Magnetism and Exchange Bias Properties in Ba2ScRuO6
Abstract
1. Introduction
2. Experimental Section
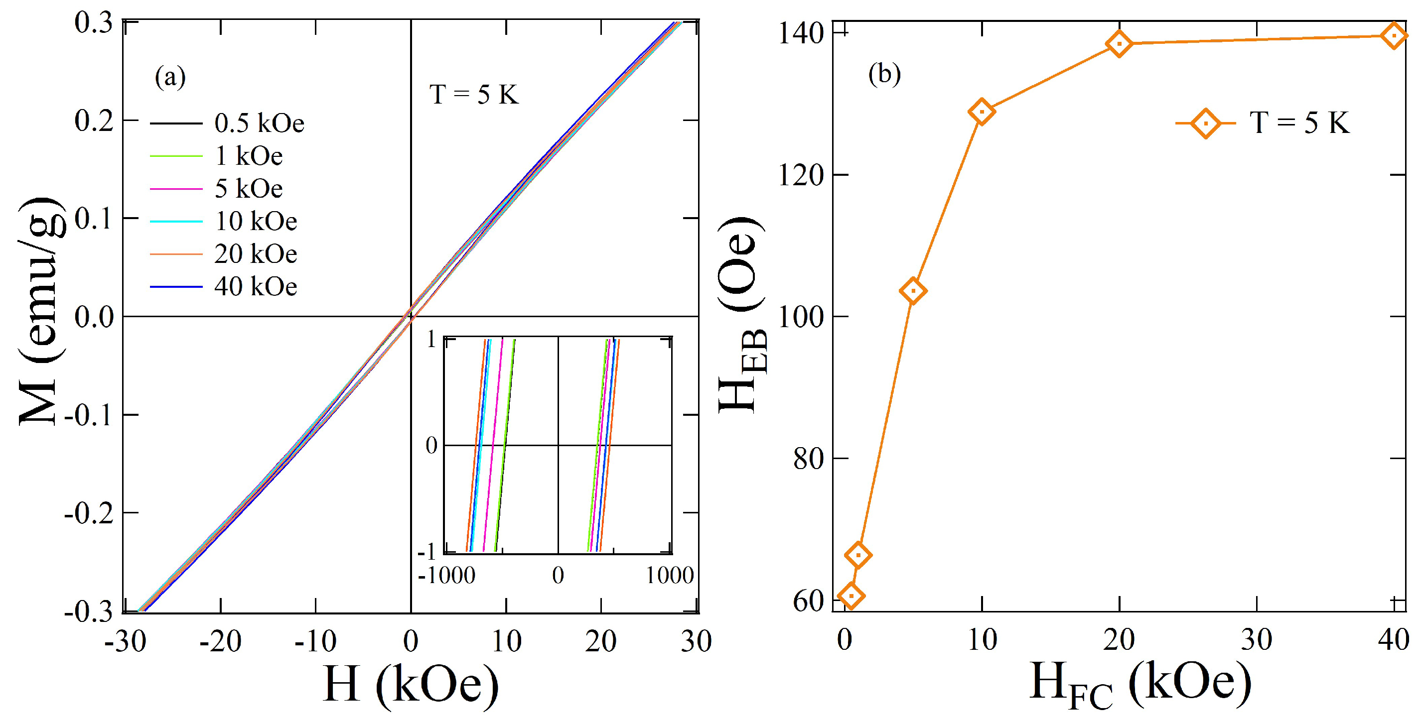
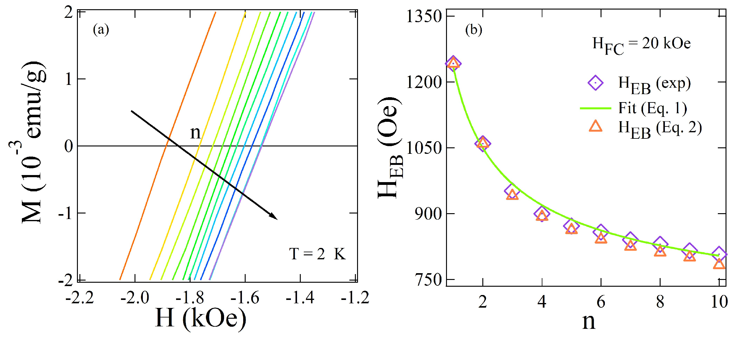
3. Results and Discussion
4. Conclusions
Author Contributions
Funding
Institutional Review Board Statement
Informed Consent Statement
Data Availability Statement
Conflicts of Interest
References
- Kobayashi, K.I.; Kimura, T.; Sawada, H.; Terakura, K.; Tokura, Y. Room-temperature magnetoresistance in an oxide material with an ordered double-perovskite structure. Nature 1998, 395, 677. [Google Scholar] [CrossRef]
- Serrate, D.; Teresa, J.M.D.; Ibarra, M.R. Double perovskites with ferromagnetism above room temperature. J. Phys. Condens. Matter 2007, 19, 023201. [Google Scholar] [CrossRef]
- Kato, H.; Okuda, T.; Okimoto, Y.; Tomioka, Y.; Takenoya, Y.; Ohkubo, A.; Kawasaki, M.; Tokura, Y. Metallic ordered double-perovskite Sr2CrReO6 with maximal Curie temperature of 635 K. Appl. Phys. Lett. 2002, 81, 328. [Google Scholar] [CrossRef]
- Das, H.; Sanyal, P.; Saha-Dasgupta, T.; Sharma, D.D. Origin of magnetism and trend in Tc in Cr-based double perovskites: Interplay of two driving mechanisms. Phys. Rev. B 2011, 83, 104418. [Google Scholar] [CrossRef]
- Narayanan, N.; Mikhailova, D.; Senyshyn, A.; Trots, D.M.; Laskowski, R.; Blaha, P.; Schwarz, K.; Fuess, H.; Ehrenberg, H. Temperature and composition dependence of crystal structures and magnetic and electronic properties of the double perovskites La2-xSrxCoIrO6 (0 ≤ x ≤ 2). Phys. Rev. B 2010, 82, 024403. [Google Scholar] [CrossRef]
- Kolchinskaya, A.; Komissinskiy, P.; Baghaie, Y.M.; Vafaee, M.; Mikhailova, D.; Narayanan, N.; Ehrenberg, H.; Wilhelm, F.; Rogalev, A.; Alff, L. Magnetism and spin-orbit coupling in Ir-based double perovskites La2-xSrxCoIrO6. Phys. Rev. B 2012, 85, 224422. [Google Scholar] [CrossRef]
- Feng, H.L.; Schnelle, W.; Tjeng, L.H.; Jansen, M. Synthesis, crystal structures, and magnetic properties of double perovskites SrLaNiOsO6 and BaLaNiOsO6. Solid State Commun. 2016, 243, 49. [Google Scholar] [CrossRef]
- Morrow, R.; Yan, J.; McGuire, M.A.; Freeland, J.W.; Haskel, D.; Woodward, P.M. Effects of chemical pressure on the magnetic ground states of the osmate double perovskites SrCaCoOsO6 and Ca2CoOsO6. Phys. Rev. B 2015, 92, 094435. [Google Scholar] [CrossRef]
- Wang, H.; Zhu, S.; Ou, X.; Wu, H. Ferrimagnetism in the double perovskite Ca2FeOsO6: A density functional study. Phys. Rev. B 2014, 90, 054406. [Google Scholar] [CrossRef]
- Hou, Y.S.; Xiang, H.J.; Gong, X.G. Lattice-distortion Induced Magnetic Transition from Low-temperature Antiferromagnetism to High-temperature Ferrimagnetism in Double Perovskites A2FeOsO6 (A= Ca, Sr). Sci. Rep. 2015, 5, 13159. [Google Scholar] [CrossRef]
- Nilsen, G.J.; Thompson, C.M.; Ehlers, G.; Marjerrison, C.A.; Greedan, J.E. Diffuse magnetic neutron scattering in the highly frustrated double perovskite Ba2YRuO6. Phys. Rev. B 2015, 91, 054415. [Google Scholar] [CrossRef]
- Carlo, J.P.; Clancy, J.P.; Fritsch, K.; Marjerrison, C.A.; Granroth, G.E.; Greedan, J.E.; Dabkowska, H.A.; Gaulin, B.D. Spin gap and the nature of the 4d3 magnetic ground state in the frustrated fcc antiferromagnet Ba2YRuO6. Phys. Rev. B 2013, 88, 024418. [Google Scholar] [CrossRef]
- Dass, R.I.; Yan, J.Q.; Goodenough, J.B. Ruthenium double perovskites: Transport and magnetic properties. Phys. Rev. B 2004, 69, 094416. [Google Scholar] [CrossRef]
- Hinatsu, Y.; Izumiyama, Y.; Doi, Y.; Alemi, A.; Wakeshima, M.; Nakamura, A.; Morii, Y.J. Studies on magnetic and calorimetric properties of double perovskites Ba2HoRuO6 and Ba2HoIrO6. Solid State Chem. 2004, 177, 38. [Google Scholar] [CrossRef]
- Hong, K.P.; Choi, Y.H.; Kwon, Y.U.; Jung, D.Y.; Lee, J.S.; Shim, H.S.; Lee, C.H. Atomic and magnetic long-range orderings in BaLaMRuO6 (M= Mg and Zn). J. Solid State Chem. 2000, 150, 383. [Google Scholar] [CrossRef]
- Battle, P.D.; Goodenough, J.B.; Price, R.J. The crystal structures and magnetic properties of Ba2LaRuO6 and Ca2LaRuO6. Solid State Chem. 1983, 46, 234. [Google Scholar] [CrossRef]
- Battle, P.D.; Jones, C.W.J. The crystal and magnetic structures of Sr2LuRuO6, Ba2YRuO6, and Ba2LuRuO6. Solid State Chem. 1989, 78, 108. [Google Scholar] [CrossRef]
- Battle, P.D.; Macklin, W.J. The crystal and magnetic structures of Sr2YRuO6. J. Solid State Chem. 1984, 52, 138. [Google Scholar] [CrossRef]
- Disseler, S.M.; Lynn, J.W.; Jardim, R.F.; Torikachvili, M.S.; Granado, E. Spin dynamics and two-dimensional correlations in the fcc antiferromagnetic Sr2YRuO6. Phys. Rev. B 2016, 93, 140407. [Google Scholar] [CrossRef]
- Aczel, A.A.; Baker, P.J.; Bugaris, D.E.; Yeon, J.; Loye, H.C.Z.; Guidi, T.; Adroja, D.T. Exotic Magnetism on the Quasi-fcc Lattices of the d3 Double Perovskites La2NaB’O6 (B’= Ru, Os). Phys. Rev. Lett. 2014, 112, 117603. [Google Scholar] [CrossRef]
- Ranjbar, B.; Pavan, A.; Kennedy, B.J.; Zhang, Z.M. Structural and magnetic properties of the ruthenium double perovskites Ba2-xSrxYRuO6. Dalton Trans. 2015, 44, 10689. [Google Scholar] [CrossRef]
- Granado, E.; Lynn, J.W.; Jardim, R.F.; Torikachvili, M.S. Two-Dimensional Magnetic Correlations and Partial Long-Range Order in Geometrically Frustrated Sr2YRuO6. Phys. Rev. Lett. 2013, 110, 017202. [Google Scholar] [CrossRef] [PubMed]
- Takahashi, R.; Okazaki, R.; Yasui, Y.; Terasaki, I.; Sudayama, T.; Nakao, H.; Yamasaki, Y.; Okamoto, J.; Murakami, Y.; Kitajima, Y.J. High-temperature thermoelectric properties of the double-perovskite ruthenium oxide (Sr1-xLax)2ErRuO6. Appl. Phys. 2012, 112, 073714. [Google Scholar] [CrossRef]
- Cetin, S.K.; Akca, G.; Kaya, D.; Ayas, A.O.; Ekicibil, A. Synthesis and characterization of bifunctional Ru doped La-based perovskites for magnetic refrigeration and energy storage systems. Int. J. Hydrog. Energy 2022, 47, 40999. [Google Scholar] [CrossRef]
- Dani, S.; Arya, A.; Sharma, H.; Kumar, R.; Goyal, N.; Kumar, R.; Pandit, R. Structural and electronic properties of double perovskite ruthenates; A2GdRuO6 (where A= Ba, Sr). J. Alloys Compd. 2022, 913, 165177. [Google Scholar] [CrossRef]
- Guenez, W.; Bouguerra, A.; Touaibia, I.; Chemam, F. Giant magneto optical properties in the double perovskites Ba2B’RuO6 (B’= Er, Tm). J. Phys. Condens. Matter 2022, 34, 505501. [Google Scholar] [CrossRef]
- Singh, R.P.; Tomy, C.V. Anomalous magnetic properties of Sr2YRuO6. Phys. Rev. B 2008, 78, 024432. [Google Scholar] [CrossRef]
- Aharen, T.; Greedan, J.E.; Ning, F.L.; Imai, T.; Michaelis, V.K.; Kroeker, S.; Zhou, H.D.; Wiebe, C.R.; Cranswick, L.M.D. Magnetic properties of the S= 3/2 geometrically frustrated double perovskites La2LiRuO6 and Ba2YRuO6. Phys. Rev. B 2009, 80, 134423. [Google Scholar] [CrossRef]
- Aczel, A.A.; Bugaris, D.E.; Li, L.; Yan, J.-Q.; Cruz, C.d.; Loye, H.-C.z.; Nagler, S.E. Frustration by competing interactions in the highly distorted double perovskites La2NaB’O6 (B’= Ru, Os). Phys. Rev. B 2013, 87, 014435. [Google Scholar] [CrossRef]
- Das, M.; Dutta, P.; Giri, S.; Majumdar, S.; Bandyopadhyay, A.; Yadav, A.K.; Jha, S.N.; Bhattacharyya, D.; Das, G.; Rajaji, V. Cationic disorder: A pathway for demonstrating inverse exchange bias in Gd2CoRuO6. Phys. Rev. B 2020, 101, 064419. [Google Scholar] [CrossRef]
- Sahoo, R.C.; Takeuchi, Y.; Ohtomo, A.; Hossain, Z. Exchange bias and spin glass states driven by antisite disorder in the double perovskite compound LaSrCoFeO6. Phys. Rev. B 2019, 100, 214436. [Google Scholar] [CrossRef]
- Hissariya, R.; Sathe, V.G.; Mishra, S.K. Antisite disorder mediated exchange bias effect and spin-glass state in La2-xSmxNiMnO6. J. Magn. Magn. Mater. 2023, 578, 170769. [Google Scholar] [CrossRef]
- Kayser, P.; Injac, S.; Ranjbar, B.; Kennedy, B.J. Magnetic and Structural Studies of Sc Containing Ruthenate Double Perovskites A2ScRuO6 (A = Ba, Sr). Inorg. Chem. 2017, 56, 9009. [Google Scholar] [CrossRef] [PubMed]
- Shannon, R. Revised effective ionic radii and systematic studies of interatomic distances in halides and chalcogenides. Acta Crystallogr. Sect. A 1976, 32, 751. [Google Scholar] [CrossRef]
- Mott, N.F. Conduction in non-crystalline materials: III. Localized states in a pseudogap and near extremities of conduction and valence bands. Philos. Mag. 1969, 19, 835. [Google Scholar] [CrossRef]
- Morrow, R.; Samanta, K.; Dasgupta, T.S.; Xiong, J.; Freeland, J.W.; Haskel, D.; Woodward, P.M. Magnetism in Ca2CoOsO6 and Ca2NiOsO6: Unraveling the Mystery of Superexchange Interactions between 3d and 5d Ions. Chem. Mater. 2016, 28, 3666. [Google Scholar] [CrossRef]
- Senn, M.S.; Kimber, S.A.J.; Lopez, A.M.A.; Hill, A.H.; Attfield, J.P. Spin orders and lattice distortions of geometrically frustrated 6H-perovskites Ba3B’Ru2O9 (B’= La3+, Nd3+, and Y3+). Phys. Rev. B 2013, 87, 134402. [Google Scholar] [CrossRef]
- Paul, A.K.; Jansen, M.; Yan, B.; Felser, C.; Reehuis, M.; Abdala, P.M. Synthesis, Crystal Structure, and Physical Properties of Sr2FeOsO6. Inorg. Chem. 2013, 52, 6713. [Google Scholar] [CrossRef]
- Feng, H.L.; Adler, P.; Reehuis, M.; Schnelle, W.; Pattison, P.; Hoser, A.; Felser, C.; Jansen, M. High-Temperature Ferrimagnetism with Large Coercivity and Exchange Bias in the Partially Ordered 3d/5d Hexagonal Perovskite Ba2Fe1.12Os0.88O6. Chem. Mater. 2017, 29, 886. [Google Scholar] [CrossRef]
- Mohanty, P.; Marik, S.; Singh, D.; Singh, R.P. Room temperature magnetoresistance and exchange bias in “314-type” oxygen-vacancy ordered SrCo0.85Fe0.15O2.62. Appl. Phys. Lett. 2017, 111, 022402. [Google Scholar] [CrossRef]
- Marik, S.; Mohanty, P.; Singh, D.; Singh, R.P. Moderate magnetic field induced large exchange bias effect in ferrimagnetic 314—Sr3YCo4O10.5 material. J. Phys. D Appl. Phys. 2018, 51, 065006. [Google Scholar] [CrossRef]
- Tsang, C.; Fontana, R.E.; Lin, T.; Heim, D.; Speriosu, V.S.; Gurney, B.A.; Williams, M.L. Design, fabrication and testing of spin-valve read heads for high density recording. IEEE Trans. Magn. 1994, 30, 3801. [Google Scholar] [CrossRef]
- Prejbeanu, I.L.; Kerekes, M.; Sousa, R.C.; Sibuet, H.; Redon, O.; Dieny, B.; Nozieres, J.P. Thermally assisted MRAM. J. Phys. Condens. Matter 2007, 19, 165218. [Google Scholar] [CrossRef]
- Chen, Y.T.; Jen, S.U.; Yao, Y.D.; Wu, J.M.; Liao, J.H.; Wu, T.B. Exchange biasing observed in the Co/Ir20Mn80 system. J. Alloys Compd. 2008, 448, 59. [Google Scholar] [CrossRef]
- Fuke, H.; Kamiguchi, Y.; Hashimoto, S.; Funiyama, T.; Saito, K.; Iwasaki, H.; Sahashi, M. Exchange coupling film and magnetoresistive element. U.S. Patent 6057049, 2 May 2000. [Google Scholar]
- Singh, R.P.; Tomy, C.V.; Grover, A.K. Observation of tunable exchange bias in Sr2YbRuO6. Appl. Phys. Lett. 2010, 97, 182505. [Google Scholar] [CrossRef]
- Kurian, M.M.; Das, R.R.; Devan, C.V.; Varma, M.R.; Colin, C.V.; Santhosh, P.N. Exchange bias effect and inhomogeneous magnetism in 6H Ba3CoFeRuO9: Role of structural site disorder. J. Magn. Magn. Mater. 2023, 568, 170372. [Google Scholar] [CrossRef]
- Hoffmann, A. Symmetry driven irreversibilities at ferromagnetic-antiferromagnetic interfaces. Phys. Rev. Lett. 2004, 93, 097203. [Google Scholar] [CrossRef]
- Binek, C.; Polisetty, S.; He, X.; Berger, A. Exchange bias training effect in coupled all ferromagnetic bilayer structures. Phys. Rev. Lett. 2006, 96, 067201. [Google Scholar] [CrossRef]
- Binek, C. Training of the exchange-bias effect: A simple analytic approach. Phys. Rev. B 2004, 70, 014421. [Google Scholar] [CrossRef]









| Atom | Wyck. Position | x | y | z |
|---|---|---|---|---|
| Ba1 | 2c | 0 | 0 | 0.25 |
| Ba2 | 2d | 0.33 | 0.67 | 0.102 |
| Ba3 | 2d | 0.33 | 0.67 | 0.413 |
| Sc1 (M1) | 1b | 0 | 0 | 0.5 |
| Sc2 (M3) | 1a | 0 | 0 | 0 |
| Ru1 (M2) | 2d | 0.33 | 0.67 | 0.661 |
| Ru2 (M4) | 2d | 0.33 | 0.67 | 0.848 |
| O1 | 6i | 0.162 | −0.162 | 0.299 |
| O2 | 6i | 0.820 | −0.820 | 0.081 |
| O3 | 6i | 0.835 | −0.835 | 0.415 |
| Parameters | Unit | BaScRuO |
|---|---|---|
| Crystallite size (D) | nm | 46 nm |
| Transition temperature (T) | K | 9 |
| Weiss temperature | K | −694 |
| Frustration parameter (f) | - | 77 |
| Cooling field (H) | kOe | 20 kOe |
| Exchange bias field (H) | kOe | 1.24 (at 2 K) |
| Exchange bias field (H) | Oe | 606.24 |
Disclaimer/Publisher’s Note: The statements, opinions and data contained in all publications are solely those of the individual author(s) and contributor(s) and not of MDPI and/or the editor(s). MDPI and/or the editor(s) disclaim responsibility for any injury to people or property resulting from any ideas, methods, instructions or products referred to in the content. |
© 2023 by the authors. Licensee MDPI, Basel, Switzerland. This article is an open access article distributed under the terms and conditions of the Creative Commons Attribution (CC BY) license (https://creativecommons.org/licenses/by/4.0/).
Share and Cite
Mohanty, P.; Marik, S.; Singh, R.P. Magnetism and Exchange Bias Properties in Ba2ScRuO6. Magnetochemistry 2023, 9, 144. https://doi.org/10.3390/magnetochemistry9060144
Mohanty P, Marik S, Singh RP. Magnetism and Exchange Bias Properties in Ba2ScRuO6. Magnetochemistry. 2023; 9(6):144. https://doi.org/10.3390/magnetochemistry9060144
Chicago/Turabian StyleMohanty, Prachi, Sourav Marik, and Ravi Prakash Singh. 2023. "Magnetism and Exchange Bias Properties in Ba2ScRuO6" Magnetochemistry 9, no. 6: 144. https://doi.org/10.3390/magnetochemistry9060144
APA StyleMohanty, P., Marik, S., & Singh, R. P. (2023). Magnetism and Exchange Bias Properties in Ba2ScRuO6. Magnetochemistry, 9(6), 144. https://doi.org/10.3390/magnetochemistry9060144

