boron-doped graphene for CFx cathode with ultrahigh energy density. Energy Environ. Mater. 2022, e12437. [Google Scholar] [CrossRef]
- Li, Q.; Xue, W.; Sun, X.; Yu, X.; Li, H.; Chen, L. Gaseous electrolyte additive BF3 for high-power Li/CFx primary batteries. Energy Storage Mater. 2021, 38, 482–488. [Google Scholar] [CrossRef]
- Rangasamy, E.; Li, J.; Sahu, G.; Dudney, N.; Liang, C. Pushing the theoretical limit of Li-CF x batteries: A tale of bifunctional electrolyte. J. Am. Chem. Soc. 2014, 136, 6874–6877. [Google Scholar] [CrossRef] [PubMed]
- Jones, S.C.; Hossain, S. Polymer Materials as Binder for a CFx Cathode. U.S. Patent Application 13/010,431, 28 July 2011. [Google Scholar]
- Németh, K. Materials design by quantum-chemical and other theoretical/computational means: Applications to energy storage and photoemissive materials. Int. J. Quantum Chem. 2014, 114, 1031–1035. [Google Scholar] [CrossRef]
- Zhang, F.; Németh, K.; Bareño, J.; Dogan, F.; Bloom, I.D.; Shaw, L.L. Experimental and theoretical investigations of functionalized boron nitride as electrode materials for Li-ion batteries. RSC Adv. 2016, 6, 27901–27914. [Google Scholar] [CrossRef]
- Németh, K. Simultaneous oxygen and boron trifluoride functionalization of hexagonal boron nitride: A designer cathode material for energy storage. Theor. Chem. Accounts 2018, 137, 157. [Google Scholar] [CrossRef]
- Németh, K. Radical anion functionalization of two-dimensional materials as a means of engineering simultaneously high electronic and ionic conductivity solids. Nanotechnology 2021, 32, 245709. [Google Scholar] [CrossRef]
- Nemeth, K. Functionalized Boron Nitride Materials as Electroactive Species in Electrochemical Energy Storage Devices. U.S. Patent 10,693,137, 23 June 2020. [Google Scholar]
- Nemeth, K. Radical Anion Functionalization of Two-Dimensional Materials. U.S. Patent 11,453,596 B2, 7 September 2022. [Google Scholar]
- Marshall, J.E.; Zhenova, A.; Roberts, S.; Petchey, T.; Zhu, P.; Dancer, C.E.; McElroy, C.R.; Kendrick, E.; Goodship, V. On the solubility and stability of polyvinylidene fluoride. Polymers 2021, 13, 1354. [Google Scholar] [CrossRef]
- Zor, C.; Subaşı, Y.; Haciu, D.; Somer, M.; Afyon, S. Guide to water free lithium bis (oxalate) borate (LiBOB). J. Phys. Chem. C 2021, 125, 11310–11317. [Google Scholar] [CrossRef]
- Zhang, M.; Ma, Y.; Zhu, Y.; Che, J.; Xiao, Y. Two-dimensional transparent hydrophobic coating based on liquid-phase exfoliated graphene fluoride. Carbon 2013, 63, 149–156. [Google Scholar] [CrossRef]
- Zeng, X.; Peng, Y.; Yu, M.; Lang, H.; Cao, X.; Zou, K. Dynamic sliding enhancement on the friction and adhesion of graphene, graphene oxide, and fluorinated graphene. ACS Appl. Mater. Interfaces 2018, 10, 8214–8224. [Google Scholar] [CrossRef] [PubMed]
- Huo, H. High Energy High Power Primary Lithium Batteries with Graphite Fluoride and Functionalized Boron Nitride Cathodes. Master’s Thesis, Illinois Institute of Technology, Chicago, IL, USA, 2022. [Google Scholar]
- Tatagari, V.R. A Functionalized 2D Boron Nitride Electrode for Rechargeable Batteries. Master’s Thesis, Illinois Institute of Technology, Chicago, IL, USA, 2021. [Google Scholar]
- Li, Y.Y.; Liu, C.; Chen, L.; Wu, X.Z.; Zhou, P.F.; Shen, X.Y.; Zhou, J. Multi-layered fluorinated graphene cathode materials for lithium and sodium primary batteries. Rare Metals 2022, 42, 940–953. [Google Scholar] [CrossRef]
- Zhao, Q.; Liu, X.; Zheng, J.; Deng, Y.; Warren, A.; Zhang, Q.; Archer, L. Designing electrolytes with polymerlike glass-forming properties and fast ion transport at low temperatures. Proc. Natl. Acad. Sci. USA 2020, 117, 26053–26060. [Google Scholar] [CrossRef] [PubMed]
- Ma, L.; Kim, M.S.; Archer, L.A. Stable artificial solid electrolyte interphases for lithium batteries. Chem. Mater. 2017, 29, 4181–4189. [Google Scholar] [CrossRef]
- Bai, L.; Xu, Y.; Liu, A.; Dong, L.; Zhang, K.; Li, W.S.; Zhao, F.G. Unusual graphite fluoride hydrolysis toward unconventional graphene oxide for high-performance supercapacitors and Li-ion batteries. Chem. Eng. J. 2022, 434, 134639. [Google Scholar] [CrossRef]
- Bakandritsos, A.; Pykal, M.; Błoński, P.; Jakubec, P.; Chronopoulos, D.D.; Poláková, K.; Georgakilas, V.; Čépe, K.; Tomanec, O.; Ranc, V.; et al. Cyanographene and graphene acid: Emerging derivatives enabling high-yield and selective functionalization of graphene. ACS Nano 2017, 11, 2982–2991. [Google Scholar] [CrossRef]
- Siedle, A.; Losovyj, Y.; Stein, B.D.; Pink, M.; Werner-Zwanziger, U. Cyanographite. J. Phys. Chem. C 2022, 126, 3001–3008. [Google Scholar] [CrossRef]
- Pang, C.; Ding, F.; Sun, W.; Liu, J.; Hao, M.; Wang, Y.; Liu, X.; Xu, Q. A novel dimethyl sulfoxide/1,3-dioxolane based electrolyte for lithium/carbon fluorides batteries with a high discharge voltage plateau. Electrochim. Acta 2015, 174, 230–237. [Google Scholar] [CrossRef]
- Watanabe, M.; Kanba, M.; Nagaoka, K.; Shinohara, I. Ionic conductivity of hybrid films composed of polyacrylonitrile, ethylene carbonate, and LiClO4. J. Polym. Sci. Polym. Phys. Ed. 1983, 21, 939–948. [Google Scholar] [CrossRef]
- Chen, H.; Lin, F.; Chen, C. Polyacrylonitrile electrolytes 1. A novel high-conductivity composite polymer electrolyte based on PAN, LiClO4 and a-Al2O3. Solid State Ionics 2002, 150, 327–335. [Google Scholar] [CrossRef]
- Wong, C.Y.; Kennepohl, D.K.; Cavell, R.G. Neutral six-coordinate phosphorus. Chem. Rev. 1996, 96, 1917–1952. [Google Scholar] [CrossRef]
- Amereller, M.; Multerer, M.; Schreiner, C.; Lodermeyer, J.; Schmid, A.; Barthel, J.; Gores, H.J. Investigation of the hydrolysis of lithium bis [1,2-oxalato (2-)-O, O’] borate (LiBOB) in water and acetonitrile by conductivity and NMR measurements in comparison to some other borates. J. Chem. Eng. Data 2009, 54, 468–471. [Google Scholar] [CrossRef]
- Wei, Y.; Shi, M. Recent Advances in Organocatalytic Asymmetric Morita–Baylis–Hillman/aza-Morita–Baylis–Hillman Reactions. Chem. Rev. 2013, 113, 6659–6690. [Google Scholar] [CrossRef] [PubMed]
- De Yoreo, J.J.; Vekilov, P.G. Principles of crystal nucleation and growth. Rev. Mineral. Geochem. 2003, 54, 57–93. [Google Scholar] [CrossRef]
- Vekilov, P.G. The two-step mechanism of nucleation of crystals in solution. Nanoscale 2010, 2, 2346–2357. [Google Scholar] [CrossRef]
- Chung, T.C.; Schlesinger, Y.; Etemad, S.; Macdiarmid, A.; Heeger, A. Optical studies of pyrolyzed polyacrylonitrile. J. Polym. Sci. Polym. Phys. Ed. 1984, 22, 1239–1246. [Google Scholar] [CrossRef]













| Group | Ultrasonication of CF | Thickness | Binder | Electrolyte | ||
|---|---|---|---|---|---|---|
| ID | Solvent | Additive | (m) | Salt | Solvent | |
| H293 | EtOH | - | 100 | PAN | LiBF | PC:DME:DOL |
| H314 | EtOH | - | 250 | PAN | LiBF | PC:DME:DOL |
| H214 | EtOH | - | 100 | PVDF | LiBF | PC:DME:DOL |
| H321 | EtOH | - | 250 | PVDF | LiBF | PC:DME:DOL |
| H366 | EtOH | - | 100 | PAN | LiPF | PC:DME:DOL |
| H371 | EtOH | - | 100 | PAN | LiClO | PC:DME:DOL |
| H429 | EtOH | - | 100 | PAN | LiBOB | PC:DME:DOL |
| H101 | FB·OEt | - | 100 | PVDF | LiBF | PC:DME:DOL |
| H274 | FB·OEt | LiOX·BF | 100 | PAN | LiBF | PC:DME:DOL |
| H304 | no ultrasonication | 100 | PAN | LiBF | PC:DME:DOL | |
| H179 | FB·OEt | LiOX·BF | 100 | PAN | LiBF | DMSO:DOL |
| H387 | EtOH | - | 100 | PVDF | LiBF | EC:DMC |
Disclaimer/Publisher’s Note: The statements, opinions and data contained in all publications are solely those of the individual author(s) and contributor(s) and not of MDPI and/or the editor(s). MDPI and/or the editor(s) disclaim responsibility for any injury to people or property resulting from any ideas, methods, instructions or products referred to in the content. |
© 2023 by the authors. Licensee MDPI, Basel, Switzerland. This article is an open access article distributed under the terms and conditions of the Creative Commons Attribution (CC BY) license (https://creativecommons.org/licenses/by/4.0/).
Share and Cite
Huo, H.; Radhakrishnan, S.; Shaw, L.L.; Németh, K. High-Energy and High-Power Primary Li-CFx Batteries Enabled by the Combined Effects of the Binder and the Electrolyte. Batteries 2023, 9, 268. https://doi.org/10.3390/batteries9050268
Huo H, Radhakrishnan S, Shaw LL, Németh K. High-Energy and High-Power Primary Li-CFx Batteries Enabled by the Combined Effects of the Binder and the Electrolyte. Batteries. 2023; 9(5):268. https://doi.org/10.3390/batteries9050268
Chicago/Turabian StyleHuo, Haobin, Sivaviswa Radhakrishnan, Leon L. Shaw, and Károly Németh. 2023. "High-Energy and High-Power Primary Li-CFx Batteries Enabled by the Combined Effects of the Binder and the Electrolyte" Batteries 9, no. 5: 268. https://doi.org/10.3390/batteries9050268
APA StyleHuo, H., Radhakrishnan, S., Shaw, L. L., & Németh, K. (2023). High-Energy and High-Power Primary Li-CFx Batteries Enabled by the Combined Effects of the Binder and the Electrolyte. Batteries, 9(5), 268. https://doi.org/10.3390/batteries9050268

