Study on Thermal Behavior and Safety Properties of Na4Fe3(PO4)2(P2O7) and NaNi1/3Fe1/3Mn1/3O2 Cathode-Based Sodium Ion Battery
Abstract
1. Introduction
2. Experimental Section
2.1. Chemical Agents
2.2. Material Characterization and Safety Test
2.3. Battery Safety Tests
3. Results and Discussion
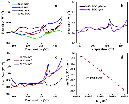
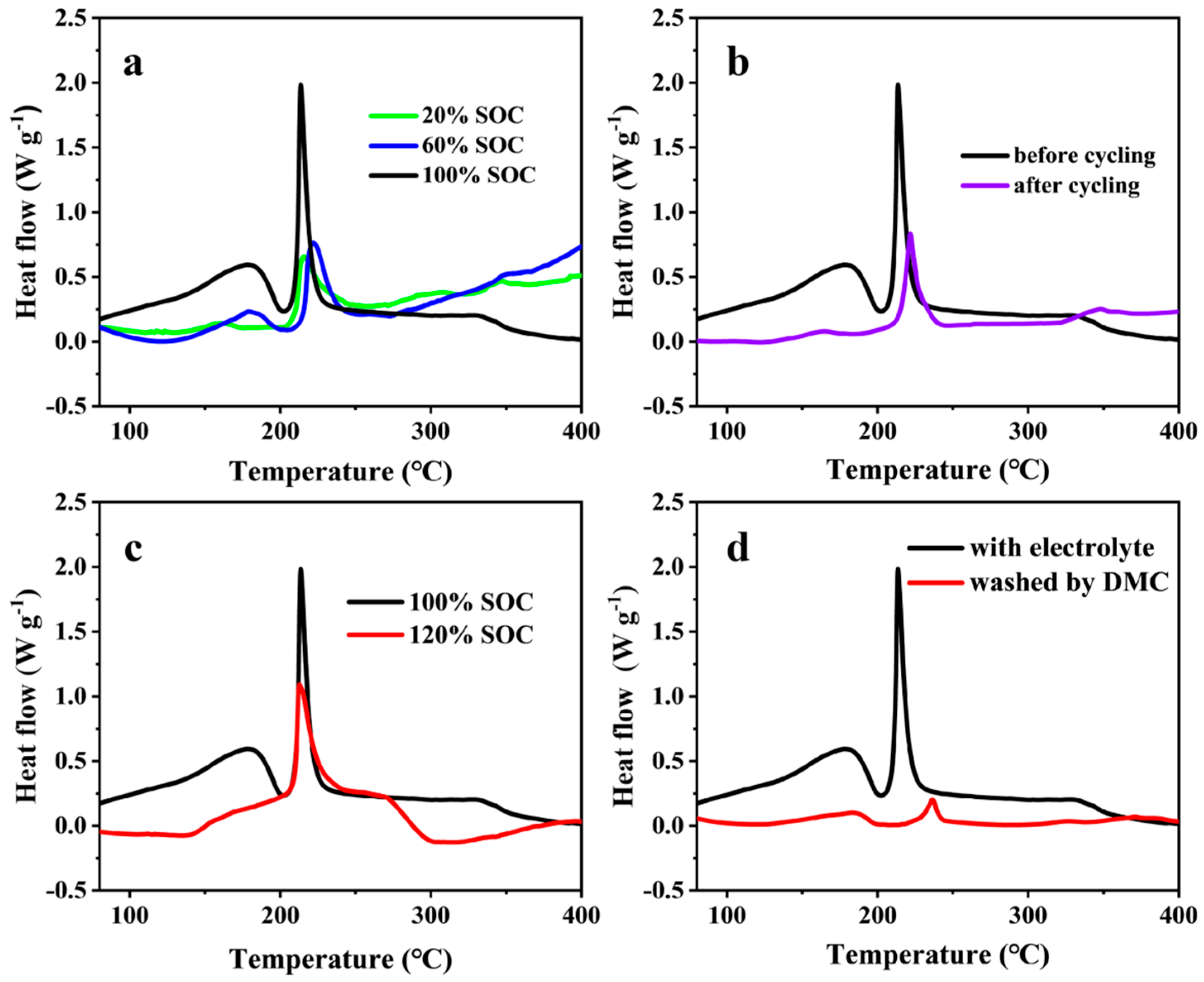
3.1. Thermal Stability Analysis of Electrode Materials and Electrolyte
3.2. Analysis of Battery Thermal Runaway Behavior
4. Conclusions
Author Contributions
Funding
Data Availability Statement
Conflicts of Interest
References
- Larcher, D.; Tarascon, J. Towards greener and more sustainable batteries for electrical energy storage. Nat. Chem. 2015, 7, 19–29. [Google Scholar] [CrossRef] [PubMed]
- Kammen, D.; Sunter, D.A. City-integrated renewable energy for urban sustainability. Science 2016, 352, 922–928. [Google Scholar] [CrossRef]
- Huang, Z.H.; Li, H.; Mei, W.X.; Zhao, C.; Sun, J.; Wang, Q. Thermal runaway behavior of lithium iron phosphate battery during penetration. Fire Technol. 2020, 56, 2405–2426. [Google Scholar] [CrossRef]
- Wu, X.; Meledina, M.; Barthel, J.; Liu, Z.; Tempel, H.; Kungl, H.; Mayer, J.; Eichel, R.A. Investigation of the Li-Co antisite exchange in Fe-substituted LiCoPO4 cathode for high-voltage lithium ion batteries. Energy Storage Mater. 2019, 22, 138–146. [Google Scholar] [CrossRef]
- Wu, X.; Meledina, M.; Tempel, H.; Kungl, H.; Mayer, J.; Eichel, R.A. Morphology-controllable synthesis of LiCoPO4 and its influence on electrochemical performance for high-voltage lithium ion batteries. J. Power Sources 2020, 450, 227726. [Google Scholar] [CrossRef]
- Pu, X.; Wang, H.; Yuan, T.; Cao, S.; Liu, S.; Xu, L.; Yang, H.; Ai, X.; Chen, Z.; Cao, Y. Na4Fe3(PO4)2P2O7/C nanospheres as low-cost, high-performance cathode material for sodium-ion batteries. Energy Storage Mater. 2019, 22, 330–336. [Google Scholar] [CrossRef]
- Chen, S.; Wu, C.; Shen, L.; Zhu, C.; Huang, Y.; Xi, K.; Maier, J.; Yu, Y. Challenges and Perspectives for NASICON-Type Electrode Materials for Advanced Sodium-Ion Batteries. Adv. Mater. 2017, 29, 1700431. [Google Scholar] [CrossRef] [PubMed]
- Wang, K.; Wang, C.; Yang, H.; Wang, X.; Cao, F.; Wu, Q.; Peng, H. Vertical graphene nanosheetsmodified Al current collectors for high-performance sodium-ion batteries. Nano Research 2020, 13, 1948–1954. [Google Scholar] [CrossRef]
- Song, I.T.; Kang, J.; Koh, J.; Choi, H.; Yang, H.; Park, E.; Lee, J.; Cho, W.; Lee, Y.M.; Lee, S.; et al. Thermal runaway prevention through scalable fabrication of safety reinforced layer in practical Li-ion batteries. Nat. Commun. 2024, 15, 8294. [Google Scholar] [CrossRef]
- Ye, Z.; Fu, X. Experimental and simulation investigation on suppressing thermal runaway in battery pack. Sci. Rep. 2024, 14, 12723. [Google Scholar] [CrossRef]
- Edge, J.S.; O’Kane, S.; Prosser, R.; Kirkaldy, N.D.; Patel, A.N.; Hales, A.; Ghosh, A.; Ai, W.; Chen, J.; Yang, J.; et al. Lithium ion battery degradation: What you need to know. Phys. Chem. Chem. Phys. 2021, 23, 8200–8221. [Google Scholar] [CrossRef]
- Zhu, Y.; Wang, Z.; Bian, H.; Wang, J.; Bai, W.; Gao, T.; Bai, J.; Zhou, Y. Critical conditions for the thermal runaway propagation of lithium-ion batteries in air and argon environments. J. Therm. Anal. Calorim. 2022, 147, 13699–13710. [Google Scholar] [CrossRef]
- Kong, J.; Liu, J.; Zhu, J.; Zhang, X.; Tsui, K.L.; Peng, Z.; Wang, D. Review on lithium-ion battery PHM from the perspective of key PHM Steps. Chin. J. Mech. Eng. 2024, 37, 71. [Google Scholar] [CrossRef]
- Liu, J.; Huang, Z.; Sun, J.; Wang, Q. Heat generation and thermal runaway of lithium-ion battery induced by slight overcharging cycling. J. Power Sources 2022, 526, 231136. [Google Scholar] [CrossRef]
- Tao, C.; Chen, Z.; Ye, Q.; Li, G.; Zhang, Y.; Liu, Y. The study of thermal runaway characteristics of multiple lithium batteries under different immersion times. J. Therm. Anal. Calorim. 2022, 147, 11457–11466. [Google Scholar] [CrossRef]
- Kong, L.; Li, Y.; Feng, W. Strategies to solve lithium battery thermal runaway: From mechanism to modification. Electrochem. Energy Rev. 2021, 4, 633–679. [Google Scholar] [CrossRef]
- Ren, D.; Liu, X.; Feng, X.; Lu, L.; Ouyang, M.; Li, J.; He, X. Model-based thermal runaway prediction of lithiumion batteries from kinetics analysis of cell components. Appl. Energy 2018, 228, 633–644. [Google Scholar] [CrossRef]
- Robinson, J.B.; Finegan, D.P.; Heenan, T.M.; Smith, K.; Kendrick, E.; Brett, D.J.; Shearing, P.R. Microstructural analysis of the effects of thermal runaway on Li-ion and Na-ion battery electrodes. J. Electrochem. Energy Convers. Storage 2018, 15, 011010. [Google Scholar] [CrossRef]
- Huang, Y.; Zhang, Q.; Sun, X.G.; Liu, K.; Sun, W.; Zhi, M.; Guo, Y.; Zheng, S.; Dai, S. Multiple functional bonds integrated interphases for long cycle sodium-ion batteries. Angew. Chem. Int. Ed. 2024, 63, e202406277. [Google Scholar] [CrossRef]
- Gan, Y.; Ping, P.; Wang, J.; Song, Y.; Gao, W. Comparative analysis of thermal stability and electrochemical performance of NaNi1/3Fe1/3Mn1/3O2 cathode in different electrolytes for sodium ion batteries. J. Power Sources 2024, 594, 2340. [Google Scholar] [CrossRef]
- Yue, Y.; Jia, Z.; Li, Y.; Wen, Y.; Lei, Q.; Duan, Q.; Sun, J.; Wang, Q. Thermal runaway hazards comparison between sodium-ion and lithium-ion batteries using accelerating rate calorimetry. Process Saf. Environ. Prot. 2024, 189, 61–70. [Google Scholar] [CrossRef]
- Gui, Q.; Xu, B.; Yu, K.; Wang, X.; Li, J.; Xie, Y.; Yu, R.; Zhou, X.; Mao, L. Comparison of NaNi1/3Fe1/3Mn1/3O2 and Na4Fe3(PO4)2(P2O7) cathode sodium-ion battery behavior under overcharging induced thermal runaway. Chem. Eng. J. 2024, 497, 154732. [Google Scholar] [CrossRef]
- Zhao, X.X.; Fu, W.; Zhang, H.X.; Guo, J.Z.; Gu, Z.Y.; Wang, X.T.; Yang, J.L.; Lü, H.Y.; Wu, X.L.; Ang, E.H. Pearl-structure-enhanced NASICON cathode toward ultrastable sodium-ion batteries. Adv. Sci. 2023, 10, 2301308. [Google Scholar] [CrossRef]
- Gu, Z.Y.; Wang, X.T.; Heng, Y.L.; Zhang, K.Y.; Liang, H.J.; Yang, J.L.; Ang, E.H.; Wang, P.F.; You, Y.; Du, F.; et al. Prospects and perspectives on advanced materials for sodium-ion batteries. Sci. Bull. 2023, 68, 2302–2306. [Google Scholar] [CrossRef]
- Su, M.Y.; Zhang, K.Y.; Ang, E.H.; Zhang, X.L.; Liu, Y.N.; Yang, J.L.; Gu, Z.Y.; Butt, F.A.; Wu, X.L. Structural regulation of coal-derived hard carbon anode for sodium-ion batteries via pre-oxidation. Rare Met. 2024, 43, 2585–2596. [Google Scholar] [CrossRef]
- Li, Z.; Zhang, Y.; Wang, Y. High-power and low-cost sodium-ion batteries with a wide operation temperature from −70 °C to 130 °C. SmartMat 2023, 4, e1191. [Google Scholar] [CrossRef]
- Teng, A.; Zhang, Y.; Jiang, L.; Dang, H.; Wang, C.; Fang, Z.; Liu, Y.; Wang, X.; Li, H.; Mei, W.; et al. Revealing the thermal stability of sodium-ion battery from material to cell level using combined thermal-gas analysis. J. Energy Chem. 2025, 103, 838–849. [Google Scholar] [CrossRef]
- Chen, M.; Zhao, C.; Li, Y.; Wang, H.; Wang, K.; Yang, S.; Gao, Y.; Zhang, W.; Chen, C.; Zhang, T.; et al. Breaking boundaries in O3-type NaNi1/3Fe1/3Mn1/3O2 cathode materials for sodium-ion batteries: An industrially scalable reheating strategy for superior electrochemical performance. J. Energy Chem. 2025, 102, 107–119. [Google Scholar] [CrossRef]
- Bao, C.; Wang, B.; Liu, P.; Wu, H.; Zhou, Y.; Wang, D.; Liu, H.; Dou, S. Solid electrolyte interphases on sodium metal anodes. Adv. Funct. Mater. 2020, 30, 2004891. [Google Scholar] [CrossRef]
- Yang, C.; Xin, S.; Mai, L.; You, Y. Materials design for high-safety sodium-ion battery. Adv. Energy Mater. 2021, 11, 2000974. [Google Scholar] [CrossRef]
- Waldmann, T.; Hogg, B.-I.; Wohlfahrt-Mehrens, M. Li plating as unwanted side reaction in commercial Li-ion cells—A review. J. Power Sources 2018, 384, 107–124. [Google Scholar] [CrossRef]
- Eshetu, G.G.; Grugeon, S.; Kim, H.; Jeong, S.; Wu, L.; Gachot, G.; Laruelle, S.; Armand, M.; Passerini, S. Comprehensive Insights into the Reactivity of Electrolytes Based on Sodium Ions. ChemSusChem 2016, 9, 462–471. [Google Scholar] [CrossRef] [PubMed]
- Shen, Y.; Xu, J.; Li, Y.; Zhao, S.; Che, H.; Maher, J.; Wang, X.; Zhang, Y.; Wu, J.; Li, J.; et al. Adjusting anion-solvent dipole interactions in ether-based electrolytes for wide temperature range applications of sodium-ion batteries. J. Mater. Chem. A 2024, 12, 33559–33571. [Google Scholar] [CrossRef]
- Faseena, A.M.; Sreekumar, A. Advances, perspectives and challenges in phase change material based battery thermal management: A comprehensive review. J. Energy Storage 2025, 113, 115644. [Google Scholar] [CrossRef]







| Electrodes | NFPP Cathode | NFM Cathode | Hard Carbon Anode |
|---|---|---|---|
| Areal mass density (g m−2) | 250 | 290 | 115 |
| Tap density (g cm−3) | 1.2 | 3.0 | 0.95 |
| Substrate | Carbon-coated Al foil | Carbon-coated Al foil | Cu gloss foil |
| Battery Type | Earliest Phenomenon (Temperature °C) | T1/°C | T2/°C | T3/°C | Max Heating Rate (°C·s−1) |
|---|---|---|---|---|---|
| NFPP/HC | Voltage drop (140.7) | 151.0 | / | 303.5 | 0.15 |
| NFM/HC | Voltage drop (140.8) | 177.9 | 233.2 | 409.8 | 9.70 |
Disclaimer/Publisher’s Note: The statements, opinions and data contained in all publications are solely those of the individual author(s) and contributor(s) and not of MDPI and/or the editor(s). MDPI and/or the editor(s) disclaim responsibility for any injury to people or property resulting from any ideas, methods, instructions or products referred to in the content. |
© 2025 by the authors. Licensee MDPI, Basel, Switzerland. This article is an open access article distributed under the terms and conditions of the Creative Commons Attribution (CC BY) license (https://creativecommons.org/licenses/by/4.0/).
Share and Cite
Yu, R.; Liu, S.; Li, X.; Wei, B.; Wu, X. Study on Thermal Behavior and Safety Properties of Na4Fe3(PO4)2(P2O7) and NaNi1/3Fe1/3Mn1/3O2 Cathode-Based Sodium Ion Battery. Batteries 2025, 11, 184. https://doi.org/10.3390/batteries11050184
Yu R, Liu S, Li X, Wei B, Wu X. Study on Thermal Behavior and Safety Properties of Na4Fe3(PO4)2(P2O7) and NaNi1/3Fe1/3Mn1/3O2 Cathode-Based Sodium Ion Battery. Batteries. 2025; 11(5):184. https://doi.org/10.3390/batteries11050184
Chicago/Turabian StyleYu, Ran, Shiyang Liu, Xuehai Li, Bin Wei, and Xiaochao Wu. 2025. "Study on Thermal Behavior and Safety Properties of Na4Fe3(PO4)2(P2O7) and NaNi1/3Fe1/3Mn1/3O2 Cathode-Based Sodium Ion Battery" Batteries 11, no. 5: 184. https://doi.org/10.3390/batteries11050184
APA StyleYu, R., Liu, S., Li, X., Wei, B., & Wu, X. (2025). Study on Thermal Behavior and Safety Properties of Na4Fe3(PO4)2(P2O7) and NaNi1/3Fe1/3Mn1/3O2 Cathode-Based Sodium Ion Battery. Batteries, 11(5), 184. https://doi.org/10.3390/batteries11050184

