Factors Affecting Capacity Design of Lithium-Ion Stationary Batteries
Abstract
1. Introduction
2. Factors Affecting Capacity Design of Lithium-ion Batteries
2.1. Nominal Voltage
2.2. Charging Voltage and State of Capacity
2.2.1. Charging Process and Voltage
2.2.2. Float Charging Voltage
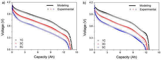
2.3. Discharge Current and Discharge Capacity
- Qp Discharge capacity when discharging at 1 A [Ah]
- I Discharge current [A]
- T Discharge time to reach discharge terminating voltage [s]
- K Constant, approximately 1.3.
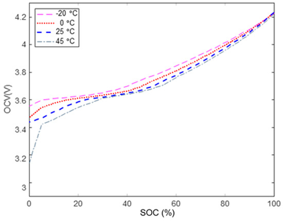
2.4. Operating Temperature and Discharge Capacity
2.5. Charging Cycle and Capacity Retention
3. Calculation of Lithium-ion Battery Capacity
3.1. Related Industrial Standards
3.2. Battery Capacity Calculation Formula
- Fs
- is the capacity required by DC loads [Wh];
- Fd
- is the battery capacity uncorrected for temperature, aging, and design margin etc.;
- Sf
- is the capacity correction factor.
- df
- is the design margin;
- tf
- is the temperature correction factor;
- cf
- is the state of charge (SOC) correction;
- af
- is the aging compensation;
- if
- is the inverter loss (for UPS battery only).
4. Case Study for Lithium-ion Battery Capacity Sizing
4.1. Non-Safety Related 125 V DC Batteries for a Nuclear Power Plant
4.2. Battery Cell and System Selection
1306.9 Ah × 125 V = 163,366.6 [Wh]
- (a)
- Battery Module
- Capacity: 9435 Wh
- Cell Type: 150 Ah (75 Ah × 2)
- Nominal Voltage: 62.9 V (3.7 V × 17)
- Connection Type: 17 Series × 2 Parallel
- (b)
- Battery Cubicle
- Number of Modules: 10 Module/Cubicle
- Connection Type: 2 Series × 5 Parallel
- Cubicle Capacity: 750 Ah (150 Ah × 5)
- Nominal Voltage: 125.8V (62.9 V × 2)
- Dimension (W × D × H): 1150 × 740 × 2116 mm
- Peak Discharge Rate; 6000 A (8 C)
- (c)
- Battery System
- Number of Cubicles: 3 Cubicles
- System connection Type: 3 Parallel
- Capacity: 2250 Ah (750 Ah × 3)
- Nominal Voltage: 125.8 V
- Energy: 283 kWh
- Footprint: 2.25 m2 (0.85 m2 × 3 Cubicles)
- (d)
- Practical Capacity Correction Factor:
- 283 kWh/163.3 kWh = 1.73
4.3. Equivalent Lead-acid Battery Capacity and Size
- F is uncorrected cell size;
- S is the section of the duty cycle being analyzed;
- N is the number of periods in the duty cycle;
- P is the period being analyzed;
- Ap are the amperes required for period P;
- t is the time in minutes from the beginning of period P through the end of section S;
- kt is the ratio of rated ampere-hour capacity of the cell, to the amperes that can be supplied by the cell for t minutes at 25 °C and to a given minimum cell voltage.
5. Results and Conclusions
Funding
Acknowledgments
Conflicts of Interest
References
- Chang, C.-H.; Sulley, M. Lithium-ion Stationary Battery Capacity Sizing Formula for the Establishment of Industrial Design Standard. J. Electr. Eng. Technol. 2018, 13, 2561–2567. [Google Scholar]
- Lin, X.; Park, J.; Liu, L.; Lee, Y.; Sastry, A.M.; Wei, L. A Comprehensive Capacity Fade Model and Analysis for Li-Ion Batteries. J. Electrochem. Soc. 2013, 160, A1701–A1710. [Google Scholar] [CrossRef]
- Liu, L.; Park, J.; Lin, X.; Sastry, A.M.; Lu, W. A thermal-electrochemical model that gives spatial-dependent growth of solid electrolyte interphase in a Li-ion battery. J. Power Sour. 2014, 268, 482–490. [Google Scholar] [CrossRef]
- Liu, L.; Guan, P.; Liu, C. Experimental and Simulation Investigations of Porosity Graded Cathodes in Mitigating Battery Degradation of High Voltage Lithium-Ion Batteries. J. Electrochem. Soc. 2017, 164, A3163–A3173. [Google Scholar] [CrossRef]
- Guan, P.; Liu, L.; Lin, X. Simulation and Experiment on Solid Electrolyte Interphase (SEI) Morphology Evolution and Lithium-Ion Diffusion. J. Electrochem. Soc. 2015, 162, A1798–A1808. [Google Scholar] [CrossRef]
- Nuclear Energy Institute’s Technical Report, Diverse and Flexible Coping Strategies (FLEX) Implementation Guide; Nuclear Energy Institute: Washington, DC, USA, 6 December 2016; pp. 8, 15 and 73.
- Types of Lithium-ion. Battery University. Available online: http://batteryuniversity.com/learn/articles/types_of_lithium_ion (accessed on 6 June 2019).
- Yoshio, M.; Brodd, R.J.; Kozawa, A. Lithium-Ion Batteries-Science and Technologies; Springer: New York, NY, USA, 2009; p. 32. [Google Scholar] [CrossRef]
- Coleman, M.; Lee, C.K.; Zhu, C.; Hurley, W.G. State of-charge determination from EMF voltage estimation: using impedance, terminal voltage, and current for lead-acid and lithium-ion batteries. IEEE Trans. Ind. Electron. 2007, 54, 2550–2557. [Google Scholar] [CrossRef]
- PowerStream. How Does Capacity Correlate with Charge Voltage for Lithium Ion Batteries? Available online: https://www.powerstream.com/lithium-ion-charge-voltage.htm (accessed on 27 March 2019).
- Ayoub, E.; Karami, N. Review on the Charging Techniques of a Li-ion Battery. In Proceedings of the Third International Conference on Technological Advances in Electrical, Electronics and Computer Engineering (TAEECE), Beirut, Lebanon, 29 April–1 May 2015. [Google Scholar] [CrossRef]
- Thomas, B.R. Linden’s Handbook of Batteries, 4th ed.; McGraw-Hill Co. Inc.: New York, NY, USA, 2011; pp. 26, 53. [Google Scholar]
- Whitham, D.R. DC Power System Design for Telecommunications; John Wiley and Sons: Piscataway, NJ, USA, 2012; p. 239. [Google Scholar]
- Thomas, B.R. Linden’s Handbook of Batteries, 3rd ed.; McGraw-Hill Co. Inc.: New York, NY, USA, 2002; pp. 35, 69. [Google Scholar]
- Takahashi, M.; Shodai, T. Float Charging Performance of Lithium Ion Batteries with LiFePO4 Cathode. Electrochemistry 2010, 78, 342–344. [Google Scholar] [CrossRef][Green Version]
- Matsushita Battery Industrial Co. Ltd. Sealed–Acid Batteries Technical Handbook 2000; Panasonic: Tokyo, Japan, 2000; p. 64. [Google Scholar]
- Yia, J.; Kooa, B.; Shina, C.B.; Hanb, T.; Park, S. Modeling the effect of aging on the electrical and thermal behaviors of a lithium-ion battery during constant current charge and discharge cycling. Comput. Chem. Eng. 2017, 99, 31–39. [Google Scholar] [CrossRef]
- Cha, H.-a.; Gong, S.-a.; Park, I.-l. Development of the Lithium-Ion Batery Feasibility Assessment Technology for Nuclear Power Plants; KINS/HR-1219; Korea Institute of Nuclear Safety: Seoul, Korea, 2012; Volume 11, p. 5. [Google Scholar]
- IEEE Recommended Practice for Sizing Lead-acid batteries for Stationary Applications; IEEE std. 485-1997; The Institute of Electrical and Electronics Engineers, Inc.: New York, NY, USA, 1997; pp. 9–12.
- Pesaran, A.; Santhanagopalan, S.; Kim, G.-I. Addressing the Impact of Temperature Extremes on Large Format Li-Ion Batteries for Vehicle Applications. In Proceedings of the 30th International Battery Seminar, Ft. Lauderdale, FL, USA, 11–14 March 2013. [Google Scholar]
- Bandhauer, T.M.; Garimella, S.; Fuller, T.F. A Critical Review of the Thermal Issues in Lithium-Ion Batteries. J. Electrochem. Soc. 2011, 158, R1–R25. [Google Scholar] [CrossRef]
- Yang, S.; Deng, C.; Zhang, Y.; He, Y. State of Charge Estimation for Lithium-Ion Battery with a Temperature-Compensated Model. Energies 2017, 10, 1560. [Google Scholar] [CrossRef]
- Zhang, R.; Xia, B.; Li, B.; Cao, L.; Lai, Y.; Zheng, W.; Wang, H.; Wang, W.; Wang, M. A Study on the Open Circuit Voltage and State of Charge Characterization of High Capacity Lithium-Ion Battery under Different Temperature. Energies 2018, 11, 2408. [Google Scholar] [CrossRef]
- Zhao, J.; Gao, Y.; Guo, J.; Chu, L.; Burke, A.F. Cycle life testing of lithium batteries: The effect of load-levelling. Int. J. Electrochem. Sci. 2018, 13, 1773–1786. [Google Scholar] [CrossRef]
- Matsudaa, T.; Andoa, K.; Myojina, M.; Matsumotob, M.; Sanadab, T.; Takaob, N.; Imaib, H.; Imamuraa, D. Investigation of the influence of temperature on the degradation mechanism of commercial nickel manganese cobalt oxide-type lithium-ion cells during long-term cycle tests. J. Energy Storage 2019, 21, 665–671. [Google Scholar] [CrossRef]
- IEEE std. 946-1992, IEEE Recommended Practice for the Design of DC Auxiliary Power Systems for Generating Stations. Available online: https://ieeexplore.ieee.org/document/213720 (accessed on 27 March 2019).
- Zar, M.S. Working group white paper on the use of IEEE 384-1992 standard criteria for independence of Class 1E equipment and circuits. In Proceedings of the 1994 IEEE Nuclear Science Symposium - NSS’94, Norfolk, VA, USA, 30 October–5 November 1994. [Google Scholar]
- Regulatory Guide 1.75, Physical Independence of Electric Systems, Revision 3. Available online: https://www.nrc.gov/docs/ML0436/ML043630448.pdf (accessed on 27 March 2019).
- KEPIC. Installation Design and Installation of Lithium-ion Batteries for Stationary Applications; EEG 1400; Korea Electric Association: Seoul, Korea, 31 December 2017; pp. 7–10. [Google Scholar]
- IEEE Recommended Practice for Maintenance, Testing, and Replacement of Vented Lead-Acid Batteries for Stationary Applications; IEEE Std. 450-1995; The Institute of Electrical and Electronics Engineers, Inc.: New York, NY, USA, 1995; pp. 7–11.
- Technical Specification of Battery, Kokam Battery Module KBM Series ‘KBM2P17S, Kokam, Suwon Korea. Available online: http://kokam.com/wp-content/uploads/2016/03/Kokam-Battery-Module-216-Series-Brochure1.pdf (accessed on 27 March 2019).
- Technical Specification of Battery, Global OPZS Type Stationary Flooded Tublar Lead Acid Battery, PS Series, Ver. 110210, Global Battery, Chang-woon Korea. Available online: www.gbattery.com/download? unit=product_english&id=10&no=0 (accessed on 27 March 2019).









| Battery Type | Voltage [V] | Usage Field | ||
|---|---|---|---|---|
| Lowest | Nominal | Max. | ||
| LiCoO2 | 3.0 | 3.6 | 4.2 | Cell phones, tablets |
| LiMn2O4 | 3.0 | 3.7 | 4.2 | Medical equipment, tram |
| LiNiMnCoO2 | 3.0 | 3.6 | 4.2 | Electric vehicles, industrial |
| LiFePO4 | 2.5 | 3.2 | 3.65 | High current load battery |
| LiNiCoAlO2 | 3.0 | 3.6 | 4.2 | Industrial, tram |
| Li4Ti5O12 | 1.8 | 2.4 | 2.85 | Uninterruptable power supply (UPS), tram |
| Battery Type | Lithium-Ion | Lead-Acid | NiMH |
|---|---|---|---|
| Energy density (Wh/kg) | 190~210 | 20~40 | 50~80 |
| Operation Temperature (°C) | −20~60 | 0~40 | −20~50 |
| Self-discharge rate (%/month) | 3~5 | 20~90 | 20~25 |
| Nominal Voltage (V) | 3.7 | 2.0 | 1.2 |
| Load Description | Load Current (A) | |||
|---|---|---|---|---|
| 0~1 Min | 1~30 Min | 30~120 Min | 2~4 H | |
| Chemical & Volume Control System (CVCS) | 3.14 | 3.14 | 3.14 | |
| Local Annunciator | 31.75 | 31.75 | 31.75 | |
| Emergency Lighting | 55.2 | 55.2 | 55.2 | 55.2 |
| FW Pump TBN Emergency Lube Oil Pump Motor | 136.85 | 39.1 | 39.1 | |
| Miscellaneous Valve | 15.93 | 15.93 | 15.93 | 15.93 |
| Medium & Low Voltage Switchgear | 96.3 | 26.5 | 26.5 | |
| Inverter Load | 1092.0 | 1092.0 | 87 | 87 |
| Total | 1431.17 | 1263.62 | 258.62 | 142.2 |
| Description | Rating |
|---|---|
| Discharge Time | 4 H |
| Battery Cell Capacity [10 h rate] | 3600 Ah (1800 Ah × 2 parallel) |
| Nominal Cell Voltage | 2.0 V |
| Cell End Voltage | 1.81 V |
| Battery System Voltage | 125 V |
| Minimum Voltage | 105 V |
| Maximum Voltage | 140 V |
| Number of Cells | 116 (58 × 2) |
| Footprint | 19.7 m2 |
| Description | Rating | Description | Rating |
|---|---|---|---|
| Nominal Cell Voltage | 3.7 V | System Nominal Voltage | 125.8 V |
| Cell Min. Voltage | 3.0 (3.09 *) V | System Minimum Voltage | 102 (105 *) V |
| Cell Max. Voltage | 4.2 V | System Maximum Voltage | 142.8 V |
| Cell Capacity | 75 Ah | Backup Time | 4 H |
| Number of Cells per Module | 34 (17 S × 2 P) | Max Continuous Charge C-rate | 1 C |
| Number of Modules per Cubicle | 10 (2 S × 5 P) | Max Continuous Discharge C-rate | 1 C |
| Number of Cubicles (Energy) | 3 (283 kWh) | Peak discharge C-rate | 3 C |
© 2019 by the author. Licensee MDPI, Basel, Switzerland. This article is an open access article distributed under the terms and conditions of the Creative Commons Attribution (CC BY) license (http://creativecommons.org/licenses/by/4.0/).
Share and Cite
Chang, C.-k. Factors Affecting Capacity Design of Lithium-Ion Stationary Batteries. Batteries 2019, 5, 58. https://doi.org/10.3390/batteries5030058
Chang C-k. Factors Affecting Capacity Design of Lithium-Ion Stationary Batteries. Batteries. 2019; 5(3):58. https://doi.org/10.3390/batteries5030058
Chicago/Turabian StyleChang, Choong-koo. 2019. "Factors Affecting Capacity Design of Lithium-Ion Stationary Batteries" Batteries 5, no. 3: 58. https://doi.org/10.3390/batteries5030058
APA StyleChang, C.-k. (2019). Factors Affecting Capacity Design of Lithium-Ion Stationary Batteries. Batteries, 5(3), 58. https://doi.org/10.3390/batteries5030058
