State of Health Estimation for Lithium-Ion Batteries Using an Explainable XGBoost Model with Parameter Optimization
Abstract
1. Introduction
- To solve the challenge of determining the optimal values of the many hyper-parameters in the XGBoost model, the Bayesian optimization algorithm was employed to achieve parameter self-adjustment. This can realize the balance of optimization effect and efficiency and enhance the adaptability of the estimation model.
- TreeSHAP was used for global and local explainability analysis, revealing the impact that HIs have on the battery SOH estimation and the cause of abnormal estimation results. The explainability analysis plays an important role in reducing the “black-box” characteristics of machine learning models and enhancing deep understanding;
- The accuracy of the proposed battery SOH method was verified through two aging datasets from different commercial batteries, containing 15 cells with over 8000 total aging cycles experienced. The experimental results show that the proposed method achieves considerable accuracy for different cells under different aging conditions.
2. Experimental Design and Battery Dataset
2.1. The Battery Cycling Aging Test
2.2. The Battery Aging Dataset
3. The Battery Health Indicator Extraction
3.1. The Extracted Battery HIs
3.1.1. Time During Equal Voltage Increase
3.1.2. Electric Quantity During Equal Voltage Increase
3.1.3. Voltage Drop During Rest
3.1.4. Peak Value and Position of Charging IC Curve
3.1.5. Area Covered by Charging Q-V Curve
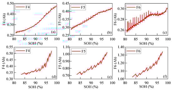
3.2. The Correlation Analysis Between Battery SOH and HIs
4. SOH Estimation Method
4.1. XGBoost for SOH Estimation
4.2. Optimization of Hyper-Parameters Based on Bayesian Optimization Algorithm
- (1)
- Establish the proxy probability model of the objective function;
- (2)
- Find the hyper-parameter that performs best on the proxy model;
- (3)
- Apply the hyper-parameter to the objective function;
- (4)
- Update the proxy probability model that contains the results;
- (5)
- Repeat steps (2) to (4) until the set number of iterations is reached.
4.3. Explainability Analysis of Machine Learning Algorithms
4.4. The General Framework of the SOH Estimation Method
5. Results and Discussion
5.1. The Verification of SOH Estimation
5.2. Explainability Analysis Based on TreeSHAP
6. Limitations and Outlook
- In this study, 12 HIs are extracted as feature datasets, but the number of features is relatively small. In particular, since the battery aging experiment in this study is a CC charge/discharge process, the extracted HIs are also limited to the CC charging and rest process. However, at present, more and more electric vehicles have begun to adopt fast charging technology. The charging current in the fast-charging scenario is often dynamic and time-varying. The feature extraction method in this study needs considerable improvement to adapt to dynamic charging conditions in fast-charging scenarios to meet with requirements of implementation on electric vehicles.
- In this study, HI extraction, model optimization, and training are carried out offline. However, in practical applications, offline SOH estimation methods are difficult to deploy on electric vehicles. Therefore, future research should focus on online estimation methods to achieve higher practicability.
- The research object of this paper is cells, but in practical application, lithium-ion batteries are mostly assembled into battery packs in electric vehicles. Potential problems for the battery packs consist of inconsistent capacity and characteristics between cells, leading to difficulty in applying the proposed method. Therefore, the proposed battery SOH estimation method should take battery inconsistency into account and improve performance in such scenarios.
- The explainability analysis conducted in this study can explain the SOH estimation results by giving a quantitative analysis of the contribution of each HI. However, it is currently not possible to directly relate SOH estimation results to aging mechanisms using this explainability analysis method. Future research should focus on extending explainability analysis to the aging trajectories and mechanisms to further improve the explainability and transparency of data-driven methods. One possible solution is to combine explainability analysis methods with diagnostic methods for battery aging mechanisms. Specifically, the explainability analysis is used to reveal the trend of HIs. Thus, the aging diagnosis method is used to judge the aging mechanism of the battery. In this way, explainability analysis can support BMS to diagnose the aging mechanisms.
7. Conclusions
Author Contributions
Funding
Data Availability Statement
Conflicts of Interest
References
- Berecibar, M.; Gandiaga, I.; Villarreal, I.; Omar, N.; Van Mierlo, J.; Van den Bossche, P. Critical review of state of health estimation methods of Li-ion batteries for real applications. Renew. Sust. Energy Rev. 2016, 56, 572–587. [Google Scholar] [CrossRef]
- Cadini, F.; Sbarufatti, C.; Cancelliere, F.; Giglio, M. State-of-life prognosis and diagnosis of lithium-ion batteries by data-driven particle filters. Appl. Energy 2019, 235, 661–672. [Google Scholar] [CrossRef]
- Zackrisson, M.; Fransson, K.; Hildenbrand, J.; Lampic, G.; O’Dwyer, C. Life cycle assessment of lithium-air battery cells. J. Clean Prod. 2016, 135, 299–311. [Google Scholar] [CrossRef]
- Peng, Y.; Liu, D. Data-driven prognostics and health management: A review of recent advances. Chin. J. Sci. Instrum. 2014, 35, 481–495. [Google Scholar]
- Lipu, M.S.H.; Hannan, M.A.; Hussain, A.; Hoque, M.M.; Ker, P.J.; Saad, M.H.M.; Ayob, A. A review of state of health and remaining useful life estimation methods for lithium-ion battery in electric vehicles: Challenges and recommendations. J. Clean Prod. 2018, 205, 115–133. [Google Scholar] [CrossRef]
- Tagade, P.; Hariharan, K.S.; Ramachandran, S.; Khandelwal, A.; Naha, A.; Kolake, S.M.; Han, S.H. Deep Gaussian process regression for lithium-ion battery health prognosis and degradation mode diagnosis. J. Power Sources 2020, 445, 14. [Google Scholar] [CrossRef]
- Sauer, D.U.; Wenzl, H. Comparison of different approaches for lifetime prediction of electrochemical systems—Using lead-acid batteries as example. J. Power Sources 2008, 176, 534–546. [Google Scholar] [CrossRef]
- Xue, C.Y.; Jiang, B.; Zhu, J.G.; Wei, X.Z.; Dai, H.F. An Enhanced Single-Particle Model Using a Physics-Informed Neural Network Considering Electrolyte Dynamics for Lithium-Ion Batteries. Batteries 2023, 9, 511. [Google Scholar] [CrossRef]
- Chen, S.Q.; Zhang, Q.; Wang, F.C.; Wang, D.F.; He, Z.Q. An electrochemical-thermal-aging effects coupled model for lithium-ion batteries performance simulation and state of health estimation. Appl. Therm. Eng. 2024, 239, 17. [Google Scholar] [CrossRef]
- Huang, P.; Gu, P.W.; Kang, Y.Z.; Zhang, Y.; Duan, B.; Zhang, C.H. The state of health estimation of lithium-ion batteries based on data-driven and model fusion method. J. Clean Prod. 2022, 366, 12. [Google Scholar] [CrossRef]
- Zhang, X.; Wang, Y.J.; Liu, C.; Chen, Z.H. A novel approach of battery pack state of health estimation using artificial intelligence optimization algorithm. J. Power Sources 2018, 376, 191–199. [Google Scholar] [CrossRef]
- Qiao, D.D.; Wei, X.Z.; Jiang, B.; Fan, W.J.; Lai, X.; Zheng, Y.J.; Dai, H.F. Quantitative Diagnosis of Internal Short Circuit for Lithium-Ion Batteries Using Relaxation Voltage. IEEE Trans. Ind. Electron. 2024, 10, 13201–13210. [Google Scholar] [CrossRef]
- Hu, C.; Jain, G.; Schmidt, C.; Strief, C.; Sullivan, M.; ASME. Online Estimation of Lithium-Ion Battery Capacity Using Sparse Bayesian Learning. In Proceedings of the ASME International Design Engineering Technical Conferences and Computers and Information in Engineering Conference, Boston, MA, USA, 2–5 August 2015. [Google Scholar]
- Deng, Y.W.; Ying, H.J.; Jiaqiang, E.; Zhu, H.; Wei, K.X.; Chen, J.W.; Zhang, F.; Liao, G.L. Feature parameter extraction and intelligent estimation of the State-of-Health of lithium-ion batteries. Energy 2019, 176, 91–102. [Google Scholar] [CrossRef]
- Feng, X.N.; Weng, C.H.; He, X.M.; Wang, L.; Ren, D.S.; Lu, L.G.; Han, X.B.; Ouyang, M.G. Incremental Capacity Analysis on Commercial Lithium-Ion Batteries using Support Vector Regression: A Parametric Study. Energies 2018, 11, 2323. [Google Scholar] [CrossRef]
- Li, X.Y.; Yuan, C.G.; Li, X.H.; Wang, Z.P. State of health estimation for Li-Ion battery using incremental capacity analysis and Gaussian process regression. Energy 2020, 190, 11. [Google Scholar] [CrossRef]
- Jiang, B.; Zhu, Y.L.; Zhu, J.G.; Wei, X.Z.; Dai, H.F. An adaptive capacity estimation approach for lithium-ion battery using 10-min relaxation voltage within high state of charge range. Energy 2023, 263, 11. [Google Scholar] [CrossRef]
- Li, Y.; Zou, C.F.; Berecibar, M.; Nanini-Maury, E.; Chan, J.C.W.; van den Bossche, P.; Van Mierlo, J.; Omar, N. Random forest regression for online capacity estimation of lithium-ion batteries. Appl. Energy 2018, 232, 197–210. [Google Scholar] [CrossRef]
- Wu, J.; Cui, X.C.; Zhang, H.; Lin, M.Q. Health Prognosis With Optimized Feature Selection for Lithium-Ion Battery in Electric Vehicle Applications. IEEE Trans. Power Electron. 2021, 36, 12646–12655. [Google Scholar] [CrossRef]
- Chen, L.; Ding, Y.H.; Wang, H.M.; Wang, Y.J.; Liu, B.H.; Wu, S.X.; Li, H.; Pan, H.H. Online Estimating State of Health of Lithium-Ion Batteries Using Hierarchical Extreme Learning Machine. IEEE Trans. Transp. Electrif. 2022, 8, 965–975. [Google Scholar] [CrossRef]
- Li, Y.Y.; Sheng, H.M.; Cheng, Y.H.; Kuang, H.J.; IEEE. Lithium-ion battery state of health monitoring based on ensemble learning. In Proceedings of the IEEE International Instrumentation and Measurement Technology Conference (I2MTC), Auckland, New Zealand, 20–23 May 2019; pp. 554–559. [Google Scholar]
- Qian, C.; Xu, B.; Chang, L.; Sun, B.; Feng, Q.; Yang, D.; Ren, Y.; Wang, Z. Convolutional neural network based capacity estimation using random segments of the charging curves for lithium-ion batteries. Energy 2021, 227, 120333. [Google Scholar] [CrossRef]
- Shen, S.; Sadoughi, M.; Li, M.; Wang, Z.; Hu, C. Deep convolutional neural networks with ensemble learning and transfer learning for capacity estimation of lithium-ion batteries. Appl. Energy 2020, 260, 114296. [Google Scholar] [CrossRef]
- Li, W.; Sengupta, N.; Dechent, P.; Howey, D.; Annaswamy, A.; Sauer, D.U. Online capacity estimation of lithium-ion batteries with deep long short-term memory networks. J. Power Sources 2021, 482, 228863. [Google Scholar] [CrossRef]
- Lin, M.Q.; Zeng, X.P.; Wu, J. State of health estimation of lithium-ion battery based on an adaptive tunable hybrid radial basis function network. J. Power Sources 2021, 504, 11. [Google Scholar] [CrossRef]
- Yao, X.Y.; Chen, G.L.; Pecht, M.; Chen, B. A novel graph-based framework for state of health prediction of lithium-ion battery. J. Energy Storage 2023, 58, 11. [Google Scholar] [CrossRef]
- Kheirkhah-Rad, E.; Parvareh, A.; Moeini-Aghtaie, M.; Dehghanian, P. A Data-Driven State-of-Health Estimation Model for Lithium-Ion Batteries Using Referenced-Based Charging Time. IEEE Trans. Power Deliv. 2023, 38, 3406–3416. [Google Scholar] [CrossRef]
- Jiang, B.; Tao, S.Y.; Wang, X.Y.; Zhu, J.G.; Wei, X.Z.; Dai, H.F. Mechanics-based state of charge estimation for lithium-ion pouch battery using deep learning technique. Energy 2023, 278, 11. [Google Scholar] [CrossRef]
- Bahri, M.; Salutari, F.; Putina, A.; Sozio, M. AutoML: State of the art focusing on anomaly detection, challenges, and research directions. Int. J. Data Sci. Anal. 2022, 14, 113–126. [Google Scholar] [CrossRef]
- Lee, G.; Kim, J.; Lee, C. State-of-health estimation of Li-ion batteries in the early phases of qualification tests: An interpretable machine learning approach. Expert Syst. Appl. 2022, 197, 12. [Google Scholar] [CrossRef]
- Deng, Z.; Hu, X.; Lin, X.; Xu, L.; Che, Y.; Hu, L. General Discharge Voltage Information Enabled Health Evaluation for Lithium-Ion Batteries. IEEE/ASME Trans. Mechatron. 2020, 26, 1295–1306. [Google Scholar] [CrossRef]
- Wang, F.J.; Zhao, Z.B.; Zhai, Z.; Shang, Z.G.; Yan, R.Q.; Chen, X.F. Explainability-driven model improvement for SOH estimation of lithium-ion battery. Reliab. Eng. Syst. Saf. 2023, 232, 12. [Google Scholar] [CrossRef]
- von Bülow, F.; Hahn, Y.; Meyes, R.; Meisen, T. Transparent and Interpretable State of Health Forecasting of Lithium-Ion Batteries with Deep Learning and Saliency Maps. Int. J. Energy Res. 2023, 2023, 23. [Google Scholar] [CrossRef]
- Kobliha, M.; Schwarz, J.; Ocenásek, J. Bayesian optimization algorithms for dynamic problems. In Applications of Evolutionary Computing, Proceedings; Rothlauf, F., Ed.; Lecture Notes in Computer Science; Springer: Berlin, Germany, 2006; Volume 3907, pp. 800–804. [Google Scholar]
- Jiang, B.; Dai, H.F.; Wei, X.Z.; Jiang, Z. Multi-Kernel Relevance Vector Machine With Parameter Optimization for Cycling Aging Prediction of Lithium-Ion Batteries. IEEE J. Emerg. Sel. Top. Power Electron. 2023, 11, 175–186. [Google Scholar] [CrossRef]
- Zhu, J.G.; Knapp, M.; Sorensen, D.R.; Heere, M.; Darma, M.S.D.; Müller, M.; Mereacre, L.; Dai, H.F.; Senyshyn, A.; Wei, X.Z.; et al. Investigation of capacity fade for 18650-type lithium-ion batteries cycled in different state of charge (SoC) ranges. J. Power Sources 2021, 489, 12. [Google Scholar] [CrossRef]
- Liu, S.J.; Winter, M.; Lewerenz, M.; Becker, J.; Sauer, D.U.; Ma, Z.Y.; Jiang, J.C. Analysis of cyclic aging performance of commercial Li4Ti5O12-based batteries at room temperature. Energy 2019, 173, 1041–1053. [Google Scholar] [CrossRef]
- Atalay, S.; Sheikh, M.; Mariani, A.; Merla, Y.; Bower, E.; Widanage, W.D. Theory of battery ageing in a lithium-ion battery: Capacity fade, nonlinear ageing and lifetime prediction. J. Power Sources 2020, 478, 8. [Google Scholar] [CrossRef]
- Han, X.B.; Ouyang, M.G.; Lu, L.G.; Li, J.Q.; Zheng, Y.J.; Li, Z. A comparative study of commercial lithium ion battery cycle life in electrical vehicle: Aging mechanism identification. J. Power Sources 2014, 251, 38–54. [Google Scholar] [CrossRef]
- Anseán, D.; García, V.M.; González, M.; Blanco-Viejo, C.; Viera, J.C.; Pulido, Y.F.; Sánchez, L. Lithium-Ion Battery Degradation Indicators Via Incremental Capacity Analysis. IEEE Trans. Ind. Appl. 2019, 55, 2992–3002. [Google Scholar] [CrossRef]
- Birkl, C.R.; McTurk, E.; Zekoll, S.; Richter, F.H.; Roberts, M.R.; Bruce, P.G.; Howey, D.A. Degradation Diagnostics for Commercial Lithium-Ion Cells Tested at −10 °C. J. Electrochem. Soc. 2017, 164, A2644–A2653. [Google Scholar] [CrossRef]
- Qiao, D.D.; Wei, X.Z.; Jiang, B.; Fan, W.J.; Gong, H.; Lai, X.; Zheng, Y.J.; Dai, H.F. Data-Driven Fault Diagnosis of Internal Short Circuit for Series-Connected Battery Packs Using Partial Voltage Curves. IEEE Trans. Ind. Inform. 2024, 20, 6751–6761. [Google Scholar] [CrossRef]
- Fly, A.; Chen, R. Rate dependency of incremental capacity analysis (dQ/dV) as a diagnostic tool for lithium -ion batteries. J. Energy Storage 2020, 29, 13. [Google Scholar] [CrossRef]
- Chen, T.Q.; Guestrin, C.; Assoc Comp, M. XGBoost: A Scalable Tree Boosting System. In Proceedings of the 22nd ACM SIGKDD International Conference on Knowledge Discovery and Data Mining (KDD), San Francisco, CA, USA, 13–17 August 2016; pp. 785–794. [Google Scholar]
- Shi, Y.; Li, J.; Ren, J.; Zhang, K. Prediction of residual service life of lithium-ion battery using WOA-XGBoost. Energy Storage Sci. Technol. 2022, 11, 3354–3363. [Google Scholar]
- Zhang, B.; Wei, Z.Y.; Ren, J.D.; Cheng, Y.Q.; Zheng, Z.Q. An Empirical Study on Predicting Blood Pressure Using Classification and Regression Trees. IEEE Access 2018, 6, 21758–21768. [Google Scholar] [CrossRef]
- Harinarayan, R.R.A.; Shalinie, S.M. XFDDC: Explainable Fault Detection Diagnosis and Correction framework for chemical process systems. Process Saf. Environ. Protect. 2022, 165, 463–474. [Google Scholar] [CrossRef]
- Lundberg, S.M.; Lee, S.I. A Unified Approach to Interpreting Model Predictions. In Proceedings of the 31st Annual Conference on Neural Information Processing Systems (NIPS), Long Beach, CA, USA, 4–9 December 2017. [Google Scholar]
- Molnar, C.; Casalicchio, G.; Bischl, B. Interpretable Machine Learning—A Brief History, State-of-the-Art and Challenges. In Proceedings of the European Conference on Machine Learning and Principles and Practice of Knowledge Discovery in Databases (ECML PKDD), Electr Network, Ghent, Belgium, 14–18 September 2020; pp. 417–431. [Google Scholar]
- Deng, Z.W.; Yang, L.; Cai, Y.S.; Deng, H.; Sun, L. Online available capacity prediction and state of charge estimation based on advanced data-driven algorithms for lithium iron phosphate battery. Energy 2016, 112, 469–480. [Google Scholar] [CrossRef]
- Deng, Z.W.; Hu, X.S.; Lin, X.K.; Che, Y.H.; Xu, L.; Guo, W.C. Data-driven state of charge estimation for lithium-ion battery packs based on Gaussian process regression. Energy 2020, 205, 11. [Google Scholar] [CrossRef]
- Li, Y.H.; Li, K.; Liu, X.; Zhang, L. Fast battery capacity estimation using convolutional neural networks. Trans. Inst. Meas. Control 2020, 14, 0142331220966425. [Google Scholar] [CrossRef]






















| Discharging Current Rate | Temperature | ||
|---|---|---|---|
| 10 °C | 25 °C | 40 °C | |
| 0.5 C | Cell 1-1 | Cell 1-2 | Cell 1-3 |
| 1 C | Cell 1-4 | Cell 1-5 | Cell 1-6 |
| 2 C | Cell 1-7 | Cell 1-8 | Cell 1-9 |
| Charging Current Rate | Temperature | |
|---|---|---|
| 25 °C | 40 °C | |
| 0.2 C | Cell 2-1 | Cell 2-4 |
| 0.5 C | Cell 2-2 | Cell 2-5 |
| 1 C | Cell 2-3 | Cell 2-6 |
Disclaimer/Publisher’s Note: The statements, opinions and data contained in all publications are solely those of the individual author(s) and contributor(s) and not of MDPI and/or the editor(s). MDPI and/or the editor(s) disclaim responsibility for any injury to people or property resulting from any ideas, methods, instructions or products referred to in the content. |
© 2024 by the authors. Licensee MDPI, Basel, Switzerland. This article is an open access article distributed under the terms and conditions of the Creative Commons Attribution (CC BY) license (https://creativecommons.org/licenses/by/4.0/).
Share and Cite
Xiao, Z.; Jiang, B.; Zhu, J.; Wei, X.; Dai, H. State of Health Estimation for Lithium-Ion Batteries Using an Explainable XGBoost Model with Parameter Optimization. Batteries 2024, 10, 394. https://doi.org/10.3390/batteries10110394
Xiao Z, Jiang B, Zhu J, Wei X, Dai H. State of Health Estimation for Lithium-Ion Batteries Using an Explainable XGBoost Model with Parameter Optimization. Batteries. 2024; 10(11):394. https://doi.org/10.3390/batteries10110394
Chicago/Turabian StyleXiao, Zhenghao, Bo Jiang, Jiangong Zhu, Xuezhe Wei, and Haifeng Dai. 2024. "State of Health Estimation for Lithium-Ion Batteries Using an Explainable XGBoost Model with Parameter Optimization" Batteries 10, no. 11: 394. https://doi.org/10.3390/batteries10110394
APA StyleXiao, Z., Jiang, B., Zhu, J., Wei, X., & Dai, H. (2024). State of Health Estimation for Lithium-Ion Batteries Using an Explainable XGBoost Model with Parameter Optimization. Batteries, 10(11), 394. https://doi.org/10.3390/batteries10110394
