In Situ/Operando Techniques for Unraveling Mechanisms of Ionic Transport in Solid-State Lithium Indium Halide Electrolyte
Abstract
1. Introduction
2. Materials and Methods
2.1. Synthesis of Li3InCl6 Solid-State Electrolyte
2.2. Materials’ Characterization
2.3. Electrochemical Characterization
3. Results and Discussion
3.1. Structural and Thermal Analysis
3.2. Morphological Analysis
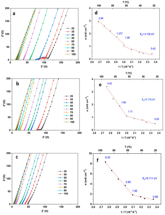
3.3. Electrochemical Performance Evaluation
3.4. In Situ XRD and XPS Analysis
4. Conclusions
Author Contributions
Funding
Data Availability Statement
Acknowledgments
Conflicts of Interest
References
- Wang, S.; Wu, Y.; Ma, T.; Chen, L.; Li, H.; Wu, F. Thermal stability between sulfide solid electrolytes and oxide cathode. ACS Nano 2022, 16, 16158–16176. [Google Scholar] [CrossRef] [PubMed]
- Luo, X.; Cai, D.; Wang, X.; Xia, X.; Gu, C.; Tu, J. A novel ethanol-mediated synthesis of superionic halide electrolytes for high-voltage all-solid-state lithium–metal batteries. ACS Appl. Mater. Interfaces 2022, 14, 29844–29855. [Google Scholar] [CrossRef] [PubMed]
- Peng, J.; Wu, D.; Lu, P.; Wang, Z.; Du, Y.; Wu, Y.; Wu, Y.; Yan, W.; Wang, J.; Li, H. High-safety, wide-temperature-range, low-external-pressure and dendrite-free lithium battery with sulfide solid electrolyte. Energy Storage Mater. 2023, 54, 430–439. [Google Scholar] [CrossRef]
- Asano, T.; Sakai, A.; Ouchi, S.; Sakaida, M.; Miyazaki, A.; Hasegawa, S. Solid halide electrolytes with high lithium-ion conductivity for application in 4 V class bulk-type all-solid-state batteries. Adv. Mater. 2018, 30, 1803075. [Google Scholar] [CrossRef] [PubMed]
- Chen, R.; Li, Q.; Yu, X.; Chen, L.; Li, H. Approaching practically accessible solid-state batteries: Stability issues related to solid electrolytes and interfaces. Chem. Rev. 2019, 120, 6820–6877. [Google Scholar] [CrossRef] [PubMed]
- Trahey, L.; Brushett, F.R.; Balsara, N.P.; Ceder, G.; Cheng, L.; Chiang, Y.-M.; Hahn, N.T.; Ingram, B.J.; Minteer, S.D.; Moore, J.S. Energy storage emerging: A perspective from the Joint Center for Energy Storage Research. Proc. Natl. Acad. Sci. USA 2020, 117, 12550–12557. [Google Scholar] [CrossRef] [PubMed]
- Famprikis, T.; Canepa, P.; Dawson, J.A.; Islam, M.S.; Masquelier, C. Fundamentals of inorganic solid-state electrolytes for batteries. Nat. Mater. 2019, 18, 1278–1291. [Google Scholar] [CrossRef]
- Zhu, Y.; Mo, Y. Materials design principles for air-stable lithium/sodium solid electrolytes. Angew. Chem. Int. Ed. 2020, 59, 17472–17476. [Google Scholar] [CrossRef]
- Xu, R.; Wang, X.; Zhang, S.; Xia, Y.; Xia, X.; Wu, J.; Tu, J. Rational coating of Li7P3S11 solid electrolyte on MoS2 electrode for all-solid-state lithium-ion batteries. J. Power Sources 2018, 374, 107–112. [Google Scholar] [CrossRef]
- Auvergniot, J.; Cassel, A.; Ledeuil, J.-B.; Viallet, V.; Seznec, V.; Dedryvère, R. Interface stability of argyrodite Li6PS5Cl toward LiCoO2, LiNi1/3Co1/3Mn1/3O2, and LiMn2O4 in bulk all-solid-state batteries. Chem. Mater. 2017, 29, 3883–3890. [Google Scholar] [CrossRef]
- Wang, D.; Sun, Q.; Luo, J.; Liang, J.; Sun, Y.; Li, R.; Adair, K.; Zhang, L.; Yang, R.; Lu, S. Mitigating the interfacial degradation in cathodes for high-performance oxide-based solid-state lithium batteries. ACS Appl. Mater. Interfaces 2019, 11, 4954–4961. [Google Scholar] [CrossRef] [PubMed]
- Lu, P.; Liu, L.; Wang, S.; Xu, J.; Peng, J.; Yan, W.; Wang, Q.; Li, H.; Chen, L.; Wu, F. Superior all-solid-state batteries enabled by a gas-phase-synthesized sulfide electrolyte with ultrahigh moisture stability and ionic conductivity. Adv. Mater. 2021, 33, 2100921. [Google Scholar] [CrossRef] [PubMed]
- Thangadurai, V.; Narayanan, S.; Pinzaru, D. Garnet-type solid-state fast Li-ion conductors for Li batteries: Critical review. Chem. Soc. Rev. 2014, 43, 4714–4727. [Google Scholar] [CrossRef] [PubMed]
- Sakuma, M.; Suzuki, K.; Hirayama, M.; Kanno, R. Reactions at the electrode/electrolyte interface of all-solid-state lithium batteries incorporating Li–M (M = Sn, Si) alloy electrodes and sulfide-based solid electrolytes. Solid State Ion. 2016, 285, 101–105. [Google Scholar] [CrossRef]
- Li, X.; Liang, J.; Luo, J.; Banis, M.N.; Wang, C.; Li, W.; Deng, S.; Yu, C.; Zhao, F.; Hu, Y. Air-stable Li 3 InCl 6 electrolyte with high voltage compatibility for all-solid-state batteries. Energy Environ. Sci. 2019, 12, 2665–2671. [Google Scholar] [CrossRef]
- Yamada, K.; Matsuyama, S.; Tomita, Y.; Yamane, Y. Lithium-ion conduction mechanism in LiInI4 studied by single crystal 7Li NMR. Solid State Ion. 2011, 189, 7–12. [Google Scholar] [CrossRef]
- Tomita, Y.; Matsushita, H.; Yonekura, H.; Yamauchi, Y.; Yamada, K.; Kobayashi, K. Li ion conductivity of solid electrolyte, Li3− 2xMxInBr6 (M = Mg, Ca, Sr, Ba). Solid State Ion. 2004, 174, 35–39. [Google Scholar] [CrossRef]
- Zhou, L.; Zuo, T.-T.; Kwok, C.Y.; Kim, S.Y.; Assoud, A.; Zhang, Q.; Janek, J.; Nazar, L.F. High areal capacity, long cycle life 4 V ceramic all-solid-state Li-ion batteries enabled by chloride solid electrolytes. Nat. Energy 2022, 7, 83–93. [Google Scholar] [CrossRef]
- Li, X.; Liang, J.; Chen, N.; Luo, J.; Adair, K.R.; Wang, C.; Banis, M.N.; Sham, T.K.; Zhang, L.; Zhao, S. Water-mediated synthesis of a superionic halide solid electrolyte. Angew. Chem. 2019, 131, 16579–16584. [Google Scholar] [CrossRef]
- Li, W.; Liang, J.; Li, M.; Adair, K.R.; Li, X.; Hu, Y.; Xiao, Q.; Feng, R.; Li, R.; Zhang, L. Unraveling the origin of moisture stability of halide solid-state electrolytes by in situ and operando synchrotron X-ray analytical techniques. Chem. Mater. 2020, 32, 7019–7027. [Google Scholar] [CrossRef]
- Wang, K.; Ye, Q.; Zhang, J.; Huang, H.; Gan, Y.; He, X.; Zhang, W. Halide electrolyte Li3InCl6-based all-solid-state lithium batteries with slurry-coated LiNi0. 8Co0. 1Mn0. 1O2 composite cathode: Effect of binders. Front. Mater. 2021, 8, 727617. [Google Scholar] [CrossRef]
- Wang, S.; Xu, X.; Cui, C.; Zeng, C.; Liang, J.; Fu, J.; Zhang, R.; Zhai, T.; Li, H. Air sensitivity and degradation evolution of halide solid-state electrolytes upon exposure. Adv. Funct. Mater. 2022, 32, 2108805. [Google Scholar] [CrossRef]
- Liu, Y.; Peng, H.; Su, H.; Zhong, Y.; Wang, X.; Xia, X.; Gu, C.; Tu, J. Ultrafast Synthesis of I-Rich Lithium Argyrodite Glass–Ceramic Electrolyte with High Ionic Conductivity. Adv. Mater. 2022, 34, 2107346. [Google Scholar] [CrossRef] [PubMed]
- Numan-Al-Mobin, A.M.; Schmidt, B.; Lannerd, A.; Viste, M.; Qiao, Q.; Smirnova, A. Interdigitated cathode–electrolyte architectural design for fast-charging lithium metal battery with lithium oxyhalide solid-state electrolyte. Mater. Adv. 2022, 3, 8947–8957. [Google Scholar] [CrossRef]
- Sacci, R.L.; Bennett, T.H.; Drews, A.R.; Anandan, V.; Kirkham, M.J.; Daemen, L.L.; Nanda, J. Phase evolution during lithium–indium halide superionic conductor dehydration. J. Mater. Chem. A 2021, 9, 990–996. [Google Scholar] [CrossRef]
- Song, A.Y.; Xiao, Y.; Turcheniuk, K.; Upadhya, P.; Ramanujapuram, A.; Benson, J.; Magasinski, A.; Olguin, M.; Meda, L.; Borodin, O. Protons enhance conductivities in lithium halide hydroxide/lithium oxyhalide solid electrolytes by forming rotating hydroxy groups. Adv. Energy Mater. 2018, 8, 1700971. [Google Scholar] [CrossRef]
- Molaiyan, P.; Mailhiot, S.E.; Voges, K.; Kantola, A.M.; Hu, T.; Michalowski, P.; Kwade, A.; Telkki, V.-V.; Lassi, U. Investigation of the structure and ionic conductivity of a Li3InCl6 modified by dry room annealing for solid-state Li-ion battery applications. Mater. Des. 2023, 227, 111690. [Google Scholar] [CrossRef]
Disclaimer/Publisher’s Note: The statements, opinions, and data contained in all publications are solely those of the individual author(s) and contributor(s) and not of MDPI and/or the editor(s). MDPI and/or the editor(s) disclaim responsibility for any injury to people or property resulting from any ideas, methods, instructions, or products referred to in the content. |






| Experiment Number | Ball-Milling Duration (h) | Annealing Temperature (°C) | Annealing Time (h) |
|---|---|---|---|
| 1 | 12 | - | - |
| 2 | 24 | 600 | 5 |
| 3 | 24 | 500 | 5 |
| 4 | 24 | 450 | 5 |
| 5 | 12 | 450 | 5 |
| 6 | 12 | 260 | 2 |
Disclaimer/Publisher’s Note: The statements, opinions and data contained in all publications are solely those of the individual author(s) and contributor(s) and not of MDPI and/or the editor(s). MDPI and/or the editor(s) disclaim responsibility for any injury to people or property resulting from any ideas, methods, instructions or products referred to in the content. |
© 2024 by the authors. Licensee MDPI, Basel, Switzerland. This article is an open access article distributed under the terms and conditions of the Creative Commons Attribution (CC BY) license (https://creativecommons.org/licenses/by/4.0/).
Share and Cite
Bahmani, F.; Rodmyre, C.; Ly, K.; Mack, P.; White Smirnova, A. In Situ/Operando Techniques for Unraveling Mechanisms of Ionic Transport in Solid-State Lithium Indium Halide Electrolyte. Batteries 2024, 10, 21. https://doi.org/10.3390/batteries10010021
Bahmani F, Rodmyre C, Ly K, Mack P, White Smirnova A. In Situ/Operando Techniques for Unraveling Mechanisms of Ionic Transport in Solid-State Lithium Indium Halide Electrolyte. Batteries. 2024; 10(1):21. https://doi.org/10.3390/batteries10010021
Chicago/Turabian StyleBahmani, Farzaneh, Collin Rodmyre, Karen Ly, Paul Mack, and Alevtina White Smirnova. 2024. "In Situ/Operando Techniques for Unraveling Mechanisms of Ionic Transport in Solid-State Lithium Indium Halide Electrolyte" Batteries 10, no. 1: 21. https://doi.org/10.3390/batteries10010021
APA StyleBahmani, F., Rodmyre, C., Ly, K., Mack, P., & White Smirnova, A. (2024). In Situ/Operando Techniques for Unraveling Mechanisms of Ionic Transport in Solid-State Lithium Indium Halide Electrolyte. Batteries, 10(1), 21. https://doi.org/10.3390/batteries10010021
