Tetramethylene Sulfone (TMS) as an Electrolyte Additive for High-Power Lithium-Ion Batteries
Abstract
1. Introduction

2. Materials and Methods
2.1. Preparation of Electrolyte
2.2. Preparation of Electrode
2.3. Preparation of Coin Half-Cells
2.4. Preparation of Pouch Full Cells
2.5. Electrochemical Testing
3. Results and Discussion
3.1. Electrolyte Ionic Conductivity and Viscosity
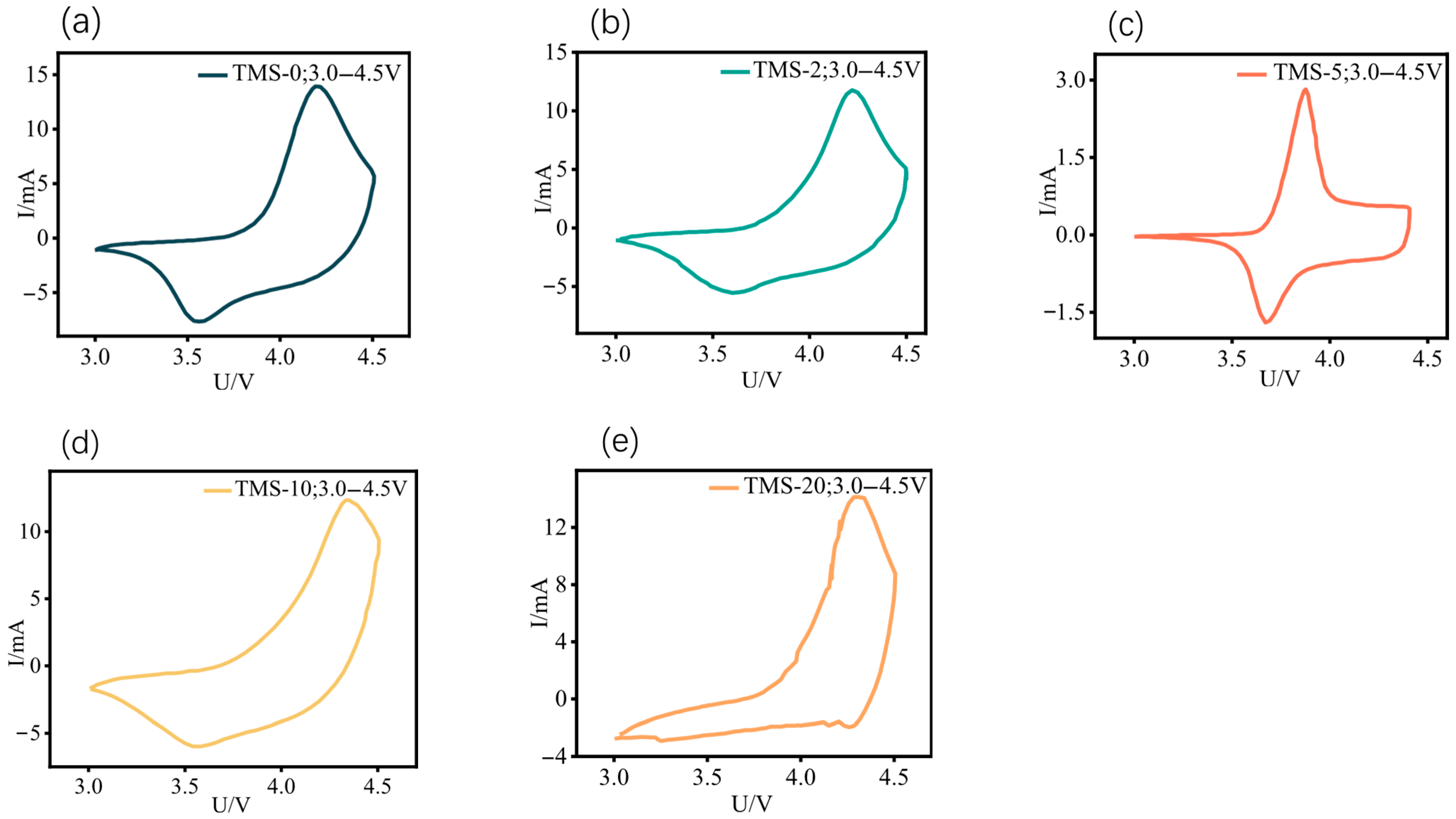
3.2. Cathode Half-Cells
3.3. Anode Half-Cells
3.4. Full Cells
4. Conclusions
Supplementary Materials
Author Contributions
Funding
Data Availability Statement
Conflicts of Interest
Abbreviations
| LIBs | Lithium-ion batteries |
| TMS | Tetramethylene sulfone |
| EC | Ethylene carbonate |
| DMC | Dimethyl carbonate |
| EMC | Ethyl methyl carbonate |
| SEI | Solid electrolyte interface |
| PVDF | Polyvinylidene fluoride |
| NMP | N-methylpyrrolidone |
| SC | Soft carbon |
| SBR | Styrene–butadiene rubber |
| CMC | Carboxymethyl cellulose |
| EIS | Electrochemical impedance spectroscopy |
| CEI | Cathode–electrolyte interphase |
| HOMO | Highest occupied molecular orbital |
| LUMO | Lowest unoccupied molecular orbital |
References
- Binder, M.; Kuenzel, M.; Diemant, T.; Jusys, Z.; Behm, R.J.; Binder, J.R.; Stock, S.; Diller, F.; Daub, R.; Passerini, S.; et al. Ternary electrolyte additive mixture for 5V lithium-ion battery cells. J. Power Sources 2025, 630, 236073. [Google Scholar] [CrossRef]
- Wang, Q.; Jiang, L.; Yu, Y.; Sun, J. Progress of enhancing the safety of lithium ion battery from the electrolyte aspect. Nano Energy 2019, 55, 93–114. [Google Scholar] [CrossRef]
- Zhou, P.; Zhu, L.; Fu, D.; Du, J.; Zhao, X.; Sun, B. Research on the Performance Improvement Method for Lithium-Ion Battery in High-Power Application Scenarios. Energies 2024, 17, 1746. [Google Scholar] [CrossRef]
- Guo, Z.; Liu, Z.; Chen, W.; Sun, X.; Zhang, X.; Wang, K.; Ma, Y. Battery-Type Lithium-Ion Hybrid Capacitors: Current Status and Future Perspectives. Batteries 2023, 9, 74. [Google Scholar] [CrossRef]
- Zhao, S.; Sun, X.; An, Y.; Guo, Z.; Li, C.; Xu, Y.; Li, Y.; Li, Z.; Zhang, X.; Wang, K.; et al. Lithium Plating Accurate Detection of Lithium-Ion Capacitors Upon High-Rate Charging. Green Energy Intell. Transp. 2025, 100268. [Google Scholar] [CrossRef]
- Deng, Z.; Jia, Y.; Deng, Y.; Xu, C.; Zhang, X.; He, Q.; Peng, J.; Wu, H.; Cai, W. Coordination structure regulation in non-flammable electrolyte enabling high voltage lithium electrochemistry. J. Energy Chem. 2024, 96, 282–290. [Google Scholar] [CrossRef]
- Guo, Z.; Lu, C.; Liu, Z.; Wang, N.; An, Y.; Li, C.; Xu, Y.; Sun, X.; Zhang, X.; Wang, K.; et al. Dynamic analysis of bi-material cathode in lithium-ion battery capacitors by DRT method. Next Mater. 2025, 6, 100462. [Google Scholar] [CrossRef]
- Liu, W.; Sun, X.; Yan, X.; Gao, Y.; Zhang, X.; Wang, K.; Ma, Y. Review of Energy Storage Capacitor Technology. Batteries 2024, 10, 271. [Google Scholar] [CrossRef]
- Ajuria, J.; Aguesse, F. An ultrafast battery performing as a supercapacitor: Electrode tuning for high power performance. Electrochim. Acta 2020, 334, 135587. [Google Scholar] [CrossRef]
- Wang, L.; Zhang, X.; Kong, Y.-Y.; Li, C.; An, Y.-B.; Sun, X.-Z.; Wang, K.; Ma, Y.-W. Metal–organic framework-derived CoSe2@N-doped carbon nanocubes for high-performance lithium-ion capacitors. Rare Met. 2024, 43, 2150–2160. [Google Scholar] [CrossRef]
- Wang, L.; Zhao, S.; Zhang, X.; Xu, Y.; An, Y.; Li, C.; Yi, S.; Liu, C.; Wang, K.; Sun, X.; et al. In Situ Construction of Bimetallic Selenides Heterogeneous Interface on Oxidation-Stable Ti3C2TX MXene Toward Lithium Storage with Ultrafast Charge Transfer Kinetics. Small 2024, 20, 2403078. [Google Scholar] [CrossRef]
- Liu, W.; An, Y.; Zhang, X.; Wang, L.; Li, C.; Xu, Y.; Zhang, X.; Li, S.; Yi, S.; Gong, Y.; et al. General Synthesis of Graphene/Metal Oxide Heterostructures for Enhanced Lithium Storage Performance. Adv. Funct. Mater. 2024, 34, 2313274. [Google Scholar] [CrossRef]
- Hu, M.; Pang, X.L.; Zhou, Z. Recent progress in high-voltage lithium ion batteries. J. Power Sources 2013, 237, 229–242. [Google Scholar] [CrossRef]
- Kim, J.; Pham, H.Q.; Chung, G.J.; Hwang, E.H.; Kwon, Y.G.; Song, S.W. Impacts of fluorinated phosphate additive on interface stabilization of 4.6 V battery cathode. Electrochim. Acta 2021, 367, 137527. [Google Scholar] [CrossRef]
- Zhao, Y.; Zhu, H.; Xing, L.; Yu, D.Y.W. Electrolyte design for high power dual-ion battery with graphite cathode for low temperature applications. Chem. Eng. J. 2024, 493, 152602. [Google Scholar] [CrossRef]
- Liu, J.; Li, B.; Cao, J.; Xing, X.; Cui, G. Challenges in Li-ion battery high-voltage technology and recent advances in high-voltage electrolytes. J. Energy Chem. 2024, 91, 73–98. [Google Scholar] [CrossRef]
- Lan, G.; Xing, L.; Bedrov, D.; Chen, J.; Guo, R.; Che, Y.; Li, Z.; Zhou, H.; Li, W. Enhanced cyclic stability of Ni-rich lithium ion battery with electrolyte film-forming additive. J. Alloys Compd. 2020, 821, 153236. [Google Scholar] [CrossRef]
- Li, G.J.; Feng, Y.; Zhu, J.Y.; Mo, C.Y.; Cai, Q.Q.; Li, W.S.; Liao, Y.H. Achieving a Highly Stable Electrode/Electrolyte Interface for a Nickel-Rich Cathode via an Additive-Containing Gel Polymer Electrolyte. ACS Appl. Mater. Interfaces 2022, 14, 36656–36667. [Google Scholar] [CrossRef]
- Zhang, C.M.; Li, F.; Zhu, X.Q.; Yu, J.G. Triallyl Isocyanurate as an Efficient Electrolyte Additive for Layered Oxide Cathode Material-Based Lithium-Ion Batteries with Improved Stability under High-Voltage. Molecules 2022, 27, 3107. [Google Scholar] [CrossRef]
- Dong, Y.; Chen, Y.; Zeng, Q.; Feng, J.; Fang, M.; Shi, Z.; Liu, J.; Sheng, Y.; Yue, X.; Liang, Z. Challenges and Strategies of Fast-Charging Li-Ion Batteries with a Focus on Li Plating. Energy Mater. Adv. 2024, 5, 0113. [Google Scholar] [CrossRef]
- Dong, Q.Y.; Guo, F.; Cheng, Z.J.; Mao, Y.Y.; Huang, R.; Li, F.S.; Dong, H.C.; Zhang, Q.Y.; Li, W.; Chen, H.; et al. Insights into the Dual Role of Lithium Difluoro(oxalato)borate Additive in Improving the Electrochemical Performance of NMC811∥Graphite Cells. ACS Appl. Energy Mater. 2020, 3, 695–704. [Google Scholar] [CrossRef]
- Luo, S.; Ge, C.; Ou, L.; Zeng, F.; Wang, Y.; Lu, H. Construction of stable two-sided interface via the addition of phenylboric acid in Lithium-ion batteries. Electrochim. Acta 2024, 498, 144684. [Google Scholar] [CrossRef]
- Cha, J.; Han, J.G.; Hwang, J.; Cho, J.; Choi, N.S. Mechanisms for electrochemical performance enhancement by the salt-type electrolyte additive, lithium difluoro(oxalato)borate, in high-voltage lithium-ion batteries. J. Power Sources 2017, 357, 97–106. [Google Scholar] [CrossRef]
- Parida, R.; Lee, J.Y. Boron based podand molecule as an anion receptor additive in Li-ion battery electrolytes: A combined density functional theory and molecular dynamics study. J. Mol. Liq. 2023, 384, 122236. [Google Scholar] [CrossRef]
- Zhang, W.; Sun, T.; Ma, T.; Hao, W.; Zha, Z.; Cheng, M.; Tao, Z. Dynamically constructing robust cathode-electrolyte-interphase on nickel-rich cathode by organic boron additive for high-performance lithium-ion batteries. Chem. Eng. J. 2024, 491, 151946. [Google Scholar] [CrossRef]
- Park, S.; Choi, G.; Lim, H.Y.; Jung, K.M.; Kwak, S.K.; Choi, N.S. A Phosphorofluoridate-Based Multifunctional Electrolyte Additive Enables Long Cycling of High-Energy Lithium-Ion Batteries. ACS Appl. Mater. Interfaces 2023, 15, 33693–33702. [Google Scholar] [CrossRef]
- Zhang, Z.H.; Hu, J.G.; Hu, Y.; Wang, H.M.; Hu, H.P. Tri(2-furyl)phosphine-induced robust interphases for durable Nickel-rich Lithium-ion batteries. Appl. Surf. Sci. 2023, 624, 157027. [Google Scholar] [CrossRef]
- Jiang, W.Z.; Zhang, G.Q.; Deng, J.H. Comparable Investigation of Phosphorus-Based Flame Retardant Electrolytes on LiFePO4 Cathodes. J. Electrochem. Soc. 2022, 169, 050532. [Google Scholar] [CrossRef]
- Lai, J.; Huang, Y.; Zeng, X.; Zhou, T.; Peng, Z.; Li, Z.; Zhang, X.; Ding, K.; Xu, C.; Ying, Y.; et al. Molecular Design of Asymmetric Cyclophosphamide as Electrolyte Additive for High-Voltage Lithium-Ion Batteries. ACS Energy Lett. 2023, 8, 2241–2251. [Google Scholar] [CrossRef]
- Park, J.W.; Park, D.H.; Go, S.; Nam, D.-H.; Oh, J.; Han, Y.-K.; Lee, H. Malonatophosphate as an SEI- and CEI-forming additive that outperforms malonatoborate for thermally robust lithium-ion batteries. Energy Storage Mater. 2022, 50, 75–85. [Google Scholar] [CrossRef]
- Björklund, E.; Göttlinger, M.; Edström, K.; Younesi, R.; Brandell, D. Sulfolane-Based Ethylene Carbonate-Free Electrolytes for LiNi0.6Mn0.2Co0.2O2-Li4Ti5O12 Batteries. Batter. Supercaps 2020, 3, 201–207. [Google Scholar] [CrossRef]
- Jia, H.; Xu, Y.B.; Zou, L.F.; Gao, P.Y.; Zhang, X.H.; Taing, B.; Matthews, B.E.; Engelhard, M.H.; Burton, S.D.; Zhong, L.R.; et al. Sulfone-based electrolytes for high energy density lithium-ion batteries. J. Power Sources 2022, 527, 231171. [Google Scholar] [CrossRef]
- Yim, T.; Kang, K.S.; Mun, J.; Lim, S.H.; Woo, S.G.; Kim, K.J.; Park, M.S.; Cho, W.; Song, J.H.; Han, Y.K.; et al. Understanding the effects of a multi-functionalized additive on the cathode-electrolyte interfacial stability of Ni-rich materials. J. Power Sources 2016, 302, 431–438. [Google Scholar] [CrossRef]
- Zhang, X.; Wu, Q.; Guan, X.; Cao, F.; Li, C.; Xu, J. Lithium dendrite-free and fast-charging for high voltage nickel-rich lithium metal batteries enabled by bifunctional sulfone-containing electrolyte additives. J. Power Sources 2020, 452, 227833. [Google Scholar] [CrossRef]
- Li, Y.Q.; Hao, X.Q.; Liu, H.R.; Zou, J.X.; Wang, W.J. Ethyl Isopropyl Sulfone Modulating to Achieve Stable High-Voltage Electrolyte for Lithium-Ion Batteries. ACS Appl. Mater. Interfaces 2024, 16, 55362–55371. [Google Scholar] [CrossRef] [PubMed]
- Choi, W.I.; Park, I.; An, J.S.; Kim, D.Y.; Koh, M.; Jang, I.; Kim, D.S.; Kang, Y.S.; Shim, Y. Controlling Gas Generation of Li-Ion Battery through Divinyl Sulfone Electrolyte Additive. Int. J. Mol. Sci. 2022, 23, 7328. [Google Scholar] [CrossRef] [PubMed]
- Cai, H.; Jing, H.; Zhang, X.; Shen, M.; Wang, Q. Improving High-Voltage Performance of Lithium-Ion Batteries with Sulfolane as an Electrolyte Additive. J. Electrochem. Soc. 2017, 164, A714. [Google Scholar] [CrossRef]
- Wu, W.; Bai, Y.; Wang, X.; Wu, C. Sulfone-based high-voltage electrolytes for high energy density rechargeable lithium batteries: Progress and perspective. Chin. Chem. Lett. 2021, 32, 1309–1315. [Google Scholar] [CrossRef]
- Xu, D.; Wang, Z.-l.; Xu, J.-j.; Zhang, L.-l.; Wang, L.-m.; Zhang, X.-b. A stable sulfone based electrolyte for high performance rechargeable Li–O2 batteries. Chem. Commun. 2012, 48, 11674–11676. [Google Scholar] [CrossRef]
- Jia, H.; Broekhuis, B.; Xu, Y.; Yang, Z.; Kautz, D.; Zhong, L.; Engelhard, M.H.; Zhao, Q.; Bowden, M.E.; Matthews, B.E.; et al. Rational Electrolyte Design for Elevated-Temperature and Thermally Stable Lithium-Ion Batteries with Nickel-Rich Cathodes. ACS Appl. Mater. Interfaces 2025, 17, 6260–6270. [Google Scholar] [CrossRef]
- He, X.; Peng, J.; Lin, Q.; Li, M.; Chen, W.; Liu, P.; Huang, T.; Huang, Z.; Liu, Y.; Deng, J.; et al. Sulfolane-Based Flame-Retardant Electrolyte for High-Voltage Sodium-Ion Batteries. Nano-Micro Lett. 2024, 17, 45. [Google Scholar] [CrossRef] [PubMed]
- Zhou, J.; Zhang, C.; Wang, H.; Guo, Y.; Xie, C.; Luo, Y.; Wang, C.; Wen, S.; Cai, J.; Yu, W.; et al. Dual-Interphase-Stabilizing Sulfolane-Based Electrolytes for High-Voltage and High-Safety Lithium Metal Batteries. Adv. Sci. 2024, 11, 2410129. [Google Scholar] [CrossRef] [PubMed]
- Chen, Y.; Zhao, Y.; Wang, A.; Zhang, D.; Li, B.; He, X.; Fan, X.; Liu, J. Cosolvent occupied solvation tuned anti-oxidation therapy toward highly safe 4.7 V-class NCM811 batteries. Energy Environ. Sci. 2024, 17, 6113–6126. [Google Scholar] [CrossRef]
- Zhang, B.-H.; Chen, P.-P.; Hou, Y.-L.; Chen, J.-Z.; Wang, H.-Y.; Wen, W.-X.; Li, Z.-A.; Lei, J.-T.; Zhao, D.-L. Localized High-Concentration Sulfone Electrolytes with High-Voltage Stability and Flame Retardancy for Ni-Rich Lithium Metal Batteries. Small 2024, 20, 2402123. [Google Scholar] [CrossRef]
- Hai, F.; Tian, X.; Yi, Y.; Wu, Z.; Zheng, S.; Guo, J.; Tang, W.; Hua, W.; Li, M. A sulfolane-based high-voltage electrolyte with dispersed aggregates for 5 V batteries. Energy Storage Mater. 2023, 54, 641–650. [Google Scholar] [CrossRef]
- Ko, S.; Yamada, Y.; Yamada, A. An overlooked issue for high-voltage Li-ion batteries: Suppressing the intercalation of anions into conductive carbon. Joule 2021, 5, 998–1009. [Google Scholar] [CrossRef]
- Kuang, W.; Zhou, X.; Fan, Z.; Chen, X.; Yang, Z.; Chen, J.; Shi, X.; Li, L.; Zeng, R.; Wang, J.-Z.; et al. Sulfur-Containing Inorganic-Rich Interfacial Chemistry Empowers Advanced Sodium-Ion Full Batteries. ACS Energy Lett. 2024, 9, 4111–4118. [Google Scholar] [CrossRef]
- Wang, C.; Fu, X.; Ying, C.; Liu, J.; Zhong, W.-H. Natural protein as novel additive of a commercial electrolyte for Long-Cycling lithium metal batteries. Chem. Eng. J. 2022, 437, 135283. [Google Scholar] [CrossRef]
- Liu, D.; Yuan, L.; Li, X.; Chen, J.; Xiong, R.; Meng, J.; Zhu, S.; Huang, Y. Tuning the Electrolyte Solvation Structure via a Nonaqueous Co-Solvent to Enable High-Voltage Aqueous Lithium-Ion Batteries. ACS Appl. Mater. Interfaces 2022, 14, 17585–17593. [Google Scholar] [CrossRef]
- Kasemchainan, J.; Teeraburanapong, S.; Suttipong, M. Enhanced Ion Solvation and Conductivity in Lithium-Ion Electrolytes via Tailored EMC-TMS Solvent Mixtures: A Molecular Dynamics Study. ACS Omega 2025, 10, 2141–2149. [Google Scholar] [CrossRef]








| Electrode Materials | The Role of TMS | Cutoff Voltage | Cycle Rate | Number of Cycles | Capacity Retention Rate | Reference |
|---|---|---|---|---|---|---|
| NCM811(+)||Gr(−) | cosolvent | 4.5 V | 0.2 C | 500 | 92% | [43] |
| NCM811(+)||Li(−) | solvent | 4.5 V | 1 C | 300 | 71.7% | [44] |
| LiNi0.5Mn1.5O4(+)||Li(−) | solvent | 4.95 V | 0.5 C | 500 | 89% | [45] |
| Li2CoPo4F(+)||Gr(−) | solvent | 4.8 V | 0.5 C | 1000 | 93% | [46] |
| LiCoO2(+)||Li(−) | solvent | 4.65 V | 0.1 C | 100 | 83.21% | [42] |
| Sample | EC | DMC | EMC | LiPF6 | TMS (wt%) |
|---|---|---|---|---|---|
| TMS-0 | 30 mL | 40 mL | 30 mL | 15.19 g | 0 g (0%) |
| TMS-2 | 30 mL | 40 mL | 30 mL | 15.19 g | 2.51 g (2%) |
| TMS-5 | 30 mL | 40 mL | 30 mL | 15.19 g | 6.29 g (5%) |
| TMS-10 | 30 mL | 40 mL | 30 mL | 15.19 g | 13.97 g (10%) |
| TMS-20 | 30 mL | 40 mL | 30 mL | 15.19 g | 31.43 g (20%) |
Disclaimer/Publisher’s Note: The statements, opinions and data contained in all publications are solely those of the individual author(s) and contributor(s) and not of MDPI and/or the editor(s). MDPI and/or the editor(s) disclaim responsibility for any injury to people or property resulting from any ideas, methods, instructions or products referred to in the content. |
© 2025 by the authors. Licensee MDPI, Basel, Switzerland. This article is an open access article distributed under the terms and conditions of the Creative Commons Attribution (CC BY) license (https://creativecommons.org/licenses/by/4.0/).
Share and Cite
Liu, W.; Chen, G.; Wang, N.; Sun, X.; Li, C.; Xu, Y.; Zhang, X.; Zhang, X.; Wang, K. Tetramethylene Sulfone (TMS) as an Electrolyte Additive for High-Power Lithium-Ion Batteries. Batteries 2025, 11, 270. https://doi.org/10.3390/batteries11070270
Liu W, Chen G, Wang N, Sun X, Li C, Xu Y, Zhang X, Zhang X, Wang K. Tetramethylene Sulfone (TMS) as an Electrolyte Additive for High-Power Lithium-Ion Batteries. Batteries. 2025; 11(7):270. https://doi.org/10.3390/batteries11070270
Chicago/Turabian StyleLiu, Wenting, Gangxin Chen, Ningfeng Wang, Xianzhong Sun, Chen Li, Yanan Xu, Xiaohu Zhang, Xiong Zhang, and Kai Wang. 2025. "Tetramethylene Sulfone (TMS) as an Electrolyte Additive for High-Power Lithium-Ion Batteries" Batteries 11, no. 7: 270. https://doi.org/10.3390/batteries11070270
APA StyleLiu, W., Chen, G., Wang, N., Sun, X., Li, C., Xu, Y., Zhang, X., Zhang, X., & Wang, K. (2025). Tetramethylene Sulfone (TMS) as an Electrolyte Additive for High-Power Lithium-Ion Batteries. Batteries, 11(7), 270. https://doi.org/10.3390/batteries11070270

