The Collisional Charging of a Transmon Quantum Battery
Abstract
1. Introduction
2. Model
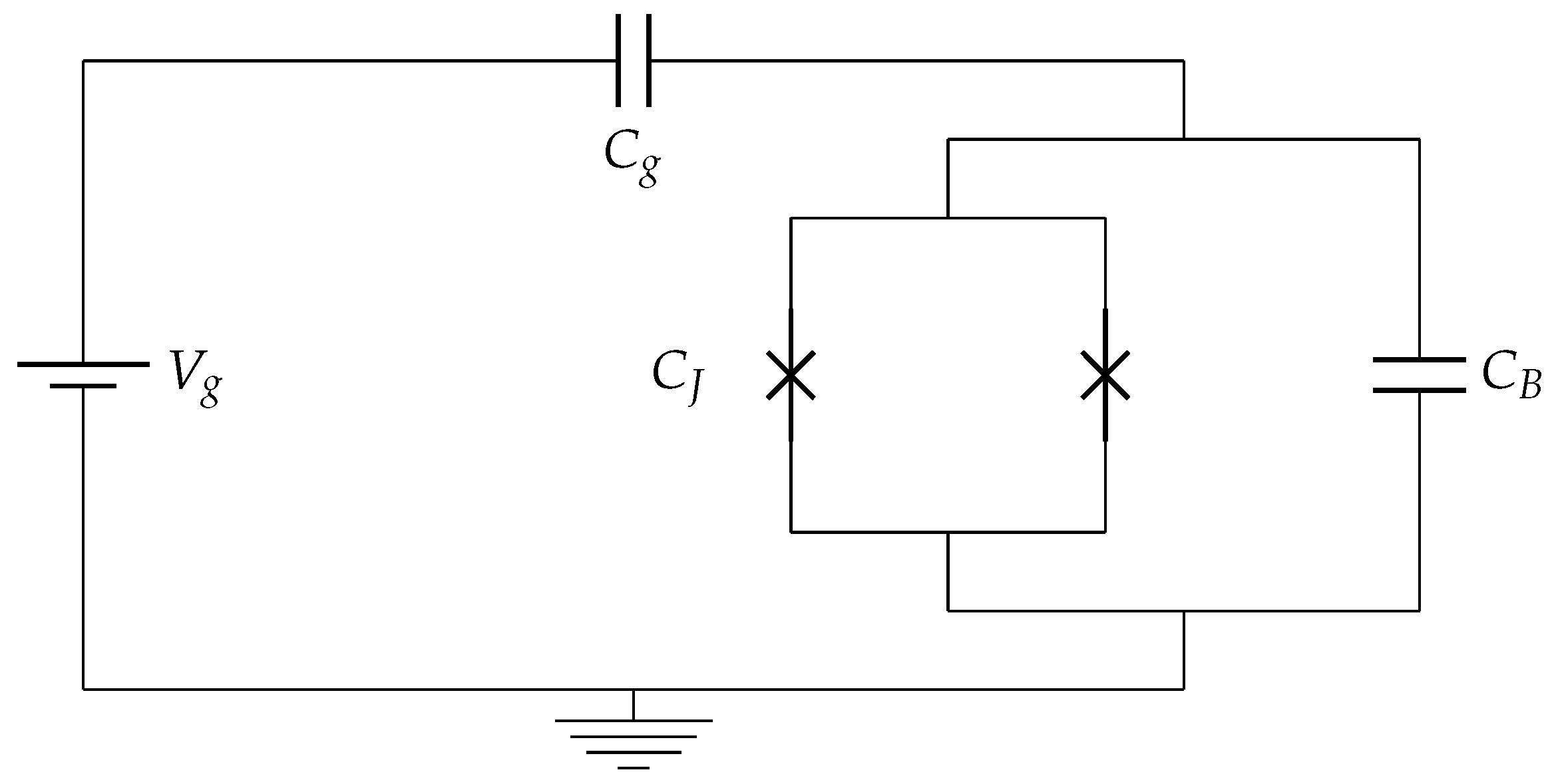
2.1. Quantum Battery
2.2. Charging Protocol
- At time , the QB is coupled with the n-th TLS charger, so that the resulting composite system undergoes a unitary evolution described by the Hamiltonian ;
- At time , the coupling is switched off;
- This procedure is iteratively repeated by coupling the QB with subsequent chargers until one obtains the desired value of a relevant figure of merit (see below).
2.3. Figures of Merit
3. Results
- (i)
- A coherent charging protocol, where and , as discussed in Section 3.1;
- (ii)
- An incoherent charging protocol, where , as discussed in Section 3.2.
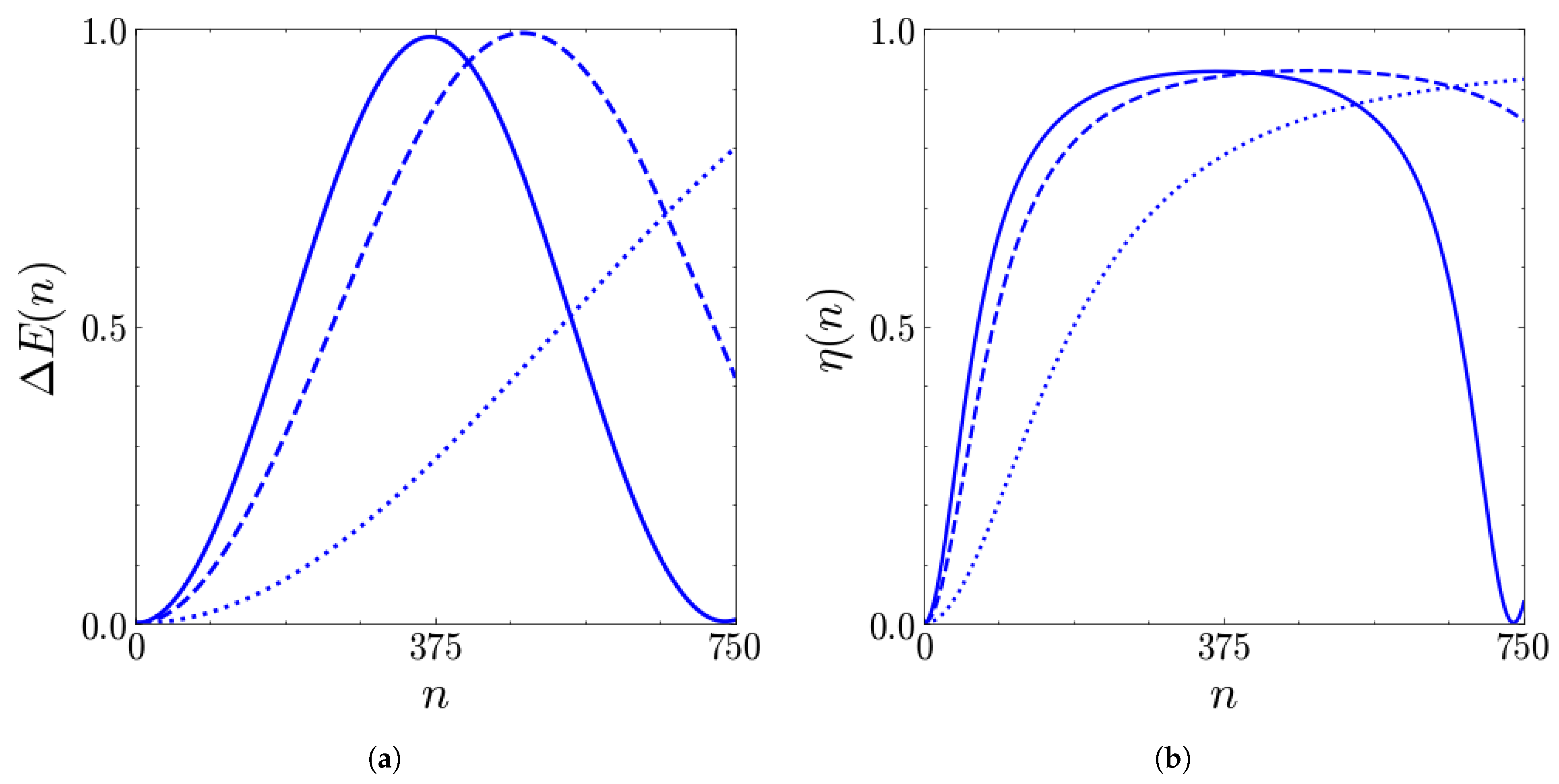
3.1. Coherent Charging
3.1.1. Collision Time
- (i)
- In a short time, , with representing the number of collisions needed to reach the first maximum, which is as little as 400–1000, corresponding to a charging duration of μs (see Section 3.3 for more details);
- (ii)
- With a very large extraction efficiency, reaching peaks with .
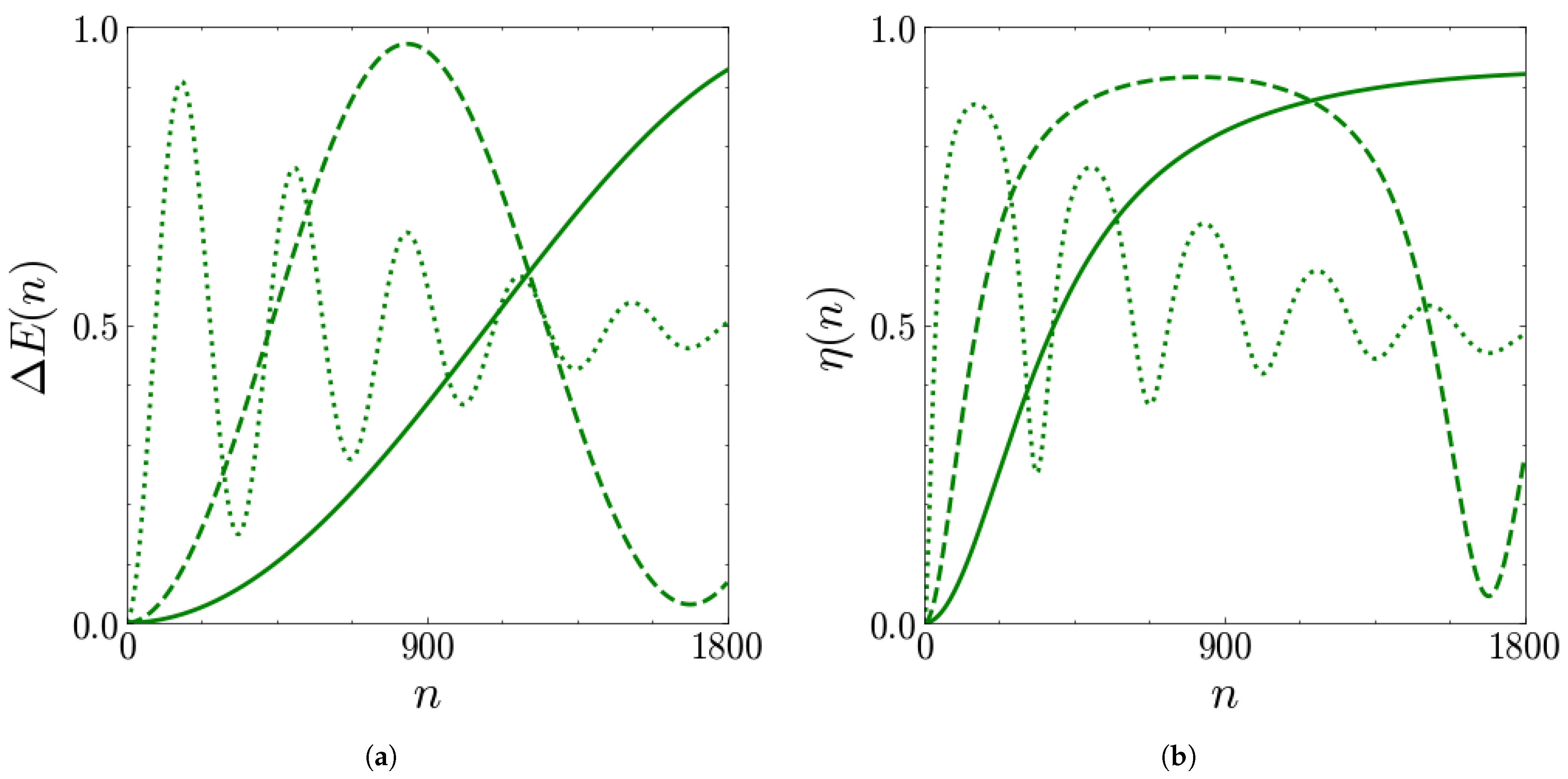
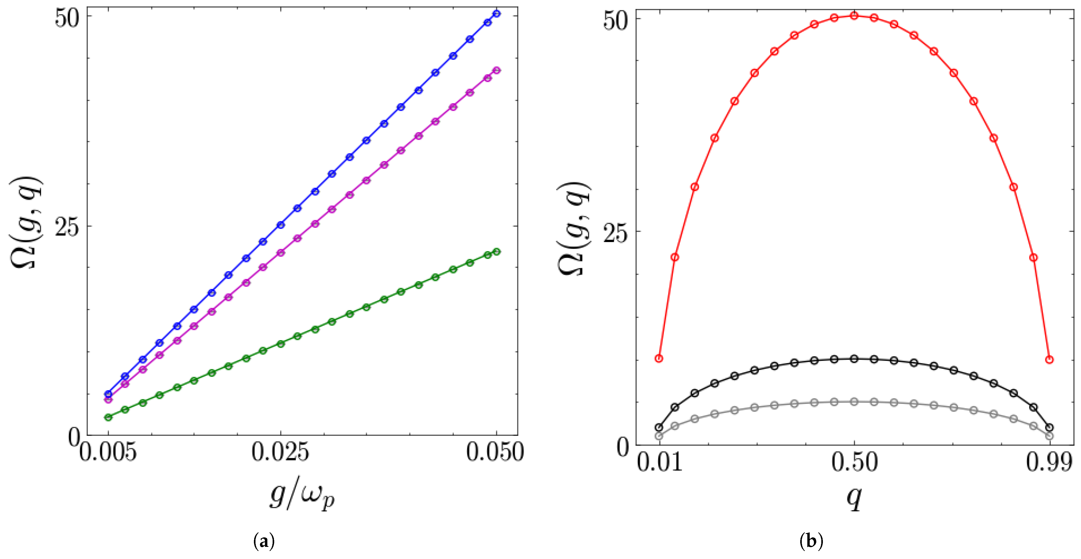
3.1.2. Frequency and Damping of the Stored Energy Oscillations
3.1.3. Different Durations of the Interaction
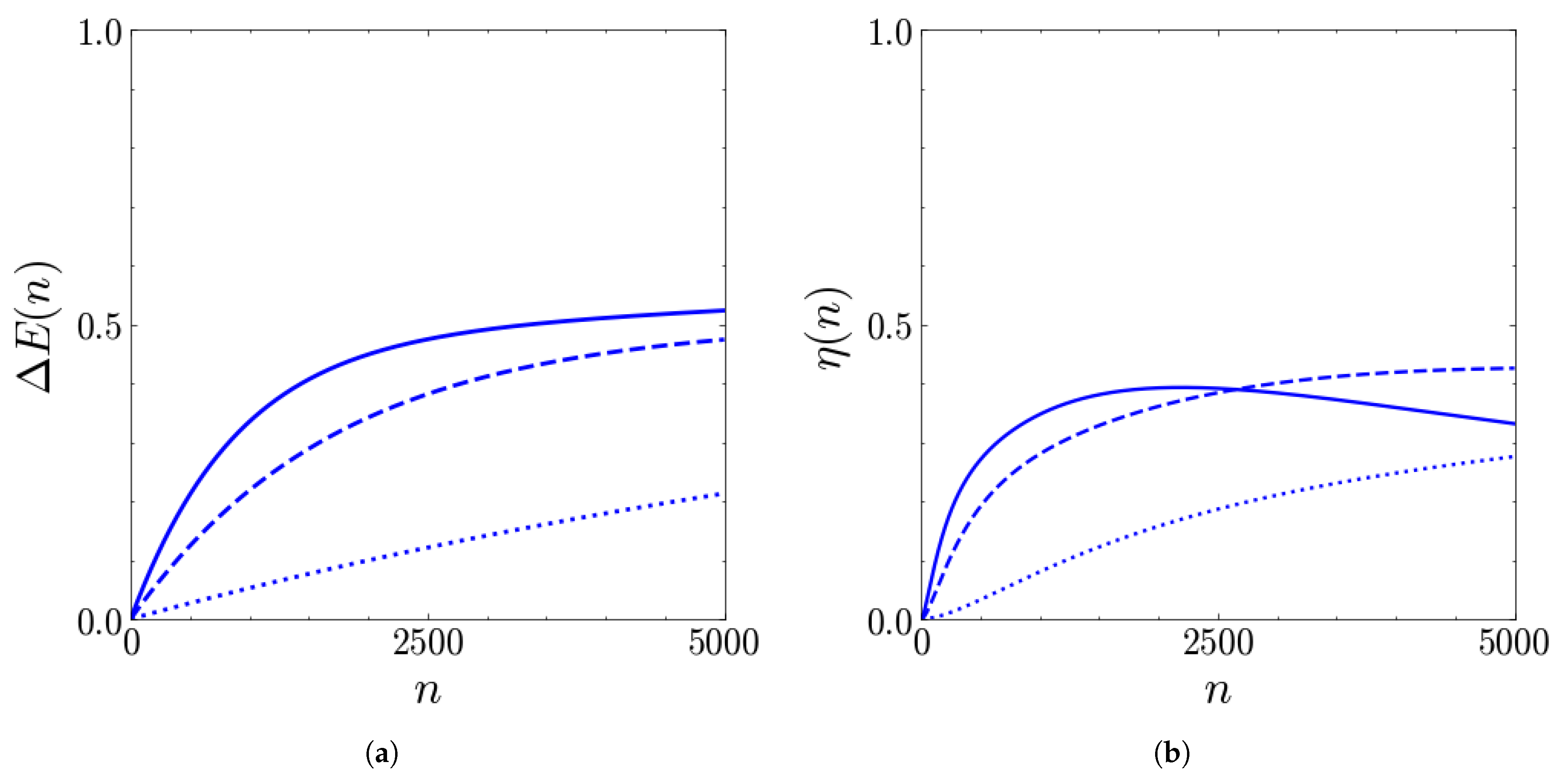
3.2. Incoherent Charging
3.2.1. Collision Time
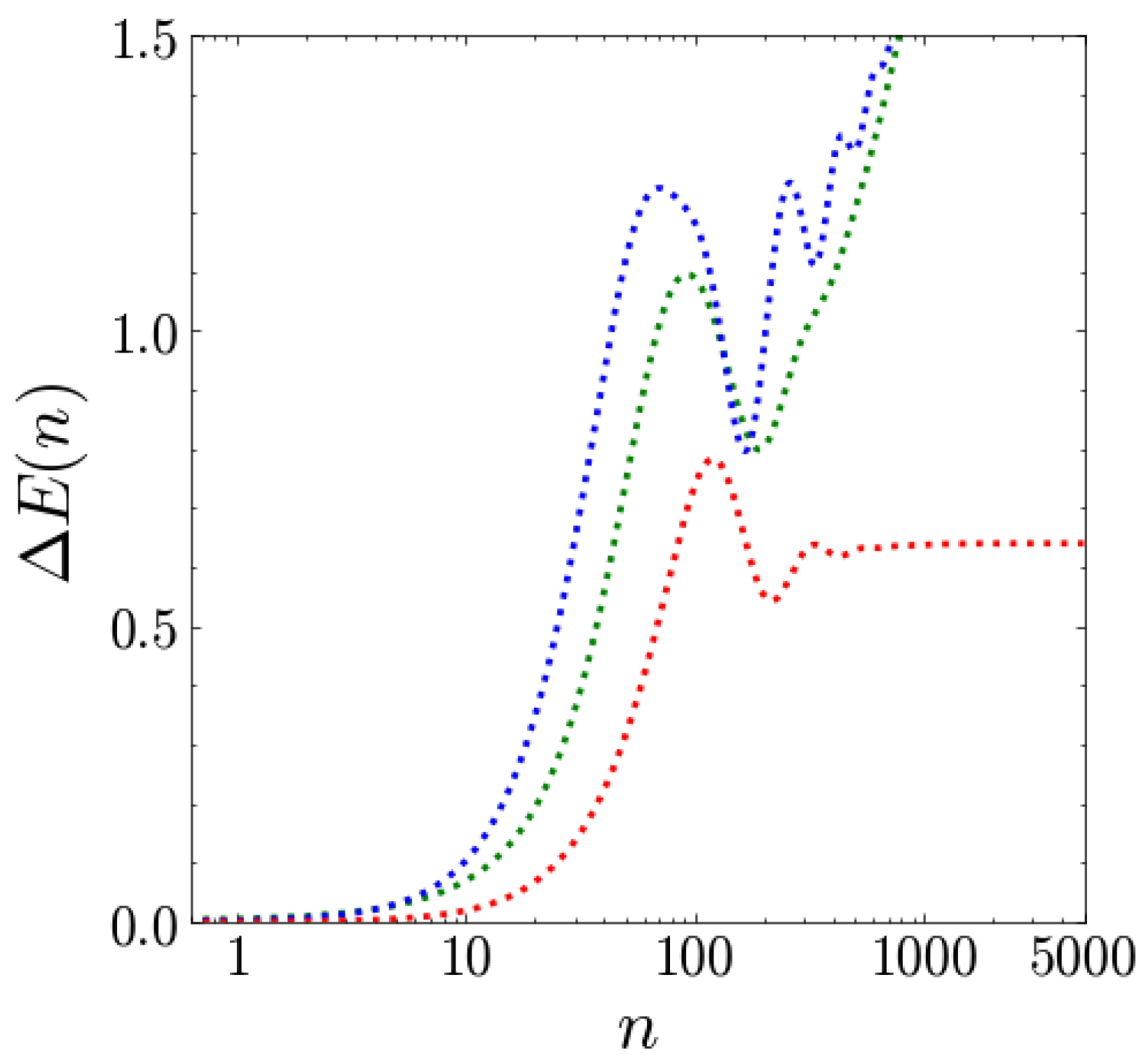
- At short times, the energy stored in the coherent case is greater than that of the incoherent case;
- At long times, the coherent oscillations are damped until reaching a value which is comparable with the stored energy of the incoherent case and, in some cases, even lower.
3.2.2. Different Durations of the Interactions
3.3. Experimental Feasibility
4. Conclusions
Author Contributions
Funding
Data Availability Statement
Acknowledgments
Conflicts of Interest
Abbreviations
| QB | Quantum battery |
| TLS | Two-level system |
Appendix A. τ < τp
Appendix A.1. Coherent Charging

Appendix A.2. Incoherent Charging

Appendix B. Considerations About Intermediate of c

References
- Koch, C.P.; Boscain, U.; Calarco, T.; Dirr, G.; Filipp, S.; Glaser, S.J.; Kosloff, R.; Montangero, S.; Schulte-Herbrüggen, T.; Sugny, D.; et al. Quantum optimal control in quantum technologies. Strategic report on current status, visions and goals for research in Europe. EPJ Quantum Technol. 2022, 9, 19. [Google Scholar] [CrossRef]
- Ezratty, O. Understanding Quantum Technologies 2024. arXiv 2024. [Google Scholar] [CrossRef]
- Quach, J.; Cerullo, G.; Virgili, T. Quantum batteries: The future of energy storage? Joule 2023, 7, 2195–2200. [Google Scholar] [CrossRef]
- Campaioli, F.; Gherardini, S.; Quach, J.Q.; Polini, M.; Andolina, G.M. Colloquium: Quantum batteries. Rev. Mod. Phys. 2024, 96, 031001. [Google Scholar] [CrossRef]
- Alicki, R.; Fannes, M. Entanglement boost for extractable work from ensembles of quantum batteries. Phys. Rev. E 2013, 87, 042123. [Google Scholar] [CrossRef]
- Le, T.P.; Levinsen, J.; Modi, K.; Parish, M.M.; Pollock, F.A. Spin-chain model of a many-body quantum battery. Phys. Rev. A 2018, 97, 022106. [Google Scholar] [CrossRef]
- Rossini, D.; Andolina, G.M.; Polini, M. Many-body localized quantum batteries. Phys. Rev. B 2019, 100, 115142. [Google Scholar] [CrossRef]
- Rossini, D.; Andolina, G.M.; Rosa, D.; Carrega, M.; Polini, M. Quantum Advantage in the Charging Process of Sachdev-Ye-Kitaev Batteries. Phys. Rev. Lett. 2020, 125, 236402. [Google Scholar] [CrossRef]
- Grazi, R.; Sacco Shaikh, D.; Sassetti, M.; Traverso Ziani, N.; Ferraro, D. Controlling Energy Storage Crossing Quantum Phase Transitions in an Integrable Spin Quantum Battery. Phys. Rev. Lett. 2024, 133, 197001. [Google Scholar] [CrossRef]
- Catalano, A.; Giampaolo, S.; Morsch, O.; Giovannetti, V.; Franchini, F. Frustrating Quantum Batteries. PRX Quantum 2024, 5, 030319. [Google Scholar] [CrossRef]
- Porta, S.; Cavaliere, F.; Sassetti, M.; Traverso Ziani, N. Topological classification of dynamical quantum phase transitions in the xy chain. Sci. Rep. 2020, 10, 12766. [Google Scholar] [CrossRef] [PubMed]
- Grazi, R.; Cavaliere, F.; Sassetti, M.; Ferraro, D.; Traverso Ziani, N. Charging free fermion quantum batteries. Chaos Solitons Fractals 2025, 196, 116383. [Google Scholar] [CrossRef]
- Lu, Z.G.; Tian, G.; Lü, X.Y.; Shang, C. Topological Quantum Batteries. Phys. Rev. Lett. 2025, 134, 180401. [Google Scholar] [CrossRef] [PubMed]
- Ferraro, D.; Campisi, M.; Andolina, G.M.; Pellegrini, V.; Polini, M. High-Power Collective Charging of a Solid-State Quantum Battery. Phys. Rev. Lett. 2018, 120, 117702. [Google Scholar] [CrossRef]
- Eckhardt, C.J.; Passetti, G.; Othman, M.; Karrasch, C.; Cavaliere, F.; Sentef, M.A.; Kennes, D.M. Quantum Floquet engineering with an exactly solvable tight-binding chain in a cavity. Commun. Phys. 2022, 5, 122. [Google Scholar] [CrossRef]
- Quach, J.Q.; McGhee, K.E.; Ganzer, L.; Rouse, D.M.; Lovett, B.W.; Gauger, E.M.; Keeling, J.; Cerullo, G.; Lidzey, D.G.; Virgili, T. Superabsorption in an organic microcavity: Toward a quantum battery. Sci. Adv. 2022, 8, eabk3160. [Google Scholar] [CrossRef]
- Carrasco, J.; Maze, J.R.; Hermann-Avigliano, C.; Barra, F. Collective enhancement in dissipative quantum batteries. Phys. Rev. E 2022, 105, 064119. [Google Scholar] [CrossRef]
- Dou, F.Q.; Lu, Y.Q.; Wang, Y.J.; Sun, J.A. Extended Dicke quantum battery with interatomic interactions and driving field. Phys. Rev. B 2022, 105, 115405. [Google Scholar] [CrossRef]
- Gemme, G.; Andolina, G.M.; Pellegrino, F.M.D.; Sassetti, M.; Ferraro, D. Off-Resonant Dicke Quantum Battery: Charging by Virtual Photons. Batteries 2023, 9, 197. [Google Scholar] [CrossRef]
- Wang, L.; Liu, S.Q.; Wu, F.l.; Fan, H.; Liu, S.Y. Deep strong charging in a multiphoton anisotropic Dicke quantum battery. Phys. Rev. A 2024, 110, 042419. [Google Scholar] [CrossRef]
- Yang, D.L.; Yang, F.M.; Dou, F.Q. Three-level Dicke quantum battery. Phys. Rev. B 2024, 109, 235432. [Google Scholar] [CrossRef]
- Erdman, P.A.; Andolina, G.M.; Giovannetti, V.; Noé, F. Reinforcement Learning Optimization of the Charging of a Dicke Quantum Battery. Phys. Rev. Lett. 2024, 133, 243602. [Google Scholar] [CrossRef] [PubMed]
- Hymas, K.; Muir, J.B.; Tibben, D.; van Embden, J.; Hirai, T.; Dunn, C.J.; Gómez, D.E.; Hutchison, J.A.; Smith, T.A.; Quach, J.Q. Experimental demonstration of a scalable room-temperature quantum battery. arXiv 2025. [Google Scholar] [CrossRef]
- Koch, J.; Yu, T.M.; Gambetta, J.; Houck, A.A.; Schuster, D.I.; Majer, J.; Blais, A.; Devoret, M.H.; Girvin, S.M.; Schoelkopf, R.J. Charge-insensitive qubit design derived from the Cooper pair box. Phys. Rev. A 2007, 76, 042319. [Google Scholar] [CrossRef]
- Krantz, P.; Kjaergaard, M.; Yan, F.; Orlando, T.P.; Gustavsson, S.; Oliver, W.D. A quantum engineer’s guide to superconducting qubits. App. Phys. Rev. 2019, 6, 021318. [Google Scholar] [CrossRef]
- Hu, C.K.; Qiu, J.; Souza, P.J.P.; Yuan, J.; Zhou, Y.; Zhang, L.; Chu, J.; Pan, X.; Hu, L.; Li, J.; et al. Optimal charging of a superconducting quantum battery. Quantum Sci. Technol. 2022, 7, 045018. [Google Scholar] [CrossRef]
- Gemme, G.; Grossi, M.; Vallecorsa, S.; Sassetti, M.; Ferraro, D. Qutrit quantum battery: Comparing different charging protocols. Phys. Rev. Res. 2024, 6, 023091. [Google Scholar] [CrossRef]
- Cavaliere, F.; Gemme, G.; Benenti, G.; Ferraro, D.; Sassetti, M. Dynamical blockade of a reservoir for optimal performances of a quantum battery. Commun. Phys. 2025, 8, 76. [Google Scholar] [CrossRef]
- Blais, A.; Grimsmo, A.L.; Girvin, S.M.; Wallraff, A. Circuit quantum electrodynamics. Rev. Mod. Phys. 2021, 93, 025005. [Google Scholar] [CrossRef]
- Hovhannisyan, K.V.; Barra, F.; Imparato, A. Charging assisted by thermalization. Phys. Rev. Res. 2020, 2, 033413. [Google Scholar] [CrossRef]
- Rodríguez, R.R.; Ahmadi, B.; Mazurek, P.; Barzanjeh, S.; Alicki, R.; Horodecki, P. Catalysis in charging quantum batteries. Phys. Rev. A 2023, 107, 042419. [Google Scholar] [CrossRef]
- Benenti, G.; Palma, G.M. Reversible and irreversible dynamics of a qubit interacting with a small environment. Phys. Rev. A 2007, 75, 052110. [Google Scholar] [CrossRef]
- Ziman, M.; Bužek, V. All (qubit) decoherences: Complete characterization and physical implementation. Phys. Rev. A 2005, 72, 022110. [Google Scholar] [CrossRef]
- Ciccarello, F.; Lorenzo, S.; Giovannetti, V.; Palma, G.M. Quantum collision models: Open system dynamics from repeated interactions. Phys. Rep. 2022, 954, 1–70. [Google Scholar] [CrossRef]
- Cusumano, S. Quantum Collision Models: A Beginner Guide. Entropy 2022, 24, 1258. [Google Scholar] [CrossRef] [PubMed]
- Campbell, S.; Vacchini, B. Collision models in open system dynamics: A versatile tool for deeper insights? Europhys. Lett. 2021, 133, 60001. [Google Scholar] [CrossRef]
- Strasberg, P.; Schaller, G.; Brandes, T.; Esposito, M. Quantum and Information Thermodynamics: A Unifying Framework Based on Repeated Interactions. Phys. Rev. X 2017, 7, 021003. [Google Scholar] [CrossRef]
- Shaghaghi, V.; Palma, G.M.; Benenti, G. Extracting work from random collisions: A model of a quantum heat engine. Phys. Rev. E 2022, 105, 034101. [Google Scholar] [CrossRef]
- Breuer, H.P.; Petruccione, F. The Theory of Open Quantum Systems; Oxford University: Oxford, UK, 2006. [Google Scholar] [CrossRef]
- Weiss, U. Quantum Dissipative Systems, 4th ed.; World Scientific: Singapore, 2012. [Google Scholar] [CrossRef]
- Morrone, D.; Rossi, M.A.C.; Smirne, A.; Genoni, M.G. Charging a quantum battery in a non-Markovian environment: A collisional model approach. Quantum Sci. Technol. 2023, 8, 035007. [Google Scholar] [CrossRef]
- Barra, F. Dissipative Charging of a Quantum Battery. Phys. Rev. Lett. 2019, 122, 210601. [Google Scholar] [CrossRef]
- Carrega, M.; Crescente, A.; Ferraro, D.; Sassetti, M. Dissipative dynamics of an open quantum battery. New J. Phys. 2020, 22, 083085. [Google Scholar] [CrossRef]
- Seah, S.; Perarnau-Llobet, M.; Haack, G.; Brunner, N.; Nimmrichter, S. Quantum Speed-Up in Collisional Battery Charging. Phys. Rev. Lett. 2021, 127, 100601. [Google Scholar] [CrossRef]
- Landi, G.T. Battery Charging in Collision Models with Bayesian Risk Strategies. Entropy 2021, 23, 1627. [Google Scholar] [CrossRef] [PubMed]
- Shaghaghi, V.; Singh, V.; Benenti, G.; Rosa, D. Micromasers as quantum batteries. Quantum Sci. Technol. 2022, 7, 04LT01. [Google Scholar] [CrossRef]
- Salvia, R.; Perarnau-Llobet, M.; Haack, G.; Brunner, N.; Nimmrichter, S. Quantum advantage in charging cavity and spin batteries by repeated interactions. Phys. Rev. Res. 2023, 5, 013155. [Google Scholar] [CrossRef]
- Shaghaghi, V.; Singh, V.; Carrega, M.; Rosa, D.; Benenti, G. Lossy Micromaser Battery: Almost Pure States in the Jaynes–Cummings Regime. Entropy 2023, 25, 430. [Google Scholar] [CrossRef]
- Rodríguez, C.; Rosa, D.; Olle, J. Artificial intelligence discovery of a charging protocol in a micromaser quantum battery. Phys. Rev. A 2023, 108, 042618. [Google Scholar] [CrossRef]
- Haroche, S. Nobel Lecture: Controlling photons in a box and exploring the quantum to classical boundary. Rev. Mod. Phys. 2013, 85, 1083–1102. [Google Scholar] [CrossRef]
- Slosser, J.J.; Meystre, P.; Braunstein, S.L. Harmonic oscillator driven by a quantum current. Phys. Rev. Lett. 1989, 63, 934–937. [Google Scholar] [CrossRef]
- Dou, F.Q.; Yang, F.M. Superconducting transmon qubit-resonator quantum battery. Phys. Rev. A 2023, 107, 023725. [Google Scholar] [CrossRef]
- Roth, T.E.; Ma, R.; Chew, W.C. The Transmon Qubit for Electromagnetics Engineers: An introduction. IEEE Antennas Propag. Mag. 2023, 65, 8–20. [Google Scholar] [CrossRef]
- Devoret, M.H.; Wallraff, A.; Martinis, J.M. Superconducting Qubits: A Short Review. arXiv 2004. [Google Scholar] [CrossRef]
- Jaklevic, R.C.; Lambe, J.; Silver, A.H.; Mercereau, J.E. Quantum Interference Effects in Josephson Tunneling. Phys. Rev. Lett. 1964, 12, 159–160. [Google Scholar] [CrossRef]
- SQUIDs: Theory and Applications. In Physics and Applications of the Josephson Effect; John Wiley & Sons, Ltd.: Hoboken, NJ, USA, 1982; Chapter 13; pp. 383–445. [CrossRef]
- Pietikäinen, I.; Tuorila, J.; Golubev, D.S.; Paraoanu, G.S. Photon blockade and the quantum-to-classical transition in the driven-dissipative Josephson pendulum coupled to a resonator. Phys. Rev. A 2019, 99, 063828. [Google Scholar] [CrossRef]
- Peano, V.; Thorwart, M. Dynamics of the quantum Duffing oscillator in the driving induced bistable regime. Chem. Phys. 2006, 322, 135–143. [Google Scholar] [CrossRef][Green Version]
- Serban, I.; Wilhelm, F.K. Dynamical Tunneling in Macroscopic Systems. Phys. Rev. Lett. 2007, 99, 137001. [Google Scholar] [CrossRef] [PubMed]
- Vierheilig, C.; Grifoni, M. The dissipative quantum Duffing oscillator: A comparison of Floquet-based approaches. Chem. Phys. 2010, 375, 216–226. [Google Scholar] [CrossRef]
- Buluta, I.; Ashhab, S.; Nori, F. Natural and artificial atoms for quantum computation. Rep. Prog. Phys. 2011, 74, 104401. [Google Scholar] [CrossRef]
- Johansson, J.; Nation, P.; Nori, F. QuTiP: An open-source Python framework for the dynamics of open quantum systems. Comput. Phys. Commun. 2012, 183, 1760–1772. [Google Scholar] [CrossRef]
- Andolina, G.M.; Farina, D.; Mari, A.; Pellegrini, V.; Giovannetti, V.; Polini, M. Charger-mediated energy transfer in exactly solvable models for quantum batteries. Phys. Rev. B 2018, 98, 205423. [Google Scholar] [CrossRef]
- Binder, F.C.; Vinjanampathy, S.; Modi, K.; Goold, J. Quantacell: Powerful charging of quantum batteries. New J. Phys. 2015, 17, 075015. [Google Scholar] [CrossRef]
- Bhattacharjee, S.; Dutta, A. Quantum thermal machines and batteries. Eur. Phys. J. B 2021, 94, 239. [Google Scholar] [CrossRef]
- Pusz, W.; Woronowicz, S. Passive states and KMS states for general quantum systems. Commun. Math. Phys. 1978, 58, 273–290. [Google Scholar] [CrossRef]
- Allahverdyan, A.E.; Balian, R.; Nieuwenhuizen, T.M. Maximal work extraction from finite quantum systems. Europhys. Lett. 2004, 67, 565. [Google Scholar] [CrossRef]
- Barra, F.; Hovhannisyan, K.V.; Imparato, A. Quantum batteries at the verge of a phase transition. New J. Phys. 2022, 24, 015003. [Google Scholar] [CrossRef]
- Frisk Kockum, A.; Miranowicz, A.; De Liberato, S.; Savasta, S.; Nori, F. Ultrastrong coupling between light and matter. Nat. Rev. Phys. 2019, 1, 19–40. [Google Scholar] [CrossRef]
- Crescente, A.; Carrega, M.; Sassetti, M.; Ferraro, D. Ultrafast charging in a two-photon Dicke quantum battery. Phys. Rev. B 2020, 102, 245407. [Google Scholar] [CrossRef]
- Crescente, A.; Ferraro, D.; Sassetti, M. Boosting energy transfer between quantum devices through spectrum engineering in the dissipative ultrastrong coupling regime. Phys. Rev. Res. 2024, 6, 023092. [Google Scholar] [CrossRef]
- Kockum, A.F.; Nori, F. Quantum Bits with Josephson Junctions. In Fundamentals and Frontiers of the Josephson Effect; Tafuri, F., Ed.; Springer International Publishing: Cham, Switzerland, 2019; pp. 703–741. [Google Scholar] [CrossRef]
- Sete, E.A.; Chen, A.Q.; Manenti, R.; Kulshreshtha, S.; Poletto, S. Floating Tunable Coupler for Scalable Quantum Computing Architectures. Phys. Rev. Appl. 2021, 15, 064063. [Google Scholar] [CrossRef]
- Campbell, D.L.; Kamal, A.; Ranzani, L.; Senatore, M.; LaHaye, M.D. Modular Tunable Coupler for Superconducting Circuits. Phys. Rev. Appl. 2023, 19, 064043. [Google Scholar] [CrossRef]
- Heunisch, L.; Eichler, C.; Hartmann, M.J. Tunable coupler to fully decouple and maximally localize superconducting qubits. Phys. Rev. Appl. 2023, 20, 064037. [Google Scholar] [CrossRef]
- Muniz, J.A.; Crow, D.; Kim, H.; Kindem, J.M.; Cairncross, W.B.; Ryou, A.; Bohdanowicz, T.C.; Chen, C.A.; Ji, Y.; Jones, A.M.W.; et al. Repeated ancilla reuse for logical computation on a neutral atom quantum computer. arXiv 2025. [Google Scholar] [CrossRef]

















| c | |||
|---|---|---|---|
| 1.32 | 1.84 | 0.070 | |
| 1.69 | 2.11 | 0.062 | |
| 2.52 | 2.29 | 0.041 |
Disclaimer/Publisher’s Note: The statements, opinions and data contained in all publications are solely those of the individual author(s) and contributor(s) and not of MDPI and/or the editor(s). MDPI and/or the editor(s) disclaim responsibility for any injury to people or property resulting from any ideas, methods, instructions or products referred to in the content. |
© 2025 by the authors. Licensee MDPI, Basel, Switzerland. This article is an open access article distributed under the terms and conditions of the Creative Commons Attribution (CC BY) license (https://creativecommons.org/licenses/by/4.0/).
Share and Cite
Massa, N.; Cavaliere, F.; Ferraro, D. The Collisional Charging of a Transmon Quantum Battery. Batteries 2025, 11, 240. https://doi.org/10.3390/batteries11070240
Massa N, Cavaliere F, Ferraro D. The Collisional Charging of a Transmon Quantum Battery. Batteries. 2025; 11(7):240. https://doi.org/10.3390/batteries11070240
Chicago/Turabian StyleMassa, Nicolò, Fabio Cavaliere, and Dario Ferraro. 2025. "The Collisional Charging of a Transmon Quantum Battery" Batteries 11, no. 7: 240. https://doi.org/10.3390/batteries11070240
APA StyleMassa, N., Cavaliere, F., & Ferraro, D. (2025). The Collisional Charging of a Transmon Quantum Battery. Batteries, 11(7), 240. https://doi.org/10.3390/batteries11070240

