Abstract
In this paper, the methods used to enhance the conductivity of LiBH4, a potential electrolyte for the construction of solid-state batteries, are summarized. Since this electrolyte becomes conductive at temperatures above 380 K due to a phase change, numerous studies have been conducted to lower the temperature at which the hydride becomes conductive. An increase in conductivity at lower temperatures has generally been obtained by adding a second component that can increase the mobility of the lithium ion. In some cases, conductivities at room temperature, such as those exhibited by the liquid electrolytes used in current lithium-ion batteries, have been achieved. With these modified electrolytes, both lithium metal and lithium-ion cells have also been constructed, the performances of which are reported in the paper. In some cases, cells characterized by a high capacity and rate capability have been developed. Although it is still necessary to confirm the stability of the devices, especially in terms of cyclability, LiBH4-based doped electrolytes could be employed to produce solid-state lithium or lithium-ion batteries susceptible to industrial development.
1. Introduction
Lithium-ion batteries have made possible a technological leap in the electrification process due to their superior efficiency compared to other types of batteries [1,2,3,4]. A further step in the electrification process could be represented by the production of solid-state batteries. In fact, these batteries could have higher safety and stability than current organic liquid electrolyte batteries [5]. The focal point in the development of a solid-state battery is the solid-state electrolyte (SSE). In fact, the SSE must ensure high ionic conductivity and, simultaneously, must be stable with both the anode and the cathode of the battery. Despite the large number of SSEs that have been studied, they can be grouped into three main categories: solid inorganic electrolytes (both ceramic or glass) [6,7,8], solid polymer electrolytes [9,10], and their hybrids [11,12]. Among them, ceramic/glass materials have proven to be good conductors for lithium ions. These include crystalline [13,14] or glass [15] sulfide, oxides [16], halides [17], and a mixture of metal oxide/metal halides [18,19]. One of the problems that arises due to the use of the ceramic oxide system as an electrolyte in alkaline batteries is correlated to the high resistance of the grain boundary [20]. In fact, these SSEs are manufactured starting from the particles of the respective materials through a hot or cold pressure process. Therefore, their ionic conductivities are usually far lower than those of their bulk phase counterparts [21]. This significant decrease in conductivity is precisely linked to the numerous grain boundaries that are created during the preparation process, which greatly hinder the transfer of lithium ions [22]. This is a common problem for all SSEs, as ion transfer processes typically occur through a short distance hopping mechanism [23]. Furthermore, the SSE can react with the cathode [24] or the anode [25], and this leads to instability in the battery performance. These issues have prompted further efforts to search for a new solid-state electrolytic system.
During their studies on the process of the dehydriding of LiBH4 by microwave irradiation, Japanese researchers lead by Orimo found that at 380 K, this material undergoes a reversible phase change from orthorhombic to hexagonal. This phase change is followed by an increase in the conductivity of the material, resulting in a rapid acceleration of the dehydriding rate [26]. Permittivity measurements allowed to understand that LiBH4 in the orthorhombic phase is an insulator, while it becomes thermally conductive in the hexagonal phase. This allows the hexagonal phase to be heated rapidly, facilitating its dehydriding. Furthermore, since a covalent bond holds hydrogen and boron together to form the borohydride anion whose charge is stabilized by the lithium ion, it has been hypothesized that Li+ and not H+ is responsible for the rise in conductivity. This intuition prompted the investigation of LiBH4 as an ionic conductor for lithium ions.
In the past, LiBH4 has been used for different applications. LiBH4 was first synthesized in 1940 by Schlesinger and Brown with the aim of finding new volatile compounds of uranium of low molecular weight for isotopic purification [27]. They first prepared LiBH4 from diborane B2H6 [28] and subsequently extended this procedure in the synthesis of the borohydride of sodium and that of potassium [29]. In addition to their normal use as reducing agents in organic chemistry [30,31], alkali metal borohydrides have found application for hydrogen storage [32,33] because of their extremely high gravimetric hydrogen capacities [34]. The unexpected increase in the thermal conductivity observed in the hexagonal LiBH4 opened a new field of applications for this material as an ionic conductor for lithium ions. Indeed, the ionic conductivity measures have shown that, for temperatures above 380 K, this compound has an electric conductivity like that of liquid electrolytes [35]. The discovery of the high electric conductivity of LiBH4 has opened the field to numerous studies on the conduction properties of various borohydrides and the mixture of these with other compounds to increase their ionic conductivity [36]. In this review, the main results obtained in relation to using borohydride-based materials as SSEs for alkali metal batteries are reported.
2. Solid-State Electrolytes
In the original work of Orimo [35], the conductivity of LiBH4 was measured before and after the phase change. For both phases, the frequency response in the impedance graphs shows the presence of a single arc. This means that the response deriving from the electrode/electrolyte interface and that relating to the grain boundary are both absent. The resistance measured at 337 K, i.e., before the phase transition temperature, was over 6000 ohms. After increasing the temperature to 391 K, the resistance dropped to only 170 ohms. The electrical conductivity calculated for the hexagonal phase was 10−3 S cm−1, which is like that of the liquid electrolytes used in current lithium-ion batteries measured at ambient temperature. For both phases, the temperature dependencies of the electrical conductivity showed a typical Arrhenius behavior. The calculated activation energies were 0.69 and 0.53 eV for the orthorhombic and hexagonal phases, respectively. 7Li NMRs produced conductivity data that showed a good agreement with the electrical conductivity measured by impedance spectroscopy, confirming that the high electrical conductivity originates from the fast Li ion motion. The 1H and 11B nuclear magnetic resonance spectra were used to investigate the rotational movement of BH4 tetrahedra in LiBH4 [37]. It was observed that the low temperature phase (orthorhombic) presents the coexistence of two kinds of rotary movement of BH4 tetrahedra, with two distinct activation energies. The jump rates of reorientation, for both types of motion, have values of about 1011 s−1. The LiBH4 phase change from orthorhombic to hexagonal, which occurs at a high temperature, leads to a large increase in the spin lattice relaxation time. A further low frequency fluctuation process is observed in the high temperature phase, and both the relaxation rates of the 1H and 11B spin lattice are governed by a characteristic rate of four orders of magnitude lower (107 s−1) than the orthorhombic phase, probably due to the translational spread of the Li ions.
Numerous studies have been conducted to try to decrease the temperature at which the phase transition occurs. To stabilize the room-temperature hexagonal phase of LiBH4, lithium halides [38], lithium sulfide/phosphorous sulfide [39], and lithium chloride/phosphorous sulfide [40] were added to the hydride. Carbon and silicon-based materials such as fullerene [41,42], silicon oxide [43,44,45], and mesoporous silica [46,47], which were eventually added with lithium iodide [48,49], were also employed. Low molecular weight molecules including water [50] and ammonia [51,52,53], which were eventually added with silicon oxide [54], lithium amide [55,56], ammonia borane [57], mono-methylamine [58], oxygen [59], magnesium oxide [60], lithium tetrafluoro borate [61], and lithium thiophosphate [62] were also used to increase the conductivity of the hydride at lower temperatures.
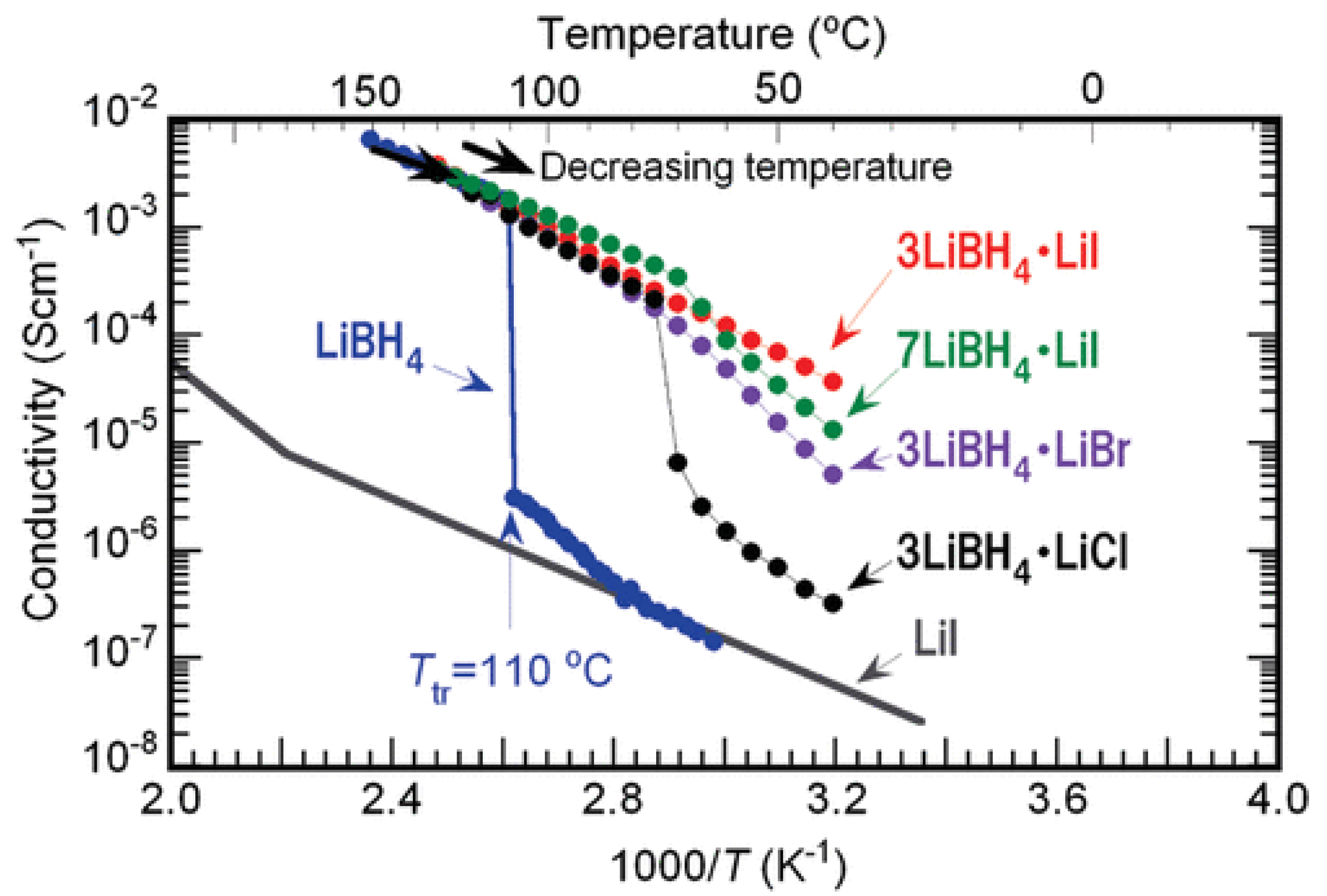
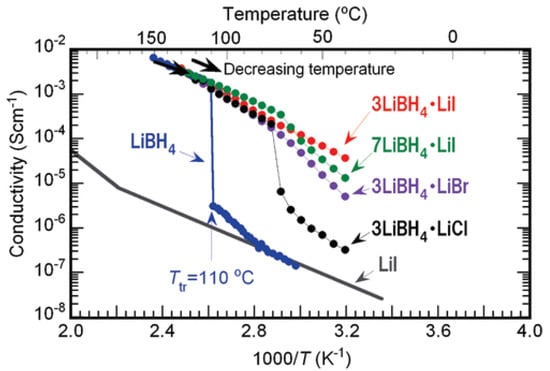
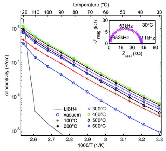
It has been found that the addition of lithium halides resulted in a substantial decrease in the transition temperature [38]. Among all halides, the LiI-doped one showed the most significant decrease in the transition temperature. For this sample, a conductivity of 1.0 × 10−3 S cm−1 was calculated at 50 °C (Figure 1). Both NMR and XRD showed room-temperature stabilization of the superionic phase for LiI-doped LiBH4.
Figure 1.
Specific conductivities of pure or doped with lithium halides LiBH4 obtained by AC impedance as a function of temperature. Reproduced with permission from ref. [38]. Copyright 2009 American Chemical Society.
To improve the conduction properties of P2S5-Li2S glasses, it has been hypothesized to add LiBH4 to the sulfide-based electrolytes [39]. The conductivity of the glasses was observed to increase with raising the LiBH4 amount. A conductivity as high as 1.6 × 10−3 S cm−1 was exhibited by the sample containing 33 mol% LiBH4. The study on LiBH4-P2S5-LiCl composites showed that this material undergoes amorphization at 60 °C, accompanied by an increase in Li+ conduction [40]. The ionic conductivity of the optimized borohydride-sulfide-halide system is approximately 10−3 S cm−1 at ambient temperature. Furthermore, the activation energy for ion migration is low. This makes it suitable for building solid-state batteries that operate near room temperature.
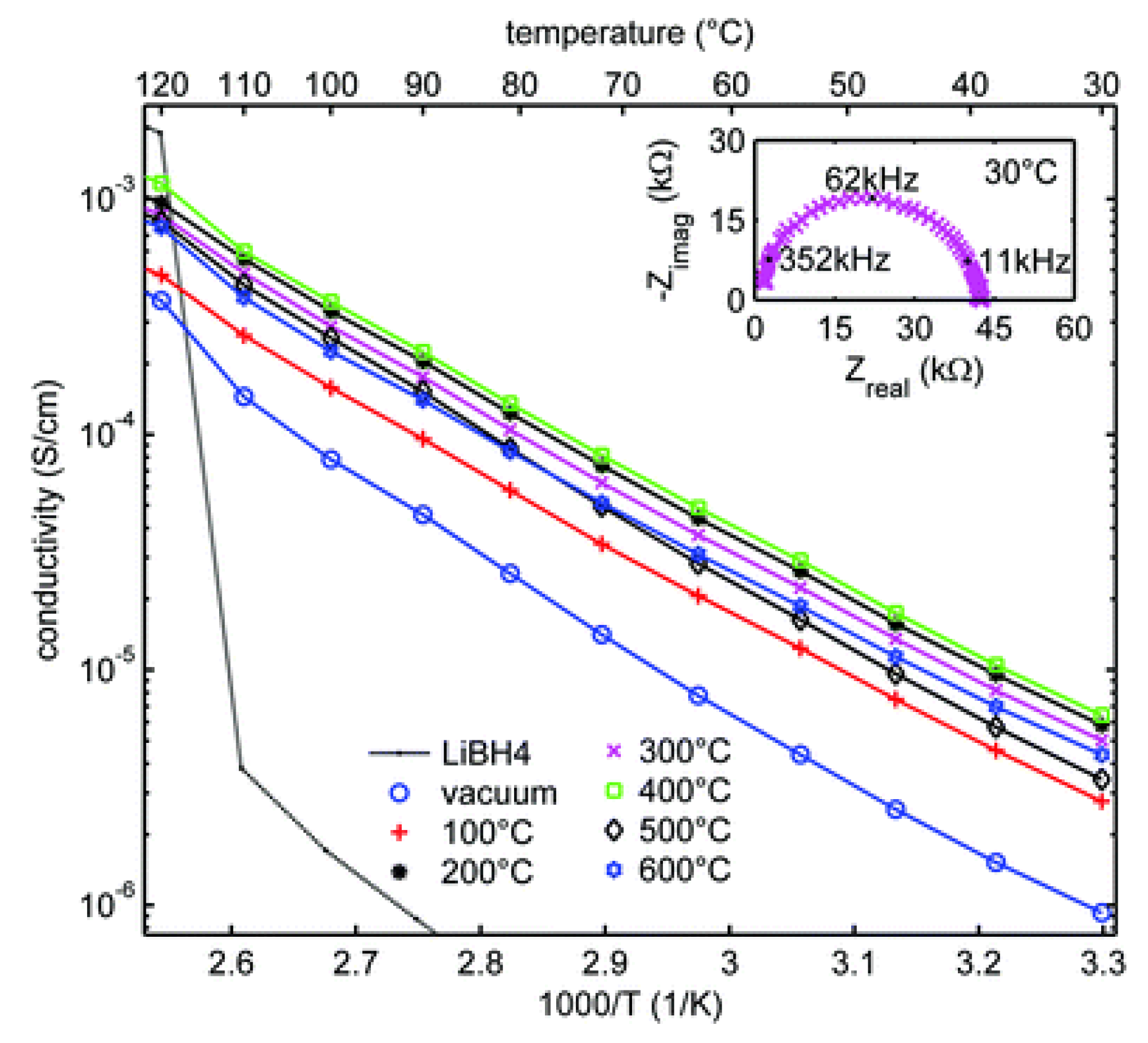
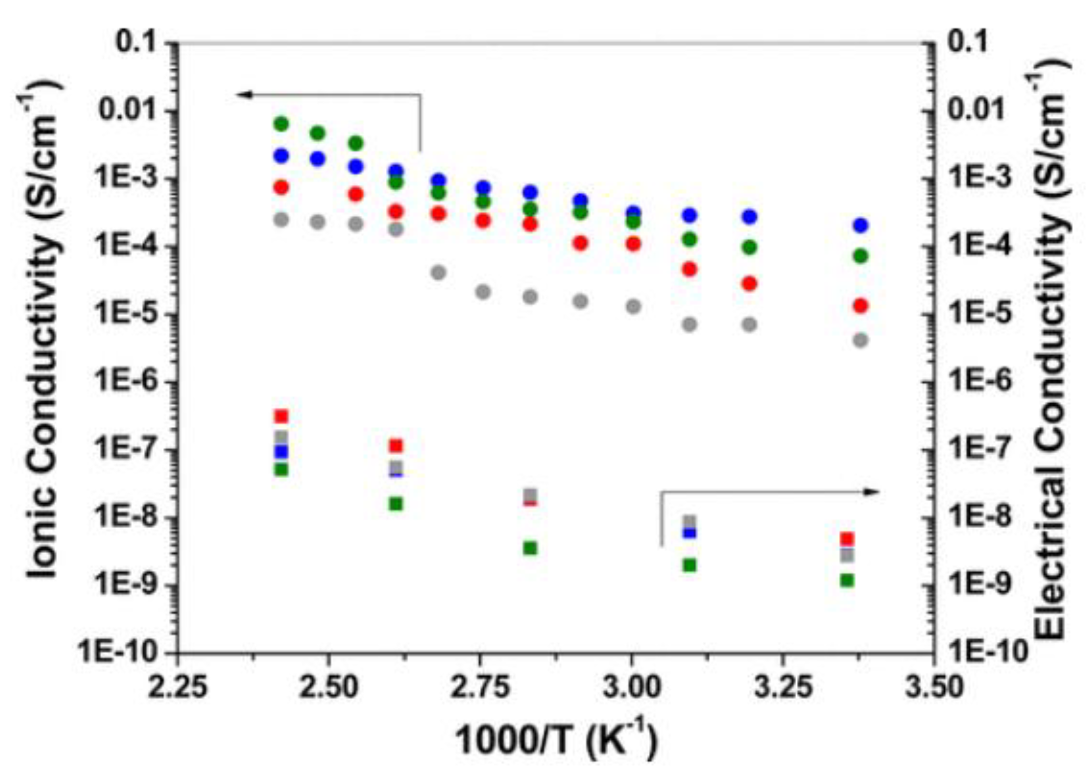
Moreover, the addition of fullerene significantly enhances the conductivity of LiBH4. The mobility of the lithium ions was further increased after thermal annealing reached a value comparable to that observed for the lithium halides. A lithium ionic conductivity of 2.0 × 10−5 S cm−1 at 25 °C that increased up to 2.0 × 10−3 S cm−1 at 140 °C was observed in an annealed sample containing 30 wt.% of fullerenes [41] (Figure 2). The improvement of the ionic conductivity of fullerene-added LiBH4 was also achieved through a partial dehydrogenation achieved by heating [42].
Figure 2.
Electrical (▇) and ionic (●) conductivity measurements of the LiBH4:C60 nanocomposites. Red—LiBH4:C60 (70:30) as prepared; blue—LiBH4:C60 (70:30) annealed at 300 °C; gray—LiBH4:C60 (50:50) as prepared; green—LiBH4:C60 (50:50) annealed at 300 °C. Reproduced with permission from ref. [41]. Copyright 2021 American Chemical Society.
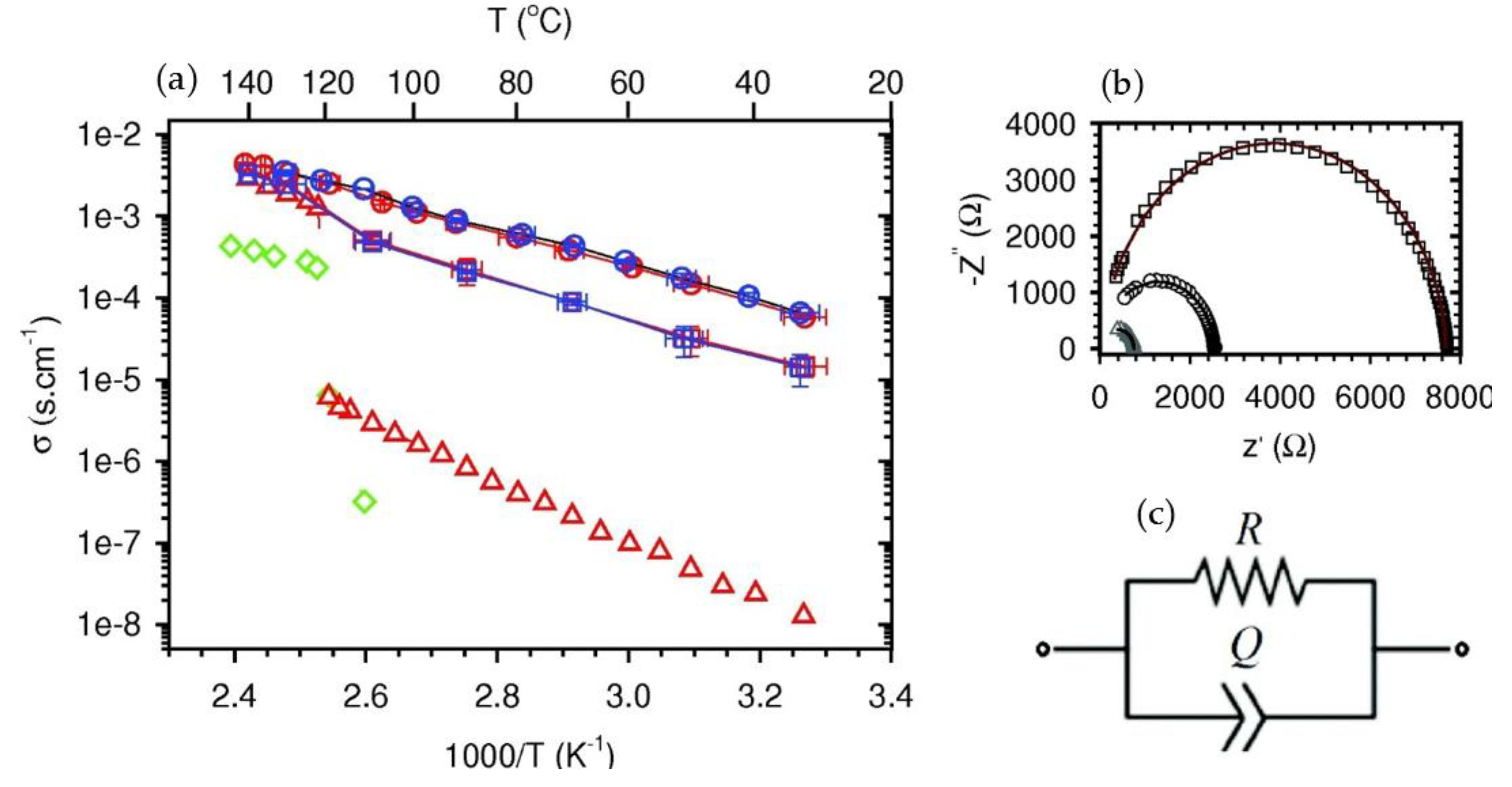
Even more impressive was the effect on the structural phase transition, Li ion mobility, and ionic conductivity of the nanoconfinement of LiBH4 in ordered mesoporous SiO2 scaffolds. At 40 °C, the conductivity of the composite was 1.20 × 10−4 cm−1, with a three-order-of-magnitude increase when compared to the pristine LiBH4 at the same temperature [43] (Figure 3).
Figure 3.
(a) Temperature dependence of ionic conductivity of SiO2-LiBH4 nanocomposites and pristine LiBH4. All nanocomposites contained 42 wt.% LiBH4, but the degrees of pores filling are different. Red triangles: pristine LiBH4, circles, and squares: sample melt-infiltrated, green diamonds: physical-mixture, (b) Nyquist plot obtained for the impedance measurements at various temperatures (squares: 30 °C, circles: 50 °C, triangles: 80 °C). (c) equivalent circuit used to fit the electrochemical impedance spectroscopy data. Reproduced with permission from ref. [43]. Copyright 2015 Wiley.
The 7Li and 11B spectra of LiBH4 contained in orderly porous silica (pore size MCM-41: 1.9 nm) showed, in addition to the bulk-like resonance of LiBH4, a narrower additional part [44]. Above T = 313 K, this part showed a typical J-coupling pattern in both 11B and 1H spectra. The observed J-coupling pattern can be traced back to the presence of highly mobile BH4- species. Static measurements have confirmed that the BH4- mobility in LiBH4 is greatly improved by nanoconfinement. At the same time, there is a significant enhancement in the mobility of Li+. These J-coupling patterns due to highly mobile species can also be observed in the molten LiBH4. This means that nanoconfinement strongly enhances the mobility of borohydride anions in LiBH4. By decreasing the temperature, the J-coupling pattern vanishes due to the reduction in mobility. Since the narrowing of the line already occurs far below the phase transition temperature and far below the melting point of LiBH4, it follows that nanoconfinement can stabilize the high-temperature phase already at room temperature.
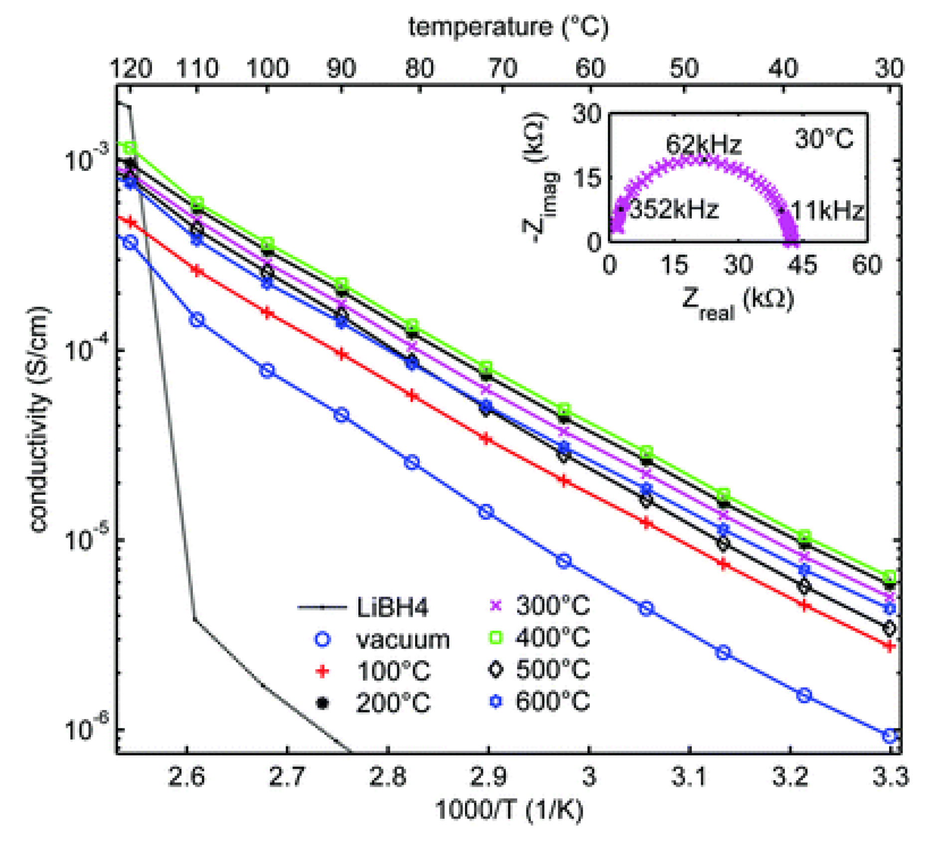
The confinement of LiBH4 in silica characterized by different degrees of porosity has been studied in [45] using micro-SiO2, porous nano-SiO2, and nano-SiO2 with nanochannels as supports (Santa Barbara Amorphous-15, SBA-15). All LiBH4/silica composites exhibited ionic conductivity superior to that of the silica-free material. LiBH4/SBA-15 (at a weight ratio of 47%) exhibited the highest conductivity of 3.0 × 10−5 S cm−1 at 35 °C, with a three-order-of-magnitude increase compared to that of pure LiBH4. The LiBH4/SBA-15 composite also exhibited an electrochemical stability window extending from −0.2 to 5.0 V. A. Further investigation on SBA-15 studied the effect of the preventive heat treatment of SBA-15 on the performance of the solid electrolyte obtained by infiltrating the silica nanochannels with LiBH4 [46]. SBA-15 was previously dried for 6 h at a certain temperature (from ambient temperature up to 600 °C). The preparation of the nanocomposites was achieved by melt infiltration. Figure 4 illustrates the behavior of the conductivity as a function of temperature for the LiBH4 infiltrated inside the silica mesopores: values ranged between 10−6 and 10−5 S cm−1 at 30 °C. The difference in the conductivity values was related to the different thermal treatments undergone by the silica before melt infiltration. The Nyquist plot for the SiO2 sample heated at 300 °C displays a single semi-circle, which is typical of conductivity phenomena characterized by a single process. For this sample, the specific conductivity measured at 30 °C was 5.0 × 10−6 S cm−1.
Figure 4.
Graphs showing ionic conductivity as a function of temperature for LiBH4/SiO2 nanocomposites (for more details see ref. [46]). The insert shows the Nyquist graph of the impedance measurement carried out at 30 °C. Reproduced from ref. [46] under Creative Commons Attribution License. Copyright 2015 Royal Society of Chemistry.
SBA-15 with various pore sizes infiltrated with LiBH4 was studied using 1H, 6,7Li, and 11B solid-state NMR at different temperatures [47]. To interpret the obtained results, it was hypothesized that the LiBH4 inside the pores is in a bulk form detached from the pore walls by a highly dynamic amorphous fraction. The percentage of dynamic fraction rises by increasing the temperature. The exchange of lithium ions between the two fractions is slow at room temperatures, but beyond the temperature at which the phase transition of the innermost fraction takes place, the lithium ions can diffuse rapidly through both fractions. Therefore, no increase in ion mobility is noted at room temperature. When the temperature is increased, the material confined within the pores undergoes the phase transition and all Li ions are highly mobile. Consequently, all Li ions confined in the nanopores look like a single highly dynamic element in the NMR spectra.
When the LiBH4 was doped with LiI before being introduced into the nanopores of the SBA-15, a highly conductive Li-ion electrolyte was obtained [48]. Li4(BH4)3I@SBA-15 was prepared by the partial exchange of I− for BH4− to form Li4(BH4)3I, which was obtained by heating LiBH4 and LiI at 250 °C and 100 bars of hydrogen for 12 h. Then, the SBA-15 was filled with Li4(BH4)3I by heating the mixtures Li4(BH4)3I and SBA-15 for 1 h at 340 °C under 130 bars of hydrogen, as schematically shown in Figure 5. The uniform nanoconfinement of the LiBH4/LiI mixture in the silica mesopores leads to an electrolyte with a conductivity of 2.5 × 10−4 S cm−1 at 35 °C. At the same temperature, the Li ion transfer number was calculated to be 0.97. This high conductivity is probably attributable to the higher mobility of the lithium ions in the interface layer between the Li4(BH4)3I and the mesoporous silica. In addition, this electrolyte has a higher dendrite suppression capability, with a critical current density of 2.6 mA cm−2 at 55 °C and an electrochemical stability window that extended up to 5.0 V.
Figure 5.
(a) An explanatory scheme of the preparation process of Li4(BH4)3I in SBA-15; (b) X-ray diffractograms, (c) FTIR spectra, (d) Raman spectra of LiBH4, Li4(BH4)3I, and Li4(BH4)3I@SBA-15; TEM images of (e,g) SBA-15 and (f,h) Li4(BH4)3I@SBA-15; (i–k) SEM-EDS images of Li4(BH4)3I@SBA-15; (l) nitrogen adsorption isotherms of SBA-15, Li4(BH4)3I@SBA-15, and Li4(BH4)3I/SBA-15. Reproduced with permission from ref. [48]. Copyright 2019 Wiley.
Solid polymer electrolytes were obtained through a casting method in liquid solution. LiBH4/Li4 (BH4)3I and poly(ethylene oxide) (PEO), with or without SiO2, were dissolved in anhydrous acetonitrile, and after 20 h of stirring, the solution was poured onto a PTFE film. After the evaporation of acetonitrile at room temperature, the solid polymer electrolyte membrane was formed. The composite solid polymer electrolyte PEO10–Li4 (BH4)3I containing 5 wt.% SiO2 exhibited a lithium-ion conductivity of 4.28 × 10−4 S cm−1 at 70 °C that resulted higher than plain LiBH4 or the pure electrolyte PEO–LiBH4 [49].
Water content has also been found to influence the transport properties of LiBH4. LiBH4 can incorporate water without decomposing. The process is reversible and structural water can be lost at 55 °C. In its hydrated form, the lithium-ion conductivity of LiBH4 at 45 °C is 4.89 × 10−4 S cm−1 [50]. The 7Li NMR spectra obtained when the LiBH4 hydrate is heated around the dehydration temperature indicate that the increase in the conductivity of the lithium ions could be related to the movement of structural water.
Several works have dealt with the doping of LiBH4 with ammonia or its derivatives. The various LiBH4 ammoniates can easily be synthesized by varying the amount of ammonia supplied to the LiBH4 at ambient temperature. Salts of general formula Li(NH3)nBH4 (0 < n ≤ 2) have shown conductivities of the order of 10−3 S cm−1 for temperatures below 40 °C [51]. The electric properties of the lithium borohydride ammoniates are illustrated in Figure 6. These compounds have been proposed as SSE, although further studies are necessary to use this ammonia complex for practical application. More recently, the lithium borohydride hemiamine, LiBH4·1/2NH3, was investigated, for which a new Li+ conductivity pathway was supposed [52]. The addition of ammonia for every two moles of LiBH4 causes an increase in conductivity, reaching 7.0 × 10−4 S cm−1 at 40 °C in the solid state and increasing to 3.0 × 10−2 S cm−1 at 55 °C after melting.
Figure 6.
(A) Nyquist plots obtained by heating the electrolyte from 20 °C to 45 °C between two lithium electrodes. (B) The ionic conductivity of the ammonia complex under heating (black) and cooling (red) of the pristine LiBH4 (blue). (C) Lithium ion conductivity of samples: Li(NH3)BH4 for the fifth cycle (black), steel electrode Li(NH3)BH4 (red), Li(NH3)BH4 (blue), and Li(NH3)0.5BH4 (dark cyan). (D) DC conductivity of Li(NH3)BH4 obtained after applying a constant voltage of 0.1 V to the steel and lithium electrodes at 40 °C, respectively. The box shows the impedance graph obtained using a steel electrode at 35 °C. Reproduced with permission from ref. [51]. Copyright 2019 Elsevier.
Composites, prepared by a ball milling process and having the general formula LiBH4xNH3-Li2O, were obtained using LiBH4, LiNH2, and LiOH as precursors [53]. During the process, LiBH4 xNH3 transforms into an amorphous material and the ionic conductivity at 20 °C rises to 5.4 × 10−4 S cm−1. Composites of LiBH4 containing ammonia and silicon oxide were also prepared [54]. Composites of formula Li(NH3)xBH4@SiO2 (0 ≤ x ≤ 0.5) were prepared by absorbing ammonia into LiBH4 and incorporating silicon oxide by ball milling. Among the different prepared materials, the Li(NH3)0.5BH4@SiO2 showed an ionic conductivity of 3.95 × 10−2 S cm−1 at 60 °C. The ionic conductivity at 40 °C in lithium amide-borohydride was found to be 6.4 × 10−3 S cm−1 [55]. The materials of formula Li(BH4)1−x(NH2)x were prepared using LiBH4 and LiNH2 as precursors [56]. Reactive ball milling followed by a heat treatment at 120 °C was used to prepare the materials. A conductivity of 2.0 × 10−4 S cm−1 at 40 °C was calculated for the reference sample (x = 3/4), with an activation energy of 0.34 eV. By increasing the LiBH4:LiNH2 precursor ratio to 1:2 (x = 2/3), an increase in conductivity was found. The conductivity increased by more than one order of magnitude, reaching 6.4 × 10−3 S cm−1 a 40 °C. The incorporation of ammonia borane (AB) into the LiBH4 facilitates the conduction of lithium ions due to the increase in cell volume and, consequently, the decrease in volumetric density [57]. At 25 °C, the LiBH4·AB complex showed ionic conductivities of the order of 4.04 × 10−4 S cm−1. The Li-ion transfer number measured at 40 °C was greater than 0.999. To explain these performances, ab initio molecular dynamics simulations have been carried out which show the presence, along the b direction in the LiBH4 AB structure, of a 1D diffusion channel, which presents a very low activation energy barrier (0.12 eV), consequently allowing for the higher conductivity of Li ions at 25 °C. The addition of mono-methylamine to LiBH4 leads to the formation of the crystalline complex LiBH4·CH3NH2 which crystallizes in the monoclinic space group P21/c, to which corresponds a two-dimensional layered structure that allows for the rapid movement of Li ions at room temperature [58]. The layers are separated by –CH3 groups, resulting in the formation of large voids (Figure 7). These spaces allow for the rapid passage of Li ions, enabling the material to reach a conductivity of 1.24 × 10−3 S cm−1 at room temperature. Unfortunately, the electrochemical stability is limited to about 2.1 V vs. Li.
Figure 7.
Crystalline structure of LiBH4 CH3NH2. (a) The layers observed from the ab-plane, (b) the Li coordination, and (c) the layer observed in the bc-plane. Color combination: H (gray), Li+ (blue), C (black), N (red), and BH4− (light blue tetrahedra). Reproduced with permission from ref. [58]. Copyright 2022 Wiley.
A quick and easy method of activating LiBH4 to significantly increase its conductivity is to expose the borohydride to oxygen [59]. This exposure determines the oxidation of the borohydride particles placed on the surface. The rearrangement of the surface atoms results in defects that strongly increase the ionic conductivity. Oxidized LiBH4 shows a conductivity value at 35 °C equal to 1.97 × 10−4 S cm−1, which is five orders of magnitude higher than that of the pristine LiBH4. At 55 °C, the ionic conductivity of the oxidized LiBH4 reached 1.88 × 10−3 S cm−1, one of the highest ionic conductivities reported so far for solid-state electrolytes based on this material. A similar increase in conductivity was also found for the Mg(BH4)2 (Figure 8).
Figure 8.
Arrhenius plot of (a) LiBH4 exposed to 5% O2 versus that of uncontaminated LiBH4, and (b) Mg(BH4)2 exposed to 5% O2 versus that of uncontaminated Mg(BH4)2. Reproduced with permission from ref. [59]. Copyright 2020 Wiley.
To improve the conductivity of Li ions, MgO was added to LiBH4 [60] and different compositions were tested. Among these, the mixture containing 53 v/v% of MgO exhibited the highest conductivity equal to 2.86 × 10−4 S cm−1 at 20 °C. The use of MgO had no effect on the extension of the electrochemical stability window, which was about 2.2 V vs. Li+/Li.
LiBH4 reacts with LiBF4, with the in-situ formation of LiF and lithium closoborates [61]. The formation of these compounds leads to the creation of highly conductive interfaces within the decomposed LiBH4 structure. As a result, there is an increase in the ionic conductivity, which reaches a value of 0.9 × 10−5 S cm−1 at 30 °C.
A solid electrolyte characterized by a high conductivity at ambient temperature was obtained by mixing lithium thiophosphate with LiBH4 [62]. The preparation method is extremely simple as it consists of grinding the two compounds without any heat treatment. The solid electrolyte shows an ionic conductivity of 11 × 10−3 S cm−1 at 25 °C (Figure 9). Despite the studies performed, the mechanism of action of thiosulfate in increasing the ionic conductivity of LiBH4 still remains unclear.
Figure 9.
(a) Variation of the ionic conductivities with temperature and (b) activation energy and ionic conductivity at 25 °C of the solid electrolyte samples, with various compositions of (1 − x)Li3PS4·2xLiBH4. Reproduced under Creative Commons Attribution License from ref. [62]. Copyright 2023 Wiley.
3. Lithium Metal Batteries
Several different materials, such as TiS2 [39], LiCoO2 [63], LiNi1/3Mn1/3Co1/3O2 [64], Li4Ti5O12 [55], S [65,66], LiFePO4 [42], and LiNi0.7Mn0.15Co0.15O2 [62], have been studied as the cathode for LiBH4-based SSE batteries. The 33 mol % LiBH4-Li2S-P2S5 glass was coupled with TiS2 to assemble an all-solid-state lithium cell [39]. The voltage profiles of the first five cycles conducted at a current density of 0.064 mA cm−2 at room temperature are showed in Figure 10. The first cycle discharge capacity was about 223 mAh g−1, which corresponds to 93% of the theoretical capacity of TiS2. In subsequent cycles, a slight loss of capacity was observed. Despite that, the cell exhibited a capacity of about 200 mAh g−1, with a Coulombic efficiency of over 99% in the following cycles.
Figure 10.
Voltage profiles of a solid-state Li/TiS2 cell with glass electrolyte 67(0.75Li2S 0.25P2S5) 33LiBH4 cycled at a current density of 0.064 mA cm−2 at 25 °C. Reproduced with permission from ref. [39]. Copyright 2013 Elsevier.
The LiCoO2 was cycled at a temperature above the LiBH4 transition temperature (120 °C) [63]. During the first cycle, the cell showed a charge capacity of 157 mAh g−1, which approximates the theoretical capacity of LiCoO2. Unfortunately, in the following cycles, a strong capacity fading reduced the capacity, which was as low as 18 mAh g−1 at the tenth cycle. Impedance spectroscopy showed a progressive increase in the charge transfer resistance. As the chemical compatibility of LiBH4 with a lithium electrode has been proven to be good, the increase in resistance was attributable to cathode degradation. The formation of an insulating layer at the interface between the cathode material and LiBH4 has been implicated as the cause of the degradation that occurs as the cycle progresses. To reduce the capacity loss, a thin layer of Li3PO4, LiNbO3, and Al2O3 was used to coat the cathode material [67]. The interfacial resistance was effectively reduced by applying a 10–25 nm thick Li3PO4 interlayer. The cell, discharged at a current density of 0.05 mA cm−2, exhibited a discharge capacity of 89 mAh g−1 and maintained about 97% of the initial capacity after 30 full charge–discharge cycles. The cell made with LiNi1/3Mn1/3Co1/3O2 also exhibited an increase in the contact resistance as cycling progressed [57]. The contact resistance was reduced by using an adhesive layer formed by a mixture of LiBH4 and LiNH2. Thanks to the presence of this barrier layer, repeated charge–discharge cycles have been obtained. At the first cycle, the cell heated to 150 °C showed a discharge capacity of 114 mAh g−1. After ten cycles, the capacity was about 71% of the initial one.
The lithium amide-borohydride electrolyte was tested using a Li4Ti5O12 electrode. The cell exhibited high bulk and interfacial stability, good rate capability, and an extended cycle life [55]. The cell cycled for 400 cycles at 0.7 mA cm−2 (1 C) and retained good capacity up to 3.5 mA cm−2 (5 C) at 40 °C (Figure 11).
Figure 11.
Li4Ti5O12/lithium cell using Li(BH4)1−x(NH2)x (x = 2/3) as SSE tested at 40 °C. (a) Discharge capacities and Coulombic efficiencies at different rates for a cell with the SSE. For comparison, a cell using LP50 as the liquid electrolyte is shown. (b) Capacity as a function of the number of cycles for the SSE cell cycled at 1C. Reproduced with permission from ref. [55]. Copyright 2017 Wiley.
A composite cathode of sulfur-infiltrated carbon nanotubes was employed to make a solid-state Li/S battery [65]. LiBH4 was used as SSE. The cathode exhibited an initial capacity of 1459 mAh g−1. As cycling progressed, the specific capacity faded to a constant value of 398 mAh g−1.
A composite material obtained by mixing sulfur and graphene oxide (GO) or reduced graphene oxide (rGO) in a percentage of 1 or 10% [66] was tested as the positive active material of a solid-state battery. The cells were tested at 20 °C and a 0.1C rate. The cell containing 1%GO-99%S exhibited a first cycle capacity of 1100 mAh g−1, while in the subsequent charge, it managed to accumulate 1700 mAh g−1 (Figure 12). Probably during the heating process, the sulfur and the LiBH4 (present as SSE in the cathode formulation) reacted to form Li2S. Therefore, not all the sulfur that was initially present in the cathode was available for the electrochemical reaction. This explains why the initial capacity was lower than the theoretical capacity. While charging, the cell provided a capacity higher than the theoretical one (1675 mAh g−1), probably following the reaction between the sulfur and the LiBH4. A severe capacity fading was observed in subsequent cycles and the capacity decreased to a constant value of approximately 150 mAh g−1 after 42 cycles. The same behavior was observed for the 10%GO-90%S composite. The cell showed a first cycle specific capacity of 1309 mAh g−1 and 1165 mAh g−1 in charge and discharge, respectively, with a Coulomb efficiency of about 89%. The capacity retention with cycling was poor since the capacity strongly reduced after a few cycles.
Figure 12.
(a) Voltage profiles of the S99%rGO1% electrode. (b) Voltage profiles of the S90%rGO10% electrode. Reproduced from ref. [66] under Creative Commons Attribution License. Copyright 2021 MDPI.
Using a composite of formula Li(NH3)0.5BH4@SiO2 as an electrolyte, a lithium-sulfur solid-state cell was constructed, which exhibited a specific discharge capacity of 1221.7 mAh g−1 after 10 cycles [54]. The cell also showed good rate capability. The cell managed to discharge 1589 mAh g−1 at 0.1C and 695 mAh g−1 when discharged at C rate. Before realizing the complete cell, the stability of Li(NH3)0.5BH4@SiO2 against metallic lithium was studied. As shown in Figure 13a–d, it emerged that the Li/Li(NH3)0.2BH4/Li cell had low ionic conductivity at low temperatures (30 °C and 40 °C). At higher temperatures (50 °C), the melting of the electrolyte (Figure 13a–d, digital images) was observed. However, the charge–discharge curves of the Li/ Li(NH3)0.5BH4@SiO2/Li symmetrical cell at 0.1 mA cm−2 show regular cycles, with no short-circuit formation after 100 h. Li/ Li(NH3)0.5BH4@SiO2/S cells were then fabricated and cycled at 0.2C, which showed second cycle specific capacities of 818.7 mAh g−1 and 777 mAh g−1 at 40 °C and 50 °C, respectively (Figure 13e). The cell has been shown to work very well at various temperatures (Figure 13f) and discharge rates (Figure 13g).
Figure 13.
Voltage profiles during galvanostatic Li plating/stripping for the symmetrical Li/Li(NH3)0.2BH4/Li and Li/Li(NH3)0.5BH4@SiO2/Li cells at 0.1 mA cm−2 at 30 °C (a), 40 °C (b), 50 °C (c), and 60 °C (d). Insets: digital images of Li/Li(NH3)0.2BH4/Li (left) and Li/ Li(NH3)0.5BH4@SiO2/Li (right) after galvanostatic cycling (bottom). (e,f) Voltage profiles during galvanostatic cycles (second cycle) of the Li/Li(NH3)0.2BH4/S and Li/Li(NH3)0.5BH4@SiO2/S cells at various temperatures at 0.2C. (g) Differential capacitance curves of curve f. (h) Rate capability of the Li/Li(NH3)0.5BH4@SiO2/S cell at 40 °C at various rates. (i,j) Voltage profiles of Li/Li(NH3)0.2BH4/S and Li/Li(NH3)0.5BH4@SiO2/S cells at 40 °C and 0.2C. Reproduced with permission from ref. [54]. Copyright © 2022 American Chemical Society.
Lithium iron phosphate (LiFePO4) was employed as the cathode active material of a solid-state lithium metal battery with a SSE obtained by adding fullerene to LiBH4 [42]. The SSE was partially dehydrogenated by heating. The first cycle capacity was very low (20 mAh g−1). An increase in capacity, which reached a value of 73 mAh g-1, was observed as cycling progressed. The solid electrolyte obtained by mixing lithium thiophosphate with LiBH4 was evaluated in a lithium cell containing LiNi0.7Mn0.15Co0.15O2 as the cathode [62] (Figure 14). The cycling was initially conducted at 0.05C. At this rate, the measured capacity was 212.3 mAh g−1 in charge and 177.5 mAh g−1 in discharge with an initial Coulombic efficiency of 83, 6%. When the cell was cycled at higher rates, a good capacity retention was observed; at a discharge rate of 2C, the cell was able to deliver 132.3 mAh g−1 (Figure 14b). To evaluate the capacity retention as a function of the cycle number, the cell was cycled at 0.5C. Under these conditions, the cell was capable of cycling for 100 cycles with a low fade rate (Figure 14d).
Figure 14.
(a) Cyclic voltammetry curves of the Li/thiophosphate-LiBH4/SS cell, (b) voltage profiles, (c) rate capability, and (d) capacity as a function of the number of cycles at 0.5C. Reproduced under Creative Commons Attribution License from ref. [62]. Copyright 2023 Wiley.
4. Lithium-Ion Batteries
Studies on anodes, alternative to lithium metal, for the construction of solid-state Li-ion batteries have been focused on metal and metal hydrides which act through the alloy formation or conversion mechanism. Among them, titanium hydride [68], mixture of titanium and magnesium [69,70], vanadium [71], antimuonium [72], bismuth [73], bismuth telluride [73], bismuth selenide [74], aluminum [75], and titanium/iron [76] have been investigated.
To build a solid-state Li-ion battery with LiBH4 SSE, the use of titanium hydride (TiH2) as a negative electrode was tested [68]. The TiH2/LiBH4/Li cell was cycled at 120 °C with a specific current of 400 mA g−1. The cell showed a first cycle specific capacity of 1094 mAh g−1, which decreased to 878 mAh g−1 after 50 cycles. The rate capacity of the TiH2 composite electrode decreased by about 18% when increasing the specific current from 400 mA g−1 to 1600 mA g−1. MgH2/TiH2 blends have also been proposed as anodes for solid-state Li-ion batteries [69]. When cycled very slowly (0.02C), these blends exhibited specific capacities up to 1700 mAh g−1. A complete sulfur Li-ion cell was constructed by using a mixture of MH2 and TiH2 as the negative electrode [70]. To prepare the cathode of the cell, the Li2S resulting from the electrochemical reduction of the sulfur cathode was employed as the cathode active material. After the first discharge cycle of a Li-S half-cell conducted at 0.02C, the cathode was recuperated and used to assemble the Li-ion cell. The cathode contained approximately 30% molar excess of Li2S over the amount of metal hydride to compensate for the irreversible capacity lost during the first cycle. The cell was assembled in its discharged state (the starting materials was Li2S in the cathode and MgH2/TiH2 in the anode). The sulfur/MgH2-TiH2 cell showed a reversible capacity of 910 mAh g−1 (the specific capacity of the cell was referred to the weight of the active material in the negative electrode). Furthermore, the capacity kept at 85% of the initial value in the first 25 charge/discharge cycles (Figure 15).
Figure 15.
Specific capacity as a function of cycle number of the complete MgH2-TiH2/LiBH4/S cell cycled at 120 °C and various C rates. Reproduced with permission from ref. [70]. Copyright 2017 Elsevier.
Bi and Sb were used as negative electrode materials in solid-state Li-ion batteries with LiBH4 as SSE. These metals have shown extremely high stability towards the electrolyte, with a high Coulombic efficiency of 90–99% [72]. The specific capacity recorded at the first cycle was 480 and 650 mAh g-1 for Bi and Sb, respectively. A capacity fade of about 18% (Bi) and 5% (Sb) affected the electrodes upon cycling. In addition, a 55 nm size Bi2Te3 nanosheet was used as the anode active material for solid-state lithium-ion batteries with LiBH4 as the SSE at 125 °C [73]. When cycled at a rate of 0.1C, the anode showed an initial capacity of 555 mAh g−1 and 1290 mAh g−1 in discharge and charge, respectively. During the electrochemical charge–discharge experiment, the cell was found opened after 11 cycles due to gas evolution. The gas evolution was related to the thermal decomposition of LiBH4 catalyzed by Bi2Te3. It was suggested that the destabilization of LiBH4 with Bi2Te3 nanosheets is a two-step process with the formation of Li2Te and Li3Bi.
Commercial and nanostructured Bi2Se3 has been tested as an anode in solid-state lithium-ion batteries [74]. Electrochemical measurements indicated an initial capacity of 621 mAh g−1 (in discharge) and 499 mAh g−1 (in charge) for the commercial material, which was slightly higher than the nanostructured Bi2Se3 (discharge and charge capacity: 594 mAh g−1 and 468 mAh g−1, Figure 16a). However, the nanostructured material showed a better cycling stability (Figure 16b).
Figure 16.
(a) Voltage profile of the Bi2Se3-LiBH4 nanocomposite electrode in the voltage range of 0.2–1.5 V at a rate of 0.1C. (b) Specific capacity as a function of the number of cycles of bulk Bi2Se3 and nano Bi2Se3. Reproduced with permission from ref. [74]. Copyright 2020 Elsevier.
A simple solid-state pre-lithiation approach has been used to prepare in situ a Li3AlH6-Al nanocomposite via a short-circuit electrochemical reduction between LiAlH4 and Li [75]. This nanocomposite is formed of Al nanograins dispersed in an amorphous Li3AlH6 matrix. When tested as an anode in a battery with LiAlH4 as the SSE, it exhibited a first cycle specific capacity of 2266 mAh g−1, a Coulomb efficiency of 88%, and a capacity retention of 71% in the 100th cycle. With this nanocomposite, a full solid-state cell was made using a LiCoO2-based cathode which was cycled at 120 °C. The reversible specific capacity of the first cycle was 102 and 1631 mAh g−1, when referring to the weight of the cathode and anode, respectively (Figure 17). The first cycle Coulombic efficiency was 69%. In the following cycles, the cell showed a small capacity decay and a slight increase in the Coulombic efficiencies.
Figure 17.
Photographs of the solid-state cell (a) cathode, (b) electrolyte, (c) anode, (d) the entire solid-state cell lighting a LED, and (e) the voltage profiles of the solid-state cell. Reproduced with permission from ref. [75]. Copyright 2020 Wiley.
To evaluate the anode activity of TiFe alloys in the presence of LiH, four different TiFe/LiHratios were tested by increasing the amount of LiH from 1 to 4 times that of TiFe [76]. The first cycle capacity for the four samples increased by increasing the amount of LiH from 149 to 300 to 441 and finally to 633 mAh g−1. This result confirms that part of the capacity is due to the decomposition of LiH.
5. Discussion
Regardless of the type of electrolyte used, solid-state batteries present a series of problems that must be resolved before placing them on the market. First, the low conductivity of the electrolyte forces to use to very thin cathodes containing a high quantity of solid electrolyte. This decreases the energy density of the batteries. The increase in conductivity, consequent to the increase in the operating temperature of the batteries, could increase the thickness of the cathode and decrease the percentage of the electrolyte inside it [77]. Another aspect concerns the effective long-term stability of the electrolyte/lithium interface. Metallic lithium is a strong reductant and parasitic reactions can occur at the interface with the SSE. These reactions primarily affect sulfide-, NASICON-, and garnet-type SSEs, and require engineering strategies to improve interface stability [78]. On the contrary, LiBH4 proved to be very stable when in contact with Li. For instance, by using a symmetrical Li electrode cell and applying a constant current density of 300 μA cm−2, a voltage of about 0.2 V was obtained. Only after several cycles a small voltage increase (10 mV), corresponding to a 4.5% increase in cell resistivity, was observed. This increase was attributed to a partial loss of electrical contact at the electrode/electrolyte interface rather than the formation of degradation products [79]. Even the technological aspect concerning the preparation of solid-state batteries still needs to be carefully evaluated. In fact, the difficulties in processing ceramic materials (and among these, also LiBH4) must be taken into careful consideration. For example, the construction of a 1 kWh battery requires several square meters of surface area, whatever the electrolyte [80]. Sintering processes, used to prepare the SSE, do not produce thicknesses below 30 µm, and high temperatures are required for ceramic electrolytes. Although it was possible to deposit thin films by the vacuum deposition of LiBH4 [81], this deposition technique is generally of low productivity and therefore expensive. Unlike conventional battery systems, solid-state batteries need at least 10 MPa (or greater) of pressure to allow for stable cycling and avoid contact loss or dendrite formation [82]. This requires extensive product design and manufacturing line changes for solid-state batteries, which could potentially increase overall costs. Current LIBs have safety issues due to the fire hazards related to the organic solvents they contain. Although solid-state batteries are theoretically safer than LIBs, this greater safety has yet to be demonstrated, especially for batteries operating above 150 °C [83]. Compared to other SSEs, LiBH4 is thermally more stable. The thermal analysis conducted on LiBH4 was studied by Fedeneva et al. [84]. Three endothermic effects were observed during heating: at 108–112, 268–286 and 483–492 °C. The first effect is reversible since it is related to the polymorphic transformation of LiBH4. The second peak at 268–286 °C coincides to the melting of LiBH4 that is accompanied by a slight decomposition, liberating about 2 wt.% of the hydrogen contained in the borohydride. At higher temperatures, the main evolution of hydrogen is witnessed with the release of about 80% of the hydrogen contained in the compound. However, substances mixed with LiBH4 to increase the ionic conductivity can modify this behavior. For example, the addition of 25 wt.% SiO2 has been observed to catalyze the decomposition reaction of LiBH4 and lower the temperature for all three hydrogen desorption characteristics [85]. LiBH4 has a very low specific gravity (0.667 g cm−3) compared to other solid electrolytes, and this represents an advantage since it is reflected in a higher energy density of the cell. Finally, to evaluate the possibility of using the LiBH4 as the SSE, it is necessary to consider its cost as well as the possible large-scale production. LiBH4 is made up of lithium and boron, both of which are not very common on the earth’s crust but easily available since they are concentrated in surface deposits. The synthesis of the material is not complicated, but involves the electrochemical reduction of lithium, which is energetically expensive. The market cost of LiBH4 is around $0.60–0.75 g−1 [86]. Considering the density of the material, we have a cost of $0.4–0.5 cm−3. To cover an area of 1 m2 with an electrolyte thickness of 10 μm, 10 cm3 of LiBH4 is required for a cost of $4–5. This cost is lower than the one originally proposed by McCloskey [87] and later indicated by the US Department of Energy’s Agency for Energy (ARPA-E), which is set at a maximum of $10 m−2 [88].
6. Conclusions
The studies conducted in the last 10 years have aimed to increase the ionic conductivity of LiBH4 to use it as an SSE in solid-state batteries operating at room temperature. The effort was productive as it demonstrated that LiBH4 doping can lead to the realization of SSEs with room temperature conductivity comparable to that of the alkyl carbonates used in liquid-electrolyte lithium-ion batteries. Furthermore, the performance of solid-state batteries made using LiBH4-based SSE has also led to satisfactory results. Although further experiments are needed to evaluate long-term stability, the results obtained seem promising and suggest that LiBH4-based solid-state batteries could be susceptible to future industrial development.
Funding
Part of this research was funded by the Ministry of Enterprise and Made in Italy within the second important project of common European interest in the battery sector (IPCEI Batterie 2) and by the Ministry of the Environment within the PTR 2022–2024.
Data Availability Statement
Not applicable.
Conflicts of Interest
The author declares no conflict of interest.
References
- Scrosati, B. History of lithium batteries. J. Solid State Electrochem. 2011, 15, 1623–1630. [Google Scholar] [CrossRef]
- Reddy, M.V.; Mauger, A.; Julien, C.M.; Paolella, A.; Zaghib, K. Brief History of Early Lithium-Battery Development. Materials 2020, 13, 1884. [Google Scholar] [CrossRef] [PubMed]
- Scrosati, B.; Garche, J. Lithium batteries: Status, prospects and future. J. Power Sources 2010, 195, 2419–2430. [Google Scholar] [CrossRef]
- La Monaca, A.; De Giorgio, F.; Soavi, F.; Tarquini, G.; Di Carli, M.; Prosini, P.P.; Arbizzani, C. 1,3-Dioxolane: A strategy to improve electrode interfaces in Litium ion and lithium-sulfur batteries. ChemElectroChem 2018, 5, 1272–1278. [Google Scholar] [CrossRef]
- Janek, J.; Zeier, W.G. A solid future for battery development. Nat. Energy 2016, 1, 16141. [Google Scholar] [CrossRef]
- Kato, Y.; Hori, S.; Saito, T.; Suzuki, K.; Hirayama, M.; Mitsui, A.; Yonemura, M.; Iba, H.; Kanno, R. High-power all-solid-state batteries using sulfide superionic conductors. Nat. Energy 2016, 1, 16030. [Google Scholar] [CrossRef]
- Han, X.; Gong, Y.; Fu, K.; He, X.; Hitz, G.T.; Dai, J.; Pearse, A.; Liu, B.; Wang, H.; Rublo, G.; et al. Negating interfacial impedance in garnet-based solid-state Li metal batteries. Nat. Mater. 2017, 16, 572–579. [Google Scholar] [CrossRef]
- Han, F.; Gao, T.; Zhu, Y.; Gaskell, K.J.; Wang, C. A battery made from a single material. Adv. Mater. 2015, 27, 3473–3483. [Google Scholar] [CrossRef]
- Zhang, J.; Zhao, J.; Yue, L.; Wang, Q.; Chai, J.; Liu, Z.; Zhou, X.; Li, H.; Guo, Y.; Cui, G.; et al. Safety-reinforced poly(propylene carbonate)-based all-solid-state polymer electrolyte for ambient-temperature solid polymer lithium batteries. Adv. Energy Mater. 2015, 5, 1501082. [Google Scholar] [CrossRef]
- Christie, A.M.; Lilley, S.J.; Staunton, E.; Andreev, Y.G.; Bruce, P.G. Increasing the conductivity of crystalline polymer electrolytes. Nature 2005, 433, 50–53. [Google Scholar] [CrossRef]
- Lin, D.; Liu, W.; Liu, Y.; Lee, H.R.; Hsu, P.-C.; Liu, K.; Cui, Y. High ionic conductivity of composite solid polymer electrolyte via in situ synthesis of monodispersed SiO2 nanospheres in poly(ethylene oxide). Nano Lett. 2016, 16, 459–465. [Google Scholar] [CrossRef] [PubMed]
- Appetecchi, G.B.; Croce, F.; Dautzenberg, G.; Mastragostino, M.; Ronci, F.; Scrosati, B.; Soavi, F.; Zanelli, A.; Alessandrini, F.; Prosini, P.P. Composite polymer electrolytes with improved lithium metal electrode interfacial properties: I. Electrochemical properties of dry PEO-LiX systems. J. Electrochem. Soc. 1998, 145, 4126–4132. [Google Scholar] [CrossRef]
- Tachez, M.; Malugani, J.-P.; Mercier, R.; Robert, G. Ionic conductivity of and phase transition in lithium thiophosphate Li3PS4. Solid State Ion. 1984, 14, 181–185. [Google Scholar] [CrossRef]
- Campanella, D.; Daniel Belanger, D.; Paolella, A. Beyond garnets, phosphates and phosphosulfides solid electrolytes: New ceramic perspectives for all solid lithium metal batteries. J. Power Sources 2021, 482, 228949. [Google Scholar] [CrossRef]
- Tatsumisago, M.; Yamashita, H.; Hayashi, A.; Morimoto, H.; Minami, T.J. Preparation and structure of amorphous solid electrolytes based on lithium sulfide. Non-Cryst. Solids 2000, 274, 30–38. [Google Scholar] [CrossRef]
- Aono, H.; Sugimoto, E.; Sadaoka, Y.; Imanaka, N.; Adachi, G. High Li+ conducting ceramics. Acc. Chem. Res. 1994, 27, 265–270. [Google Scholar] [CrossRef]
- Tomita, Y.; Matsushita, H.; Kobayashi, K.; Maeda, Y.; Yamada, K. Substitution effect of ionic conductivity in lithium ion conductor, Li3InBr6−xClx. Solid State Ion. 2008, 179, 867–870. [Google Scholar] [CrossRef]
- Liang, C.C. Conduction Characteristics of the Lithium Iodide-Aluminum Oxide Solid Electrolytes. J. Electrochem. Soc. 1973, 120, 1289–1292. [Google Scholar] [CrossRef]
- Maekawa, H.; Tanaka, R.; Sato, T.; Fujimaki, Y.; Yamamura, T. Size-dependent ionic conductivity observed for ordered mesoporous alumina-LiI composite. Solid State Ion. 2004, 175, 281–285. [Google Scholar] [CrossRef]
- Guo, Z.; Ye, C.; Zhao, T.; Wu, W.; Kou, W.; Zhang, Y.; Dong, W.; Li, W.; Wang, J. Thin lamellar Li7La3Zr2O12 solid electrolyte with g-C3N4 as grain boundary modifier for high-performance all-solid-state lithium battery. J. Power Sources 2023, 562, 232784. [Google Scholar] [CrossRef]
- Kawahara, K.; Ishikawa, R.; Nakayama, K.; Higashi, T.; Kimura, T.; Ikuhara, Y.H.; Shibata, N.; Ikuhara, Y. Fast Li-ion conduction at grain boundaries in (La, Li)NbO3 polycrystals. J. Power Sources 2019, 441, 227187. [Google Scholar] [CrossRef]
- Shiiba, H.; Zettsu, N.; Yamashita, M.; Onodera, H.; Jalem, R.; Nakayama, M.; Teshima, K. Molecular dynamics studies on the lithium ion conduction behaviors depending on tilted grain boundaries with various symmetries in garnet-type Li7La3Zr2O12. J. Phys. Chem. C 2018, 122, 21755–21762. [Google Scholar] [CrossRef]
- He, X.; Zhu, Y.; Mo, Y. Origin of fast ion diffusion in super-ionic conductors. Nat. Commun. 2017, 8, 15893. [Google Scholar] [CrossRef]
- Peng, L.; Yu, C.; Wei, C.; Liao, C.; Chen, S.; Zhang, L.; Cheng, S.; Xie, J. Recent Progress on Lithium Argyrodite Solid-State Electrolytes. Wuli Huaxue Xuebao/Acta Phys.-Chim. Sin. 2023, 39, 2211034. [Google Scholar] [CrossRef]
- Hori, S.; Kanno, R.; Sun, X.; Song, S.; Hirayama, M.; Hauck, B.; Dippon, M.; Dierickx, S.; Ivers-Tiffée, E. Understanding the impedance spectra of all-solid-state lithium battery cells with sulfide superionic conductors. J. Power Sources 2023, 556, 232450. [Google Scholar] [CrossRef]
- Nakamori, Y.; Orimo, S.-I.; Tsutaoka, T. Dehydriding reaction of metal hydrides and alkali borohydrides enhanced by microwave irradiation. Appl. Phys. Lett. 2006, 88, 112104. [Google Scholar] [CrossRef]
- Brown, H.C. From Little Acorns to Tall Oaks from Boranes through Organoboranes. Nobel Lecture. 8 December 1979. Available online: https://www.nobelprize.org/uploads/2018/06/brown-lecture.pdf (accessed on 27 April 2023).
- Schlesinger, H.C.; Brown, H.R. Metallo Borohydrides. III. Lithium Borohydride. J. Am. Chem. Soc. 1940, 62, 3429–3435. [Google Scholar] [CrossRef]
- Schlesinger, H.C.; Brown, H.R.; Hoekstra, L.R. Reactions of Diborane with Alkali Metal Hydrides and Their Addition Compounds. New Syntheses of Borohydrides. Sodium and Potassium Borohydrides. J. Am. Chem. Soc. 1953, 75, 199–204. [Google Scholar] [CrossRef]
- Kollonitsch, J.; Fuchs, O.; Gábor, V. Alkaline-earth borohydrides and their applications in organic syntheses. Nature 1955, 175, 346. [Google Scholar] [CrossRef]
- Picasso, C.V.; Safin, D.A.; Dovgaliuk, I.; Devred, F.; Debecker, D.; Li, H.W.; Proost, J.; Filinchuk, Y. Reduction of CO2 with KBH4 in solvent-free conditions. Int. J. Hydrogen Energy 2016, 41, 14377–14386. [Google Scholar] [CrossRef]
- Orimo, S.; Nakamori, Y.; Eliseo, J.R.; Züttel, A.; Jensen, C.M. Complex hydrides for hydrogen storage. Chem. Rev. 2007, 107, 4111–4132. [Google Scholar]
- Züttel, A.; Wenger, P.; Rentsch, S.; Sudan, P.; Mauron, P.; Emmenegger, C. LiBH4 a new hydrogen storage material. J. Power Sources 2003, 118, 1–7. [Google Scholar] [CrossRef]
- Prosini, P.P.; Gislon, P. Water consumption during solid state sodium borohydride hydrolysis, International. Int. J. Hydrogen Energy 2010, 35, 12234–12238. [Google Scholar] [CrossRef]
- Matsuo, M.; Nakamori, Y.; Orimo, S.; Maekawa, H.; Takamura, H. Lithium superionic conduction in lithium borohydride accompanied by structural transition. Appl. Phys. Lett. 2007, 91, 224103. [Google Scholar] [CrossRef]
- Pang, Y.; Liu, Y.; Yang, J.; Zheng, S.; Wang, C. Hydrides for solid-state batteries: A review. Mater. Today Nano 2022, 18, 100194. [Google Scholar] [CrossRef]
- Skripov, A.V.; Soloninin, A.V.; Filinchuk, Y.; Chernyshov, D. Nuclear Magnetic Resonance Study of the Rotational Motion and the Phase Transition in LiBH4. J. Phys. Chem. C 2008, 112, 18701–18705. [Google Scholar] [CrossRef]
- Maekawa, H.; Matsuo, M.; Takamura, H.; Ando, M.; Noda, Y.; Karahashi, T.; Orimo, S. Halide-Stabilized LiBH4, a Room-Temperature Lithium Fast-Ion Conductor. J. Am. Chem. Soc. 2009, 131, 894–895. [Google Scholar] [CrossRef]
- Yamauchi, A.; Sakuda, A.; Hayashi, A.; Tatsumisago, M. Preparation and ionic conductivities of (100 − x)(0.75Li2S·0.25P2S5)·xLiBH4 glass electrolytes. J. Power Sources 2013, 244, 707–710. [Google Scholar] [CrossRef]
- El Kharbachi, A.; Sorby, M.H.; Nygard, M.M.; Hauback, B.C. Borohydride-based Solid-state Electrolytes for Lithium Batteries. In Proceedings of the 2019 7th International Renewable and Sustainable Energy Conference, IRSEC 2019, Agadir, Morocco, 27–30 November 2019; p. 750. [Google Scholar]
- Teprovich, J.A., Jr.; Colón-Mercado, H.R.; Ward, P.A.; Peters, B.; Giri, S.; Zhou, J.; Greenway, S.; Compton, R.N.; Jena, P.; Zidan, R. Experimental and Theoretical Analysis of Fast Lithium Ionic Conduction in a LiBH4−C60 Nanocomposite. J. Phys. Chem. C 2014, 118, 21755–21761. [Google Scholar] [CrossRef]
- Santos, J.A.; Simon, P.; Bernot, A.R.; Babasi, C.; Ward, P.A.; Hwang, S.-J.; Zidan, R.; Teprovich, J.A. Synergistic effect of nanoionic destabilization and partial dehydrogenation for enhanced ionic conductivity in MBH4-C60 (M = Li+, Na+) nanocomposites. J. Solid State Electrochem. 2021, 25, 1441–1452. [Google Scholar] [CrossRef]
- Blanchard, D.; Nale, A.; Sveinbjörnsson, D.; Eggenhuisen, T.M.; Verkuijlen, M.H.W.; Suwarno; Vegge, T.; Kentgens, A.P.M.; de Jongh, P.E. Nanoconfined LiBH4 as a Fast Lithium Ion Conductor. Adv. Funct. Mater. 2015, 25, 184–192. [Google Scholar] [CrossRef]
- Verkuijlen, M.H.W.; Ngene, P.; de Kort, D.W.; Barré, C.; Nale, A.; van Eck, E.R.H.; van Bentum, P.J.M.; de Jongh, P.E.; Kentgens, A.P.M. Nanoconfined LiBH4 and Enhanced Mobility of Li+ and BH4− Studied by Solid-State NMR. J. Phys. Chem. C 2012, 116, 22169–22178. [Google Scholar] [CrossRef]
- Yang, G.; Xie, C.; Li, Y.; Li, H.-W.; Liu, D.; Chen, J.; Zhang, Q. Enhancement of the ionic conductivity of lithium borohydride by silica supports. Dalton Trans. 2021, 50, 15352–15358. [Google Scholar] [CrossRef] [PubMed]
- Ngene, P.; Lambregts, S.F.H.; Blanchard, D.; Vegge, T.; Sharma, M.; Hagemann, H.; De Jongh, P.E. The influence of silica surface groups on the Li-ion conductivity of LiBH4/SiO2 nanocomposites. Phys. Chem. Chem. Phys. 2019, 21, 22456–22466. [Google Scholar] [CrossRef]
- Lambregts, S.F.H.; Van Eck, E.R.H.; Suwarno; Ngene, P.; De Jongh, P.E.; Kentgens, A.P.M. Phase Behavior and Ion Dynamics of Nanoconfined LiBH4 in Silica (2019). J. Phys. Chem. C 2019, 123, 25559–25569. [Google Scholar] [CrossRef]
- Lu, F.; Pang, Y.; Zhu, M.; Han, F.; Yang, J.; Fang, F.; Sun, D.; Zheng, S.; Wang, C. A High-Performance Li–B–H Electrolyte for All-Solid-State Li Batteries. Adv. Funct. Mater. 2019, 29, 1809219. [Google Scholar] [CrossRef]
- Zhang, X.; Zhang, T.; Shao, Y.; Cao, H.; Liu, Z.; Wang, S.; Zhang, X. Composite Electrolytes Based on Poly(Ethylene Oxide) and Lithium Borohydrides for All-Solid-State Lithium–Sulfur Batteries. ACS Sustain. Chem. Eng. 2021, 9, 5396–5404. [Google Scholar] [CrossRef]
- Takano, A.; Oikawa, I.; Kamegawa, A.; Takamura, H. Enhancement of the lithium-ion conductivity of LiBH4 by hydration. Solid State Ion. 2016, 285, 47–50. [Google Scholar] [CrossRef]
- Zhang, T.; Wang, Y.; Song, T.; Miyaoka, H.; Shinzato, K.; Miyaoka, H.; Ichikawa, T.; Shi, S.; Zhang, X.; Isobe, S.; et al. Ammonia, a Switch for Controlling High Ionic Conductivity in Lithium Borohydride Ammoniates. Joule 2018, 2, 1522–1533. [Google Scholar] [CrossRef]
- Yan, Y.; Grinderslev, J.B.; Lee, Y.-S.; Jørgensen, M.; Cho, Y.W.; Černý, R.; Jensen, T.R. Ammonia-assisted fast Li-ion conductivity in a new hemiammine lithium borohydride, LiBH4·1/2NH3. Chem. Comm. 2020, 56, 3971–3974. [Google Scholar] [CrossRef]
- Mohtadi, R. High Li-Ion Conductivity in a Hydride-type Solid-State Electrolyte: The Ammonia Effect. Chem 2018, 4, 1770–1772. [Google Scholar] [CrossRef]
- Liu, Z.; Zhang, T.; Ju, S.; Ji, Y.; Hu, Z.; Lv, Y.; Xia, G.; Yu, X. Fast Ionic Migration from Bulk to Interface in the Li(NH3) xBH4@SiO2 Composite. ACS Appl. Energy Mater. 2022, 5, 14301–14310. [Google Scholar] [CrossRef]
- Yan, Y.; Kühnel, R.-S.; Remhof, A.; Duchêne, L.; Reyes, E.C.; Rentsch, D.; Łodziana, Z.; Battaglia, C. A Lithium Amide-Borohydride Solid-State Electrolyte with Lithium-Ion Conductivities Comparable to Liquid Electrolytes. Adv. Energy Mater. 2017, 7, 1700294. [Google Scholar] [CrossRef]
- Zhao, W.; Zhang, R.; Li, H.; Zhang, Y.; Wang, Y.; Wu, C.; Yan, Y.; Chen, Y. Li-Ion Conductivity Enhancement of LiBH4·xNH3 with In Situ Formed Li2O Nanoparticles. ACS Appl. Mater. Interfaces 2021, 13, 31635–31641. [Google Scholar] [CrossRef] [PubMed]
- Liu, H.; Ren, Z.; Zhang, X.; Hu, J.; Gao, M.; Pan, H.; Liu, Y. Incorporation of Ammonia Borane Groups in the Lithium Borohydride Structure Enables Ultrafast Lithium Ion Conductivity at Room Temperature for Solid-State Batteries. Chem. Mater. 2020, 32671–32678. [Google Scholar] [CrossRef]
- Grinderslev, J.B.; Skov, L.N.; Andreasen, J.G.; Ghorwal, S.; Skibsted, J.; Jensen, T.R. Methylamine Lithium Borohydride as Electrolyte for All-Solid-State Batteries. Angew. Chem. Int. Ed. Engl. 2022, 61, e202203484. [Google Scholar] [CrossRef] [PubMed]
- Luo, X.; Rawal, A.; Cazorla, C.; Aguey-Zinsou, K.-F. Facile Self-Forming Superionic Conductors Based on Complex Borohydride Surface Oxidation. Adv. Sustain. Syst. 2020, 4, 1900113. [Google Scholar] [CrossRef]
- Gulino, V.; Brighi, M.; Murgia, F.; Ngene, P.; de Jongh, P.; Černý, R.; Baricco, M. Room-Temperature Solid-State Lithium-Ion Battery Using a LiBH4–MgO Composite Electrolyte. ACS Appl. Energy Mater. 2021, 4, 1228–1236. [Google Scholar] [CrossRef]
- de Kort, L.M.; Gulino, V.; Blanchard, D.; Ngene, P. Effects of LiBF4 Addition on the Lithium-Ion Conductivity of LiBH4. Molecules 2022, 27, 2187. [Google Scholar] [CrossRef]
- Jang, Y.-J.; Seo, H.; Lee, Y.-S.; Kang, S.; Cho, W.; Cho, Y.W.; Kim, J.-H. Lithium Superionic Conduction in BH4-Substituted Thiophosphate Solid Electrolytes. Adv. Sci. 2023, 10, 2204942. [Google Scholar] [CrossRef]
- Takahashi, K.; Hattori, K.; Yamazaki, T.; Takada, K.; Matsuo, M.; Orimo, S.; Maekawa, H.; Takamura, H. All-solid-state lithium battery with LiBH4 solid electrolyte. J. Power Sources 2013, 226, 61–64. [Google Scholar] [CrossRef]
- Suzuki, S.; Kawaji, J.; Yoshida, K.; Unemoto, A.; Orimo, S. Development of complex hydride-based all-solid-state lithium ion battery applying low melting point electrolyte. J. Power Sources 2017, 359, 97–103. [Google Scholar] [CrossRef]
- Tripathi, B.; Patodia, T.; Jain, A.; Ichikawa, T.; Katiyar, R. Optimization of Cycling Performance for CNT Impregnated Sulfur Composite Cathode Using LiBH4 as Solid Electrolyte for All Solid State Li-S Batteries. ECS Trans. 2021, 104, 53–60. [Google Scholar] [CrossRef]
- Patodia, T.; Gupta, M.K.; Singh, R.; Ichikawa, T.; Jain, A.; Tripathi, B. Electrochemical Performance of Graphene-Modulated Sulfur Composite Cathodes Using LiBH4 Electrolyte for All-Solid-State Li-S Battery. Energies 2021, 14, 7362. [Google Scholar] [CrossRef]
- Takahashi, K.; Maekawa, H.; Takamura, H. Effects of intermediate layer on interfacial resistance for all-solid-state lithium batteries using lithium borohydride. Solid State Ion. 2014, 262, 179–182. [Google Scholar] [CrossRef]
- Kawahito, K.; Zeng, L.; Ichikawa, T.; Miyaoka, H.; Kojima, Y. Electrochemical Performance of Titanium Hydride for Bulk-Type All-Solid-State Lithium-Ion Batteries. Mater. Trans. 2016, 57, 755–757. [Google Scholar] [CrossRef]
- Dao, A.H.; Berti, N.; López-Aranguren, P.; Zhang, J.; Cuevas, F.; Jordy, C.; Latroche, M. Electrochemical properties of MgH2–TiH2 nanocomposite as active materials for all-solid-state lithium batteries. J. Power Sources 2018, 397, 143–149. [Google Scholar] [CrossRef]
- López-Aranguren, P.; Berti, N.; Dao, A.H.; Zhang, J.; Cuevas, F.; Latroche, M.; Jordy, C. An all-solid-state metal hydride–Sulfur lithium-ion battery. J. Power Sources 2017, 357, 56–60. [Google Scholar] [CrossRef]
- Matsumura, Y.; Takagishi, K.; Miyaoka, H.; Ichikawa, T. Vanadium Hydride as Conversion Type Negative Electrode for All-Solid-State Lithium-Ion-Battery. Mat. Trans. 2019, 60, 2183–2187. [Google Scholar] [CrossRef]
- Kumari, P.; Sharma, K.; Pal, P.; Kumar, M.; Ichikawa, T.; Jain, A. Highly efficient & stable Bi & Sb anodes using lithium borohydride as solid electrolyte in Li-ion batteries. RSC Adv. 2019, 9, 13077–13081. [Google Scholar]
- Kumari, P.; Pal, P.; Shinzato, K.; Awasthi, K.; Ichikawa, T.; Jain, A.; Kumar, M. Nanostructured Bi2Te3 as anode material as well as a destabilizing agent for LiBH4. Int. J. Hydrogen Energy 2020, 45, 16992–16999. [Google Scholar] [CrossRef]
- Kumari, P.; Singh, R.; Awasthi, K.; Ichikawa, T.; Kumar, M.; Jain, A. Highly stable nanostructured Bi2Se3 anode material for all solid-state lithium-ion batteries. J. Alloys Compd. 2020, 838, 155403. [Google Scholar] [CrossRef]
- Pang, Y.; Wang, X.; Shi, X.; Xu, F.; Sun, L.; Yang, J.; Zheng, S. Solid-State Prelithiation Enables High-Performance Li-Al-H Anode for Solid-State Batteries. Adv. Energy Mater. 2020, 10, 1902795. [Google Scholar] [CrossRef]
- Singh, R.; Fernando, C.B.; Ichikawa, T.; Jain, A. Conversion reaction of TiFe hydride as anode material for all-solid-state Lithium-ion batteries. Mater. Lett. X 2021, 10, 100067. [Google Scholar]
- Janek, J.; Zeier, W.G. Challenges in speeding up solid-state battery development. Nat. Energy 2023, 8, 230–240. [Google Scholar] [CrossRef]
- Paul, P.P.; Chen, B.-R.; Langevin, S.A.; Dufek, E.J.; Nelson Weker, J.; Ko, J.S. Interfaces in all solid state Li-metal batteries: A review on instabilities, stabilization strategies, and scalability. Energy Storage Mater. 2022, 45, 969–1001. [Google Scholar] [CrossRef]
- Das, S.; Ngene, P.; Norby, P.; Vegge, T.; De Jongh, P.E.; Blanchard, D. All-solid-state lithium-sulfur battery based on a nanoconfined LiBH4 electrolyte. J. Electrochem. Soc. 2016, 163, A2029–A2034. [Google Scholar] [CrossRef]
- Mauger, A.; Julien, C.M.; Paolella, A.; Armand, M.; Zaghib, K. Building Better Batteries in the Solid State: A Review. Materials 2019, 12, 3892. [Google Scholar] [CrossRef]
- Oguchi, H.; Kim, S.; Maruyama, S.; Horisawa, Y.; Takagi, S.; Sato, T.; Shimizu, R.; Matsumoto, Y.; Hitosugi, T.; Orimo, S. Epitaxial Film Growth of LiBH4 via Molecular Unit Evaporation. ACS Appl. Electron. Mater. 2019, 1, 1792–1796. [Google Scholar] [CrossRef]
- Zaman, W.; Hatzell, K.B. Processing and manufacturing of next generation lithium-based all solid-state batteries. Curr. Opin. Solid State Mater. Sci. 2022, 26, 101003. [Google Scholar] [CrossRef]
- Kim, T.; Kim, K.; Lee, S.; Song, G.; Jung, M.S.; Lee, K.T. Thermal runaway behavior of Li6PS5Cl solid electrolytes for LiNi0. 8Co0.1Mn0.1O2 and LiFePO4 in all-solid-state batteries. Chem. Mater. 2022, 34, 9159–9171. [Google Scholar] [CrossRef]
- Fedneva, E.M.; Alpatova, V.L.; Mikheeva, V.I. Thermal stability of lithium borohydride. Russ. J. Inorg. Chem. 1964, 9, 826–827. [Google Scholar]
- Züttel, A.; Rentsch, S.; Fischer, P.; Wenger, P.; Sudan, P.; Mauron, P.; Emmenegger, C. Hydrogen storage properties of LiBH4. J. Alloys Compd. 2003, 356–357, 515–520. [Google Scholar] [CrossRef]
- Selling Price of LiBH4. Available online: https://www.alibaba.com/showroom/libh4.html (accessed on 27 April 2023).
- McCloskey, B.D. Attainable Gravimetric and Volumetric Energy Density of Li-S and Li Ion Battery Cells with Solid Separator-Protected Li Metal Anodes. J. Phys. Chem. Lett. 2015, 6, 4581–4588. [Google Scholar] [CrossRef]
- Sendek, A.D.; Cheon, G.; Pasta, M.; Reed, E.J. Quantifying the Search for Solid Li-Ion Electrolyte Materials by Anion: A Data-Driven Perspective. J. Phys. Chem. C 2020, 124, 8067–8079. [Google Scholar] [CrossRef]
Disclaimer/Publisher’s Note: The statements, opinions and data contained in all publications are solely those of the individual author(s) and contributor(s) and not of MDPI and/or the editor(s). MDPI and/or the editor(s) disclaim responsibility for any injury to people or property resulting from any ideas, methods, instructions or products referred to in the content. |
© 2023 by the author. Licensee MDPI, Basel, Switzerland. This article is an open access article distributed under the terms and conditions of the Creative Commons Attribution (CC BY) license (https://creativecommons.org/licenses/by/4.0/).
















