Next Article in Journal
PIDNN: A Hybrid Intelligent Prediction Model for UAV Battery Degradation
Previous Article in Journal
Investigation of Laser Intensity Profiles in the Laser Drying of Anodes for Lithium-Ion Battery Production
Previous Article in Special Issue
Research on the Active Safety Warning Technology of LIBs Thermal Runaway Based on FBG Sensing
 
 
Font Type:
Arial Georgia Verdana
Font Size:
Aa Aa Aa
Line Spacing:
Column Width:
Background:
Article

A State of Health Estimation Method for Lithium-Ion Battery Packs Using Two-Level Hierarchical Features and TCN–Transformer–SE

1
College of Intelligent Science and Control Engineering, Jinling Institute of Technology, Nanjing 211169, China
2
School of Future Technology, China University of Geosciences, Wuhan 430074, China
*
Author to whom correspondence should be addressed.
Batteries 2026, 12(4), 123; https://doi.org/10.3390/batteries12040123
Submission received: 24 February 2026 / Revised: 17 March 2026 / Accepted: 28 March 2026 / Published: 1 April 2026
(This article belongs to the Special Issue Advanced Intelligent Management Technologies of New Energy Batteries)

Abstract

This study proposes a novel state of health (SOH) estimation method by extracting two-level hierarchical features linked to fundamental degradation mechanisms. At the module level, the length of the incremental power curve during constant current charging is extracted, capturing cumulative effects of subtle changes. At the cell level, a combined temperature-weighted voltage inconsistency curve is constructed. The state of charge (SOC) at its distinct knee point within the high-SOC range is a key indicator, signifying the accelerated failure stage where polarization and thermoelectric feedback intensify. This knee-point SOC quantitatively reflects the degree of SOH degradation, making it a valid feature for accurate SOH estimation. The proposed Temporal Convolutional Network–Transformer–Squeeze-and-Excitation (TCN–Transformer–SE) model assigns weights to these features via Squeeze-and-Excitation (SE) and uses Temporal Convolutional Network (TCN) and Transformer branches for parallel local and global temporal decisions. Aging experiments demonstrate the method’s superiority through multi-feature comparison, ablation studies, and benchmark evaluation, achieving a maximum mean absolute error (MAE) of 0.0031, a root mean square error (RMSE) of 0.0038, a coefficient of determination (R2) of 0.9937 and a mean absolute percentage error (MAPE) of 0.3820. The work provides a fusion estimation framework with enhanced interpretability grounded in electrochemical analysis.

Graphical Abstract

1. Introduction

Lithium-ion batteries [1] have become essential energy storage units in electric vehicles and large-scale energy storage systems due to their high energy density [2], long cycle life, and low self-discharge rates [3]. However, performance degradation is inevitable during use, manifesting as capacity reduction [4], increased internal resistance, and other issues that directly affect the battery’s reliability and safety [5]. Battery state of health (SOH), a key indicator for assessing battery performance degradation, has thus become a primary focus of concern.
In recent years, numerous academic studies have been conducted both domestically and internationally to achieve precise estimation of the SOH of batteries. Research methods can be classified into two categories: model-based methods [6,7] and data-driven methods [8,9,10,11,12,13,14,15,16,17,18,19,20,21,22,23,24,25,26,27,28]. Model-based methods describe the dynamic behavior and internal state of batteries by establishing corresponding mathematical models, which can be further divided into equivalent circuit models [6] and electrochemical models [7]. The equivalent circuit model employs a circuit network composed of components such as resistors, capacitors, and voltage sources to transform complex electrochemical behaviors into quantifiable circuit parameters. In contrast, the electrochemical model is based on the internal reaction mechanisms of the battery and precisely describes the kinetics of electrode processes and material transport characteristics using approaches such as partial differential equations. Although these methods have clear physical interpretations, they still face limitations in practical applications, including model complexity, difficulty in parameter identification, and sensitivity to operating conditions.
The data-driven approach first extracts features from battery operation data and then establishes the mapping relationship between the SOH and feature parameters using machine learning methods, without relying on complex electrochemical mechanisms. Existing studies primarily extract voltage [8,9], current [10,11,12], and temperature [13] as features. Additionally, mechanism-based features can be derived through differential voltage analysis (DVA) [8], incremental capacity analysis (ICA) [10,11,12], and differential thermal voltammetry (DTV) [13], among others. However, these methods often overlook the battery’s power output characteristics under dynamic working conditions. Regarding model development, traditional machine learning models such as Support Vector Machine (SVM) [14], Gaussian Process Regression (GPR) [15], Extreme Learning Machine (ELM) [16,17], and Random Forest (RF) [18] have been employed for SOH estimation. Although these methods offer high computational efficiency, they typically depend on manually extracted features as inputs and struggle to capture the highly nonlinear and long-term time-dependent characteristics inherent in battery degradation. With advances in deep learning, recurrent neural networks and their variants—such as Long Short-Term Memory (LSTM) [19,20], Gated Recurrent Unit (GRU) [21], Convolutional Neural Network–Long Short-Term Memory (CNN-LSTM) [22,23,24], and Transformer [25,26] models—have been applied for model training. For example, Gu et al. [25] proposed an improved CNN–Transformer model that estimates the SOH of lithium-ion batteries using techniques such as feature selection and normalization. However, these models treat all input data equally and cannot distinguish key information, which limits their accuracy in characterizing the degradation process. Furthermore, Temporal Convolutional Networks (TCNs) [27,28] effectively capture local temporal features during battery degradation through a causal dilated convolutional structure. For instance, Liu et al. [27] developed an SOH prediction model integrating multi-channel TCN and GRU with a self-attention mechanism (GRU-SA), significantly improving prediction accuracy.
Although existing deep learning-based SOH estimation methods, including CNN, T LSTM, Transformer, TCN, and hybrid models combining these architectures with attention mechanisms, have demonstrated promising performance, these methods primarily focus on model architecture optimization and rely on conventional signal features (voltage, current, temperature), often operating at either the module or cell level without modeling correlations between module-level and cell-level degradation.
In contrast, the proposed method is a hybrid TCN–Transformer model enhanced with an SE mechanism. It extracts module-cell and cell-level electrochemically informed features, enabling the model to capture both local and global dependencies while preserving electrochemical interpretability. This two-level hierarchical, mechanism-informed feature design allows the model to reflect both overall battery performance decay and internal cell inconsistency [29], providing more accurate and physically meaningful SOH estimation. The main contributions of this study are summarized as follows:
(1)
Beyond conventional signal processing, this study proposes a mechanism-informed feature extraction framework. At the module level, the length of the incremental power curve is selected as a feature, which serves as a macroscopic indicator capturing the cumulative effects of internal resistance increase and polarization intensification. At the cell level, the SOC at the knee point of the combined temperature-weighted voltage inconsistency curve is extracted, which is physically linked to the accelerated degradation stage triggered by strong polarization and thermoelectric feedback under high SOC conditions. These two-level hierarchical features offer highly complementary physical criteria for SOH estimation, addressing both overall performance decay and internal inconsistency evolution.
(2)
To effectively fuse the above features with distinct electrochemical implications, this work proposes the TCN–Transformer–SE model. This approach dynamically assigns weights to the two-level hierarchical features using the Squeeze-and-Excitation (SE) mechanism, ensuring that the model prioritizes the most degradation-relevant information. The local temporal perception capabilities of the TCN are deeply integrated with the global dependency modeling of the Transformer to comprehensively capture the dynamic electrochemical processes. Additionally, the Huber loss function is employed to improve the model’s robustness against outliers.
(3)
Comprehensive aging experiments on a lithium-ion battery pack are conducted to validate the proposed method. The validation not only confirms the estimation accuracy but, more importantly, substantiates the electrochemical rationale behind the feature selection and model design. The superiority and interpretability of the proposed SOH estimation framework are rigorously demonstrated through multi-feature comparison experiments, ablation studies, data sensitivity analyses, and comparative experiments with benchmark models.
The remainder of this article is organized as follows. Section 2 provides a detailed introduction to the methods for extracting two-level hierarchical features. Section 3 presents the proposed TCN–Transformer–SE model and analyzes its advantages. Section 4 describes experimental procedures, results, and analysis. Finally, Section 5 concludes the study.

2. Two-Level Hierarchical Feature Extraction

To comprehensively analyze the degradation behavior of battery modules and cells, this study proposes a two-level hierarchical feature extraction method. At the module level, the length of the incremental power curve during the constant current charging stage is selected as the key indicator. At the cell level, the SOC at the knee point of the combined temperature-weighted voltage inconsistency curve within the high SOC range throughout the charging cycle is extracted as the key indicator.

2.1. Incremental Power Analysis

This study proposes a feature extraction method based on incremental power. Under constant current charging conditions, the current remains constant while the power variation is mainly determined by the voltage response. As the battery ages, the internal resistance increases and the polarization effect intensifies [30], causing the voltage to stabilize with respect to the capacity variation. This subsequently leads to a change in the rate of power variation with capacity, ultimately manifesting as a change in the length of the incremental power curve. ICA mainly relies on the differential transformation of voltage to capacity to characterize battery degradation. However, not all degradation features can be manifested through peak values during the battery aging process. Especially in multi-cycle usage, the degradation performance of the battery is usually a gradual change, and peak information is difficult to comprehensively capture this continuous evolution process. In contrast, the incremental power method proposed in this paper is based on the differential relationship between power and capacity, and can comprehensively reflect the energy conversion process of the battery. The rate of change of power with respect to capacity within each cycle is calculated using the numerical difference method, as illustrated in Figure 1, thereby obtaining the incremental power relationship. The calculation is as follows:
Δ P Δ C i = P i + 1 P i C i + 1 C i
where P and C represent power and capacity, respectively, and i is the sampling point index within a single charging cycle.
Figure 1 presents the incremental power curves of several representative cycles before filtering. It can be observed that the curves contain significant oscillations with multiple local peaks, which are mainly caused by the differential calculation process that amplifies small variations and measurement noise in the original signals. These fluctuations may interfere with the accurate extraction of aging-related features. Before extracting features, Gaussian filtering (σ = 7, kernel size = 57) was applied to smooth the curve, effectively removing high-frequency noise while fully preserving the primary features that reflect the battery’s aging trend. The final incremental power curve is shown in Figure 2.
Based on this, the curve length corresponding to each cycle is used as a feature. The length is defined as follows:
L = i = 1 n 1 ( Δ x i ) 2 + ( Δ y i ) 2
where L represents the curve length, xi represents the abscissa of the curve at the i-th sampling point, which is the index of the sampling point, and yi represents the ordinate of the curve at the i-th sampling point, which is the rate of change of power at the i-th point with respect to capacity. n is the total number of sampling points of the curve.

2.2. Combined Temperature-Weighted Voltage Inconsistency Curve

In the high SOC range, the battery’s polarization phenomenon is significantly intensified. Even minor differences among individual cells are amplified by thermoelectric feedback, resulting in a pronounced knee point in the voltage inconsistency curve. This inflection point marks the transition from a slow degradation phase to an accelerated failure stage in battery aging. Because temperature variations not only influence polarization but also exacerbate uneven voltage distribution through thermal feedback, this paper simultaneously extracts temperature and voltage data from each channel during the cyclic charging process to develop a combined temperature-weighted voltage inconsistency index. Traditional DVA and DTA features typically focus on either voltage or temperature changes separately, making it difficult to capture this complex interaction effect. By incorporating temperature weighting, this method not only more accurately identifies transition points in battery degradation but also better addresses the complex battery behavior in high SOC ranges.
First, calculate the temperature variance for each temperature acquisition channel over time:
s i 2 = 1 n t = 1 n ( T i , t T i avg ) 2
where si2 represents the temperature variance of the i-th channel, Ti,t is the temperature value of the i-th channel at time t, Tiavg is the average temperature of the i-th channel, and n is the total number of channels.
Normalization yields the weighting coefficient:
s = i = 1 n s i 2
w i = s i 2 s
where s is the sum of the temperature variances of all channels, and wi is the normalized temperature weight of the i-th channel.
Channels with larger variances exhibit greater thermal volatility and are assigned higher weights in the overall inconsistency assessment. Based on this, the combined temperature-weighted voltage inconsistency is defined as follows:
W = i = 1 n w i
V t avg = i = 1 n w i V i , t W
C t = i = 1 n w i ( V i , t V t avg ) 2 W
where W represents the total sum of the temperature weights across all channels, Vi,t denotes the voltage values of the i-th channel at time t, Vtavg is the average voltage across channels after temperature weighting, and Ct is the combined temperature-weighted voltage inconsistency at time t.
As shown in Figure 3, the curve exhibits a distinct knee point within the 0.8–1.0 SOC range, corresponding to the increased voltage difference caused by polarization effects and thermal coupling at the end of charging. This curve quantifies the combined effect of voltage and temperature disparities across cells. In battery degradation studies, knee points observed in aging-related curves are commonly interpreted as transitions from a relatively slow degradation regime to a more rapid degradation regime, where the slope and degradation rate increase significantly after the knee point [31]. Similarly, identification methods for battery degradation trajectories have defined knee points as the boundary between linear and nonlinear (accelerated) decay stages [32]. In our study, the observed knee point in the temperature-weighted voltage inconsistency curve within the high-SOC region marks a transition to a faster increase in cell-to-cell divergence, which can be interpreted as indicative of the onset of accelerated degradation in the battery pack. Therefore, the SOC at this knee point is identified as a key indicator of consistency degradation.

2.3. Feature Sensitivity Analysis and Degradation Characterization Evaluation

To systematically evaluate the sensitivity of the extracted features to the battery degradation process and their characterization capabilities, this section selects the two-level hierarchical features for analysis. Firstly, the features and SOH are normalized, and they are uniformly mapped to the [0, 1] interval to eliminate the influence of units:
X norm = X X min X max X min
S O H n o r m = S O H S O H m i n S O H m a x S O H m i n
where X represents the original feature value, and Xmin and Xmax represent the minimum and maximum values of this feature over the entire cycling process. SOH represents the original battery health status, while SOHmin and SOHmax represent its minimum and maximum values, respectively. Xnorm and SOHnorm represent the normalized feature value and SOH, respectively.
To quantify the degree of drift of the characteristics over the aging process of the battery, the absolute change in each parameter relative to the first cycle is calculated:
Δ X ( i ) = X n o r m ( i ) X n o r m ( 1 )
Δ S O H ( i ) = S O H n o r m ( i ) S O H n o r m ( 1 )
where i represents the cycle index, Xnorm(i) and SOHnorm(i) represent the normalized feature value and SOH at the i-th cycle, and Xnorm(1) and SOHnorm(1) represent the normalized feature value at the first cycle. ΔX(i) and ΔSOH(i) represent the changes in the normalized feature value and normalized SOH at the i-th cycle relative to the first cycle.
Subsequently, the Pearson correlation coefficient R was used to analyze the linear correlation between ΔX and ΔSOH:
R = i = 1 n Δ X ( i ) Δ X ¯ Δ S O H ( i ) Δ S O H ¯ i = 1 n Δ X ( i ) Δ X ¯ 2 i = 1 n Δ S O H ( i ) Δ S O H ¯ 2
where R represents Pearson correlation coefficient, and Δ X ¯ and Δ S O H ¯ represent the mean values of ΔX(i) and ΔSOH(i) over all cycles. n represents the total number of cycles.
The value range of Pearson correlation coefficient R is [−1, 1]. The closer the absolute value is to 1, the stronger the linear correlation between the feature change and the degradation of SOH will be, indicating that this feature is more sensitive to battery aging. Meanwhile, the corresponding p-value (probability of significance) is calculated using a t-test to assess the statistical significance of the correlation, with p < 0.05 indicating a statistically significant correlation.
As shown in Figure 4, the variations in the two features both exhibit strong linear correlations with the variation in SOH. Among them, the Pearson correlation coefficient of the length of incremental power curve feature reaches 0.994 (p < 0.001), with the data points closely distributed around the y = x reference line. This indicates that the change in this feature is almost synchronized with SOH degradation, demonstrating extremely high sensitivity to battery aging. The Pearson correlation coefficient of the SOC at the knee point feature is 0.9937 (p < 0.001), which also shows a strong correlation with SOH variation, further verifying the sensitivity of this feature to the battery degradation process.
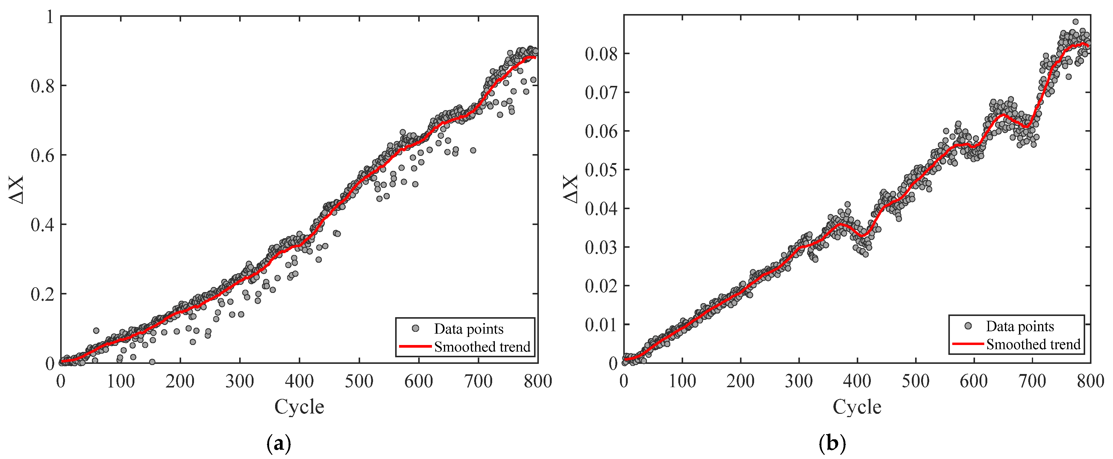
Figure 5 illustrates the evolution of feature variations with respect to the cycle number. It can be observed that as the number of cycles increases, both features gradually deviate from their initial values, intuitively reflecting the progressive aging process of the battery. From the smoothed trend curves, the length of the incremental power curve feature exhibits a stable monotonic increasing trend without obvious local fluctuations, demonstrating good stability and strong capability for degradation characterization. The SOC at the knee point feature also shows an overall increasing trend, and its variation remains consistent with the battery aging process, effectively reflecting the dynamic characteristics of degradation.

3. Battery SOH Estimation Model Based on TCN–Transformer–SE

The TCN–Transformer–SE model proposed in this study achieves dynamic feature weight distribution through the SE mechanism. The TCN component captures local dependencies, while the Transformer focuses on global dependencies. Finally, the model’s robustness is enhanced by incorporating the Huber function.

3.1. SE

Under dual-channel input conditions, the contributions of different features to SOH estimation vary dynamically. To enable adaptive weighting between channels, the SE module is introduced to assign weights to features dynamically at two hierarchical levels.
First, perform global average pooling along the temporal dimension to obtain a statistical vector at the channel level:
s = 1 N t = 1 L x t
where s represents the statistical vector at the channel level, N is the number of data points, and xt denotes the data point at time t.
The channel weights are then generated through two layers of fully connected mappings:
g = σ W 2 φ ( W 1 s ) τ
where g represents the channel weight, W1 and W2 are the dimensionality reduction and dimensionality increase matrices, φ (·) is the ReLU activation function, σ (·) is the sigmoid activation function, and τ is the temperature coefficient.
The parameter τ adjusts the smoothness of the weight distribution. A smaller τ enhances inter-channel discrimination, while a larger τ produces smoother weight responses. In this study, τ is set within the range of 0.9–1.2 to achieve moderate regulation around the standard sigmoid (τ = 1), ensuring both feature sensitivity and numerical stability. The final adopted value is τ = 0.9.
After channel weighting, the original input and recalibration features are fused:
X ( s e ) = ( 1 γ ) X + γ ( X g )
where X(se) represents a weighted fused feature; g is the channel weighting coefficient; γ is the weighted fusion intensity coefficient, with a value range of [0, 1]; X is the input feature; and ⊙ denotes the channel-by-channel multiplication operation.

3.2. TCN

Traditional recurrent neural networks (RNNs) and their variants are constrained by sequential computing structures, which impede efficient parallel training. Additionally, they are prone to gradient instability when modeling local dependencies. To overcome these challenges, this paper introduces TCNs. The architecture, depicted in Figure 6, features a core composed of stacked residual convolutional blocks.
The calculation of the l-layer convolutional block can be expressed as follows:
H ( l ) = φ W ( l ) H ( l 1 ) + b ( l ) + H ( l 1 )
where H(l) represents the output of the l layer in the neural network, W(l) and b(l) are the weights and bias terms of the convolution kernels, respectively, and H(l−1) is the residual term.
The overall temporal receptive field of the model is
R = 1 + l = 1 L c ( k 1 ) d l
where R represents the overall time receptive field, Lc is the number of convolutional layers, k is the length of the convolutional kernel, and dl is the cavity rate of the l layer.
Finally, take the end output of the last layer:
h t c n = ( H ( L c ) ) L R d c
where htcn represents the end output of the last layer, (H(Lc)) L is the end output of the last convolutional block in the time dimension, Rdc indicates that this output vector belongs to the real number space of dc dimension, and dc is the number of output channels.

3.3. Transformer

In this paper, we develop a global feature extraction module using a Transformer encoder. This module employs a multi-head attention architecture, enabling it to systematically capture global dependency relationships from parallel and diverse dependency patterns across various feature subspaces. The specific structure is illustrated in Figure 7.
First, apply a linear transformation to the output of the SE module and add a learnable positional encoding:
Z t = W p X ( s e ) + b p + p t
where Zt represents the learnable positional encoding, Wp is the linear projection matrix, bp is the bias term, and pt is the learnable position vector.
Subsequently, in the encoding layer, queries, keys, and values are obtained through linear mappings, and the attention output is calculated:
A = softmax Q K T d k + M
O = AV
where Q is the query matrix, KT is the transpose of the key matrix K, M is the upper triangular mask matrix, dk is the dimension of the key, softmax (·) is the normalization function, A is the attention matrix, V is the value matrix, and O is the output of the single-head attention mechanism.
After combining multi-head attention with the feedforward network, the model acquires a global feature representation:
h tfm = Transformer ( Z ) L R d m
where htfm represents the global feature representation, (Transformer(Z))L denotes the output processed by the l-th layer of the Transformer encoder, and dm is the output dimension of the Transformer.

3.4. Huber Loss Function

During training, the Huber loss function is employed to improve the model’s robustness against outliers:
F = 1 2 ( y y ) 2 ,   | y y | δ δ | y y | 1 2 δ   | y y | > δ
where F represents the loss function, y denotes the true value of the sample, y′ is the model estimate, and δ is the smoothing threshold.

3.5. TCN–Transformer–SE

The TCN–Transformer–SE modeling method proposed in this study operates as follows. First, two-level hierarchical features are weighted and fused using the SE module to enhance the representation of key features. Next, these features are fed in parallel into the TCN and Transformer modules. The TCN module extracts local degradation features and effectively captures short-term dynamic changes, while the Transformer module establishes global dependencies within the sequence to identify long-term degradation patterns. The features extracted by the TCN and Transformer modules are then combined in a fusion layer. Finally, the battery pack degradation state is estimated through a fully connected layer. To improve the model’s robustness against noisy data, the Huber loss function is applied after the fully connected layer, and the model is further optimized via backpropagation. The execution process is illustrated in Figure 8. The hyperparameters and training settings of the TCN–Transformer–SE model are shown in Table 1.

4. Experimental Process, Results and Analysis

4.1. Original Data and Evaluation Indicators

The SOH estimation experiment was conducted on a computing platform equipped with an Intel Core i9-12900H CPU (5.00 GHz) manufactured by Intel in the United States and an NVIDIA GeForce RTX 3060 GPU (6 GB) manufactured by NVIDIA in the United States. The deep learning model was implemented in a Python 3.7.16 environment using PyTorch 1.13.0 with CUDA 11.7.
The experimental data for this study were obtained from a lithium-ion battery pack aging test system developed in the laboratory. This test platform consists of a host computer, an Arbin 60 V 50 A 4CH LBT high-precision battery testing device (Arbin Instruments, College Station, TX, USA), and an auxiliary channel, as shown in Figure 9. The Arbin 60 V 50 A 4CH LBT device is used to perform charge and discharge tests on the battery pack. The auxiliary channel utilizes a thermocouple temperature sensor (Arbin Instruments, College Station, TX, USA) to monitor the battery temperature and a voltage transmitter (Arbin Instruments, College Station, TX, USA) to measure the battery voltage.
The test subject is a battery pack composed of eight Lishen 18650 cylindrical lithium-ion cells, each with a rated capacity of 2.5 Ah, connected in series, with the positive electrode made of LiNixCoyMnzO2. Each cycle sequentially includes three stages: constant current charging, constant voltage charging, and constant current discharging, completing a full charge–discharge cycle. The battery pack was cycled for a total of 796 cycles. All the cycle tests were conducted under the environmental temperature ranging from 24 °C to 36 °C. For the main SOH estimation experiments, the dataset was split evenly into training and test sets (50%:50%). To facilitate the training process and ensure consistent scaling across features, the SOH values were normalized to a range of 0 to 1. The cycle test parameters for the lithium-ion battery pack are presented in Table 2, and the complete experimental procedure is illustrated in Figure 10.
To evaluate the estimation accuracy and fitting performance of the model for SOH, this study selects the mean absolute error (MAE), root mean square error (RMSE), coefficient of determination (R2) and mean absolute percentage error (MAPE) as performance evaluation metrics. The formulas are defined as follows:
MAE = 1 n i = 1 n | y e y i |
RMSE = 1 n i = 1 n ( y e y i ) 2
R 2 = 1 i = 1 n ( y e y i ) 2 i = 1 n ( y i y t ) 2
MAPE = 1 n i = 1 n y i y e y i × 100 %
where ye represents the estimated value of the i-th sample, yi represents the true value of the i-th sample, yt is the mean of the true values, and n is the total number of samples.
These evaluation metrics carry clear physical significance in battery SOH estimation. MAE and RMSE reflect the average deviation between the estimated SOH values and the true SOH values: smaller values indicate higher estimation accuracy, which reliably supports battery management system decisions such as remaining useful life prediction and maintenance warnings. R2 measures the model’s goodness of fit to the SOH degradation trend over battery aging, where values closer to 1 indicate higher coincidence between the estimated curve and the true degradation trajectory, reflecting a stronger capability to capture the SOH variation trend. MAPE measures SOH estimation accuracy from the perspective of relative error, intuitively reflecting the percentage of estimation deviation relative to the true SOH, facilitating performance comparison across different aging stages.

4.2. Multi-Feature Comparison Analysis

To verify the effectiveness of the selected features in SOH estimation, this study evaluated the performance of various feature combinations. The two features proposed in this paper were pairwise combined with the constant current average voltage (AV) and the constant voltage charging duration (CD), then input into the TCN–Transformer–SE estimation model. The output accuracy was compared to demonstrate the superiority of the feature combination proposed in this study. The experimental results are presented in Table 3 and Figure 11.
Among all the evaluated feature combinations, the pairing of curve length and the SOC at the knee point demonstrated the best estimation performance, with evaluation metrics significantly outperforming those of other feature combinations (MAE = 0.0031, RMSE = 0.0038, R2 = 0.9937, MAPE = 0.3820). When curve length and SOC at the knee point were each combined with the constant current average voltage, the feature combinations based on curve length (curve length + AV: R2 = 0.9767; curve length + CD: R2 = 0.9365) generally outperformed the corresponding combinations based on SOC at the knee point (SOC + AV: R2 = 0.9720; SOC + CD: R2 = 0.8854). This indicates that the curve length feature has a stronger discriminative ability in characterizing the battery aging state. Although constructing of the SOC at the knee point feature involves temperature data, feature-level fusion not only enables efficient utilization of the existing thermocouple temperature sensor but also enhances the model’s representational capacity through the complementarity of the two features. Compared to other combinations involving the inflection point SOC, the combination of curve length and SOC reduces the MAE to 0.0031, the RMSE to 0.0038, and the MAPE to 0.3820, and it increases the R2 to 0.9937.

4.3. Ablation Studies

To investigate the specific contributions of each component in the model to its overall performance, a series of ablation experiments were conducted in this study. The model’s performance significantly deteriorated when either the SE or Huber component was removed. The experimental results are presented in Table 4 and Figure 12.
The experimental results demonstrate that incorporating the Huber loss function significantly enhances model performance. Compared to the model without the Huber loss, the MAE decreased from 0.0046 to 0.0031, the RMSE dropped from 0.0057 to 0.0038, and the MAPE decreased from 0.5752 to 0.3820. Additionally, R2 increased from 0.9858 to 0.9937. These findings confirm the effectiveness of the Huber loss function in improving model robustness.
Meanwhile, the introduction of the SE mechanism has significantly improved the model’s performance. When using the Huber loss in all cases, compared to the model without the SE mechanism, the MAE decreased from 0.0054 to 0.0031, the RMSE decreased from 0.0071 to 0.0038, the MAPE decreased from 0.6873 to 0.3820, and the R2 increased from 0.9778 to 0.9937. These results demonstrate that the SE mechanism effectively enhances the model’s ability to focus on key features and improves the efficiency of feature utilization.

4.4. Data Sensitivity Analysis

Under various data partitioning conditions, the TCN–Transformer–SE model demonstrates excellent generalization capabilities. This study designed a verification experiment with low data dependency. In this experiment, the top 30%, 40%, and 50% of cyclic data from the dataset were used as training sets to simulate early deployment scenarios in practical applications. The results are presented in Table 5 and Figure 13.
It can be observed that both models are capable of capturing the overall degradation trend of the battery throughout the entire cycling process. Even when only 30% of the data is used for training, the predicted curves still follow the general downward trajectory of the actual SOH, demonstrating the robustness of the proposed framework under limited training data conditions.
However, noticeable differences between the two models can be observed in the later degradation stage. As shown in Figure 13a, the predictions of the baseline TCN–Transformer model exhibit relatively larger fluctuations and deviations from the actual SOH curve. In contrast, the TCN–Transformer–SE model produces smoother estimation curves that align more closely with the actual SOH trajectory.
As the proportion of training data increases from 30% to 50%, the estimation accuracy of both models gradually improves. The predicted curves become more consistent with the ground-truth SOH, and the deviation in the late-cycle region is further reduced. In particular, under the 50:50 data split shown in Figure 13c, the TCN–Transformer–SE model almost overlaps with the actual SOH curve across most cycles, indicating its strong capability in capturing both local degradation patterns and long-term dependencies.
Furthermore, the SE mechanism enhances the model’s ability to adaptively recalibrate feature importance, which helps suppress noise-induced fluctuations and extract more representative degradation information. Consequently, the TCN–Transformer–SE model consistently outperforms the baseline model across all training ratios, achieving the best performance when sufficient training data are available.

4.5. Public Dataset Validation

To further verify the effectiveness of the proposed method, this paper selected the CS2-35 and CS2-36 public lithium-ion battery datasets provided by the CALCE Center of the University of Maryland. All the CS2 batteries in this dataset were charged using the standard constant current and constant voltage charging scheme. As a classic dataset for battery aging research, it provides strong support for verifying the effectiveness and generalization ability of the model.
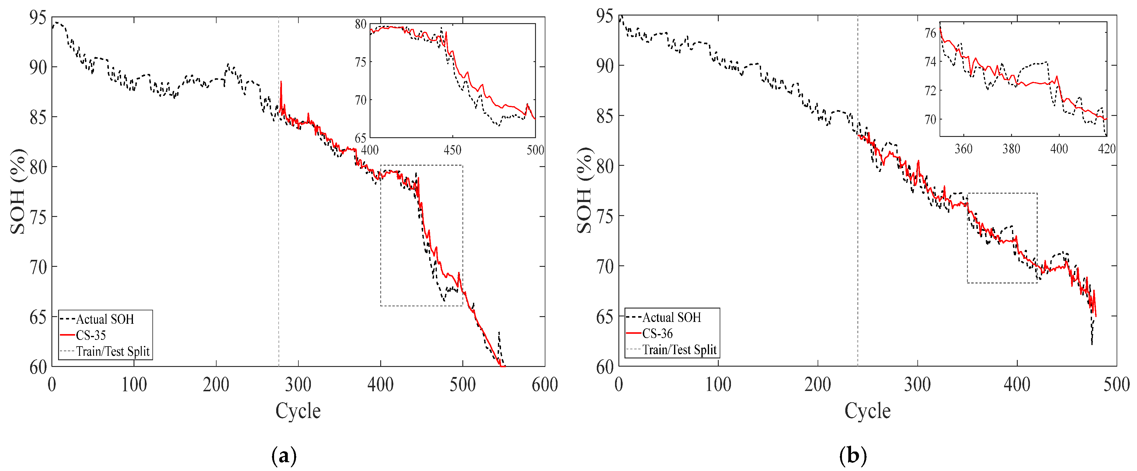
Based on this dataset, the TCN–Transformer–SE model was verified. The experimental results are shown in Table 6 and Figure 14. From Table 6, it can be seen that the model achieved an estimation accuracy of MAE = 0.0067, RMSE = 0.0096, R2 = 0.9852, and MAPE = 0.9161% on the CS2-35 battery and an estimation accuracy of MAE = 0.0092, RMSE = 0.0107, R2 = 0.9513, and MAPE = 1.2339% on the CS2-36 battery. Figure 14 shows the comparison curves of the estimated SOH results and the true values for the two batteries. From the figure, it can be seen that the estimated curve of the model maintains a high consistency with the true SOH trajectory, and it can track the aging process of the battery relatively accurately. The proposed method can achieve good estimation results on the public dataset, further verifying its effectiveness and reliability.

4.6. Comparative Experiments with Other Models

The proposed TCN–Transformer–SE model is compared and evaluated against a variety of representative sequence models currently in use. The baseline models included in the comparison are GRU, LSTM, Transformer, TCN, CNN-LSTM, and TCN–Transformer. All models were trained using the first 50% of the cycle data, and their estimation performance was assessed on the remaining 50%. The results are presented in Table 7 and Figure 15. Key hyperparameter settings for different models are shown in Table 8.
Compared to other baseline models, the proposed TCN–Transformer–SE demonstrates superior estimation accuracy on the dataset. The RF model (R2 = 0.7846), as a traditional machine learning method, offers advantages in handling small-sample data and providing feature importance rankings; however, it lacks the inherent capability to model temporal dependencies, limiting its effectiveness for sequential aging data. The GRU model (R2 = 0.8694) features a streamlined structure with high parameter efficiency, yet its performance is somewhat limited for capturing complex battery degradation patterns due to its simpler gating mechanism. The LSTM model (R2 = 0.9002) exhibits stronger time series modeling capabilities through its comprehensive gating mechanism, effectively addressing the vanishing gradient problem, but it treats all input features equally and cannot dynamically prioritize degradation-relevant information as aging mechanisms evolve. The GPR model (R2 = 0.9135), as a probabilistic approach, provides uncertainty quantification along with predictions, which is valuable for risk assessment, yet it struggles to capture the highly nonlinear patterns in long-term degradation trajectories. The Transformer model (R2 = 0.9236) benefits from its self-attention mechanism in capturing global dependencies across the entire sequence, enabling parallel computation and long-range modeling, but it may overlook local fluctuations critical for detecting early-stage degradation signals. The TCN model (R2 = 0.9320) leverages its unique causal dilated convolution structure to excel in local feature extraction and parallel computation while maintaining a flexible receptive field, yet it faces challenges in modeling ultra-long-range dependencies across hundreds of cycles. The CNN-LSTM model (R2 = 0.9723) achieves a significant performance boost by combining the CNN’s local feature extraction with LSTM’s temporal modeling strengths, effectively capturing both spatial patterns and temporal dynamics, but it lacks an adaptive mechanism to weight features differently across aging phases. The TCN–Transformer hybrid model (R2 = 0.9778) further integrates TCN’s local feature extraction with Transformer’s global dependency modeling, achieving even better performance by addressing the limitations of each individual component, yet without dynamic feature prioritization, it cannot fully exploit the most informative features at each aging stage. Finally, the TCN–Transformer–SE model, which incorporates the SE mechanism, effectively enhances the contribution of key features through adaptive feature weighting, addressing the limitations of above models and attaining the best results across all metrics (MAE = 0.0031, RMSE = 0.0038, R2 = 0.9937, MAPE = 0.3820).

5. Conclusions

This study proposes a novel method for estimating SOH of lithium-ion battery packs. Incremental power feature and combined temperature-weighted voltage inconsistency characteristic are calculated at the module and cell levels, respectively, providing comprehensive inputs for SOH estimation. The proposed TCN–Transformer–SE method effectively addresses challenges such as the difficulty RNNs face in capturing long-term dependencies and the limited receptive fields of convolutional neural networks (CNNs) by leveraging a collaborative mechanism that integrates local perception, global modeling, and feature adaptation. In experiments on SOH estimation of battery packs, this method consistently demonstrated excellent estimation performance and showed strong applicability in scenarios with limited data.
However, several limitations should also be acknowledged. First, the proposed method requires simultaneous access to both module-level and cell-level features, which may increase the complexity of data acquisition in practical battery management systems. Second, the combined temperature–voltage inconsistency indicator relies heavily on the high SOC range, where polarization effects are most pronounced. In real-world applications, batteries may not frequently operate in this region, potentially affecting feature extraction effectiveness.
In terms of general applicability, the proposed method has been evaluated on both a laboratory battery pack dataset and a publicly available dataset, where both features demonstrated consistent estimation performance across different data sources. These results indicate that the proposed framework exhibits promising generalization capability. However, the current validation is primarily based on data from lithium nickel cobalt manganese oxide (LiNixCoyMnzO2) and lithium cobalt oxide (LiCoO2) battery chemistries, and the applicability of the method to other chemistries (e.g., lithium iron phosphate, lithium titanate) requires further investigation. Future research will focus on exploring the generalization performance of this method across different battery pack systems.

Author Contributions

Conceptualization, C.Z.; methodology, C.Z.; software, P.Y., M.X. and Y.W.; validation, C.Z., P.Y. and A.W.; formal analysis, K.C.; investigation, P.Y.; resources, C.Z.; data curation, P.Y., K.C. and K.S.; writing—original draft preparation, P.Y.; visualization, G.H.; supervision, C.Z.; project administration, M.X., Y.W. and K.S.; funding acquisition, C.Z. All authors have read and agreed to the published version of the manuscript.

Funding

This work was supported by the major project of basic science (natural science) research in colleges and universities of Jiangsu Province under Grant No. 23KJA480002; “Qinglan Project” for universities in Jiangsu Province; scientific research foundation for high-level personnel in Jinling Institute of Technology under Grant No. jit-rcyj-202202; college students’ innovative entrepreneurial training plan program under Grant No. 202513573053Y.

Data Availability Statement

The original contributions presented in the study are included in the article, and further inquiries can be directed to the corresponding author.

Conflicts of Interest

The authors declare no conflicts of interest.

Abbreviations

The following abbreviations are used in this manuscript:
SOHState of Health
SOCState of Charge
TCN–Transformer–SETemporal Convolutional Network–Transformer–Squeeze-and-Excitation
SESqueeze-and-Excitation
TCNTemporal Convolutional Network
MAEMean Absolute Error
RMSERoot Mean Square Error
R2R-Square
MAPEMean Absolute Percentage Error
DVADifferential Voltage Analysis
ICAIncremental Capacity Analysis
DTVDifferential Thermal Voltammetry
SVMSupport Vector Machine
GPRGaussian Process Regression
ELMExtreme Learning Machine
RFRandom Forest
LSTMLong Short-Term Memory
GRUGated Recurrent Unit
CNN-LSTMConvolutional Neural Network–Long Short-Term Memory
ΔPCIncremental power
LCurve length
CtTemperature-weighted voltage inconsistency at time t
XnormNormalized feature value
SOHnormNormalized SOH value
ΔX(i)Feature variation at the i-th cycle
ΔSOH(i)SOH variation at the i-th cycle
RPearson correlation coefficient
τTemperature coefficient
γFusion intensity coefficient
RNNsRecurrent Neural Networks
RTemporal receptive field of TCN
htcnOutput feature from TCN
HtfmGlobal feature from Transformer
δSmoothing threshold in Huber loss
AVAverage Voltage
CDCharging Duration
CNNsConvolutional Neural Networks

References

  1. Theodore, M.A. Structural, electrical, and electrochemical studies of the olivine LiMPO4 (M = Fe, Co, Cr, Mn, V) as cathode materials for lithium-ion rechargeable batteries based on the intercalation principle. Mater. Open Res. 2023, 2, 11. [Google Scholar] [CrossRef]
  2. Tao, J.; Wang, S.; Cao, W.; Cui, Y.; Fernandez, C.; Guerrero, J.M. Innovative multiscale fusion—Antinoise extended long short-term memory neural network modeling for high precision state of health estimation of lithium-ion batteries. Energy 2024, 312, 133541. [Google Scholar] [CrossRef]
  3. Li, R.; He, N.; Cheng, F. State of Health Estimation of Lithium-Ion Battery Based on Novel Health Indicators and Improved Support Vector Regression. Batteries 2025, 11, 347. [Google Scholar] [CrossRef]
  4. Rout, S.; Samal, S.K.; Gelmecha, D.J.; Mishra, S. Estimation of state of health for lithium-ion batteries using advanced data-driven techniques. Sci. Rep. 2025, 15, 30438. [Google Scholar] [CrossRef]
  5. Sun, R.; Chen, J.; Li, B.; Piao, C. State of health estimation for Lithium-ion batteries based on novel feature extraction and BiGRU-Attention model. Energy 2025, 319, 134756. [Google Scholar] [CrossRef]
  6. Chen, L.; Xie, S.; Lopes, A.M.; Li, H.; Bao, X.; Zhang, C.; Li, P. A new SOH estimation method for Lithium-ion batteries based on model-data-fusion. Energy 2024, 286, 129597. [Google Scholar] [CrossRef]
  7. Echabarri, S.; Do, P.; Vu, H.-C.; Liegeois, P.-Y. A modified TimeGAN-based data augmentation approach for the state of health prediction of Lithium-Ion Batteries. Reliab. Eng. Syst. Saf. 2025, 264, 111297. [Google Scholar] [CrossRef]
  8. Eleftheriadis, P.; Gangi, M.; Leva, S.; Rey, A.V.; Groppo, E.; Grande, L. Comparative study of machine learning techniques for the state of health estimation of Li-Ion batteries. Electr. Power Syst. Res. 2024, 235, 110889. [Google Scholar] [CrossRef]
  9. Shaosen, S.; Gao, L.; Garg, A.; Li, W. Physics-Constrained Machine Learning for Real-Time Lithium-Ion Battery Health Estimation from Constant Voltage Charging Data. Electrochim. Acta 2025, 543, 147608. [Google Scholar] [CrossRef]
  10. Chen, M.; Chen, X.; Fang, W.; Hou, Y.; Liu, L.; Ye, J.; Wu, Y. High-accuracy state of health estimation for lithium-ion batteries via current fluctuation analysis and multi-feature fusion. Energy 2025, 339, 139103. [Google Scholar] [CrossRef]
  11. Schmitz, M.; Kowal, J. A Deep Learning Approach for Online State of Health Estimation of Lithium-Ion Batteries Using Partial Constant Current Charging Curves. Batteries 2024, 10, 206. [Google Scholar] [CrossRef]
  12. Tao, L.; Wu, H.; Zheng, X. Multifeature-based online remaining useful life prediction of lithium-ion batteries in stages using cascaded data-driven algorithm. Qual. Reliab. Eng. Int. 2024, 40, 2527–2546. [Google Scholar] [CrossRef]
  13. Wang, G.; Cui, Z.; Yuan, H.; Lu, D.; Li, T.; Li, C.; Cui, N. State of Health Estimation and Remaining Useful Life Prediction for Lithium-Ion Batteries Based on Partial Differential Thermal Voltammetry Curve. Energy Technol. 2024, 13, 2401019. [Google Scholar] [CrossRef]
  14. Zheng, M.; Luo, X. Joint estimation of State of Charge (SOC) and State of Health (SOH) for lithium ion batteries using Support Vector Machine (SVM), Convolutional Neural Network (CNN) and Long Sort Term Memory Network (LSTM) models. Int. J. Electrochem. Sci. 2024, 19, 100747. [Google Scholar] [CrossRef]
  15. Qiang, X.; Liu, W.; Lyu, Z.; Ruan, H.; Li, X. A data-fusion-model method for state of health estimation of Li-ion battery packs based on partial charging curve. Green Energy Intell. Transp. 2024, 3, 100169. [Google Scholar] [CrossRef]
  16. Chen, K.; Li, J.; Liu, K.; Bai, C.; Zhu, J.; Gao, G.; Wu, G.; Laghrouche, S. State of health estimation for lithium-ion battery based on particle swarm optimization algorithm and extreme learning machine. Green Energy Intell. Transp. 2024, 3, 100151. [Google Scholar] [CrossRef]
  17. Zheng, X.; Wu, F.; Tao, L. Degradation trajectory prediction of lithium-ion batteries based on charging-discharging health features extraction and integrated data-driven models. Qual. Reliab. Eng. Int. 2024, 40, 1833–1854. [Google Scholar] [CrossRef]
  18. Wang, X.; Hu, B.; Su, X.; Xu, L.; Zhu, D. State of health estimation for lithium-ion batteries using random forest and gated recurrent unit. J. Energy Storage 2024, 76, 109796. [Google Scholar] [CrossRef]
  19. Zhang, C.; Luo, L.; Yang, Z.; Du, B.; Zhou, Z.; Wu, J.; Chen, L. Flexible method for estimating the state of health of lithium-ion batteries using partial charging segments. Energy 2024, 295, 131009. [Google Scholar] [CrossRef]
  20. Wu, W.; Chen, Z.; Li, L.; Pan, E. A novel deep time-index framework with limited data and feature extraction for battery capacity degradation prediction. Qual. Reliab. Eng. Int. 2024, 40, 1127–1147. [Google Scholar] [CrossRef]
  21. Aljohani, A.; Aljohani, S. A Hybrid GRU-MHA model for accurate battery RUL forecasting with feature selection. Energy Rep. 2025, 14, 294–309. [Google Scholar] [CrossRef]
  22. Bao, X.; Chen, L.; Lopes, A.M.; Li, X.; Xie, S.; Li, P.; Chen, Y. Hybrid deep neural network with dimension attention for state-of-health estimation of Lithium-ion Batteries. Energy 2023, 278, 127734. [Google Scholar] [CrossRef]
  23. Zhang, S.; Chen, R.; Cao, J.; Tan, J. A CNN and LSTM-based multi-task learning architecture for short and medium-term electricity load forecasting. Electr. Power Syst. Res. 2023, 222, 109507. [Google Scholar] [CrossRef]
  24. Saleem, U.; Liu, W.; Riaz, S.; Aslam, M.M.; Li, W.; Wang, K. EnerNet: Attention-based dilated CNN-BILSTM for state of health prediction of CS2 prismatic cells in energy systems. Electrochim. Acta 2025, 512, 145454. [Google Scholar] [CrossRef]
  25. Gu, X.; See, K.W.; Li, P.; Shan, K.; Wang, Y.; Zhao, L.; Lim, K.C.; Zhang, N. A novel state-of-health estimation for the lithium-ion battery using a convolutional neural network and transformer model. Energy 2023, 262, 125501. [Google Scholar] [CrossRef]
  26. Xu, Z.; Chen, Z.; Yang, L.; Zhang, S. State of health estimation for lithium-ion batteries based on incremental capacity analysis and Transformer modeling. Appl. Soft Comput. 2024, 165, 112072. [Google Scholar] [CrossRef]
  27. Liu, Y.; Lai, S.; Mai, Y.; Zhang, W.; He, H. Lithium batteries health state prediction method based on TCN-GRU-Attention fusion model with multi-source charging information. AIP Adv. 2025, 15, 025040. [Google Scholar] [CrossRef]
  28. Shah, S.A.A.; Wang, S.; Niazi, S.G.; Shah, S.M.A.; Ning, S.; Butt, M.H.F.; Xu, Z.; Wu, M. A hybrid deep learning framework integrating bidirectional sliding windows, TCN, and external attention for accurate state-of-charge estimation in lithium-ion batteries. J. Power Sources 2024, 622, 235312. [Google Scholar] [CrossRef]
  29. Mu, X.; Zhang, J.; Li, G.; Xiao, Z.; Zeng, F.; Liu, J. Estimating SOC and SOH of energy storage battery pack based on voltage inconsistency using reference-difference model and dual extended Kalman filter. J. Energy Storage 2024, 81, 110221. [Google Scholar] [CrossRef]
  30. Wang, R.; Xue, B. Research on Aging Evolution and Safety Characteristics of Lithium-Ion Batteries Cycling at Low Temperature. Batteries 2025, 11, 396. [Google Scholar] [CrossRef]
  31. Diao, W.; Kim, J.; Azarian, M.H.; Pecht, M. Degradation modes and mechanisms analysis of lithium-ion batteries with knee points. Electrochim. Acta 2022, 431, 141143. [Google Scholar] [CrossRef]
  32. Chen, J.; Sun, T.; Zheng, Y.; Han, X. Knee-Point Identification of Battery Degradation Trajectory Based on Constant Voltage Charging Capacity Variation. SAE Tech. Pap. 2023. [Google Scholar] [CrossRef]
Figure 1. Experimental incremental power curve before filtering.
Figure 1. Experimental incremental power curve before filtering.
Batteries 12 00123 g001
Figure 2. Experimental incremental power curve after filtering.
Figure 2. Experimental incremental power curve after filtering.
Batteries 12 00123 g002
Figure 3. Experimental combined temperature-weighted voltage inconsistency curve within the 0.8–1.0 SOC range.
Figure 3. Experimental combined temperature-weighted voltage inconsistency curve within the 0.8–1.0 SOC range.
Batteries 12 00123 g003
Figure 4. Sensitivity analysis of two-level hierarchical features. (a) Sensitivity analysis of the length of the incremental power curve. (b) Sensitivity analysis of the SOC at the knee point.
Figure 4. Sensitivity analysis of two-level hierarchical features. (a) Sensitivity analysis of the length of the incremental power curve. (b) Sensitivity analysis of the SOC at the knee point.
Batteries 12 00123 g004
Figure 5. Feature evolution over cycles. (a) Evolution of the length of the incremental power curve variation during battery degradation. (b) Evolution of the SOC at the knee point variation during battery degradation.
Figure 5. Feature evolution over cycles. (a) Evolution of the length of the incremental power curve variation during battery degradation. (b) Evolution of the SOC at the knee point variation during battery degradation.
Batteries 12 00123 g005
Figure 6. Schematic diagram of TCN.
Figure 6. Schematic diagram of TCN.
Batteries 12 00123 g006
Figure 7. Schematic diagram of Transformer.
Figure 7. Schematic diagram of Transformer.
Batteries 12 00123 g007
Figure 8. Execution flowchart of TCN–Transformer–SE.
Figure 8. Execution flowchart of TCN–Transformer–SE.
Batteries 12 00123 g008
Figure 9. Experimental setup of the lithium-ion battery pack aging test system.
Figure 9. Experimental setup of the lithium-ion battery pack aging test system.
Batteries 12 00123 g009
Figure 10. Experimental procedure.
Figure 10. Experimental procedure.
Batteries 12 00123 g010
Figure 11. Experimental comparison of TCN–Transformer–SE estimation results with different feature inputs.
Figure 11. Experimental comparison of TCN–Transformer–SE estimation results with different feature inputs.
Batteries 12 00123 g011
Figure 12. Experimental estimation results of different models.
Figure 12. Experimental estimation results of different models.
Batteries 12 00123 g012
Figure 13. Experimental estimation results of different ratios of training sets to test sets. (a) Training set: 50%; test set: 50% estimation results. (b) Training set: 40%; test set: 60% estimation results. (c) Training set: 30%; test set: 70% estimation results.
Figure 13. Experimental estimation results of different ratios of training sets to test sets. (a) Training set: 50%; test set: 50% estimation results. (b) Training set: 40%; test set: 60% estimation results. (c) Training set: 30%; test set: 70% estimation results.
Batteries 12 00123 g013
Figure 14. The training results of the TCN–Transformer–SE model on the battery CS2-35 and CS2-36. (a) The training results of the TCN–Transformer–SE model on the battery CS2-35. (b) The training results of the TCN–Transformer–SE model on the battery CS2-36.
Figure 14. The training results of the TCN–Transformer–SE model on the battery CS2-35 and CS2-36. (a) The training results of the TCN–Transformer–SE model on the battery CS2-35. (b) The training results of the TCN–Transformer–SE model on the battery CS2-36.
Batteries 12 00123 g014
Figure 15. Experimental estimation results of different models and TCN–Transformer–SE.
Figure 15. Experimental estimation results of different models and TCN–Transformer–SE.
Batteries 12 00123 g015
Table 1. Hyperparameters and training settings of the TCN–Transformer–SE model.
Table 1. Hyperparameters and training settings of the TCN–Transformer–SE model.
ParameterValue
TCN kernel size5
TCN dilations[1, 2, 4, 8]
Transformer layers2
Transformer attention heads6
OptimizerAdam
Learning rate1 × 10−3
Batch size64
Table 2. Battery pack charging and discharging information.
Table 2. Battery pack charging and discharging information.
StageCurrent/AVoltage/VTermination Condition
Constant current charging1.2528–33.6the voltage rises to 33.6 V
Constant voltage charging1.25–0.04833.6the current drops to 0.048 A
Constant current discharge1.2533.6–24the voltage drops to 24 V
Table 3. Evaluation of TCN–Transformer–SE estimation results with different feature inputs.
Table 3. Evaluation of TCN–Transformer–SE estimation results with different feature inputs.
Selected FeaturesMAERMSER2MAPE (%)
Curve length + AV0.00590.00730.97670.7256
Curve length + CD0.00990.01200.93651.2193
SOC + AV0.00690.00800.97200.8705
SOC + CD0.01220.01420.91111.4929
Two-level hierarchical features0.00310.00380.99370.3820
Table 4. Evaluation of estimation results from different models.
Table 4. Evaluation of estimation results from different models.
ModelMAERMSER2MAPE (%)
TCN–Transformer–SE–NoneHuber0.00460.00570.98580.5752
TCN–Transformer0.00540.00710.97780.6873
TCN–Transformer–SE0.00310.00380.99370.3820
Table 5. Evaluation of the estimation results of different training set ratios.
Table 5. Evaluation of the estimation results of different training set ratios.
ModelThe Proportion of Training and Test SamplesMAERMSER2MAPE (%)
TCN–Transformer30%:70%0.01240.01640.93211.5347
40%:60%0.00880.01170.95641.1164
50%:50%0.00540.00710.97780.6873
TCN–Transformer–SE30%:70%0.01070.01240.96311.3128
40%:60%0.00560.00680.98530.6859
50%:50%0.00310.00380.99370.3820
Table 6. The final evaluation results of CALCE’s batteries.
Table 6. The final evaluation results of CALCE’s batteries.
Battery TypeMAERMSER2MAPE (%)
CS2-350.00670.00960.98520.9161
CS2-360.00920.01070.95131.2339
Table 7. Evaluation of estimation results of different models and TCN–Transformer–SE.
Table 7. Evaluation of estimation results of different models and TCN–Transformer–SE.
ModelMAERMSER2MAPE (%)
RF0.02000.02210.78462.5585
GRU0.01480.01720.86941.8188
LSTM0.01210.01510.90021.5642
GPR0.00960.01400.91351.2592
Transformer0.01080.01320.92361.3286
TCN0.00940.01240.93201.2194
CNN-LSTM0.00710.00790.97230.7879
TCN–Transformer0.00540.00710.97780.6873
TCN–Transformer–SE0.00310.00380.99370.3820
Table 8. Key hyperparameter settings for different models.
Table 8. Key hyperparameter settings for different models.
ModelNumber of LayersNumber of Units
RF--
GRU2Layer 1: 256
Layer 2: 128
LSTM2Layer 1: 256
Layer 2: 128
GPR--
Transformer1Layer 1: 48
TCN8All layers: 64
CNN-LSTM3CNN layer: 64
LSTM layer 1: 128
LSTM layer 2: 64
TCN–Transformer9All 6 TCN layers: 64
All 3 Transformer layers: 192
TCN–Transformer–SE6All 4 TCN layers: 64
All 2 Transformer layers: 192
Disclaimer/Publisher’s Note: The statements, opinions and data contained in all publications are solely those of the individual author(s) and contributor(s) and not of MDPI and/or the editor(s). MDPI and/or the editor(s) disclaim responsibility for any injury to people or property resulting from any ideas, methods, instructions or products referred to in the content.

Share and Cite

MDPI and ACS Style

Zhang, C.; Yin, P.; Cheng, K.; Wu, Y.; Xie, M.; Hua, G.; Wang, A.; Shao, K. A State of Health Estimation Method for Lithium-Ion Battery Packs Using Two-Level Hierarchical Features and TCN–Transformer–SE. Batteries 2026, 12, 123. https://doi.org/10.3390/batteries12040123

AMA Style

Zhang C, Yin P, Cheng K, Wu Y, Xie M, Hua G, Wang A, Shao K. A State of Health Estimation Method for Lithium-Ion Battery Packs Using Two-Level Hierarchical Features and TCN–Transformer–SE. Batteries. 2026; 12(4):123. https://doi.org/10.3390/batteries12040123

Chicago/Turabian Style

Zhang, Chaolong, Panfen Yin, Kaixin Cheng, Yupeng Wu, Min Xie, Guoqing Hua, Anxiang Wang, and Kui Shao. 2026. "A State of Health Estimation Method for Lithium-Ion Battery Packs Using Two-Level Hierarchical Features and TCN–Transformer–SE" Batteries 12, no. 4: 123. https://doi.org/10.3390/batteries12040123

APA Style

Zhang, C., Yin, P., Cheng, K., Wu, Y., Xie, M., Hua, G., Wang, A., & Shao, K. (2026). A State of Health Estimation Method for Lithium-Ion Battery Packs Using Two-Level Hierarchical Features and TCN–Transformer–SE. Batteries, 12(4), 123. https://doi.org/10.3390/batteries12040123

Note that from the first issue of 2016, this journal uses article numbers instead of page numbers. See further details here.

Article Metrics

Back to TopTop