Investigation of Laser Intensity Profiles in the Laser Drying of Anodes for Lithium-Ion Battery Production
Abstract
1. Introduction
2. Materials and Methods
2.1. Material
2.2. Stationary Test Stand Setup
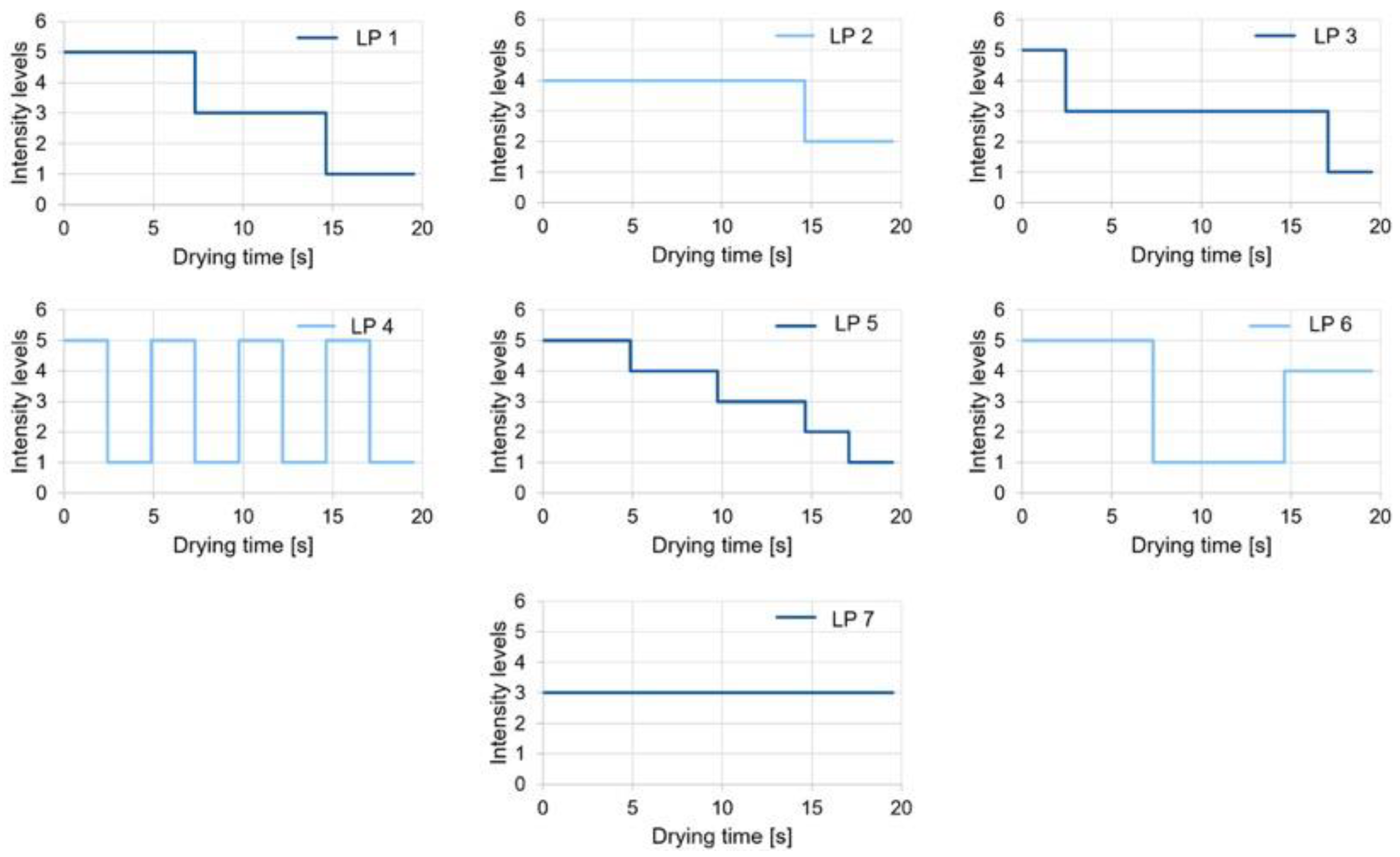
2.3. Laser Intensity Profiles
2.4. Parameters
2.5. Quality Analysis Methodes
3. Results and Discussion
3.1. Adhesion
3.1.1. High-Energy Electrode
3.1.2. High-Power Electrode
3.2. Electrochemical Results
3.3. Temperature–Time Diagrams
3.4. Optical Inspection
3.5. Residual Moisture
4. Conclusions
Author Contributions
Funding
Data Availability Statement
Conflicts of Interest
Abbreviations
| CMC | Carboxymethyl cellulose |
| DI-Water | Distilled water |
| IR | Infrared |
| LiB | Lithium-ion batteries |
| LP | Laser profile |
| OPEX | Operating costs |
| SBR | Styrene-butadiene rubber |
| VCSEL | Vertical-cavity surface-emitting laser |
References
- Martins, L.S.; Guimarães, L.F.; Junior, A.B.B.; Tenório, J.A.S.; Espinosa, D.C.R. Electric Car Battery: An Overview on Global Demand, Recycling and Future Approaches towards Sustainability. J. Environ. Manag. 2021, 295, 113091. [Google Scholar] [CrossRef] [PubMed]
- Kampker, A.; Heimes, H.; Dorn, B.; Wolf, S.; Ingendoh, B.; Ambrosy, G.; Deutskens, C.; Apetz, R.; Verstraeten, R. VCSEL Laser Drying in Battery Production; RWTH Aachen University: Aachen, Germany, 2024. [Google Scholar]
- Neb, D.; Kim, S.; Clever, H.; Dorn, B.; Kampker, A. Current Advances on Laser Drying of Electrodes for Lithium-Ion Battery Cells. Procedia CIRP 2022, 107, 1577–1587. [Google Scholar] [CrossRef]
- Heimes, H.; Kampker, A.; Lienemann, C.; Locke, M.; Offermans, C.; Michaelis, S.; Rahimzei, E. Lithium-Ion Battery Cell Production Process; Springer: Berlin, Germany, 2018. [Google Scholar]
- Neb, D.; Wolf, S.; Ingendoh, B.; Klein, S.; Dorn, B.; Heimes, H.; Kampker, A. Investigation of Laser-Based Drying of Electrodes for Lithium-Ion-Battery Production Using Vertical-Cavity Surface-Emitting Lasers (VCSEL). In Proceedings of the Conference on Production Systems and Logistics: CPSL 2023-2; Publish-Ing.: Hannover, Germany, 2023. [Google Scholar] [CrossRef]
- Kampker, A.; Heimes, H.; Dorn, B.; Neb, D.; Wolf, S.; Arnd, A.; Britten, S.; Hendel, R. Diode Laser Drying of Electrodes for Lithium-Ion Batteries; RWTH Aachen University: Aachen, Germany, 2023. [Google Scholar]
- Koerner, R.A.; Apetz, R.; Conrads, R.; Deppe, C.; Gronenborn, S.; Kolb, J.S.; Moench, H.; Weidenfeld, S.; Herper, M.; Groben, D. Novel High-Power Laser Modules for Drying Applications Based on VCSEL Arrays. In High-Power Diode Laser Technology XXII; SPIE: Cardiff, UK, 2024. [Google Scholar] [CrossRef]
- Wolf, S.; Schwenzer, N.; Tratz, T.; Göken, V.; Börner, M.; Neb, D.; Heimes, H.; Winter, M.; Kampker, A. Optimized LiFePO4-Based Cathode Production for Lithium-Ion Batteries through Laser- and Convection-Based Hybrid Drying Process. World Electr. Veh. J. 2023, 14, 281. [Google Scholar] [CrossRef]
- Jaiser, S.; Müller, M.; Baunach, M.; Bauer, W.; Scharfer, P.; Schabel, W. Investigation of Film Solidification and Binder Migration during Drying of Li-Ion Battery Anodes. J. Power Sources 2016, 318, 210–219. [Google Scholar] [CrossRef]
- Nikpour, M.; Liu, B.; Minson, P.; Hillman, Z.; Mazzeo, B.A.; Wheeler, D.R. Li-Ion Electrode Microstructure Evolution during Drying and Calendering. Batteries 2022, 8, 107. [Google Scholar] [CrossRef]
- Jaiser, S.; Kumberg, J.; Klaver, J.; Urai, J.L.; Schabel, W.; Schmatz, J.; Scharfer, P. Microstructure Formation of Lithium-Ion Battery Electrodes during Drying—An Ex-Situ Study Using Cryogenic Broad Ion Beam Slope-Cutting and Scanning Electron Microscopy. J. Power Sources 2017, 345, 97–107. [Google Scholar] [CrossRef]
- Kumberg, J.; Müller, M.; Diehm, R.; Spiegel, S.; Wachsmann, C.; Bauer, W.; Scharfer, P.; Schabel, W. Drying of Lithium-Ion Battery Anodes for Use in High-Energy Cells: Influence of Electrode Thickness on Drying Time, Adhesion, and Crack Formation. Energy Technol. 2019, 7, 1900722. [Google Scholar] [CrossRef]
- Westphal, B.; Bockholt, H.; Günther, T.; Haselrieder, W.; Kwade, A. Influence of Convective Drying Parameters on Electrode Performance and Physical Electrode Properties. ECS Trans. 2015, 64, 57–68. [Google Scholar] [CrossRef]
- Altvater, A.; Klemens, J.; Borho, J.; Smith, A.; Heckmann, T.; Scharfer, P.; Schabel, W. Application of Multistage Drying Profiles for Accelerated Production of Li-Ion Battery Anodes Using Infrared Radiation. Energy Technol. 2024, 12, 2301272. [Google Scholar] [CrossRef]
- Fink, S.; Demir, D.; Börner, M.; Göken, V.; Vedder, C. High-Speed Laser Drying of Lithium-Ion Battery Anodes: Challenges and Opportunities. World Electr. Veh. J. 2023, 14, 255. [Google Scholar] [CrossRef]
- Günther, T.; Billot, N.; Schuster, J.; Schnell, J.; Spingler, F.B.; Gasteiger, H.A. The Manufacturing of Electrodes: Key Process for the Future Success of Lithium-Ion Batteries. Adv. Mater. Res. 2016, 1140, 304–311. [Google Scholar] [CrossRef]
- Wolf, S.; Garbade, L.; Göken, V.; Tien, R.; Börner, M.; Neb, D.; Heimes, H.H. Process and Material Analysis of Laser- and Convection-Dried Silicon–Graphite Anodes for Lithium-Ion Batteries. World Electr. Veh. J. 2023, 14, 87. [Google Scholar] [CrossRef]
- Wang, H.; Chen, Y.; Song, Y.; Xiong, D. Rapid Electrode Drying for High-Quality Lithium-Ion Batteries: A Three-Stage Laser Irradiation Method. J. Energy Storage 2025, 118, 116288. [Google Scholar] [CrossRef]
- Neb, D. Parameter-Based Analysis of Laser Drying Processes for the Efficient Production of Battery Electrodes. Ph.D. Thesis, RWTH Aachen University, Aachen, Germany, 2025. [Google Scholar]











| Graphite | SBR | CMC | Carbon Black (C45) | DI-Water | |
|---|---|---|---|---|---|
| Wwet [%] | 42.3 | 3.4 | 0.9 | 0.4 | 53.0 |
| Wdry [%] | 94.0 | 3.0 | 2.0 | 1.0 | 0.0 |
| Total Drying Time [s] | 39.00 | 19.50 | 13.00 | 9.75 |
|---|---|---|---|---|
| Time per zone [s] | 4.875 | 2.438 | 1.625 | 1.219 |
| Average drying rate high energy electrode [g/m2s] | 2.37 | 4.74 | 7.11 | 9.48 |
| Intensity level 5 [W/cm2] | 1.16 | 2.29 | 3.45 | 4.58 |
| Intensity level 4 [W/cm2] | 0.93 | 1.83 | 2.76 | 3.67 |
| Intensity level 3 [W/cm2] | 0.70 | 1.38 | 2.07 | 2.75 |
| Intensity level 2 [W/cm2] | 0.46 | 0.92 | 1.38 | 1.83 |
| Intensity level 1 [W/cm2] | 0.23 | 0.46 | 0.69 | 0.92 |
| Total Drying Time [s] | 39.00 | 19.50 | 13.00 | 9.75 | 7.80 |
|---|---|---|---|---|---|
| Time per zone [s] | 4.875 | 2.438 | 1.625 | 1.219 | 0.975 |
| Average drying rate high energy electrode [g/m2s] | 1.67 | 3.35 | 5.03 | 6.71 | 8.38 |
| Intensity level 5 [W/cm2] | 0.80 | 1.64 | 2.44 | 3.24 | 4.08 |
| Intensity level 4 [W/cm2] | 0.64 | 1.31 | 1.95 | 2.60 | 3.26 |
| Intensity level 3 [W/cm2] | 0.48 | 0.98 | 1.46 | 1.95 | 2.45 |
| Intensity level 2 [W/cm2] | 0.32 | 0.65 | 0.98 | 1.30 | 1.63 |
| Intensity level 1 [W/cm2] | 0.16 | 0.33 | 0.49 | 0.65 | 0.82 |
Disclaimer/Publisher’s Note: The statements, opinions and data contained in all publications are solely those of the individual author(s) and contributor(s) and not of MDPI and/or the editor(s). MDPI and/or the editor(s) disclaim responsibility for any injury to people or property resulting from any ideas, methods, instructions or products referred to in the content. |
© 2026 by the authors. Licensee MDPI, Basel, Switzerland. This article is an open access article distributed under the terms and conditions of the Creative Commons Attribution (CC BY) license.
Share and Cite
Ingendoh, B.; Gabor, V.; Hanf, T.; Wolf, S.; Born, H.; Heimes, H.; Kampker, A. Investigation of Laser Intensity Profiles in the Laser Drying of Anodes for Lithium-Ion Battery Production. Batteries 2026, 12, 122. https://doi.org/10.3390/batteries12040122
Ingendoh B, Gabor V, Hanf T, Wolf S, Born H, Heimes H, Kampker A. Investigation of Laser Intensity Profiles in the Laser Drying of Anodes for Lithium-Ion Battery Production. Batteries. 2026; 12(4):122. https://doi.org/10.3390/batteries12040122
Chicago/Turabian StyleIngendoh, Benedict, Vincent Gabor, Thomas Hanf, Sebastian Wolf, Henrik Born, Heiner Heimes, and Achim Kampker. 2026. "Investigation of Laser Intensity Profiles in the Laser Drying of Anodes for Lithium-Ion Battery Production" Batteries 12, no. 4: 122. https://doi.org/10.3390/batteries12040122
APA StyleIngendoh, B., Gabor, V., Hanf, T., Wolf, S., Born, H., Heimes, H., & Kampker, A. (2026). Investigation of Laser Intensity Profiles in the Laser Drying of Anodes for Lithium-Ion Battery Production. Batteries, 12(4), 122. https://doi.org/10.3390/batteries12040122

