Glycine-Nitrate Process for Synthesis of Na3V2(PO4)3 Cathode Material and Optimization of Glucose-Derived Hard Carbon Anode Material for Characterization in Full Cells
Abstract
:1. Introduction
2. Materials and Methods
2.1. Synthesis of Na3V2(PO4)3
2.2. Synthesis of Hard Carbons
2.3. Physical Characterization
2.4. Electrode Preparation and Cell Assembly
2.5. Electrochemical Experiments
3. Results and Discussion
3.1. Physical Characterization of the Studied Materials
3.2. Electrochemical Characterization NVP Half Cells
3.3. Electrochemical Characterization of Hard Carbon Half Cells
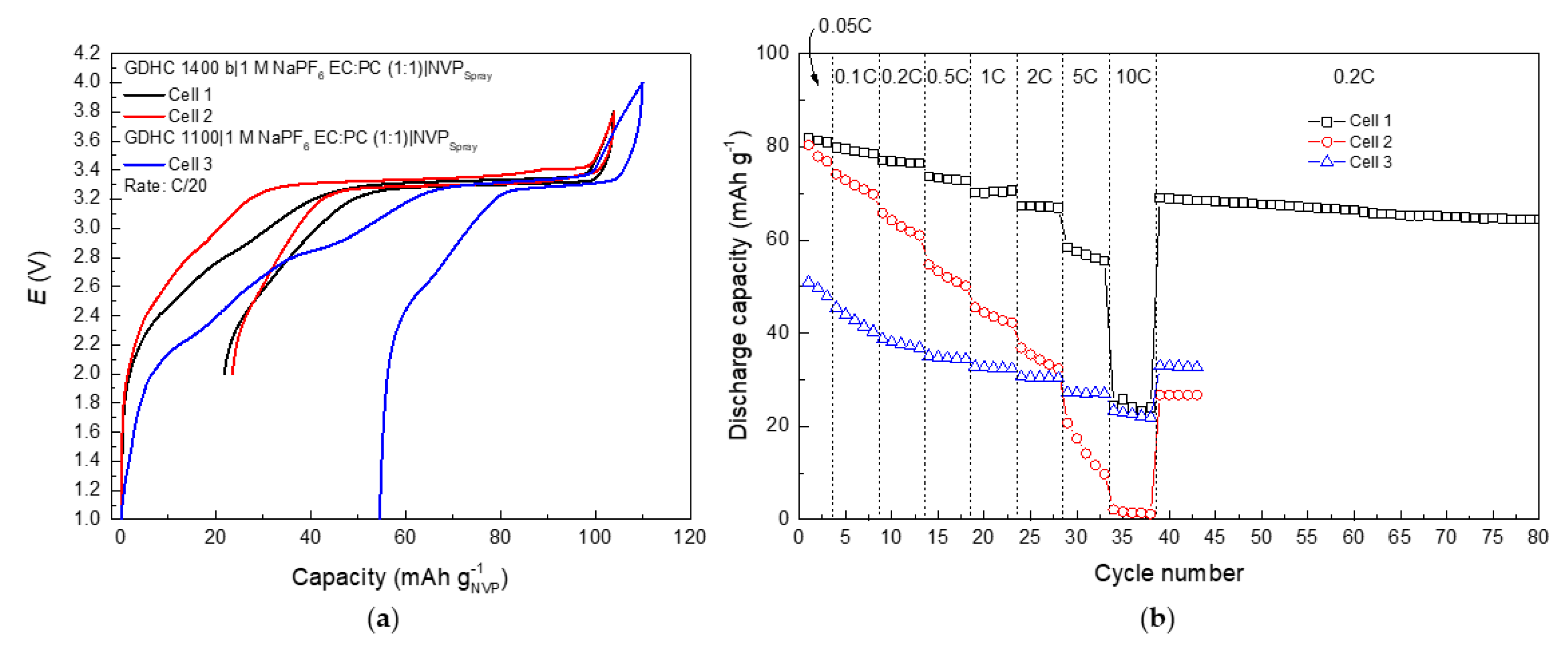
3.4. Electrochemical Characterization of GHDC||NVP Full Cells
4. Conclusions
Author Contributions
Funding
Acknowledgments
Conflicts of Interest
References
- British Geological Survey. Risk List 2015; British Geological Survey: Nottingham, UK, 2015.
- Carmichael, R.S. Practical Handbook of Physcial Properties of Rocks and Minerals; CRC Press: Boca Raton, FL, USA, 1989; ISBN 978-0-8493-3703-1. [Google Scholar]
- Hwang, J.-Y.; Myung, S.-T.; Sun, Y.-K. Sodium-ion batteries: Present and future. Chem. Soc. Rev. 2017, 46, 3529–3614. [Google Scholar] [CrossRef] [PubMed]
- Vaalma, C.; Buchholz, D.; Weil, M.; Passerini, S. A cost and resource analysis of sodium-ion batteries. Nat. Rev. Mater. 2018, 3, 18013. [Google Scholar] [CrossRef]
- Amnesty International. ‘This Is What We Die for.’ Human Rights Abuses in the Democratic Republic of the Congo Power the Global Trade in Cobalt; Amnesty International: London, UK, 2016. [Google Scholar]
- Yabuuchi, N.; Kubota, K.; Dahbi, M.; Komaba, S. Research Development on Sodium-Ion Batteries. Chem. Rev. 2014, 114, 11636–11682. [Google Scholar] [CrossRef] [PubMed]
- Hwang, J.; Matsumoto, K.; Hagiwara, R. Na3V2(PO4)3@Carbon Nanofibers: High Mass Loading Electrode Approaching Practical Sodium Secondary Batteries Utilizing Ionic Liquid Electrolytes. ACS Appl. Energy Mater. 2019, 2, 2818–2827. [Google Scholar] [CrossRef]
- Gopalakrishnan, J.; Rangan, K.K. V2(PO4)3: A Novel NASICON-Type Vanadium Phosphate Synthesized by Oxidative Deintercalation of Sodium from Na3V2(PO4)3. Chem. Mater. 1992, 4, 745–747. [Google Scholar] [CrossRef]
- Jian, Z.; Zhao, L.; Pan, H.; Hu, Y.-S.; Li, H.; Chen, W.; Chen, L. Carbon coated Na3V2(PO4)3 as novel electrode material for sodium ion batteries. Electrochem. Commun. 2012, 14, 86–89. [Google Scholar] [CrossRef]
- Chen, S.; Wu, C.; Shen, L.; Zhu, C.; Huang, Y.; Xi, K.; Maier, J.; Yu, Y. Challenges and Perspectives for NASICON-Type Electrode Materials for Advanced Sodium-Ion Batteries. Adv. Mater. 2017, 29, 1700431. [Google Scholar] [CrossRef]
- Cao, X.; Pan, A.; Yin, B.; Fang, G.; Wang, Y.; Kong, X.; Zhu, T.; Zhou, J.; Cao, G.; Liang, S. Nanoflake-constructed porous Na3V2(PO4)3/C hierarchical microspheres as a bicontinuous cathode for sodium-ion batteries applications. Nano Energy 2019, 60, 312–323. [Google Scholar] [CrossRef]
- Li, W.-J.; Han, C.; Wang, W.; Gebert, F.; Chou, S.-L.; Liu, H.-K.; Zhang, X.; Dou, S.-X. Commercial Prospects of Existing Cathode Materials for Sodium Ion Storage. Adv. Energy Mater. 2017, 7, 1700274. [Google Scholar] [CrossRef]
- Deganello, F.; Tyagi, A.K. Solution combustion synthesis, energy and environment: Best parameters for better materials. Prog. Cryst. Growth Charact. Mater. 2018, 64, 23–61. [Google Scholar] [CrossRef]
- Danks, A.E.; Hall, S.R.; Schnepp, Z. The evolution of ‘sol–gel’ chemistry as a technique for materials synthesis. Mater. Horiz. 2016, 3, 91–112. [Google Scholar] [CrossRef]
- Jain, S.R.; Adiga, K.C.; Pai Verneker, V.R. A new approach to thermochemical calculations of condensed fuel-oxidizer mixtures. Combust. Flame 1981, 40, 71–79. [Google Scholar] [CrossRef]
- Hajarpour, S.; Gheisari, K.; Raouf, A.H. Characterization of nanocrystalline Mg0.6Zn0.4Fe2O4 soft ferrites synthesized by glycine-nitrate combustion process. J. Magn. Magn. Mater. 2013, 329, 165–169. [Google Scholar] [CrossRef]
- Singh, S.; Singh, D. LaSrFeO4 nanopowders synthesized by different combustion methods: Effect of fuel/particle size. Ceram. Int. 2016, 42, 15725–15731. [Google Scholar] [CrossRef]
- Chick, L.A.; Pederson, L.R.; Maupin, G.D.; Bates, J.L.; Thomas, L.E.; Exarhos, G.J. Glycine-nitrate combustion synthesis of oxide ceramic powders. Mater. Lett. 1990, 10, 6–12. [Google Scholar] [CrossRef]
- Vujković, M.; Mitrić, M.; Mentus, S. High-rate intercalation capability of NaTi2(PO4)3/C composite in aqueous lithium and sodium nitrate solutions. J. Power Sources 2015, 288, 176–186. [Google Scholar] [CrossRef]
- Amaraweera, T.H.N.G.; Wijayasinghe, A.; Mellander, B.-E.; Dissanayake, M.A.K.L. Development of Li(Ni1/3Mn1/3Co1/3-xNax)O2 cathode materials by synthesizing with glycine nitrate combustion technique for Li-ion rechargeable batteries. Ionics 2017, 23, 3001–3011. [Google Scholar] [CrossRef]
- Habibi, A.; Jalaly, M.; Rahmanifard, R.; Ghorbanzadeh, M. Solution combustion synthesis of the nanocrystalline NCM oxide for lithium-ion battery uses. Mater. Res. Express 2018, 5, 025506. [Google Scholar] [CrossRef]
- Sloovere, D.D.; Marchal, W.; Ulu, F.; Vranken, T.; Verheijen, M.; Bael, M.K.V.; Hardy, A. Combustion synthesis as a low temperature route to Li4Ti5O12 based powders for lithium ion battery anodes. RSC Adv. 2017, 7, 18745–18754. [Google Scholar] [CrossRef]
- Doeff, M.M.; Richardson, T.J.; Hollingsworth, J.; Yuan, C.-W.; Gonzales, M. Synthesis and characterization of a copper-substituted manganese oxide with the Na0.44MnO2 structure. J. Power Sources 2002, 112, 294–297. [Google Scholar] [CrossRef]
- Eriksson, T.A.; Doeff, M.M. A study of layered lithium manganese oxide cathode materials. J. Power Sources 2003, 119, 145–149. [Google Scholar] [CrossRef]
- Doeff, M.M.; Richardson, T.J.; Hwang, K.-T. Electrochemical and structural characterization of titanium-substituted manganese oxides based on Na0.44MnO2. J. Power Sources 2004, 135, 240–248. [Google Scholar] [CrossRef]
- Saint, J.A.; Doeff, M.M.; Wilcox, J. Electrode Materials with the Na0.44MnO2 Structure: Effect of Titanium Substitution on Physical and Electrochemical Properties. Chem. Mater. 2008, 20, 3404–3411. [Google Scholar] [CrossRef]
- Ferrara, C.; Tealdi, C.; Dall’Asta, V.; Buchholz, D.; Chagas, L.G.; Quartarone, E.; Berbenni, V.; Passerini, S. High-Performance Na0.44MnO2 Slabs for Sodium-Ion Batteries Obtained through Urea-Based Solution Combustion Synthesis. Batteries 2018, 4, 8. [Google Scholar] [CrossRef]
- Zhang, R.; Yang, X.; Zhang, D.; Qiu, H.; Fu, Q.; Na, H.; Guo, Z.; Du, F.; Chen, G.; Wei, Y. Water soluble styrene butadiene rubber and sodium carboxyl methyl cellulose binder for ZnFe2O4 anode electrodes in lithium ion batteries. J. Power Sources 2015, 285, 227–234. [Google Scholar] [CrossRef]
- Adams, R.A.; Pol, V.G.; Varma, A. Tailored Solution Combustion Synthesis of High Performance ZnCo2O4 Anode Materials for Lithium-Ion Batteries. Ind. Eng. Chem. Res. 2017, 56, 7173–7183. [Google Scholar] [CrossRef]
- Yang, L.; Wang, M.; Zeng, D. Precursor Formulation for Battery Active Materials Synthesis. US Patent US13/470,041, 11 May 2012. [Google Scholar]
- Wang, H.; Jiang, D.; Zhang, Y.; Li, G.; Lan, X.; Zhong, H.; Zhang, Z.; Jiang, Y. Self-combustion synthesis of Na3V2(PO4)3 nanoparticles coated with carbon shell as cathode materials for sodium-ion batteries. Electrochim. Acta 2015, 155, 23–28. [Google Scholar] [CrossRef]
- Väli, R.; Jänes, A.; Thomberg, T.; Lust, E. D-Glucose Derived Nanospheric Hard Carbon Electrodes for Room-Temperature Sodium-Ion Batteries. J. Electrochem. Soc. 2016, 163, A1619–A1626. [Google Scholar] [CrossRef]
- Väli, R.; Jänes, A.; Thomberg, T.; Lust, E. Synthesis and characterization of d-glucose derived nanospheric hard carbon negative electrodes for lithium- and sodium-ion batteries. Electrochim. Acta 2017, 253, 536–544. [Google Scholar] [CrossRef]
- Lee, S.E.; Tang, M.H. Electroactive decomposition products cause erroneous intercalation signals in sodium-ion batteries. Electrochem. Commun. 2019, 100, 70–73. [Google Scholar] [CrossRef]
- Guo, B.; Diao, W.; Yuan, T.; Liu, Y.; Yuan, Q.; Li, G.; Yang, J. Enhanced electrochemical performance of Na3V2(PO4)2F3 for Na-ion batteries with nanostructure and carbon coating. J. Mater. Sci. Mater. Electron. 2018, 29, 16325–16329. [Google Scholar] [CrossRef]
- Lim, S.Y.; Kim, H.; Shakoor, R.A.; Jung, Y.; Choi, J.W. Electrochemical and Thermal Properties of NASICON Structured Na3V2(PO4)3 as a Sodium Rechargeable Battery Cathode: A Combined Experimental and Theoretical Study. J. Electrochem. Soc. 2012, 159, A1393–A1397. [Google Scholar] [CrossRef]
- Klee, R.; Aragón, M.J.; Alcántara, R.; Tirado, J.L.; Lavela, P. High-Performance Na3V2(PO4)3/C Cathode for Sodium-Ion Batteries Prepared by a Ball-Milling-Assisted Method. Eur. J. Inorg. Chem. 2016, 2016, 3212–3218. [Google Scholar] [CrossRef]
- Väli, R.; Jänes, A.; Lust, E. Alkali-Metal Insertion Processes on Nanospheric Hard Carbon Electrodes: An Electrochemical Impedance Spectroscopy Study. J. Electrochem. Soc. 2017, 164, E3429–E3437. [Google Scholar] [CrossRef]
- Mathiesen, J.K.; Väli, R.; Härmas, M.; Lust, E.; Bulow, J.F.V.; Jensen, K.M.Ø.; Norby, P. Following the In-plane Disorder of Sodiated Hard Carbon through Operando Total Scattering. J. Mater. Chem. A 2019, 7, 11709–11717. [Google Scholar] [CrossRef]
- Dou, X.; Hasa, I.; Saurel, D.; Vaalma, C.; Wu, L.; Buchholz, D.; Bresser, D.; Komaba, S.; Passerini, S. Hard carbons for sodium-ion batteries: Structure, analysis, sustainability, and electrochemistry. Mater. Today 2019, 23, 87–104. [Google Scholar] [CrossRef]
- Meister, P.; Jia, H.; Li, J.; Kloepsch, R.; Winter, M.; Placke, T. Best Practice: Performance and Cost Evaluation of Lithium Ion Battery Active Materials with Special Emphasis on Energy Efficiency. Chem. Mater. 2016, 28, 7203–7217. [Google Scholar] [CrossRef]
- Kasnatscheew, J.; Placke, T.; Streipert, B.; Rothermel, S.; Wagner, R.; Meister, P.; Laskovic, I.C.; Winter, M. A Tutorial into Practical Capacity and Mass Balancing of Lithium Ion Batteries. J. Electrochem. Soc. 2017, 164, A2479–A2486. [Google Scholar] [CrossRef]
- Dahbi, M.; Nakano, T.; Yabuuchi, N.; Ishikawa, T.; Kubota, K.; Fukunishi, M.; Shibahara, S.; Son, J.-Y.; Cui, Y.-T.; Oji, H.; et al. Sodium carboxymethyl cellulose as a potential binder for hard-carbon negative electrodes in sodium-ion batteries. Electrochem. Commun. 2014, 44, 66–69. [Google Scholar] [CrossRef]







| Sample | mNH4VO3 (g) | Na:V | P:V | CA:V | G:V | Fuels:V | Glucose (wt%) | HT Yield (%) |
|---|---|---|---|---|---|---|---|---|
| NVP-stir | 0.513 | 1.5 | 1.5 | 3.73 | 0 | 3.73 | 0 | 92 |
| NVP-drop | 0.514 | 1.5 | 1.5 | 3.73 | 0 | 3.75 | 0 | 36 |
| NVP-spray | 0.513 | 1.5 | 1.5 | 1.15 | 1.05 | 2.20 | 25 | 70 |
| NVP-spray-2 | 6.442 | 1.5 | 1.5 | 1.15 | 1.05 | 2.19 | 25 | 71 |
| NVP-spray-3 | 6.669 | 1.5 | 1.5 | 1.15 | 1.05 | 2.20 | 0 | 88 |
© 2019 by the authors. Licensee MDPI, Basel, Switzerland. This article is an open access article distributed under the terms and conditions of the Creative Commons Attribution (CC BY) license (http://creativecommons.org/licenses/by/4.0/).
Share and Cite
Väli, R.; Aruväli, J.; Härmas, M.; Jänes, A.; Lust, E. Glycine-Nitrate Process for Synthesis of Na3V2(PO4)3 Cathode Material and Optimization of Glucose-Derived Hard Carbon Anode Material for Characterization in Full Cells. Batteries 2019, 5, 56. https://doi.org/10.3390/batteries5030056
Väli R, Aruväli J, Härmas M, Jänes A, Lust E. Glycine-Nitrate Process for Synthesis of Na3V2(PO4)3 Cathode Material and Optimization of Glucose-Derived Hard Carbon Anode Material for Characterization in Full Cells. Batteries. 2019; 5(3):56. https://doi.org/10.3390/batteries5030056
Chicago/Turabian StyleVäli, Ronald, Jaan Aruväli, Meelis Härmas, Alar Jänes, and Enn Lust. 2019. "Glycine-Nitrate Process for Synthesis of Na3V2(PO4)3 Cathode Material and Optimization of Glucose-Derived Hard Carbon Anode Material for Characterization in Full Cells" Batteries 5, no. 3: 56. https://doi.org/10.3390/batteries5030056
APA StyleVäli, R., Aruväli, J., Härmas, M., Jänes, A., & Lust, E. (2019). Glycine-Nitrate Process for Synthesis of Na3V2(PO4)3 Cathode Material and Optimization of Glucose-Derived Hard Carbon Anode Material for Characterization in Full Cells. Batteries, 5(3), 56. https://doi.org/10.3390/batteries5030056

